Dynamics of Predator-Prey Model with Fear Factor and Impulsive Nonlinear Effects
Abstract
1. Introduction
2. Preliminaries
- (P1)
- (P2)
- (P3)
3. Global Stability
4. Permanence
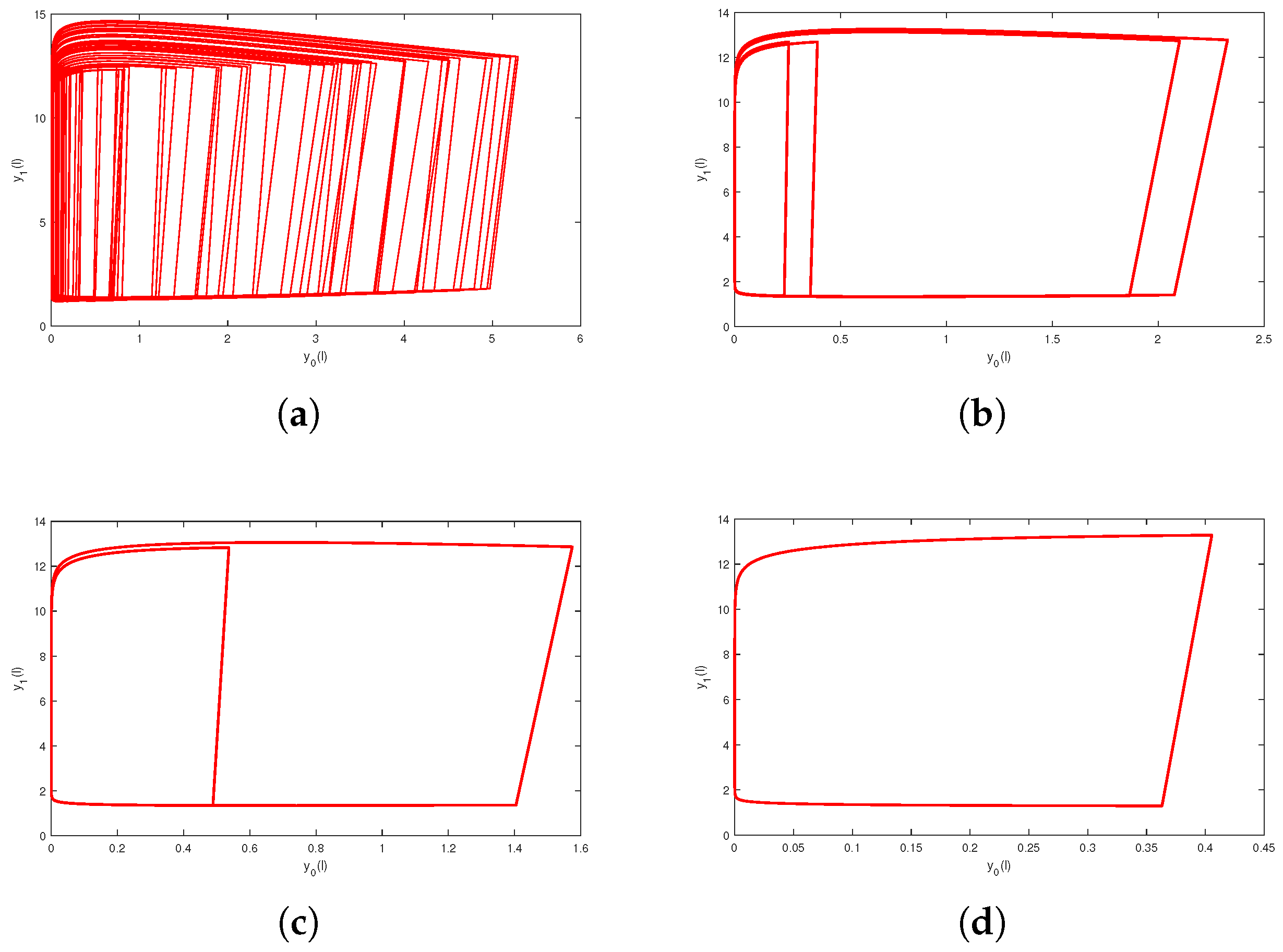
5. Simulation and Discussion
6. Conclusions
Author Contributions
Funding
Data Availability Statement
Conflicts of Interest
References
- Savary, S.; Willocquet, L.; Pethybridge, S.J.; Esker, P.; McRoberts, N.; Nelson, A. The global burden of pathogens and pests on major food crops. Nat. Ecol. Evol. 2019, 3, 430–439. [Google Scholar] [CrossRef] [PubMed]
- Zalucki, M.P.; Shabbir, A.; Silva, R.; Adamson, D.; Shu-Sheng, L.; Furlong, M.J. Estimating the economic cost of one of the world’s major insect pests, Plutella xylostella (Lepidoptera: Plutellidae): Just how long is a piece of string? J. Econ. Entomol. 2012, 105, 1115–1129. [Google Scholar] [CrossRef]
- Sogawa, K. Planthopper outbreaks in different paddy ecosystems in Asia: Man-made hopper plagues that threatened the green revolution in rice. In Rice Planthoppers: Ecology, Management, Socio Economics and Policy; Springer: Berlin/Heidelberg, Germany, 2015; pp. 33–63. [Google Scholar]
- Chakravarthy, A.K.; Doddabasappa, B.; Shashank, P.R. The potential impacts of climate change on insect pests in cultivated ecosystems: An Indian perspective. In Knowledge Systems of Societies for Adaptation and Mitigation of Impacts of Climate Change; Springer: Berlin/Heidelberg, Germany, 2013; pp. 143–162. [Google Scholar]
- Liu, Y.H.; Kang, Z.W.; Guo, Y.; Zhu, G.S.; Rahman Shah, M.M.; Song, Y.; Fan, Y.L.; Jing, X.; Liu, T.X. Nitrogen hurdle of host alternation for a polyphagous aphid and the associated changes of endosymbionts. Sci. Rep. 2016, 6, 24781. [Google Scholar] [CrossRef]
- Ali, M.P.; Bari, M.N.; Haque, S.S.; Kabir, M.M.M.; Afrin, S.; Nowrin, F.; Islam, M.S.; Landis, D.A. Establishing next-generation pest control services in rice fields: Eco-agriculture. Sci. Rep. 2019, 9, 10180. [Google Scholar] [CrossRef]
- Heong, K.L.; Wong, L.; Delos Reyes, J.H. Addressing planthopper threats to Asian rice farming and food security: Fixing insecticide misuse. In Rice Planthoppers: Ecology, Management, Socio Economics and Policy; Springer: Berlin/Heidelberg, Germany, 2015; pp. 65–76. [Google Scholar]
- Oerke, E.C. Crop losses to pests. J. Agric. Sci. 2006, 144, 31–43. [Google Scholar] [CrossRef]
- Baker, B.P.; Green, T.A.; Loker, A.J. Biological control and integrated pest management in organic and conventional systems. Biol. Control 2020, 140, 104095. [Google Scholar] [CrossRef]
- Suckling, D.M.; Stringer, L.D.; Stephens, A.E.; Woods, B.; Williams, D.G.; Baker, G.; El-Sayed, A.M. From integrated pest management to integrated pest eradication: Technologies and future needs. Pest Manag. Sci. 2014, 70, 179–189. [Google Scholar] [CrossRef] [PubMed]
- Alharbi, W.; Sandhu, S.K.; Areshi, M.; Alotaibi, A.; Alfaidi, M.; Al-Qadhi, G.; Morozov, A.Y. Revisiting implementation of multiple natural enemies in pest management. Sci. Rep. 2022, 12, 15023. [Google Scholar] [CrossRef]
- Jiao, J.; Chen, L.; Luo, G. An appropriate pest management SI model with biological and chemical control concern. Appl. Math. Comput. 2008, 196, 285–293. [Google Scholar] [CrossRef]
- Dai, X.; Quan, Q.; Jiao, J. Modelling and analysis of periodic impulsive releases of the Nilaparvata lugens infected with wStri-Wolbachia. J. Biol. Dyn. 2023, 17, 2287077. [Google Scholar] [CrossRef]
- Sun, K.; Zhang, T.; Tian, Y. Dynamics analysis and control optimization of a pest management predator–prey model with an integrated control strategy. Appl. Math. Comput. 2017, 292, 253–271. [Google Scholar] [CrossRef]
- Liu, B.; Zhang, Y.; Chen, L. The dynamical behaviors of a Lotka–Volterra predator–prey model concerning integrated pest management. Nonlinear Anal. Real World Appl. 2005, 6, 227–243. [Google Scholar] [CrossRef]
- Guo, H.; Chen, L. A study on time-limited control of single-pest with stage-structure. Appl. Math. Comput. 2010, 217, 677–684. [Google Scholar] [CrossRef]
- Tang, S.; Cheke, R.A.; Xiao, Y. Effects of predator and prey dispersal on success or failure of biological control. Bull. Math. Biol. 2009, 71, 2025–2047. [Google Scholar] [CrossRef]
- Tian, Y.; Tang, S.; Cheke, R.A. Dynamic complexity of a predator-prey model for IPM with nonlinear impulsive control incorporating a regulatory factor for predator releases. Math. Model. Anal. 2019, 24, 134–154. [Google Scholar]
- Dai, X.; Jiao, J.; Quan, Q.; Zhou, A. Dynamics of a predator–prey system with sublethal effects of pesticides on pests and natural enemies. Int. J. Biomath. 2024, 17, 2350007. [Google Scholar] [CrossRef]
- Zhang, Q.; Tang, S.; Zou, X. Rich dynamics of a predator-prey system with state-dependent impulsive controls switching between two means. J. Differ. Equ. 2023, 364, 336–377. [Google Scholar] [CrossRef]
- Liu, X.; Chen, L. Complex dynamics of Holling type II Lotka–Volterra predator–prey system with impulsive perturbations on the predator. Chaos Solitons Fractals 2003, 16, 311–320. [Google Scholar] [CrossRef]
- Zhang, H.; Georgescu, P.; Chen, L. On the impulsive controllability and bifurcation of a predator–pest model of IPM. BioSystems 2008, 93, 151–171. [Google Scholar] [CrossRef]
- Pal, D.; Kesh, D.; Mukherjee, D. Cross-diffusion mediated spatiotemporal patterns in a predator–prey system with hunting cooperation and fear effect. Math. Comput. Simul. 2024, 220, 128–147. [Google Scholar] [CrossRef]
- Mukherjee, D. Role of fear in predator–prey system with intraspecific competition. Math. Comput. Simul. 2020, 177, 263–275. [Google Scholar] [CrossRef]
- Mondal, S.; Samanta, G.P. Impact of fear on a predator–prey system with prey-dependent search rate in deterministic and stochastic environment. Nonlinear Dyn. 2021, 104, 2931–2959. [Google Scholar] [CrossRef]
- Das, B.K.; Sahoo, D.; Samanta, G.P. Impact of fear in a delay-induced predator–prey system with intraspecific competition within predator species. Math. Comput. Simul. 2022, 191, 134–156. [Google Scholar] [CrossRef]
- Zanette, L.Y.; White, A.F.; Allen, M.C.; Clinchy, M. Perceived predation risk reduces the number of offspring songbirds produce per year. Science 2011, 334, 1398–1401. [Google Scholar] [CrossRef]
- Elliott, K.H.; Betini, G.S.; Norris, D.R. Fear creates an Allee effect: Experimental evidence from seasonal populations. Proc. R. Soc. B Biol. Sci. 2017, 284, 20170878. [Google Scholar] [CrossRef]
- Lakshmikantham, V.; Simeonov, P.S. Theory of Impulsive Differential Equations; World Scientific: Singapore, 1989; Volume 6. [Google Scholar]
- Bainov, D.; Simeonov, P. Impulsive Differential Equations: Periodic Solutions and Applications; Routledge: Abingdon, UK, 2017. [Google Scholar]






Disclaimer/Publisher’s Note: The statements, opinions and data contained in all publications are solely those of the individual author(s) and contributor(s) and not of MDPI and/or the editor(s). MDPI and/or the editor(s) disclaim responsibility for any injury to people or property resulting from any ideas, methods, instructions or products referred to in the content. |
© 2025 by the authors. Licensee MDPI, Basel, Switzerland. This article is an open access article distributed under the terms and conditions of the Creative Commons Attribution (CC BY) license (https://creativecommons.org/licenses/by/4.0/).
Share and Cite
Jiao, J.; Xiao, Y.; Zhou, Y. Dynamics of Predator-Prey Model with Fear Factor and Impulsive Nonlinear Effects. Axioms 2025, 14, 407. https://doi.org/10.3390/axioms14060407
Jiao J, Xiao Y, Zhou Y. Dynamics of Predator-Prey Model with Fear Factor and Impulsive Nonlinear Effects. Axioms. 2025; 14(6):407. https://doi.org/10.3390/axioms14060407
Chicago/Turabian StyleJiao, Jianjun, Yunpeng Xiao, and Yumei Zhou. 2025. "Dynamics of Predator-Prey Model with Fear Factor and Impulsive Nonlinear Effects" Axioms 14, no. 6: 407. https://doi.org/10.3390/axioms14060407
APA StyleJiao, J., Xiao, Y., & Zhou, Y. (2025). Dynamics of Predator-Prey Model with Fear Factor and Impulsive Nonlinear Effects. Axioms, 14(6), 407. https://doi.org/10.3390/axioms14060407
