A Reduced-Dimension Weighted Explicit Finite Difference Method Based on the Proper Orthogonal Decomposition Technique for the Space-Fractional Diffusion Equation
Abstract
1. Introduction
2. The Weighted Explicit Finite Difference Scheme for the Space-Fractional Diffusion Equation
3. The Establishment of a Reduced-Dimension Scheme for the Space-Fractional Diffusion Equation
3.1. Construction of POD Base
3.2. The Establishment of the Reduced-Dimension Scheme Based on POD
4. The Uniqueness, Stabilization, and Error Estimates for the Reduced-Dimension Weighted Explicit Finite Difference Solutions and the Algorithmic Process of the POD Technique
4.1. The Uniqueness, Stabilization, and Error Estimates for the Reduced-Dimension Weighted Explicit Finite Difference Solutions
- (1)
- The uniqueness of the reduced-dimension weighted explicit finite difference solutions for Equation (27)First, it is established that the set of solutions , obtained from Equation (14), is unique. Consequently, this ensures that the set of solutions , obtained from Equation (27), is unique as well.For , and , the reduced-dimension weighted explicit finite difference scheme (26) can be reformulated into the following equation:Since Equations (31) and (32) have the same form as (14) when , and given that Equation (14) possesses a unique set of solutions , it follows that Equations (31) and (32) also possess a unique set of solutions .
- (2)
- The stability of the reduced-dimension weighted explicit finite difference solutions for (27)When , because of the orthonormality of the vectors in , we haveDue to the stability of the set of solutions established in Theorem (2), we can infer that the set of solutions also exhibits stability.Therefore, utilizing the Cauchy–Schwarz inequality, from (32), we obtainAccording to Lemma 3 and scheme (14), we haveFrom (34), using (33) and (35), we obtain the following result:This means that is also stable. Thus, the set of reduced-dimension weighted explicit finite difference solutions for Equation (27) is stable.
- (3)
- The error estimates of the reduced-dimension weighted explicit finite difference solutionsWhen , the following error estimate can be derived from Equation (25):Subtracting Equation (32) from Equation (14) and then computing the norm, we haveFrom inequality (38), we obtain the following result:According to Lemma 3 and Equation (37), we deduce the following:That is,where . Furthermore, utilizing Theorem 2 and inequality (41), we derive the following conclusion:The conclusion of Theorem 3 is proven.
4.2. The Implementation of the Algorithm of the POD Reduced-Dimension Technique
- Step 1. Take the first S weighted explicit finite difference solutions for the weighted explicit finite difference scheme as snapshots :satisfying the following initial value conditions:Subsequently, we construct the snapshot matrix .
- Step 2. For the singular value decomposition for the snapshot matrix , find the eigenvalues (s = rankC) and eigenvectors of matrix .
- Step 3. According to the inequality , determine the number of POD bases. In addition, create the POD base (where ()) utilizing the approach shown in Section 3.1.
- Step 4. Obtain the reduced-dimension solution vectors by solving the reduced-dimension weighted explicit finite difference scheme:which contains only unknowns.
- Step 5. The calculation is completed when the error is satisfied. Otherwise, select , update the POD bases as needed, and return to step 2.
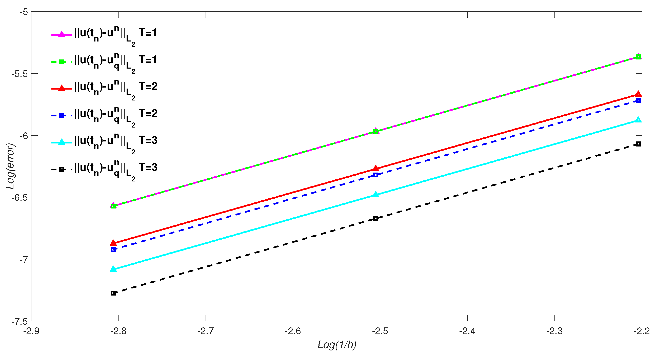
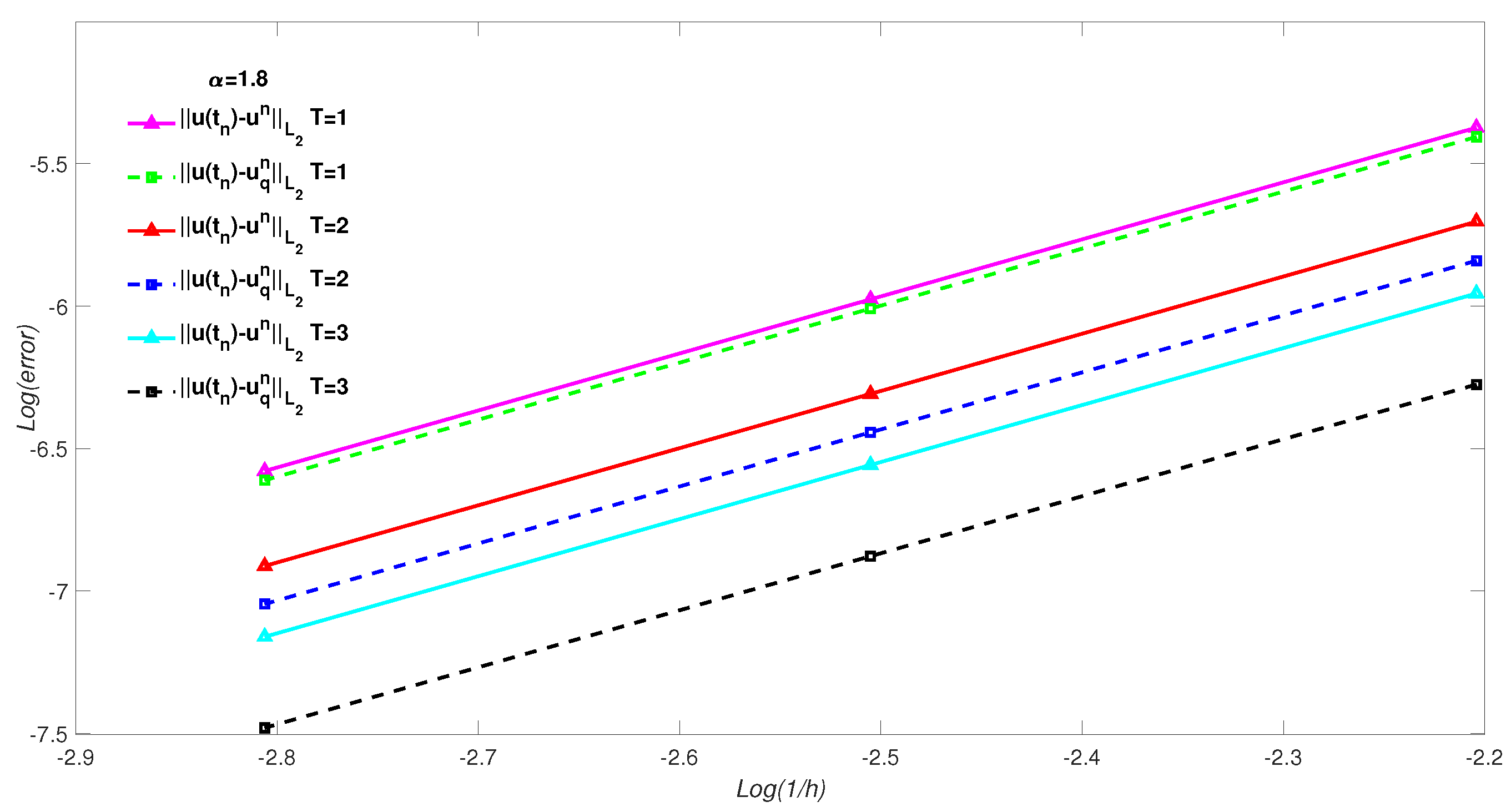
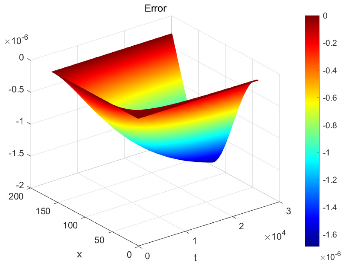
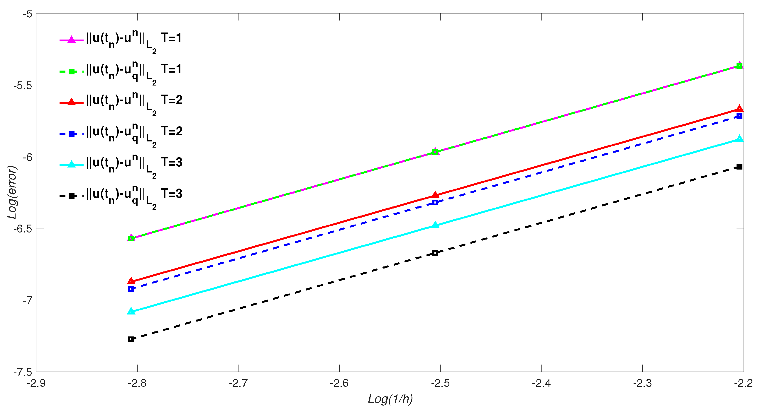
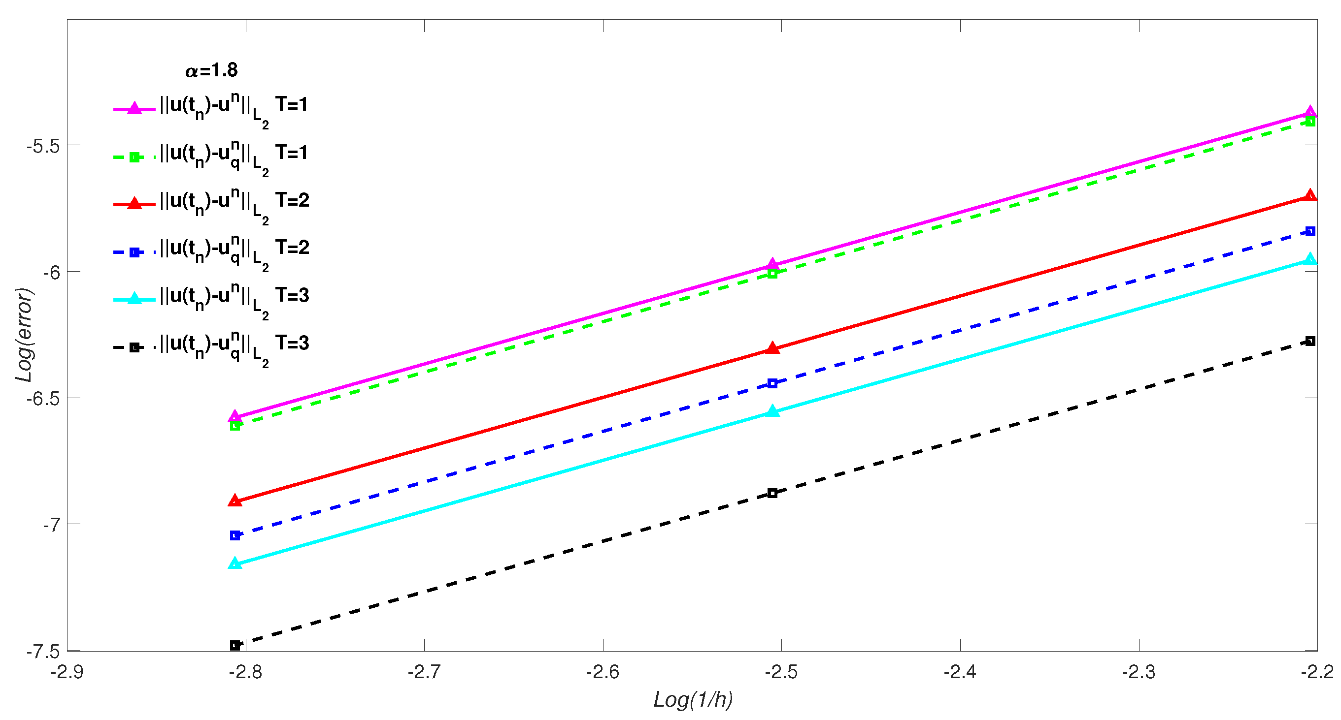
5. Numerical Simulation
6. Conclusions
Author Contributions
Funding
Data Availability Statement
Acknowledgments
Conflicts of Interest
Abbreviations
| POD | proper orthogonal decomposition |
References
- Meerschaert, M.M.; Tadjeran, C. Finite difference approximations for fractional advection-dispersion flow equations. J. Comput. Appl. Math. 2004, 172, 65–77. [Google Scholar] [CrossRef]
- Meerschaert, M.M.; Tadjeran, C. Finite difference approximations for two-sided space-fractional partial differential equations. Appl. Numer. Math. 2006, 56, 80–90. [Google Scholar] [CrossRef]
- Podlubny, I. Fractional Differential Equations; Academic Press: New York, NY, USA, 1999. [Google Scholar]
- Bouchaud, J.P.; Georges, A. Anomalous diffusion in disordered media: Statistical mechanisms, models and physical applications. Phys. Rep. 1990, 195, 127–293. [Google Scholar] [CrossRef]
- Raberto, M.; Scalas, E.; Mainardi, F. Waiting-times and returns in high-frequency financial data: An empirical study. Physica A 2002, 314, 749–755. [Google Scholar] [CrossRef]
- Baeumer, B.; Benson, D.A.; Meerschaert, M.M.; Wheatcraft, S.W. Subordinated advection-dispersion equation for Contaminant transport. Water Resour. Res. 2001, 37, 1543–1550. [Google Scholar] [CrossRef]
- Benson, D.A.; Meerschaert, M.M.; Wheatcraft, S.W. The fractional-order governing equation of Lévy motion. Water Resour. Res. 2000, 36, 1413–1424. [Google Scholar] [CrossRef]
- Chechkin, A.V.; Gorenflo, R.; Sokolov, I.M. Retarding subdiffusion and accelerating superdiffusion governed by distributed-order fractional diffusion equations. Phys. Rev. E Stat. Nonlinear Soft Matter Phys. 2002, 66, 046129. [Google Scholar] [CrossRef] [PubMed]
- Krepysheva, N.; Pietro, D.L.; Néel, M.-C. Space-fractional advection-diffusion and reflective boundary condition. Phys. Rev. E Stat. Nonlinear Soft Matter Phys. 2006, 73, 021104. [Google Scholar] [CrossRef] [PubMed]
- Negrete, D.C.; Carreras, B.A.; Lynch, V.E. Front dynamics in reaction-diffusion systems with levy flights: A fractional diffusion approach. Phys. Rev. Lett. 2003, 91, 018302. [Google Scholar] [CrossRef]
- Celik, C.; Duman, M. Crank-Nicolson method for the fractional diffusion equation with the Riesz fractional derivative. J. Comput. Phys. 2012, 231, 1743–1750. [Google Scholar] [CrossRef]
- Yang, Q.; Liu, F.; Turner, I. Numerical methods for fractional partial differential equations with Riesz space fractional derivatives. Appl. Math. Model 2010, 34, 200–218. [Google Scholar] [CrossRef]
- Wang, X.Y.; Zhu, L.; Rui, H.X. A weighted explicit finite difference method for space fractional diffusion equation. J. Ningxia Univ. 2014, 35, 1–5. (In Chinese) [Google Scholar]
- Savović, S.; Djordjevich, A.; Tse, P.W.; Nikezi, D. Explicit finite difference solution of the diffusion equation describing the flow of radon through soil. Appl. Radiat. Isotopes 2011, 69, 237–240. [Google Scholar] [CrossRef]
- Savović, S.; Ivanović, M.; Min, R. A Comparative Study of the Explicit Finite Difference Method and Physics-Informed Neural Networks for Solving the Burgers’ Equation. Axioms 2023, 12, 982. [Google Scholar] [CrossRef]
- Holmes, P.; Lumley, J.L.; Berkooz, G.; Rowley, C.W. Turbulence, Coherent Structures, Dynamical Systems and Symmetry; Cambridge University Press: New York, NY, USA, 2012. [Google Scholar]
- Luo, Z.D.; Chen, G. Proper Orthogonal Decomposition Methods for Partial Differential Equations; Academic Press of Elsevier: San Diego, CA, USA, 2018. [Google Scholar]
- Volkwein, S. Proper Orthogonal Decomposition: Applications in Optimization and Control. 2007. Available online: http://www.math.uni-konstanz.de/numerik/personen/volkwein/teaching/Lecture-Notes-Volkwein.pdf (accessed on 27 May 2024).
- Sirovich, L. Turbulence and the dynamics of coherent structures. Part I: Coherent structures. Q. Appl. Math. 1987, 45, 561–571. [Google Scholar] [CrossRef]
- Sirovich, L. Turbulence and the dynamics of coherent structures. Part II: Symmetries and transformations. Q. Appl. Math. 1987, 45, 573–582. [Google Scholar] [CrossRef]
- Sirovich, L. Turbulence and the dynamics of coherent structures. Part III: Dynamics and scaling, quarterly of applied mathematics. Q. Appl. Math. 1987, 45, 583–590. [Google Scholar] [CrossRef]
- Jolliffe, I.T. Principal Component Analysis; Springer: New York, NY, USA, 1986. [Google Scholar]
- Fukunaga, F. Introduction to Statistical Recognition; Academic Press: New York, NY, USA, 1990. [Google Scholar]
- Selten, F.M. Baroclinic empirical orthogonal functions as basis functions in an atmospheric model. J. Atmos. Sci. 1997, 54, 2099–2114. [Google Scholar] [CrossRef]
- Crommelin, D.T.; Majda, A.J. Strategies for Model Reduction: Comparing Different Optimal Bases. J. Atmos. Sci. 2004, 61, 2206–2217. [Google Scholar] [CrossRef]
- Li, H.; Luo, Z.D.; Gao, J.Q. A new reduced-order FVE algorithm based on POD method for viscoelastic equations. Acta Math. Sci. 2013, 33, 1076–1098. [Google Scholar] [CrossRef]
- Luo, Z.D.; Du, J.; Xie, Z.H.; Guo, Y. A reduced stabilized mixed finite element formulation based on proper orthogonal decomposition for the non-stationary Navier-Stokes equations. Int. J. Numer. Meth. Eng. 2011, 88, 31–46. [Google Scholar] [CrossRef]
- Li, Y.J.; Luo, Z.D.; Liu, C.A. The mixed finite element reduced-dimension technique with unchanged basis functions for hydrodynamic equation. Mathematics 2023, 11, 807. [Google Scholar] [CrossRef]
- Luo, Z.D.; Yang, J. The reduced-order method of continuous space-time finite element scheme for the non-stationary incompressible flows. J. Comput. Phys. 2022, 456, 111044. [Google Scholar] [CrossRef]
- Yang, J.; Luo, Z.D. A reduced-order extrapolating space-time continuous finite element method for the 2D Sobolev equation. Numer. Methods Partial Differ. Equ. 2020, 36, 1446–1459. [Google Scholar] [CrossRef]
- Luo, Z.D.; Jin, S.J. A reduced-order extrapolated Crank-Nicolson collocation spectral method based on proper orthogonal decomposition for the two-dimensional viscoelastic wave equations. Numer. Methods Partial Differ. Equ. 2020, 36, 49–65. [Google Scholar] [CrossRef]
- Luo, Z.D.; Jiang, W. A reduced-order extrapolated Crank-Nicolson finite spectral element method for the 2D non-stationary Navier-Stokes equations about vorticity-stream functions. Appl. Numer. Math. 2020, 147, 161–173. [Google Scholar] [CrossRef]
- Luo, Z.D.; Li, H.; Sun, P.; Gao, J.Q. A reduced-order finite difference extrapolation algorithm based on POD technique for the non-stationary Navier-Stokes equations. Appl. Math. Model 2013, 37, 5464–5473. [Google Scholar] [CrossRef]
- An, J.; Luo, Z.D.; Li, H.; Sun, P. A reduced spectral-finite difference scheme based on POD method and posterior error estimate for the three-dimensional parabolic equation. Front. Math. China 2015, 10, 1025–1040. [Google Scholar] [CrossRef]
- Luo, Z.D.; Ren, H.L. A reduced-order extrapolated finite difference iterative method for the Riemann-Liouville tempered fractional derivative equation. Appl. Numer. Math. 2020, 157, 307–314. [Google Scholar] [CrossRef]
- Deng, Q.X.; Luo, Z.D. A reduced-order extrapolated finite difference iterative scheme for uniform transmission line equation. Appl. Numer. Math. 2022, 172, 514–524. [Google Scholar] [CrossRef]
- Sun, Z.Z.; Gao, G.H. Finite-Difference Method for Fractional Differential Equations; Chinese Science Press: Beijing, China, 2015. (In Chinese) [Google Scholar]
- Zhang, W.S. Finite Difference Methods for Partial Differential Equations in Science Computation; Higher Education Press: Beijing, China, 2006. (In Chinese) [Google Scholar]
- Quarteroni, A.; Sacco, R.; Saleri, F. Numerical Mathematics; Springer: New York, NY, USA, 2000. [Google Scholar]









| Weighted Explicit Method | POD Method | ||||||
|---|---|---|---|---|---|---|---|
| Order | CPU (s) | Order | CPU (s) | ||||
| 4.3029 × 10−6 | – | 1.0 | 4.3043 × 10−6 | – | 0.1 | ||
| 1.0757 × 10−6 | 2.0000 | 7.6 | 1.0760 × 10−6 | 2.0001 | 1.0 | ||
| 2.6892 × 10−7 | 2.0000 | 76.0 | 2.6899 × 10−7 | 2.0001 | 7.1 | ||
| Weighted Explicit Method | POD Method | ||||||
|---|---|---|---|---|---|---|---|
| Order | CPU (s) | Order | CPU (s) | ||||
| 2.1459 × 10−6 | – | 1.9 | 1.9156 × 10−6 | – | 0.2 | ||
| 5.3644 × 10−7 | 2.0001 | 21.0 | 4.7887 × 10−7 | 2.0001 | 1.9 | ||
| 1.3411 × 10−7 | 2.0000 | 155.5 | 1.1970 × 10−7 | 2.0002 | 15.2 | ||
| Weighted Explicit Method | POD Method | ||||||
|---|---|---|---|---|---|---|---|
| Order | CPU (s) | Order | CPU (s) | ||||
| 1.3229 × 10−6 | – | 2.9 | 8.5270 × 10−7 | – | 0.3 | ||
| 3.3069 × 10−7 | 2.0002 | 31.0 | 2.1315 × 10−7 | 2.0002 | 2.9 | ||
| 8.2668 × 10−8 | 2.0001 | 354.1 | 5.3279 × 10−8 | 2.0002 | 20.6 | ||
| T | h | Weighted Explicit Method | POD Method | |||||
|---|---|---|---|---|---|---|---|---|
| Order | CPU (s) | Order | CPU (s) | |||||
| 1 | 1.1 | 5.4838 × 10−6 | – | 1.0 | 5.3392 × 10−6 | – | 0.1 | |
| 1.3709 × 10−6 | 2.0000 | 8.1 | 1.3348 × 10−6 | 2.0000 | 1.0 | |||
| 3.4273 × 10−7 | 2.0000 | 69.4 | 3.3369 × 10−7 | 2.0000 | 7.2 | |||
| 1.4 | 4.9449 × 10−6 | – | 1.0 | 5.0093 × 10−6 | – | 0.1 | ||
| 1.2362 × 10−6 | 2.0001 | 8.2 | 1.2523 × 10−6 | 2.0001 | 1.0 | |||
| 3.0904 × 10−7 | 2.0000 | 69.8 | 3.1304 × 10−7 | 2.0001 | 7.3 | |||
| 2 | 1.1 | 3.6151 × 10−6 | – | 2.1 | 2.3787 × 10−6 | – | 0.2 | |
| 9.0376 × 10−7 | 2.0000 | 16.3 | 5.9458 × 10−7 | 2.0002 | 2.0 | |||
| 2.2594 × 10−7 | 2.0000 | 101.1 | 1.4864 × 10−7 | 2.0001 | 14.5 | |||
| 1.4 | 2.8961 × 10−6 | – | 2.1 | 2.9586 × 10−6 | – | 0.2 | ||
| 7.2397 × 10−7 | 2.0001 | 16.9 | 7.3957 × 10−7 | 2.0002 | 2.0 | |||
| 1.8099 × 10−7 | 2.0001 | 142.6 | 1.8487 × 10−7 | 2.0002 | 15.6 | |||
| 3 | 1.1 | 2.8208 × 10−6 | – | 3.1 | 2.9038 × 10−6 | – | 0.6 | |
| 7.0518 × 10−7 | 2.0000 | 25.4 | 7.2592 × 10−7 | 2.0001 | 3.3 | |||
| 1.7630 × 10−7 | 2.0000 | 213.1 | 1.8147 × 10−7 | 2.0001 | 21.7 | |||
| 1.4 | 2.0562 × 10−6 | – | 3.1 | 1.8928 × 10−6 | – | 0.6 | ||
| 5.1399 × 10−7 | 2.0002 | 25.4 | 4.7311 × 10−7 | 2.0003 | 3.3 | |||
| 1.2849 × 10−7 | 2.0001 | 217.2 | 1.1826 × 10−7 | 2.0002 | 21.9 | |||
| T | h | Weighted Explicit Method | POD Method | |||||
|---|---|---|---|---|---|---|---|---|
| Order | CPU (s) | Order | CPU (s) | |||||
| 1 | 1.4 | 6.8788 × 10−6 | – | 0.7 | 6.1104 × 10−6 | – | 0.1 | |
| 1.7190 × 10−6 | 2.0006 | 5.3 | 1.5305 × 10−6 | 1.9973 | 1.0 | |||
| 4.2966 × 10−7 | 2.0003 | 60.4 | 3.8254 × 10−7 | 2.0003 | 7.0 | |||
| 1.6 | 5.3011 × 10−6 | – | 0.7 | 4.5807 × 10−6 | – | 0.1 | ||
| 1.3241 × 10−6 | 2.0013 | 5.3 | 1.1451 × 10−6 | 2.0002 | 1.0 | |||
| 3.3086 × 10−7 | 2.0007 | 67.2 | 2.8623 × 10−7 | 2.0002 | 7.0 | |||
| 1.8 | 4.2201 × 10−6 | – | 0.7 | 3.9155 × 10−6 | – | 0.1 | ||
| 1.0545 × 10−6 | 2.0007 | 5.3 | 9.7882 × 10−7 | 2.0001 | 1.0 | |||
| 2.6359 × 10−7 | 2.0002 | 63.7 | 2.4470 × 10−7 | 2.0000 | 7.3 | |||
| 2 | 1.4 | 3.7828 × 10−6 | – | 1.3 | 2.3088 × 10−6 | – | 0.2 | |
| 9.4569 × 10−7 | 2.0000 | 10.7 | 5.7863 × 10−7 | 1.9964 | 1.9 | |||
| 2.3643 × 10−7 | 2.0000 | 101.0 | 1.4463 × 10−7 | 2.0003 | 15.2 | |||
| 1.6 | 2.8401 × 10−6 | – | 1.4 | 1.6910 × 10−6 | – | 0.2 | ||
| 7.0916 × 10−7 | 2.0018 | 14.0 | 4.2271 × 10−7 | 2.0001 | 1.9 | |||
| 1.7712 × 10−7 | 2.0014 | 135.8 | 1.0567 × 10−7 | 2.0002 | 15.4 | |||
| 1.8 | 1.9753 × 10−6 | – | 1.4 | 1.4409 × 10−6 | – | 0.2 | ||
| 4.9137 × 10−7 | 2.0072 | 15.1 | 3.6020 × 10−7 | 2.0001 | 2.0 | |||
| 1.2240 × 10−7 | 2.0053 | 118.4 | 9.0048 × 10−8 | 2.0000 | 15.5 | |||
| 3 | 1.4 | 1.9961 × 10−6 | – | 2.0 | 8.5087 × 10−7 | – | 0.6 | |
| 4.9988 × 10−7 | 1.9976 | 16.3 | 2.1321 × 10−7 | 1.9966 | 3.5 | |||
| 1.2511 × 10−7 | 1.9984 | 166.5 | 5.3292 × 10−8 | 2.0003 | 22.3 | |||
| 1.6 | 1.5963 × 10−6 | – | 2.1 | 6.2218 × 10−7 | – | 0.6 | ||
| 4.0070 × 10−7 | 1.9942 | 25.5 | 1.5552 × 10−7 | 2.0003 | 3.5 | |||
| 1.0040 × 10−7 | 1.9968 | 189.4 | 3.8874 × 10−8 | 2.0002 | 22.8 | |||
| 1.8 | 1.1056 × 10−6 | – | 2.1 | 5.3008 × 10−7 | – | 0.7 | ||
| 2.7683 × 10−7 | 1.9978 | 17.6 | 1.3251 × 10−7 | 2.0001 | 3.5 | |||
| 6.9101 × 10−8 | 2.0022 | 216.5 | 3.3127 × 10−8 | 2.0000 | 22.9 | |||
Disclaimer/Publisher’s Note: The statements, opinions and data contained in all publications are solely those of the individual author(s) and contributor(s) and not of MDPI and/or the editor(s). MDPI and/or the editor(s) disclaim responsibility for any injury to people or property resulting from any ideas, methods, instructions or products referred to in the content. |
© 2024 by the authors. Licensee MDPI, Basel, Switzerland. This article is an open access article distributed under the terms and conditions of the Creative Commons Attribution (CC BY) license (https://creativecommons.org/licenses/by/4.0/).
Share and Cite
Ren, X.; Li, H. A Reduced-Dimension Weighted Explicit Finite Difference Method Based on the Proper Orthogonal Decomposition Technique for the Space-Fractional Diffusion Equation. Axioms 2024, 13, 461. https://doi.org/10.3390/axioms13070461
Ren X, Li H. A Reduced-Dimension Weighted Explicit Finite Difference Method Based on the Proper Orthogonal Decomposition Technique for the Space-Fractional Diffusion Equation. Axioms. 2024; 13(7):461. https://doi.org/10.3390/axioms13070461
Chicago/Turabian StyleRen, Xuehui, and Hong Li. 2024. "A Reduced-Dimension Weighted Explicit Finite Difference Method Based on the Proper Orthogonal Decomposition Technique for the Space-Fractional Diffusion Equation" Axioms 13, no. 7: 461. https://doi.org/10.3390/axioms13070461
APA StyleRen, X., & Li, H. (2024). A Reduced-Dimension Weighted Explicit Finite Difference Method Based on the Proper Orthogonal Decomposition Technique for the Space-Fractional Diffusion Equation. Axioms, 13(7), 461. https://doi.org/10.3390/axioms13070461

