Next Article in Journal
On the Construction of Quantum and LCD Codes from Cyclic Codes over the Finite Commutative Rings
Previous Article in Journal
Malliavin Regularity of Non-Markovian Quadratic BSDEs and Their Numerical Schemes
 
 
Font Type:
Arial Georgia Verdana
Font Size:
Aa Aa Aa
Line Spacing:
Column Width:
Background:
Article

Decoherence and Transition to Classicality for Time-Dependent Stochastic Quantum Systems with a General Environment

School of Electronic Engineering, Kyonggi University, Yeongtong-gu, Suwon 16227, Gyeonggi-do, Republic of Korea
Axioms 2023, 12(4), 368; https://doi.org/10.3390/axioms12040368
Submission received: 4 February 2023 / Revised: 5 April 2023 / Accepted: 7 April 2023 / Published: 10 April 2023
(This article belongs to the Special Issue Hamiltonian Function in Quantum Field Theories)

Abstract

The emergence of classicality from a stochastic quantum system through decoherence is investigated. We consider the case where the parameters, such as mass, frequency, and the damping coefficient, vary with time. The invariant operator theory is employed in order to describe quantum evolution of the system. It is supposed that the system is in equilibrium with the environment at a finite temperature. The characteristics of decoherence, the classical correlation and the quantum coherence length are analyzed. The decoherence time is estimated in both position and momentum spaces. We verify from such analyses that the time dependence of the stochastic process affects the quantum-to-classical transition of the system. To promote the understanding of the results, we apply our development to a particular system which is the damped harmonic oscillator. Through this application, we confirm that the decoherence condition is satisfied in the limit of a sufficiently high temperature, whereas the classical correlation is not affected by the temperature.

1. Introduction

The characteristics of stochastic quantum systems (SQSs) described by the Langevin equation [1,2] or Fokker–Planck equation [2,3] have long attracted great interest from physicists. Many systems in scientific disciplines, such as basic physics, biology, chemistry, engineering, and astronomy, belong to SQSs [2,4,5]. Despite the ubiquity and importance of SQSs, the fundamental nature of the associated stochastic process based on quantum possibilities is not fully understood [4,6]. Especially, SQSs associated with quantum information processing in quantum computation, quantum cryptography, and quantum communication are important [7,8]. Quantum effects relevant to this are particularly prominent in the case where mass of the system is extremely small as is well known.
An interesting consequence of quantum field theory, which is necessary for understanding SQSs, is the emergence of classical behavior in a system from quantum one after a finite time known as the decoherence time. In constructing a physical framework for interpreting such an advent of classicality, the understanding of decoherence plays a key role since it is at the heart of the associated quantum-to-classical transition [9,10,11,12,13]. Rigorous experiments for tracing the boundary between the quantum and classical worlds show that various interactions of quantum systems with their environment cause decoherence [14,15,16].
When a quantum system interacts with its environment, phase coherence between possible quantum states is destroyed in general, leading them to a pointer state [17]. Namely, the pointer states are a small set of relatively stable states that can appear as a result of decoherence. They are regarded to be minimally disturbed during the interaction between a system and its environment [18], and minimize the production of the (von Neumann) entropy against unlimited changes of the initial states [19]. The loss of quantum coherence can take place naturally when a system interacts with its surroundings.
Besides decoherence, correlation is also a necessary condition for the shifting of a quantum system to a classical one. The underlying notion of the correlation condition is that the Wigner distribution function should be peaked along the classical trajectory, whereas the decoherence condition focuses on the disappearance of quantum interference in the same trajectory. Despite the crucial roles of these two conditions in understanding the relation between quantum and classical behaviors, there is no general consensus for the interpretation of the two factors as the classicality conditions in the physics community on one hand [20].
The decoherence phenomenon unwantedly restricts the exploitation of quantum information technologies which are expected to lead next-generation industries [5]. Because nonclassical states and entanglement are fragile under the influence of environments, the development of solid-state qubits robust to decoherence as fundamental building blocks of quantum computers is necessary. Concerning this, the problem of controlling and reducing decoherence requires clarification of the properties of those factors based on exact physical theory of related stochastic processes [21].
To meet the above-mentioned requirement, we study, in this paper, the progress of quantum characteristics of time-dependent SQSs that interact with the environment. How decoherence, classical correlation, and quantum coherence length are related to the emergence of classicality from their initial quantum characters is analyzed. We organize this work as follows. We derive quantum solutions of an SQS with a general environment in Section 2 on the basis of the invariant operator theory. Such solutions are used in investigating quantum decoherence and the classical correlation of the time-varying systems in Section 3. Emergence of classicality from quantum characters is analyzed in Section 4 in the limit of the damped harmonic oscillator for better understanding. Discussions and some concluding remarks are given in the last section.

2. Stochastic Quantum System and a General Environment

We survey how to quantize a stochastic system with a general environment characterized by time-dependent parameters in this section. To this end, the invariant operator method which is useful for quantizing time-dependent Hamiltonian systems will be used. The Hamiltonian of an SQS with a general environment has the form
H ^ ( x , t ; { f , Γ } ) = 2 2 σ ( t ) 2 + V ( x , t ; { f , Γ } ) , x R 3 ,
where σ ( t ) is a time function, V ( x , t ; { f , Γ } ) is an interaction potential of the system that consists of regular and stochastic terms, f = f ( t ) is a random vector force responsible for the generation of environment fluctuations, and Γ = Γ ( t ) is a white noise. Here, we put
σ ( t ) = m ( t ) exp t 0 t α ( t ) d t + φ ,
where m ( t ) is an effective time-dependent mass and α ( t ) is a time-dependent damping factor originated from a frictional force. We suppose that α ( t ) is always real. For a one-dimensional oscillatory system with variable parameters, the Hamiltonian becomes [4]
H ^ ( x , t ; { f , Γ } ) = 1 2 2 σ ( t ) x 2 + σ ( t ) Ω 2 ( t , { f } ) x 2 σ ( t ) Γ ( t ) x ,
where Ω ( t , { f } ) is a random function of time. We only consider the system described by this Hamiltonian from now on for convenience. To simplify the problem, we assume that
Ω 2 ( t , { f } ) = Ω 0 2 + f ( t ) ,
where Ω 0 is a constant, whereas f ( t ) acts as an independent stochastic process. f ( t ) and Γ ( t ) follow independent Gaussian stochastic processes with the conditions
lim t f ( t ) = 0 ,
lim t Γ ( t ) = 0 .
Whereas these functions have a zero mean
f ( t ) = 0 ,
Γ ( t ) = 0 ,
the correlation functions associated with them are given by
f ( t ) f ( t ) = 2 λ δ ( t t ) ,
Γ ( t ) Γ ( t ) = 2 λ δ ( t t ) .
For the case where parameters do not vary over time, the probability distribution of the system is relatively well known in both position and momentum spaces [3,22,23].
Let us denote a homogeneous solution of the classical equation of motion of the system without the white noise as ξ ( t ) . Then, from Hamilton’s equations, we easily confirm that it follows
ξ ¨ ( t ) + m ˙ ( t ) m ( t ) + α ( t ) ξ ˙ ( t ) + Ω 2 ( t ; { f } ) ξ ( t ) = 0 .
We see from this equation that, not only damping coefficient α ( t ) , but also the time dependence of mass causes dissipation of the amplitude in the system. A general form of the solution ξ ( t ) can be divided into real and imaginary parts as
ξ ( t ) = ξ R ( t ) + i ξ I ( t ) ,
where ξ R ( t ) and ξ I ( t ) are real and independent from each other. The solution may also be written in terms of its amplitude and phase, such that
ξ ( t ) = r ( t ) e i γ ( t ) ,
where
r ( t ) = [ ξ R 2 ( t ) + ξ I 2 ( t ) ] 1 / 2 ,
γ ( t ) = tan 1 ξ I ( t ) ξ R ( t ) .
The separation-of-variables method for solving the Schrödinger equation of the system may be inapplicable here because the Hamiltonian, Equation (3), is a complicated time-dependent form. In such a case, the invariant operator method is useful for deriving quantum solutions of the system. This method is based on the Lewis–Riesenfeld invariants [24,25] which are the extension of the classical Ermakov invariants [26] into the quantum domain. The availability of this method stems from the fact that the Schrödinger solutions (wave functions) of a time-dependent Hamiltonian system are described in terms of the eigenstates of the invariant operator. Many researches on the quantum application have been carried out using the invariant operator method [27,28,29,30,31]. From the Liouville–von Neumann equation,
I ^ / t + [ I ^ , H ^ ( x , t ; { f , Γ } ) ] / ( i ) = 0 ,
we derive a quadratic invariant operator:
I ^ = r 2 ( t ) [ p ^ P p ( t ) ] 2 σ ( t ) { ξ ˙ * ( t ) ξ ( t ) [ x ^ X p ( t ) ] [ p ^ P p ( t ) ] + ξ * ( t ) ξ ˙ ( t ) [ p ^ P p ( t ) ] [ x ^ X p ( t ) ] } + σ 2 ( t ) ξ ˙ * ( t ) ξ ˙ ( t ) [ x ^ X p ( t ) ] 2 ,
where p ^ = i / x , whereas X p ( t ) and P p ( t ) are particular solutions of the system in position and momentum spaces respectively. Again from Hamilton’s equations, we see that X p ( t ) is obtained from
X ¨ p ( t ) + m ˙ ( t ) m ( t ) + α ( t ) X ˙ p ( t ) + Ω 2 ( t ; { f } ) X p ( t ) = Γ ( t ) .
Once X p ( t ) is known by solving this equation for a specific case, P p ( t ) is also obtained from
P p ( t ) = σ ( t ) d X p ( t ) d t .
It is possible to express the eigenvalue equation of the invariant operator as
I ^ ϕ ( x , t ) = Λ ϕ ( x , t ) ,
where Λ is the eigenvalue and ϕ ( x , t ) is the eigenstate. By solving this equation, we have (see Appendix A)
Λ n = W n ,
ϕ n ( x , t ) = 1 2 n n ! W 2 π r 2 ( t ) 1 / 2 H n W 2 x X p ( t ) r ( t ) × exp i σ ( t ) ξ ˙ ( t ) 2 ξ ( t ) [ x X p ( t ) ] 2 exp i P p ( t ) x / ,
where n = 0 , 1 , 2 , and
W = i σ ( t ) [ ξ ( t ) ξ ˙ * ( t ) ξ * ( t ) ξ ˙ ( t ) ] .
Here, we assumed that γ is positive so that W becomes positive.
According to the invariant operator theory, the wave functions of the system can be represented in terms of the eigenstates of the invariant operator as mentioned earlier. Hence we put the wave functions in the form [25]
ψ n ( x , t ) = ϕ n ( x , t ) exp [ i θ n ( t ) ] ,
where θ n ( t ) are time-dependent phases. With the aid of the Schrödinger equation, the phases are easily derived to be [31]
θ n ( t ) = n + 1 2 W 2 t 0 t d t σ ( t ) r 2 ( t ) 1 t 0 t 1 2 σ ( t ) [ X ˙ p 2 ( t ) Ω 2 ( t ; { f } ) X p 2 ( t ) ] d t + θ n ( t 0 ) .
Now, we compare the Schrödinger solutions, Equation (24) with Equations (22) and (25), with those of other reports for a simple case. Under the conditions,
(i)
The contribution of f ( t ) in Equation (4) is minor,
(ii)
m ( t ) = m 0 + m ( t ) where m 0 is a constant and | m ( t ) | m 0 ,
(iii)
Γ ( t ) = 0 , and
(iv)
α ( t ) = 0 ,
Equation (23) and γ ( t ) in Equation (13) are approximately reduced to
W 2 m 0 r m 2 Ω 0 2 Ω ˜ 0 ,
γ ( t ) Ω 0 t ,
where r m is the mean value of r ( t ) over a sufficiently long time τ :
r m = 1 τ t 0 t 0 + τ r ( t ) d t .
Then, the wave functions become
ψ n ( x , t ) = 1 2 n n ! Ω ˜ 0 π r 2 ( t ) 1 / 2 H n Ω ˜ 0 x r ( t ) exp m ( t ) 2 i r ˙ ( t ) r ( t ) Ω 0 x 2 × exp i n + 1 2 Ω ˜ 0 t 0 t d t m ( t ) r 2 ( t ) + i θ n ( t 0 ) .
If we further put = m ( t ) 1 , we have
ψ n ( x , t ) = 1 2 n n ! Ω ˜ 0 π r 2 1 / 2 H n Ω ˜ 0 x r exp 1 2 i r ˙ r Ω 0 x 2 × exp i n + 1 2 Ω ˜ 0 t 0 t d t r 2 ( t ) + i θ n ( t 0 ) .
This is somewhat different from Gevorkyan’s result presented in Ref. [4] (see Appendix B). Notice that, in the limit of the stationary oscillatory motion, our result Equation (30) (or, more generally, Equation (24)) recovers to the well known formula associated with the simple harmonic oscillator, whereas Gevorkyan’s result does not in the same limit.
The Fourier transform of Equation (24) with Equations (22) and (25),
ψ ¯ n ( p , t ) = 1 2 π ψ n ( x , t ) e i p x / d x ,
gives the momentum-space wave functions such that
ψ ¯ n ( p , t ) = ( 1 ) n 1 2 n n ! i σ ( t ) r ( t ) W 2 π 1 / 2 [ ξ ˙ * ( t ) / ξ * ( t ) ] n [ ξ ˙ ( t ) / ξ ( t ) ] n + 1 1 / 2 × H n W 2 σ 2 ( t ) p P p ( t ) [ r ˙ 2 ( t ) + r 2 ( t ) γ ˙ 2 ( t ) ] 1 / 2 × exp ξ ( t ) 2 i σ ( t ) ξ ˙ ( t ) [ p P p ( t ) ] 2 × exp i X p ( t ) [ p P p ( t ) ] / exp [ i θ n ( t ) ] .
We see from Equations (24) and (32) that both the wave functions in position and momentum spaces are represented in terms of classical solutions ξ ( t ) , X p ( t ) , and P p ( t ) . In the next section, we study the emergence of classicality from the SQS, via the decoherence phenomena and the classical correlation, using these wave functions.

3. Quantum Decoherence and the Classical Correlation

If we think that the concepts of decoherence and the classical correlation, as well as intrinsic quantum properties of the system, are important for understanding the classical transition of SQSs, such characters may be worth investigating on the basis of fundamental quantum foundations. Since most novel quantum phenomena such as decoherence and the collapse of the wave function take place without a classical analog, the interaction of the system with the environment is more complicated when we observe it from the quantum-mechanical viewpoint rather than the classical view. Suppose that the system is in equilibrium with the environment at a finite temperature T. Then, according to statistical physics, the partition function of the system is given by
Z = n = 0 e β W ( n + 1 / 2 ) = 1 2 sinh ( β W / 2 ) ,
where β = 1 / ( k T ) , with k being Boltzmann’s constant, and W = W / [ 2 σ ( t 0 ) r 2 ( t 0 ) ] . In the case of m ( t ) = m 0 , α ( t ) = α 0 , where m 0 and α 0 are real constants, and f ( t ) = 0 , W is reduced to W = [ Ω 0 2 α 0 2 / 4 ] 1 / 2 which is identical to the modified frequency of the standard damped harmonic oscillator (see Appendix C).
Coherence refers to the superposition of quantum states in a coherent manner where a definite phase relation between the constituent states exists, and decoherence refers to the loss of this property, which leads to a classical mixture of states. Decoherence occurs as the off-diagonal entries of the density matrix of a system disappear during its evolution via interaction with environment. Hence, to analyze the transition of the system into a classical one by decoherence, we examine the density operator of the system, which is expressed as
ρ ( t ) = 1 Z n = 0 e β W ( n + 1 / 2 ) | ψ n ( t ) ψ n ( t ) | .
Using Mehler’s formula [32,33] together with Equation (24), we obtain
x | ρ ( t ) | x = Π x ( t ) exp [ μ + + ( t ) x + 2 μ ( t ) x 2 + i μ + ( t ) x + x + μ + ( t ) x + i μ ( t ) x μ 0 ( t ) ] ,
where
x + = x + x 2 ,
x = x x 2 ,
and
Π x = W 2 π r 2 ( t ) tanh ( β W / 2 ) 1 / 2 ,
μ + + = σ ( t ) γ ˙ ( t ) 2 W exp ( β W / 2 ) 4 r 2 ( t ) cosh ( β W / 2 ) ,
μ = σ ( t ) γ ˙ ( t ) 2 + W exp ( β W / 2 ) 4 r 2 ( t ) sinh ( β W / 2 ) ,
μ + = σ ( t ) r ˙ ( t ) r ( t ) ,
μ + = 2 2 X p ( t ) μ + + ,
μ = 2 X p ( t ) μ + 2 P p ( t ) / ,
μ 0 = 2 X p 2 ( t ) μ + + .
If we consider that ξ ( t ) is given by Equation (13), W represented in Equation (23) can be rewritten in the form
W = 2 σ ( t ) r 2 ( t ) γ ˙ ( t ) .
Hence, μ + + and μ are reduced to
μ + + = σ ( t ) γ ˙ ( t ) 2 tanh ( β W / 2 ) ,
μ = σ ( t ) γ ˙ ( t ) 2 coth ( β W / 2 ) .
It is possible to define the measure of the degree of quantum decoherence in position space using the exponential factor of Equation (35). That is, the decoherence measure is the ratio of the dispersion ( 2 μ ) 1 / 2 in the off-diagonal term x 2 to the dispersion ( 2 μ + + ) 1 / 2 in the diagonal term x + 2 :
δ QD , x = μ + + μ 1 / 2 .
Notice that this definition is somewhat different from those presented in other works. For example, Morikawa’s definition [34] of the quantum decoherence measure is δ QD , x ( Morikawa ) = 2 δ QD , x and Kim’s definition [35,36] is δ QD , x ( Kim ) = δ QD , x / 2 . Using Equations (46) and (47), we easily obtain that
δ QD , x = tanh ( β W / 2 ) .
This agrees with that of other reports for different systems, such as Ref. [35] and Refs. [20,37] with the condition t . We see from Equation (49) that δ QD , x varies depending on the temperature and W . The variation range of δ QD , x is ( 0 , 1 ) provided that β W is real. Here, the case δ QD , x = 1 (or δ QD , x ( Morikawa ) = 2 for Morikawa’s original definition) means no decoherence.
The measure of the degree of (relative) classical correlation is given by [34]
δ CC , x = 2 ( μ + + μ ) 1 / 2 | μ + | = | r ( t ) γ ˙ ( t ) r ˙ ( t ) | .
We confirm that this measure varies in time depending on the ratio γ ˙ ( t ) / r ˙ ( t ) , where the system is more classical when δ CC , x is smaller. It is also possible to define the measure of the degree of absolute classical correlation in position space [16] as δ ¯ CC , x = μ . Hence, we can readily write
δ ¯ CC , x = σ ( t ) γ ˙ ( t ) 2 coth ( β W / 2 ) 1 / 2 .
We will see whether the formula δ ¯ CC , x coincides with that in momentum space later, and some explanations will be provided.
The quantum coherence length that quantifies coherence is given by [34]
l QC , x = μ 1 / 2 = 2 σ ( t ) γ ˙ ( t ) tanh ( β W / 2 ) 1 / 2 .
This length means the length of a wave of which the phase is well-defined. In order that evolution of a quantum state in position space is effectively classical, the coherence length l QC , x should be relatively small [38]. The quantum coherence length of the wave in position space may be large when that in momentum space is small and vice versa, due to the complementarity property between them.
Now, we examine quantum decoherence and the classical correlation in momentum space. Using the same method as in the previous case, we see that the density operator in the momentum space is of the form
p | ρ ( t ) | p = Π p ( t ) exp [ ν + + ( t ) p + 2 ν ( t ) p 2 + i ν + ( t ) p + p + ν + ( t ) p + i ν ( t ) p ν 0 ( t ) ] ,
where
p + = p + p 2 ,
p = p p 2 ,
and
Π p = 1 σ ( t ) r ( t ) W 2 π ξ ( t ) ξ * ( t ) ξ ˙ ( t ) ξ ˙ * ( t ) tanh ( β W / 2 ) 1 / 2 ,
ν + + = 1 2 σ ( t ) [ r ˙ 2 ( t ) + r 2 ( t ) γ ˙ 2 ( t ) ] r 2 ( t ) γ ˙ ( t ) W exp ( β W / 2 ) 2 σ ( t ) cosh ( β W / 2 ) ,
ν = 1 2 σ ( t ) [ r ˙ 2 ( t ) + r 2 ( t ) γ ˙ 2 ( t ) ] r 2 ( t ) γ ˙ ( t ) + W exp ( β W / 2 ) 2 σ ( t ) sinh ( β W / 2 ) ,
ν + = r ( t ) r ˙ ( t ) σ ( t ) [ r ˙ 2 ( t ) + r 2 ( t ) γ ˙ 2 ( t ) ] ,
ν + = 2 2 P p ( t ) ν + + ,
ν = 2 P p ( t ) ν + + 2 X p ( t ) / ,
ν 0 = 2 P p 2 ( t ) ν + + .
The corresponding measure of degree of quantum decoherence and that of the classical correlation are given by
δ QD , p = ν + + ν 1 / 2 ,
δ CC , p = 2 ( ν + + ν ) 1 / 2 | ν + | .
Rigorous evaluations of these measures give the same results as those in position space, enabling us to write δ QD , p = δ QD , x δ QD , and δ CC , p = δ CC , x δ CC .
If we know the process of decoherence completely, the origin of the emerging of classical world can be explained relying on fundamental quantum substrates. In general, the quantum decoherence condition is given by [34]
δ QD 1 .
If this condition is met by environment-induced decoherence for instance, interference effects are suppressed, leading to the control problem of the system being classical. This condition plays a central role regarding the problem of consistent measurement in quantum mechanics.
It may not be easy to overcome decoherence in the context of quantum information processing, because it is a fundamental consequence accompanying quantum measurement. Though essential removing of decoherence is not possible, recently developed approaches that rely on a decoherence-free subspace [39,40] or employ quantum error correction codes [41] may provide possible solutions for alleviating such a nuisance.
The condition for the classical correlation holds when the measure of the classical correlation becomes also very small compared to unity [34]:
δ CC 1 .
When this condition is satisfied for a wave function, the Wigner distribution function is peaked following a classical trajectory in phase space, meaning that the classicality in the system emerged. Fundamental quantum features of the system, which enable the establishment of quantum protocols in quantum information, may collapse when this condition is satisfied.
Though the condition in Equation (66) is necessary for classicality, it competes with the condition in Equation (65) in many cases. For instance, if μ ( ν ) increases, δ QD , x ( δ QD , p ) becomes small, but δ CC , x ( δ CC , p ) becomes rather large. A compromise is necessary when they are adjusted in experimental systems.
The absolute classical correlation and quantum coherence length are given by
δ ¯ CC , p = ν = r 2 ( t ) γ ˙ ( t ) 2 σ ( t ) [ r ˙ 2 ( t ) + r 2 ( t ) γ ˙ 2 ( t ) ] coth ( β W / 2 ) 1 / 2 ,
l QC , p = ν 1 / 2 = 2 σ ( t ) [ r ˙ 2 ( t ) + r 2 ( t ) γ ˙ 2 ( t ) ] r 2 ( t ) γ ˙ ( t ) tanh ( β W / 2 ) 1 / 2 ,
which are different from those in position space. The quantum waves of the oscillatory system in position (momentum) space lose coherence beyond l QC , x ( l QC , p ) represented in Equation (52) (Equation (68)).
The product of the measures of absolute classical correlation in both spaces is of the form
δ ¯ CC , x δ ¯ CC , p = r ( t ) γ ˙ ( t ) 2 [ r ˙ 2 ( t ) + r 2 ( t ) γ ˙ 2 ( t ) ] 1 / 2 coth ( β W / 2 ) .
This is very similar to the uncertainty relation between position and momentum.
The interpretation of the emergence of classicality based on mutual information [11,12,38] may also be noticeable, though it is not a main topic that we treat through this work. Mutual information measures how much information the system and environment have in common. The quantum mutual information between the system and environment is the sum of Holevo information and the quantum discord. Holevo information shared is the same as the classical information that is accessible, whereas the quantum discord is non-classical correlations. The classicality condition in this context is that the quantum mutual information becomes the same as Holevo information: that is, the quantum discord approaches zero as a signature of classicality in comparison of the condition given in Equations (65) and (66) in our research.
In the next section, we will discriminate the case when the decoherence condition Equation (65) is satisfied for a particular system that is the damped harmonic oscillator. The classical correlation and quantum coherence length will also be investigated for the same system.

4. Damped Harmonic Oscillator Limit

According to the choice of arbitrary time-dependent parameters in the Hamiltonian, Equation (3), our development can be applied to various stochastic systems. We consider the damped harmonic oscillator among them. In the limit m ( t ) = m 0 , α ( t ) = α 0 , and f ( t ) = 0 , Equation (11) becomes
ξ ¨ ( t ) + α 0 ξ ˙ ( t ) + Ω 0 2 ξ ( t ) = 0 ,
which corresponds to that of the standard damped harmonic oscillator with damping constant α 0 . The damped harmonic oscillator is a good toy model of dissipative quantum systems.
Since it is shown in Appendix C that W = Ω 1 in this case, where
Ω 1 = [ Ω 0 2 α 0 2 / 4 ] 1 / 2 ,
the decoherence measure is reduced to
δ QD = tanh ( β Ω 1 / 2 ) .
This result is illustrated in Figure 1 as a function of the absolute temperature. δ QD becomes small as the temperature increases. Consequently, the quantum decoherence condition is met in the case that the temperature is sufficiently high. If the temperature gradually decreases towards absolute zero, δ QD increases and, eventually, it reaches an extreme value (unity) in the limit T 0 . That is, δ QD becomes a constant at T = 0 , where this outcome agrees with the report of Kim et al., which was treated only at absolute zero temperature (see Equation (32) in Ref. [36]). The formula Equation (72), which is of a particular case, also agrees with the result of Ref. [16]. Continuous interactions of the stochastic system with the surrounding environment always result in its decoherence.
To evaluate the decoherence time, we express Equation (35) as
x | ρ ( t ) | x = Π x ( t ) exp { [ μ ( t ) μ + + ( t ) ] x 2 A ( t ) x 2 A * ( t ) x 2 + B ( t ) x + B * ( t ) x μ 0 ( t ) } ,
where
A ( t ) = μ + + ( t ) i 2 μ + ( t ) ,
B ( t ) = 1 2 [ μ + ( t ) i μ ( t ) ] .
Since the decoherence time is determined by position off-diagonal elements [38], the conditional equation for estimating the decoherence time can be represented in the form
[ μ ( t ) μ + + ( t ) ] x 2 = 1 .
Thus, for the damped harmonic oscillator, the decoherence time τ D , x in position space measured from an initial time t 0 is given by
τ D , x = t D , x t 0 = 1 α 0 ln 2 sinh ( β Ω 1 ) m 0 Ω 1 ( x x ) 2 φ .
This is the time scale required for the onset of decoherence, i.e., quantum coherence disappears exponentially on this time scale. Since a classical state is the most robust one while pure quantum states are fragile, the predictable consequences of a physical process are always classical ones. A somewhat different definition of the decoherence time is given in Refs. [20,37].
From the similar condition in momentum space
[ ν ( t ) ν + + ( t ) ] p 2 = 1 ,
we have the decoherence time in momentum space for the damped harmonic oscillator:
τ D , p = t D , p t 0 = 1 α 0 ln Ω 1 ( p p ) 2 2 m 0 Ω 0 2 sinh ( β Ω 1 ) φ .
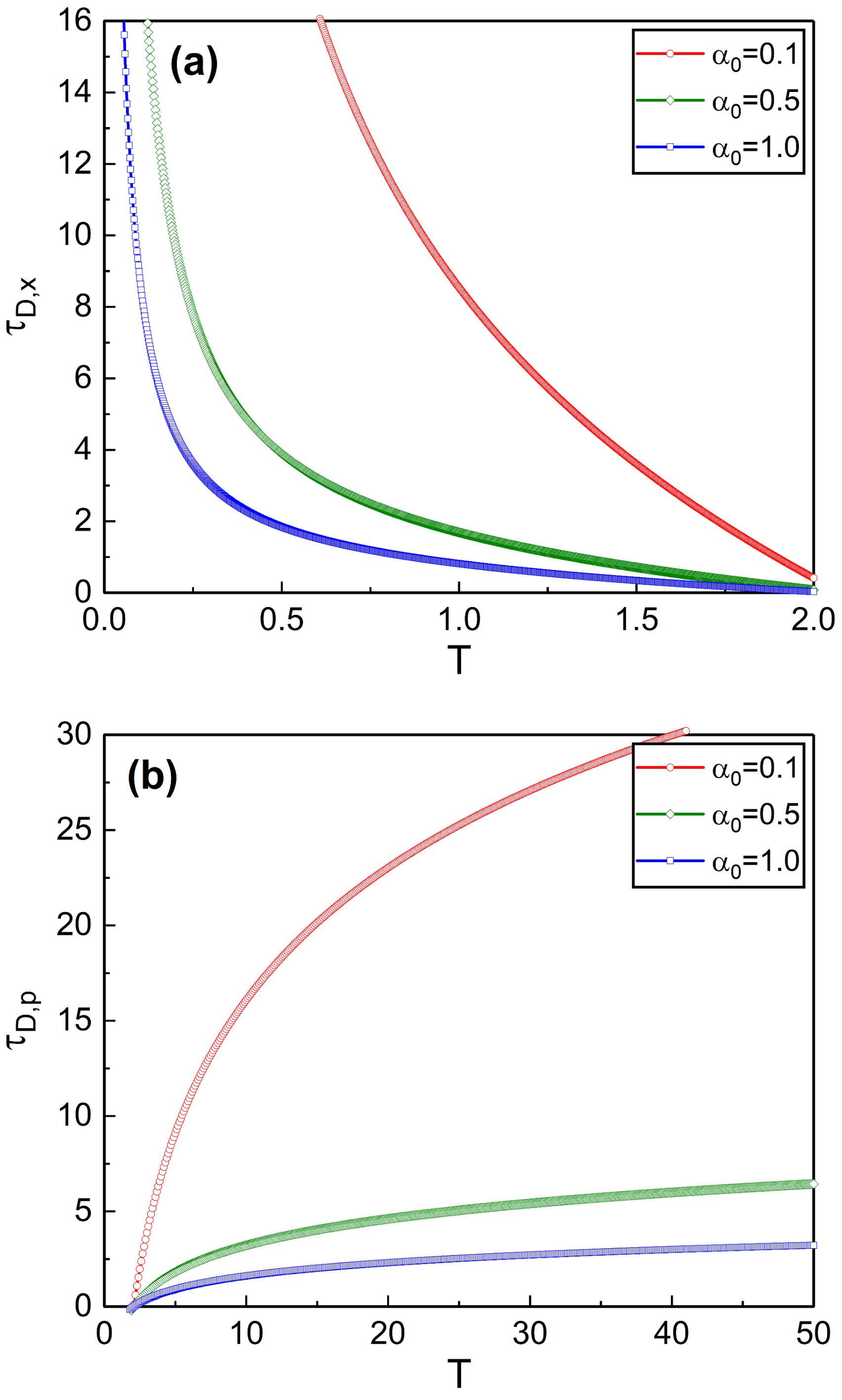
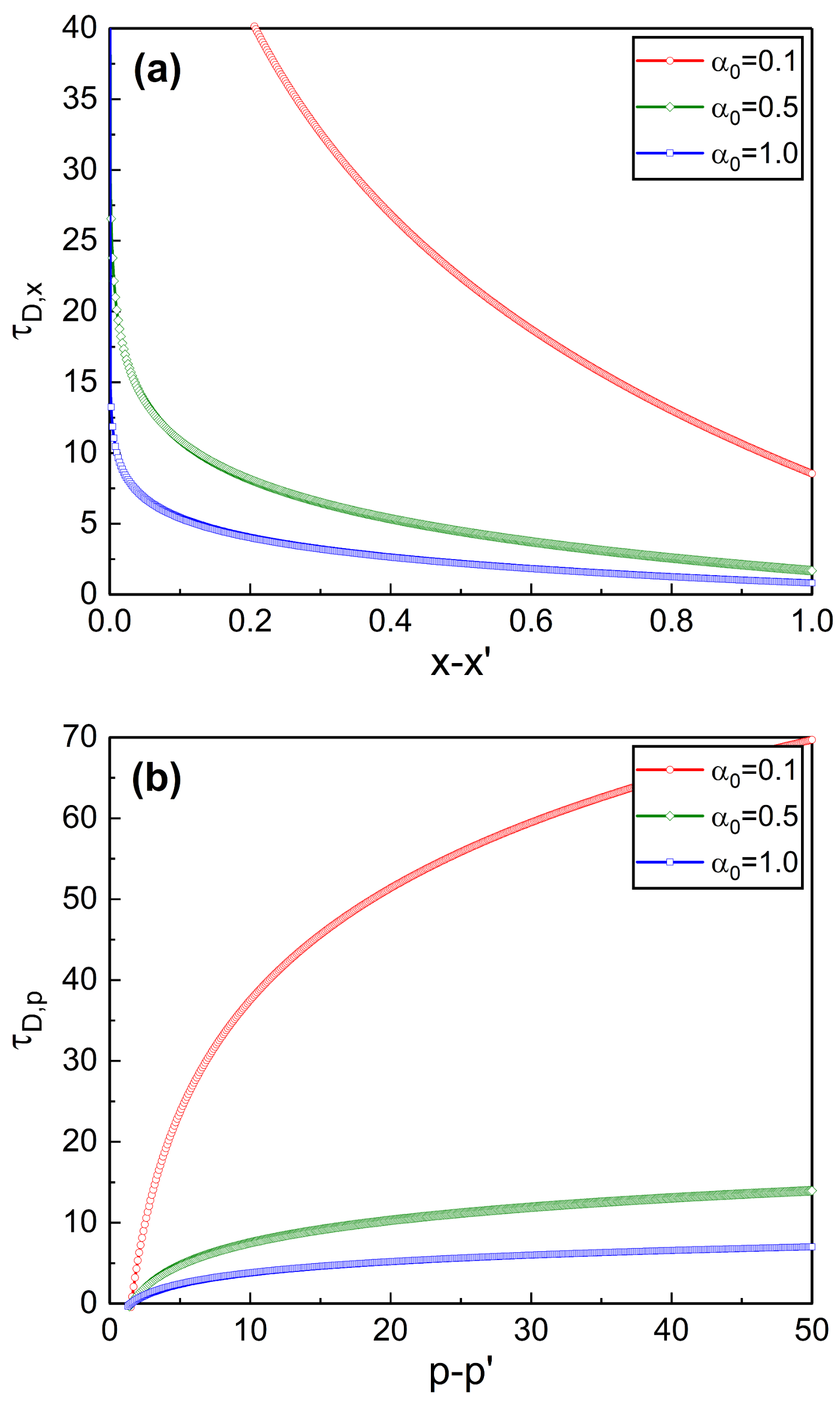
We confirm that both Equations (77) and (79) do not depend on Γ ( t ) . Figure 2 shows that τ D , x becomes small as x x increases, whereas τ D , p becomes large as p p grows. We can see the effects of the increase of the absolute temperature on the decoherence time from Figure 3. τ D , x decreases as the temperature grows while τ D , p increases in the same situation.
Now we consider the classical correlation for the damped harmonic oscillator. Using the values obtained in Appendix C, we can represent the measure of the classical correlation given in Equation (50) (or Equation (64)) as
δ CC = 2 Ω 1 α 0 .
This consequence for the reduced system is correct and agrees with that of Ref. [16]. However, it does not agree with that of Kim et al., (see Equation (33) in Ref. [36]), which exponentially increases with time. The classical correlation condition in our consequence is satisfied when Ω 1 is sufficiently small compared to α 0 according to Equation (66). For the ordinary harmonic oscillator limit ( α 0 0 ), Equation (80) becomes infinity.
On the other hand, the measures of the absolute classical correlations in each space are given by
δ ¯ CC , x = m 0 Ω 1 2 e α 0 ( t t 0 ) + φ coth ( β Ω 1 / 2 ) 1 / 2 ,
δ ¯ CC , p = Ω 1 e [ α 0 ( t t 0 ) + φ ] 2 m 0 [ Ω 1 2 + α 0 2 / 4 ] coth ( β Ω 1 / 2 ) 1 / 2 .
Notice that δ ¯ CC , x exponentially increases with the lapse of time whereas δ ¯ CC , p decreases exponentially. Hence, their behaviors are opposite each other in time.
The quantum coherence lengths are expressed as
l QC , x = 2 m 0 Ω 1 e [ α 0 ( t t 0 ) + φ ] tanh ( β Ω 1 / 2 ) 1 / 2 ,
l QC , p = 2 m 0 [ Ω 1 2 + α 0 2 / 4 ] Ω 1 e α 0 ( t t 0 ) + φ tanh ( β Ω 1 / 2 ) 1 / 2 .
Whereas l QC , x decreases exponentially with time, l QC , p increases exponentially. l QC , p is inversely proportional to l QC , x roughly, and it becomes large if l QC , x is small. This consequence is closely related to the reciprocal properties of the uncertainties of position and momentum.

5. Summary and Conclusions

Decoherence, classical correlation, and quantum coherence length of a time-varying SQS with a general environment were investigated in relation with the emergence of classicality from its initial quantum character using the invariant operator method. If we consider the arbitrariness of time dependence of the parameters, the Hamiltonian that we considered is somewhat complicated. The system dissipates with time due to not only the non-zero damping coefficient but also the time dependence of mass.
Measures for the degree of both decoherence and the classical correlation were evaluated using the wave functions. We confirmed that the classical correlation does not depend on the temperature, whereas the behavior of decoherence is different depending on the temperature. The quantum coherence lengths in position and momentum spaces vary depending on the change of parameters, but in different ways in both spaces. Quantal to classical transition of the system is affected by the time dependence of the stochastic process in this way.
For a deeper understanding of our research outcomes, we applied them to the damped harmonic oscillator. The quantum decoherence condition for that system is satisfied in the limit of high temperature. The decoherence time was estimated in both position and momentum spaces. The decoherence time in position space decreases as x x grows and that in momentum space increases as p p becomes large. Besides, the decoherence time in position space decreases as the temperature grows whereas that in momentum space increases in the same situation. The classical correlation condition is satisfied when the modified frequency of the oscillatory motion is sufficiently small compared to the damping coefficient. On the other hand, the quantum coherence length in position space decays exponentially as the damped system dissipates, whereas the momentum-space coherence length increases exponentially with time.
Although the decoherence phenomenon and the collapse of the system to a classical one have been fundamental questions in modern physics for a long time since the 1930s, the progress of related experimental techniques has now made it possible to observe and control it in laboratories [14,15,42]. Many experiments in this direction have been focused on revealing how quantum systems can be robust despite the influence of an environment. For the case of our system, we considered time-variation of parameters as a generalization of the research. Hence it may be favorable to test classicality considering variation of parameters [43,44] in order to demonstrate our results.
The mechanism of quantum decoherence represented in the text can be applicable to many practical systems beyond stochastic systems, such as optical fibers [45,46], nanomechanical oscillators [47], and evolution of the primordial universe [48]. In particular, polarization mode dispersion in fibers induces decoherence that is detrimental in keeping the coherence of polarization entanglement. Due to this, long distance quantum communication with quantum key distribution over more than a thousand kilometers through optical fibers is one of the challenging problems.

Funding

This work was supported by the National Research Foundation of Korea (NRF) grant funded by the Korea government (MSIT) (No.: NRF-2021R1F1A1062849).

Data Availability Statement

Not applicable.

Conflicts of Interest

The authors declare no conflict of interest.

Appendix A. Derivation of the Eigenstates of the Invariant Operator

A minor arrangement of Equation (20) after inserting Equation (17) into it leads to
[ 2 x 2 + σ ( t ) κ ( t ) i x x + i [ σ ( t ) κ ( t ) X p ( t ) 2 P p ( t ) ] x σ 2 ( t ) ξ ˙ * ( t ) ξ ˙ ( t ) r 2 ( t ) 2 x 2 σ ( t ) 2 κ ( t ) P p ( t ) 2 σ ( t ) r 2 ( t ) ξ ˙ * ( t ) ξ ˙ ( t ) X p ( t ) x + Π ( t ) ] ϕ = 0 ,
where κ ( t ) and Π ( t ) are time functions of the forms
κ ( t ) = ξ ˙ * ( t ) ξ * ( t ) + ξ ˙ ( t ) ξ ( t ) = 2 r ˙ ( t ) r ( t ) ,
Π ( t ) = 1 2 ( Λ r 2 ( t ) + σ ( t ) ξ ˙ ( t ) i ξ ( t ) P p 2 ( t ) + σ ( t ) κ ( t ) X p ( t ) P p ( t ) σ 2 ( t ) ξ ˙ * ( t ) ξ ˙ ( t ) r 2 ( t ) X p 2 ( t ) ) .
The differential equation, Equation (A1), can be solved and this leads to Equations (21) and (22) in the text [30,31,49].

Appendix B. Gevorkyan’s Quantum Solutions

From Equation (3.8) of Ref. [4], we see that Gevorkyan’s quantum solutions for the time-varying system are given by
Ψ stc ( n | x , t ; { ξ } ) = 1 2 n n ! Ω 0 π r 1 / 2 H n Ω 0 x r exp 1 2 i r ˙ r Ω 0 r 2 x 2 e i Θ n ( t ) ,
where
Θ n ( t ) = n + 1 2 Ω 0 t 0 t d t r 2 ( t ) .

Appendix C. Parameters for the Damped Harmonic Oscillator

In the case of the damped harmonic oscillator that corresponds to the choice of m ( t ) = m 0 , α ( t ) = α 0 , and f ( t ) = 0 , we have
σ ( t ) = m 0 e α 0 ( t t 0 ) + φ ,
r ( t ) = r 0 e [ α 0 ( t t 0 ) + φ ] / 2 ,
γ ( t ) = Ω 1 ( t t 0 ) + φ 1 ,
where r 0 and φ 1 are real constants and Ω 1 is a modified frequency that is given by Ω 1 = [ Ω 0 2 α 0 2 / 4 ] 1 / 2 . Thus, we can easily show that W = Ω 1 in this case.

References

  1. Glatt-Holtz, N.E.; Herzog, D.P.; McKinley, S.A.; Nguyen, H.D. The generalized Langevin equation with power-law memory in a nonlinear potential well. Nonlinearity 2020, 33, 2820–2852. [Google Scholar] [CrossRef]
  2. Medved, A.; Davis, R.; Vasquez, P.A. Understanding fluid dynamics from Langevin and Fokker-Planck equations. Fluids 2020, 5, 40. [Google Scholar] [CrossRef]
  3. Choi, J.R.; Choi, Y. Stochastic quantization of Brownian particle motion obeying Kramers equation. J. Phys. Soc. Jpn. 2010, 79, 064004. [Google Scholar] [CrossRef]
  4. Gevorkyan, A.S. Nonrelativistic quantum mechanics with fundamental environment. In Theoretical Concepts of Quantum Mechanics; InTech: Rijeka, Croatia, 2012; pp. 161–186. [Google Scholar]
  5. Nielsen, M.A.; Chuang, I.L. Quantum Computation and Quantum Information; Cambridge University Press: Cambridge, UK, 2002. [Google Scholar]
  6. Tameshtit, A.; Sipe, J.E. Positive quantum Brownian evolution. Phys. Rev. Lett. 1996, 77, 2600–2603. [Google Scholar] [CrossRef]
  7. Rahman, A.U.; Shamirzaie, M.; Abd-Rabbou, M.Y. Bidirectional steering, entanglement and coherence of accelerated qubit–qutrit system with a stochastic noise. Optik 2023, 274, 170543. [Google Scholar] [CrossRef]
  8. Rahman, A.U.; Noman, M.; Javed, M.; Ullah, A. Dynamics of bipartite quantum correlations and coherence in classical environments described by pure and mixed Gaussian noises. Eur. Phys. J. Plus 2021, 136, 846. [Google Scholar] [CrossRef]
  9. Zurek, W.H. Environment-induced superselection rules. Phys. Rev. D 1982, 26, 1862–1880. [Google Scholar] [CrossRef]
  10. Joos, E.; Zeh, H.D. The emergence of classical properties through interaction with the environment. Z. Phys. B 1985, 59, 223–243. [Google Scholar] [CrossRef]
  11. Ollivier, H.; Zurek, W.H. Quantum discord: A measure of the quantumness of correlations. Phys. Rev. lett. 2002, 88, 017901. [Google Scholar] [CrossRef]
  12. Zurek, W.H. Decoherence, einselection and the quantum origins of the classical. Rev. Mod. Phys. 2003, 75, 715–775. [Google Scholar] [CrossRef]
  13. Chiribella, G.; D’Ariano, G.M. Quantum information becomes classical when distributed to many users. Phys. Rev. Lett. 2006, 97, 250503. [Google Scholar] [CrossRef] [PubMed]
  14. Beierle, P.J.; Zhang, L.; Batelaan, H. Experimental test of decoherence theory using electron matter waves. New J. Phys. 2018, 20, 113030. [Google Scholar] [CrossRef]
  15. Marinho, L.S.; Da Paz, I.G.; Sampaio, M. Squeezing and slowed quantum decoherence in the double-slit experiment. Phys. Rev. A 2020, 101, 062109. [Google Scholar] [CrossRef]
  16. Choi, J.R. Emergence of classicality from initial quantum world for dissipative optical waves. Adv. Electromagn. 2016, 5, 25–31. [Google Scholar] [CrossRef]
  17. Qureshi, T. Decoherence, time scales and pointer states. Physica A 2012, 391, 2286–2290. [Google Scholar] [CrossRef]
  18. Zurek, W.H. Pointer basis of quantum apparatus: Into what mixture does the wave packet collapse? Phys. Rev. D 1981, 24, 1516–1525. [Google Scholar] [CrossRef]
  19. Kofman, A.G.; Kurizki, G. Does decoherence select the pointer basis of a quantum meter? Entropy 2022, 24, 106. [Google Scholar] [CrossRef]
  20. Isar, A.; Scheid, W. Quantum decoherence and classical correlations of the harmonic oscillator in the Lindblad theory. Physica A 2007, 373, 298–312. [Google Scholar] [CrossRef]
  21. Sar, T.v.; Wang, Z.H.; Blok, M.S.; Bernien, H.; Taminiau, T.H.; Toyli, D.M.; Lidar, D.A.; Awschalom, D.D.; Hanson, R.; Dobrovitski, V.V. Decoherence-protected quantum gates for a hybrid solid-state spin register. Nature 2012, 484, 82–86. [Google Scholar]
  22. Macieszczak, K.; Rose, D.C.; Lesanovsky, I.; Garrahan, J.P. Theory of classical metastability in open quantum systems. Phys. Rev. Res. 2021, 3, 033047. [Google Scholar] [CrossRef]
  23. De Oliveira Junior, A.; De Oliveira, M.C. Unravelling the non-classicality role in Gaussian heat engines. Sci. Rep. 2022, 12, 10412. [Google Scholar] [CrossRef]
  24. Lewis, H.R., Jr. Classical and quantum systems with time-dependent harmonic-oscillator-type Hamiltonians. Phys. Rev. Lett. 1967, 18, 510–512. [Google Scholar] [CrossRef]
  25. Lewis, H.R., Jr.; Riesenfeld, W.B. An exact quantum theory of the time-dependent harmonic oscillator and of a charged particle in a time-dependent electromagnetic field. J. Math. Phys. 1969, 10, 1458–1473. [Google Scholar] [CrossRef]
  26. Ermakov, V.P. Transformation of differential equations. Univ. Izv. 1880, 20, 1–19. [Google Scholar]
  27. Dodonov, V.V.; Man’ko, V.I. Coherent states and the resonance of a quantum damped oscillator. Phys. Rev. A 1979, 20, 550–560. [Google Scholar] [CrossRef]
  28. Dodonov, V.V.; Malkin, I.A.; Man’ko, V.I. Coherent states of a charged particle in a time-dependent uniform electromagnetic field of a plane current. Physica 1972, 59, 241–256. [Google Scholar] [CrossRef]
  29. Dodonov, V.V.; Man’ko, V.I.; Shakhmistova, O.V. Wigner functions of a particle in a time-dependent uniform field. Phys. Lett. A 1984, 102, 295–297. [Google Scholar] [CrossRef]
  30. Zelaya, K.; Rosas-Ortiz, O. Quantum nonstationary oscillators: Invariants, dynamical algebras and coherent states via point transformations. Phys. Scr. 2020, 95, 064004. [Google Scholar] [CrossRef]
  31. Choi, J.R. Coherent states of general time-dependent harmonic oscillator. Pramana J. Phys. 2004, 62, 13–29. [Google Scholar] [CrossRef]
  32. Erdély, A. Higher Transcendental Functions; McGraw-Hill: New York, NY, USA, 1953; Volume II. [Google Scholar]
  33. Choi, J.R.; Zhang, S. Thermodynamics of the standard quantum harmonic oscillator of time-dependent frequency with and without inverse quadratic potential. J. Phys. A Math. Gen. 2002, 35, 2845–2855. [Google Scholar] [CrossRef]
  34. Morikawa, M. Quantum decoherence and classical correlation in quantum mechanics. Phys. Rev. D 1990, 42, 2929–2932. [Google Scholar] [CrossRef]
  35. Kim, S.P.; Lee, C.H. Emergence of classicality in quantum phase transitions. Phys. Rev. D 2002, 65, 045013. [Google Scholar] [CrossRef]
  36. Kim, S.P.; Santana, A.E.; Khanna, F.C. Decoherence of quantum damped oscillators. J. Korean Phys. Soc. 2003, 43, 452–460. [Google Scholar]
  37. Isar, A. Decoherence and asymptotic entanglement in open quantum dynamics. J. Russ. Laser Res. 2007, 28, 439–452. [Google Scholar] [CrossRef]
  38. Zurek, W.H. Decoherence and the transition from quantum to classical - Revisited. Semin. Poincare 2005, 1, 1–23. [Google Scholar]
  39. Mamaev, M.; Thywissen, J.H.; Rey, A.M. Quantum computation toolbox for decoherence-free qubits using multi-band alkali atoms. Adv. Quantum Technol. 2020, 3, 1900132. [Google Scholar] [CrossRef]
  40. Hamann, A.; Sekatski, P.; Dür, W. Approximate decoherence free subspaces for distributed sensing. Quantum Sci. Technol. 2022, 7, 025003. [Google Scholar] [CrossRef]
  41. Roffe, J. Quantum error correction: An introductory guide. Contemp. Phys. 2019, 60, 226–245. [Google Scholar] [CrossRef]
  42. Lee, J.-C.; Lim, H.-T.; Hong, K.-H.; Jeong, Y.-C.; Kim, M.S.; Kim, Y.-H. Experimental demonstration of delayed-choice decoherence suppression. Nat. Commun. 2014, 5, 4522. [Google Scholar] [CrossRef]
  43. Cao, X.; Liu, Y.-X.; Wu, R.-B. Identification of time-varying signals in quantum systems. Phys. Rev. A 2021, 103, 022612. [Google Scholar] [CrossRef]
  44. Carrasco, S.; Rogan, J.; Valdivia, J.A. Controlling the quantum state with a time varying potential. Sci. Rep. 2017, 7, 13217. [Google Scholar] [CrossRef] [PubMed]
  45. Kozubov, A.; Gaidash, A.; Miroshnichenko, G. Quantum model of decoherence in the polarization domain for the fiber channel. Phys. Rev. A 2019, 99, 053842. [Google Scholar] [CrossRef]
  46. Liu, Y. Stochastic decoherence induced by polarization mode dispersion. AIP Adv. 2023, 13, 015025. [Google Scholar] [CrossRef]
  47. Wilson-Rae, I. Intrinsic dissipation in nanomechanical resonators due to phonon tunneling. Phys. Rev. B 2008, 77, 245418. [Google Scholar] [CrossRef]
  48. Martín-Benito, M.; Neves, R.B.; Olmedo, J. Non-oscillatory power spectrum from states of low energy in kinetically dominated early universes. Front. Astron. Space Sci. 2021, 8, 702543. [Google Scholar] [CrossRef]
  49. Kim, K.K.; Kim, S.P.; Kang, S.K. Information-theoretic uncertainty relation and random-phase entropy. arXiv 2010, arXiv:1001.2966v1. [Google Scholar]
Figure 1. Measure of degree of quantum decoherence for the damped harmonic oscillator (Equation (72)) plotted as a function of T. The values that we adopted in this figure are = 1 , k = 1 , and Ω 0 = 1 . These values (and all values taken in the subsequent figures) are dimensionless for convenience.
Figure 1. Measure of degree of quantum decoherence for the damped harmonic oscillator (Equation (72)) plotted as a function of T. The values that we adopted in this figure are = 1 , k = 1 , and Ω 0 = 1 . These values (and all values taken in the subsequent figures) are dimensionless for convenience.
Axioms 12 00368 g001
Figure 2. Decoherence time τ D , x (a) given in Equation (77) and τ D , p (b) in Equation (79) for the damped harmonic oscillator plotted as a function of x x and p p respectively. The values taken here are given by = 1 , k = 1 , Ω 0 = 1 , m 0 = 1 , T = 1 , and φ = 0 .
Figure 2. Decoherence time τ D , x (a) given in Equation (77) and τ D , p (b) in Equation (79) for the damped harmonic oscillator plotted as a function of x x and p p respectively. The values taken here are given by = 1 , k = 1 , Ω 0 = 1 , m 0 = 1 , T = 1 , and φ = 0 .
Axioms 12 00368 g002
Figure 3. Decoherence time τ D , x (a) given in Equation (77) and τ D , p (b) in Equation (79) for the damped harmonic oscillator plotted as a function of T. The values taken here are given by = 1 , k = 1 , Ω 0 = 1 , m 0 = 1 , x x = 1 , p p = 1 , and φ = 0 .
Figure 3. Decoherence time τ D , x (a) given in Equation (77) and τ D , p (b) in Equation (79) for the damped harmonic oscillator plotted as a function of T. The values taken here are given by = 1 , k = 1 , Ω 0 = 1 , m 0 = 1 , x x = 1 , p p = 1 , and φ = 0 .
Axioms 12 00368 g003
Disclaimer/Publisher’s Note: The statements, opinions and data contained in all publications are solely those of the individual author(s) and contributor(s) and not of MDPI and/or the editor(s). MDPI and/or the editor(s) disclaim responsibility for any injury to people or property resulting from any ideas, methods, instructions or products referred to in the content.

Share and Cite

MDPI and ACS Style

Choi, J.R. Decoherence and Transition to Classicality for Time-Dependent Stochastic Quantum Systems with a General Environment. Axioms 2023, 12, 368. https://doi.org/10.3390/axioms12040368

AMA Style

Choi JR. Decoherence and Transition to Classicality for Time-Dependent Stochastic Quantum Systems with a General Environment. Axioms. 2023; 12(4):368. https://doi.org/10.3390/axioms12040368

Chicago/Turabian Style

Choi, Jeong Ryeol. 2023. "Decoherence and Transition to Classicality for Time-Dependent Stochastic Quantum Systems with a General Environment" Axioms 12, no. 4: 368. https://doi.org/10.3390/axioms12040368

APA Style

Choi, J. R. (2023). Decoherence and Transition to Classicality for Time-Dependent Stochastic Quantum Systems with a General Environment. Axioms, 12(4), 368. https://doi.org/10.3390/axioms12040368

Note that from the first issue of 2016, this journal uses article numbers instead of page numbers. See further details here.

Article Metrics

Back to TopTop