Differential Strategies of Continuous Agri-Product Supply Chain Considering Consumer Perception of Eco-Quality
Abstract
1. Introduction
2. Literature Review
3. Problem Description and Assumptions
3.1. Notations
3.2. Problem Description
3.3. Basic Assumptions
4. Model Analyses
4.1. Decentralized Scenario
4.2. Centralized Scenario
4.3. Coordination with Cost-Sharing Contract
5. Comparative Analyses
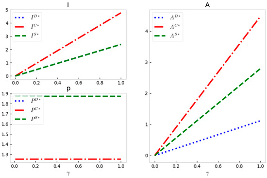
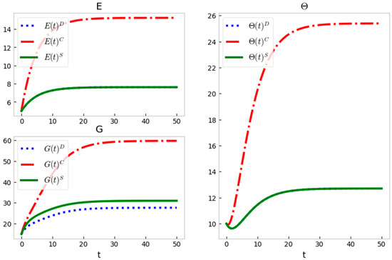
6. Numerical Analyses
7. Conclusions, Managerial Implication and Future Direction
7.1. Conclusions
7.2. Managerial Implication
7.3. Limitation and Future Research Directions
Author Contributions
Funding
Data Availability Statement
Acknowledgments
Conflicts of Interest
Appendix A
Appendix A.1. Proof of Proposition 1
Appendix A.2. Proof of Proposition 4
References
- Cheung, R.; Lam, A.Y.C.; Lau, M.M. Drivers of green product adoption: The role of green perceived value, green trust and perceived quality. J. Glob. Sch. Mark. Sci. 2015, 25, 232–245. [Google Scholar] [CrossRef]
- Xiao, T.; Yang, D.; Shen, H. Coordinating a supply chain with a quality assurance policy via a revenue-sharing contract. Int. J. Prod. Res. 2011, 49, 99–120. [Google Scholar] [CrossRef]
- Chen, L.; Su, S. Optimization of the Trust Propagation on Supply Chain Network Based on Blockchain Plus. J. Intell. Manag. Decis. 2022, 1, 17–27. [Google Scholar] [CrossRef]
- Liu, L.; Han, T.Y.; Jin, H. Business model selection and marketing strategy of green supply chainbased on brand goodwill. Control Decis. 2022, 37, 1338–1346. [Google Scholar]
- Puška, A.; Stojanović, I. Fuzzy Multi-Criteria Analyses on Green Supplier Selection in an Agri-Food Company. J. Intell. Manag. Decis. 2022, 1, 2–16. [Google Scholar] [CrossRef]
- Chen, J.; Chen, Y.J. The impact of contract farming on agricultural product supply in developing economies. Prod. Oper. Manag. 2021, 30, 2395–2419. [Google Scholar] [CrossRef]
- Yu, X.; Ren, X. The impact of food quality information services on food supply chain pricing decisions and coordination mechanisms based on the O2O E-commerce mode. J. Food Qual. 2018, 2018, 165–170. [Google Scholar] [CrossRef]
- Zeng, M.L. Quality collaborative control mechanism and optimization path of agricultural product supply chain. Bus. Econ. Res. 2021, 16, 145–149. [Google Scholar]
- Zhang, P.; Zhou, E.Y. Construction and demonstration of quality evaluation system of agricultural cold chain logistics supply chain. Stat. Decis. Mak. 2022, 38, 179–182. [Google Scholar]
- Besik, D.; Nagurney, A. Quality in competitive fresh produce supply chains with application to farmers’ markets. Socio-Econ. Plan. Sci. 2017, 60, 62–76. [Google Scholar] [CrossRef]
- Chen, J. Game analysis of agri-food quality classification under consumer selection behavior. Oper. Res. Manag. Sci. 2020, 29, 68–75. [Google Scholar]
- Qin, Y.H.; Guo, K.J.; Gao, N. Bilateral quality improvement of agricultural product under altruistic reciprocity evolution. Ind. Eng. Manag. 2022, 27, 157–164. [Google Scholar]
- Feng, C.; Guo, Q.Y. Research on quality positioning of poverty alleviation agricultural products considering consumer perception. Chin. J. Manag. Sci. 2021, 1–17. [Google Scholar] [CrossRef]
- Irmansyah, A.Z.; Chaerani, D.; Rusyaman, E. Optimization model for agricultural processed products supply chain problem in bandung during COVID-19 period. J. Tek. Ind. 2021, 23, 56–75. [Google Scholar] [CrossRef]
- Yang, J.H.; Liu, S. Coordination mechanism of dual channel supply chain in dairy products considering consumers’ reference effect. Control Decis. 2022, 37, 1609–1620. [Google Scholar]
- Li, B.; Hou, P.W.; Li, Q.H. Cooperative advertising in a dual-channel supply chain with a fairness concern of the manufacturer. IMA J. Manag. Math. 2017, 28, 259–277. [Google Scholar] [CrossRef]
- Taboubi, S. Incentive mechanisms for price and advertising coordination in dynamic marketing channels. Int. Trans. Oper. Res. 2019, 26, 2281–2304. [Google Scholar] [CrossRef]
- Chen, S.; Wang, X.; Wu, Y.; Zhou, F.; Li, L. Differential game analysis of online and offline advertising strategies in adual channel supply chain under low-carbon background. Control Decis. 2020, 35, 2707–2714. [Google Scholar]
- Huang, B.; Wang, Q. Countermeasures for brand building of agricultural products—Based on the perspective of industrial value chain. Bus. Econ. Res. 2019, 3, 62–65. [Google Scholar]
- Bao-yong, L.I.; De-qing, M.A.; Geng-xin, D.A.I.; Jin-song, H.U. Dynamic quality improvement strategy of connecting agriculture with supermarkets supply chain considering reference quality effect. Oper. Res. Manag. Sci. 2021, 30, 52–59. [Google Scholar]
- Yan, B.; Chen, X.; Cai, C.; Guan, S. Supply chain coordination of fresh agricultural products based on consumer behavior. Comput. Oper. Res. 2020, 123, 123–129. [Google Scholar] [CrossRef]
- Jian, J.; Li, B.; Zhang, N.; Su, J. Decision-making and coordination of green closed-loop supply chain with fairness concern. J. Clean. Prod. 2021, 298, 126779. [Google Scholar] [CrossRef]
- Zhang, K.; Ma, M. Differential game model of a fresh dual-channel supply chain under different return modes. IEEE Access 2021, 9, 8888–8901. [Google Scholar] [CrossRef]
- Zhang, Y.; Wei, M.Q. Study on the influence of origin image of agricultural products on consumers’ purchase intention—Analysis on the influence of consumers’ sense of price justice on agricultural products brand building. Price Theory Pract. 2021, 449, 142–145. [Google Scholar]
- Leonidou, L.C.; Eteokleous, P.P.; Christofi, A.M.; Korfiatis, N. Drivers, outcomes, and moderators of consumer intention to buy organic goods: Meta-analysis, implications, and future agenda. J. Bus. Res. 2022, 151, 339–354. [Google Scholar] [CrossRef]
- Dangi, N.; Gupta, S.K.; Narula, S.A. Consumer buying behaviour and purchase intention of organic food: A conceptual framework. Manag. Environ. Qual. Int. J. 2020, 31, 1515–1530. [Google Scholar] [CrossRef]
- Taghikhah, F.; Voinov, A.; Shukla, N.; Filatova, T.; Anufriev, M. Integrated modeling of extended agro-food supply chains: A systems approach. Eur. J. Oper. Res. 2021, 288, 852–868. [Google Scholar] [CrossRef]
- Sarkar, B.; Kar, S.; Basu, K.; Guchhait, R. A sustainable managerial decision-making problem for a substitutable product in a dual-channel under carbon tax policy. Comput. Ind. Eng. 2022, 172, 108635. [Google Scholar] [CrossRef]
- Rombach, M.; Dean, D.; Vriesekoop, F.; de Koning, W.; Aguiar, L.K.; Anderson, M.; Mongondry, P.; Oppong-Gyamfi, M.; Urbano, B.; Luciano, C.A.G.; et al. Is cultured meat a promising consumer alternative? Exploring key factors determining consumer’s willingness to try, buy and pay a premium for cultured meat. Appetite 2022, 179, 106–117. [Google Scholar] [CrossRef]
- Mollenkopf, D.A.; Peinkofer, S.T.; Chu, Y. Supply chain transparency: Consumer reactions to incongruent signals. J. Oper. Manag. 2022, 68, 306–327. [Google Scholar] [CrossRef]
- Mirabelli, G.; Solina, V. Blockchain and agricultural supply chains traceability: Research trends and future challenges. Procedia Manuf. 2020, 42, 414–421. [Google Scholar] [CrossRef]
- Lin, J.; Guo, J.; Turel, O.; Liu, S. Purchasing organic food with social commerce: An integrated food-technology consumption values perspective. Int. J. Inf. Manag. 2020, 51, 102033. [Google Scholar] [CrossRef]
- Wang, J.; Huo, Y.; Guo, X.; Xu, Y. The Pricing strategy of the agricultural product supply chain with farmer cooperatives as the core enterprise. Agriculture 2022, 12, 732. [Google Scholar] [CrossRef]
- Sarkar, M.; Sarkar, B.; Dolgui, A. An Automated Smart Production with System Reliability Under a Leader-Follower Strategy of Supply Chain Management. Adv. Prod. Manag. Syst. 2022, 663, 459–467. [Google Scholar]
- Zhao, X.; Wang, P.; Pal, R. The effects of agro-food supply chain integration on product quality and financial performance: Evidence from Chinese agro-food processing business. Int. J. Prod. Econ. 2021, 231, 107832. [Google Scholar] [CrossRef]
- Lioutas, E.D.; Charatsari, C. Smart farming and short food supply chains: Are they compatible? Land Use Policy 2020, 94, 104941. [Google Scholar] [CrossRef]
- Ma, Y.; Zhang, Y. Research on protection of the agricultural products quality safety based on evolution game from the perspective of the supply chain. Adv. J. Food Sci. Technol. 2013, 5, 153–159. [Google Scholar] [CrossRef]
- Prashar, D.; Jha, N.; Jha, S.; Lee, Y.; Joshi, G.P. Blockchain-based traceability and visibility for agricultural products: A decentralized way of ensuring food safety in India. Sustainability 2020, 12, 3497. [Google Scholar] [CrossRef]
- Jing, X.; Guanxin, Y.; Panqian, D. Quality decision-making behavior of bodies participating in the agri-foods e-supply chain. Sustainability 2020, 12, 1874. [Google Scholar] [CrossRef]
- Bhutta, M.N.M.; Ahmad, M. Secure identification, traceability and real-time tracking of agricultural food supply during transportation using internet of things. IEEE Access 2021, 9, 65660–65675. [Google Scholar] [CrossRef]
- Negi, S.; Trivedi, S. Factors impacting the quality of fresh produce in transportation and their mitigation strategies: Empirical evidence from a developing economy. J. Agribus. Dev. Emerg. Econ. 2021, 11, 121–139. [Google Scholar] [CrossRef]
- Zhang, Q.; Pan, W.T. Analysis of agricultural products supply chain traceability system based on internet of things and blockchain. Math. Probl. Eng. 2022, 2022, 3162871. [Google Scholar] [CrossRef]
- Su, X.; Duan, S.; Guo, S.; Liu, H. Evolutionary games in the agricultural product quality and safety information system: A multiagent simulation approach. Complexity 2018, 2018, 7684185. [Google Scholar] [CrossRef]
- Yang, S.; Zhuang, J.; Wang, A.; Zhang, Y. Evolutionary game analysis of Chinese food quality considering effort levels. Complexity 2019, 2019, 6242745. [Google Scholar] [CrossRef]
- Feng, H.; Wang, W.; Chen, B.; Zhang, X. Evaluation on frozen shellfish quality by blockchain based multi-sensors monitoring and SVM algorithm during cold storage. IEEE Access 2020, 8, 54361–54370. [Google Scholar] [CrossRef]
- Li, B.Y.; Ma, D.Q.; Dai, G.X. Research on dynamic strategies of agricultural product supply chain basedon quality identification and member altruism. Ind. Eng. Manag. 2020, 25, 95–104. [Google Scholar]
- Zhu, Z.; Bai, Y.; Dai, W.; Liu, D.; Hu, Y. Quality of e-commerce agricultural products and the safety of the ecological environment of the origin based on 5G Internet of Things technology. Environ. Technol. Innov. 2021, 22, 101462. [Google Scholar] [CrossRef]
- Kappelman, A.C.; Sinha, A.K. Optimal control in dynamic food supply chains using big data. Comput. Oper. Res. 2021, 126, 105117. [Google Scholar] [CrossRef]
- Mishra, M.; Ghosh, S.K.; Sarkar, B. Maintaining energy efficiencies and reducing carbon emissions under a sustainable supply chain management. AIMS Environ. Sci. 2022, 9, 603–635. [Google Scholar] [CrossRef]
- Yuan, C.; Wang, S.; Yu, X. The impact of food traceability system on consumer perceived value and purchase intention in China. Ind. Manag. Data Syst. 2020, 120, 810–824. [Google Scholar] [CrossRef]
- Restuputri, D.P.; Masudin, I.; Sari, C.P. Customers perception on logistics service quality using Kansei engineering: Empirical evidence from indonesian logistics providers. Cogent Bus. Manag. 2020, 7, 1751021. [Google Scholar] [CrossRef]
- Puška, A.; Kozarević, S.; Okičić, J. Investigating and analyzing the supply chain practices and performance in agro-food industry. Int. J. Manag. Sci. Eng. Manag. 2019, 15, 9–16. [Google Scholar] [CrossRef]
- Zheng, Q.; Chen, J.; Zhang, R.; Wang, H.H. What factors affect Chinese consumers’ online grocery shopping? Product attributes, e-vendor characteristics and consumer perceptions. China Agric. Econ. Rev. 2020, 12, 193–213. [Google Scholar] [CrossRef]
- Wang, J.; Tao, J.; Chu, M. Behind the label: Chinese consumers’ trust in food certification and the effect of perceived quality on purchase intention. Food Control 2020, 108, 106825. [Google Scholar] [CrossRef]
- Okpiaifo, G.; Durand-Morat, A.; West, G.H.; Nalley, L.L.; Nayga, R.M., Jr.; Wailes, E.J. Consumers’ preferences for sustainable rice practices in Nigeria. Glob. Food Secur. 2020, 24, 100345. [Google Scholar] [CrossRef]
- Hobbs, J.E. The COVID-19 pandemic and meat supply chains. Meat Sci. 2021, 181, 108459. [Google Scholar] [CrossRef]
- Cao, S.; Powell, W.; Foth, M.; Natanelov, M.; Miller, T.; Dulleck, U. Strengthening consumer trust in beef supply chain traceability with a blockchain-based human-machine reconcile mechanism. Comput. Electron. Agric. 2021, 180, 105886. [Google Scholar] [CrossRef]
- Brandtner, P.; Darbanian, F.; Falatouri, T.; Udokwu, C. Impact of COVID-19 on the Customer End of Retail Supply Chains: A Big Data Analysis of Consumer Satisfaction. Sustainability 2021, 13, 1464. [Google Scholar] [CrossRef]
- Sarkar, B.; Ganguly, B.; Pareek, S.; Cárdenas-Barrón, L.E. A three-echelon green supply chain management for biodegradable products with three transportation modes. Comput. Ind. Eng. 2022, 174, 108727. [Google Scholar] [CrossRef]
- Pérez-Mesa, J.C.; Piedra-Muñoz, L.; Galdeano-Gómez, E.; Giagnocavo, C. Management strategies and collaborative relationships for sustainability in the agrifood supply chain. Sustainability 2021, 13, 749. [Google Scholar] [CrossRef]
- Luo, M.; Zhou, G.H.; Wei, W. Study of the game model of e-commerce information sharing in an agricultural product supply chain based on fuzzy big data and LSGDM. Technol. Forecast. Soc. Chang. 2021, 172, 121017. [Google Scholar]
- Ma, S.; He, Y.; Gu, R. Dynamic generic and brand advertising decisions under supply disruption. Int. J. Prod. Res. 2020, 59, 188–212. [Google Scholar] [CrossRef]
- Chutani, A.; Sethi, S.P. Dynamic cooperative advertising under manufacturer and retailer level competition. Eur. J. Oper. Res. 2018, 268, 635–652. [Google Scholar] [CrossRef]
- Tanwari, A. A study on assessing the relationship between green marketing and brand loyalty in manufacturing sector of Greece: A moderating role of green supply chain practices. J. Bus. Manag. Account. 2020, 4, 44–55. [Google Scholar]
- Zadeh, M. A New Sales Forecasting method for industrial supply chain. Int. J. Smart Bus. Technol. 2021, 9, 1–12. [Google Scholar] [CrossRef]
- Mozafari, M.; Naimi-Sadigh, A.; Seddighi, A.H. Possibilistic cooperative advertising and pricing games for a two-echelon supply chain. Soft Comput. 2021, 25, 6957–6971. [Google Scholar] [CrossRef]
- Huang, S.; Zhang, X.; Chen, S. Information acquisition with advertising threshold effect under manufacturer encroachment in a supply chain. Transp. Res. Part E Logist. Transp. Rev. 2021, 153, 102439. [Google Scholar] [CrossRef]
- Xie, B.; Li, W.; Jiang, P.; Han, X.; Qi, L. Cooperative advertising strategy selection problem for considering pricing and advertising decisions in a two-period online supply chain. Math. Probl. Eng. 2022, 2022, 8922589. [Google Scholar] [CrossRef]
- Chen, S.; Su, J.; Wu, Y.; Zhou, F. Optimal production and subsidy rate considering dynamic consumer green perception under different government subsidy orientations. Comput. Ind. Eng. 2022, 168, 108073. [Google Scholar] [CrossRef]
- Liu, G.; Zhang, J.; Tang, W. Strategic transfer pricing in a marketing-operations interface with quality level and advertising dependent goodwill. Omega 2015, 56, 1–15. [Google Scholar] [CrossRef]
- El Ouardighi, F. Supply quality management with optimal wholesale price and revenue sharing contracts: A two-stage game approach. Int. J. Prod. Econ. 2014, 156, 260–268. [Google Scholar] [CrossRef]
- Giovanni, P.D. Quality improvement vs advertising support: Which strategy works better for a manufacturer? Eur. J. Oper. Res. 2011, 208, 119–130. [Google Scholar] [CrossRef]
- Sinayi, M.; Rasti-Barzoki, M. A game theoretic approach for pricing, greening, and social welfare policies in a supply chain with government intervention. J. Clean. Prod. 2018, 196, 1443–1458. [Google Scholar] [CrossRef]




| Author (s) | Quality Effort | Consumer Perception | Marketing Strategy | Coordination Mechanisim | Dynamic Framework |
|---|---|---|---|---|---|
| Ma and Zhang [34] | √ | √ | |||
| Besik et al. [8] | √ | √ | √ | ||
| Li et al. [14] | √ | √ | √ | ||
| Taboubi [15] | √ | √ | √ | ||
| Yang et al. [41] | √ | √ | √ | ||
| Feng et al. [42] | √ | √ | |||
| Zheng et al. [50] | √ | √ | |||
| Taghikhah et al. [24] | √ | √ | √ | ||
| Bhutta and Ahmad [37] | √ | √ | √ | ||
| Negi and Trivedi [38] | √ | √ | |||
| Bo et al. [65] | √ | √ | |||
| Zhang and Zhou [7] | √ | ||||
| This paper | Eco-quality of agri-products | Consumer perception of eco-quality | Advertising | Cost-sharing contract | Differential game based model |
| State variables | |
| agri-product’s eco-quality at time | |
| level of CPQ at time | |
| goodwill towards ecological agri-products at time | |
| Decision variables | |
| supplier’s eco-quality investment effort at time | |
| retailer’s advertising effort at time | |
| wholesale price at time | |
| selling price at time | |
| Parameters | |
| time, | |
| coefficient of suppliers’ eco-quality investment efforts on agri-product, | |
| coefficient of the eco-quality of agri-products on CPQ, | |
| , | coefficients of retailer’s advertising efforts and CPQ on goodwill, |
| , , | natural decay rate of eco-quality of agri-product, CPQ and goodwill, |
| market demand function of ecological agri-products | |
| market capacity, | |
| price elasticity, | |
| coefficient of goodwill on demand, | |
| , | investment of eco-quality and advertising |
| , | coefficients of eco-quality cost and advertising cost, , |
| discount factor, | |
| long-term profits | |
| subscript | supplier, retailer and supply chain, respectively |
| superscript, , | under decentralized, centralized, and cost-sharing contract scenario |
| Scenario D | ||||||||||
| Scenario C | ||||||||||
| Scenario S | ||||||||||
Disclaimer/Publisher’s Note: The statements, opinions and data contained in all publications are solely those of the individual author(s) and contributor(s) and not of MDPI and/or the editor(s). MDPI and/or the editor(s) disclaim responsibility for any injury to people or property resulting from any ideas, methods, instructions or products referred to in the content. |
© 2023 by the authors. Licensee MDPI, Basel, Switzerland. This article is an open access article distributed under the terms and conditions of the Creative Commons Attribution (CC BY) license (https://creativecommons.org/licenses/by/4.0/).
Share and Cite
Chen, S.; Duan, Y.; Su, J.; Tuo, J. Differential Strategies of Continuous Agri-Product Supply Chain Considering Consumer Perception of Eco-Quality. Axioms 2023, 12, 158. https://doi.org/10.3390/axioms12020158
Chen S, Duan Y, Su J, Tuo J. Differential Strategies of Continuous Agri-Product Supply Chain Considering Consumer Perception of Eco-Quality. Axioms. 2023; 12(2):158. https://doi.org/10.3390/axioms12020158
Chicago/Turabian StyleChen, Shan, Yuelin Duan, Jiafu Su, and Junbo Tuo. 2023. "Differential Strategies of Continuous Agri-Product Supply Chain Considering Consumer Perception of Eco-Quality" Axioms 12, no. 2: 158. https://doi.org/10.3390/axioms12020158
APA StyleChen, S., Duan, Y., Su, J., & Tuo, J. (2023). Differential Strategies of Continuous Agri-Product Supply Chain Considering Consumer Perception of Eco-Quality. Axioms, 12(2), 158. https://doi.org/10.3390/axioms12020158

