Fractional Clique Collocation Technique for Numerical Simulations of Fractional-Order Brusselator Chemical Model
Abstract
1. Introduction
1.1. Literature Review and Related Works
1.2. Outline of This Paper
2. Fractional Calculus: Basic Facts
3. The Fractional-Order Clique Polynomial and Its Convergence Analysis
3.1. The Clique Functions: The Generalized Form
3.2. -Convergent of GCFs
4. The Methodology of the QLM-GCFs Scheme
4.1. The Basic Concept of QLM
4.2. The QLM-GCFs Technique
| Algorithm 1: An algorithmic description of the QLM-GCFs. |
| 1: procedure QLM_GCFs |
| 2: ; ; ; |
| 3: ; |
| 4: ;{Via calling to Algorithm 4.1 from [44]} |
| 5: ; |
| 6: ; ; ; |
| 7: ; |
| {Using the collocation points (29)} |
| 8: ; ; & |
| 9: ; ; |
| 10: for |
| 11: ; |
| 12: ; |
| 13: ; |
| 14: ; |
| 15: end for |
| 16: for |
| 17: Fa_Sys:=; rhs_Sys:=; |
| {Entering the I.C.} |
| 18: Fa_Sys[1:2,:]:=; rhs_Sys[1:2]:=; |
| 19: :=LinSolve (Fa_Sys,rhs_Sys); |
| 20: ; ; |
| 21: Update and in line 7 in terms of the former solutions; |
| 22: Calculate two matrices and in lines 11-12; |
| 23: end for |
| 24: end; |
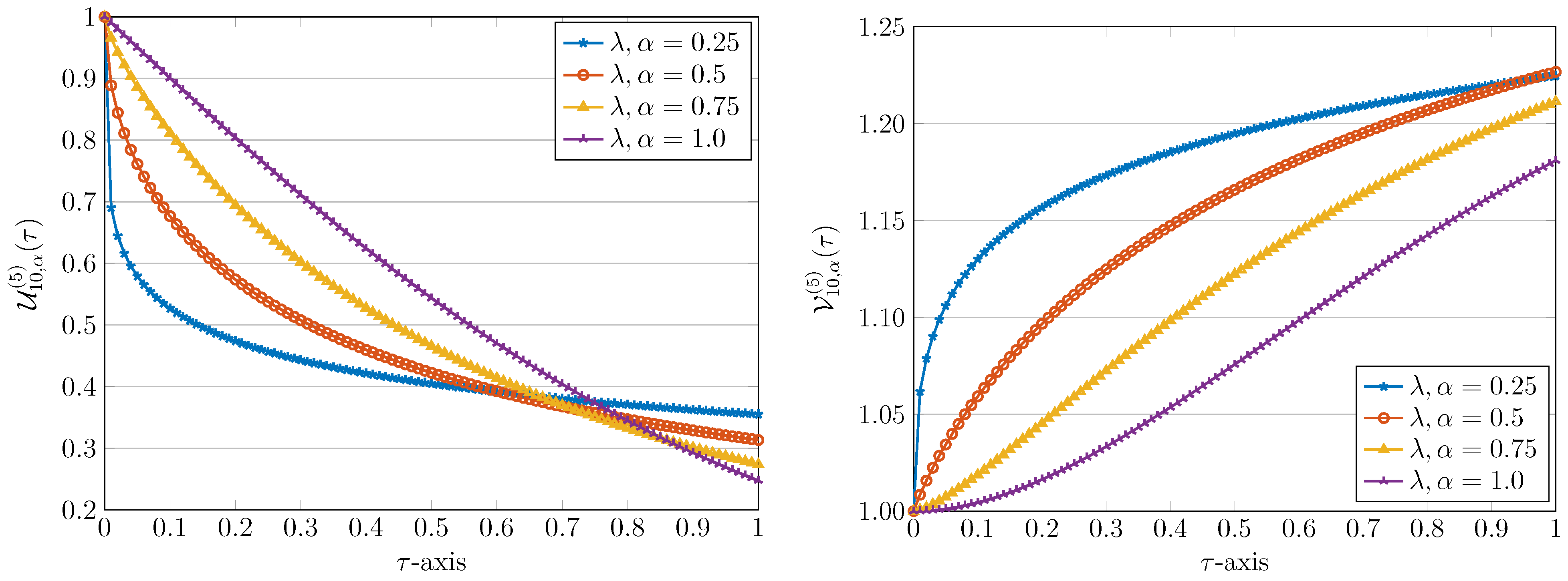
5. Numerical Results and Graphical Representations
6. Conclusions
Author Contributions
Funding
Institutional Review Board Statement
Informed Consent Statement
Data Availability Statement
Conflicts of Interest
References
- Prigogine, I.; Lefever, R. Symmetry breaking instabilities in dissipative systems II. J. Chem. Phys. 1968, 48, 1695–1700. [Google Scholar] [CrossRef]
- Epstein, I.R.; Pojman, J.K. An Introduction to Nonlinear Chemical Dynamics: Oscillations, Waves, Patterns, and Chaos; Oxford University Press: New York, NY, USA, 1998. [Google Scholar]
- Gray, P.; Scott, S.K.; Merkin, J.H. The Brusselator model of oscillatory reactions: Relationships between two-variable and four-variable models with rigorous application of mass conservation and detailed balance. J. Chem. Soc. Faraday Trans. 1988, 84, 993–1011. [Google Scholar] [CrossRef]
- Field, R.J.; Györgyi, L. Chaos in Chemistry and Biochemistry; World Scientific: Singapore, 1993. [Google Scholar]
- Hilfer, R. (Ed.) Applications of Fractional Calculus in Physics; World Scientific: River Edge, NJ, USA, 2000. [Google Scholar]
- Kilbas, A.A.; Srivastava, H.M.; Trujillo, J.J. Theory and Application of Fractional Differential Equations; North-Holland Mathematics Studies: Amsterdam, The Netherllands, 2006; Volume 204. [Google Scholar]
- Tong, T.O.; Kekana, M.C.; Shatalov, M.Y.; Moshokoa, S.P. Numerical investigation of Brusselator chemical model by residual function using Mathematica software. J. Comput. Theoret. Nanosci. 2020, 17, 2947–2954. [Google Scholar] [CrossRef]
- Gafiychuk, V.; Datsko, B. Stability analysis and limit cycle in fractional system with Brusselator nonlinearities. Phys. Lett. A 2008, 372, 4902–4904. [Google Scholar] [CrossRef]
- Sun, M.; Tan, Y.; Chen, L. Dynamical behaviors of the Brusselator system with impulsive input. J. Math. Chem. 2008, 44, 637–649. [Google Scholar] [CrossRef]
- Yuan, L.G.; Kuang, J.H. Stability and a numerical solution of fractional-order Brusselator chemical reaction system. J. Fract. Calc. Appl. 2017, 8, 38–47. [Google Scholar]
- Wang, Y.; Li, C. Does the fractional Brusselator with efficient dimension less than 1 have a limit cycle? Phys. Lett. A 2007, 363, 414–419. [Google Scholar] [CrossRef]
- Ongun, M.Y.; Arslan, D.; Garrappa, R. Nonstandard finite difference schemes for a fractional-order Brusselator system. Adv. Differ. Equ. 2013, 2013, 102. [Google Scholar] [CrossRef]
- Zafar, Z.U.A.; Rehan, K.; Mushtaq, M.; Rafiq, M. Numerical treatment for nonlinear Brusselator chemical model. J. Differ. Equ. Appl. 2017, 23, 521–538. [Google Scholar] [CrossRef]
- Jafari, H.; Kadem, A.; Baleanu, D. Variational iteration method for a fractional-order Brusselator system. Abstr. Appl. Anal. 2014, 2014, 496323. [Google Scholar] [CrossRef]
- Bota, C.; Caruntu, B. Approximate analytical solutions of the fractional-order Brusselator system using the polynomial least squares method. Adv. Math. Phys. 2015, 2015, 450235. [Google Scholar] [CrossRef]
- Khan, H.; Jafari, H.; Khan, R.A.; Tajadodi, H.; Johnston, S.J. Numerical solutions of the nonlinear fractional-order Brusselator system by Bernstein polynomials. Sci. World J. 2014, 2014, 257484. [Google Scholar] [CrossRef] [PubMed]
- Chang, P.; Isah, A. Legendre wavelet operational matrix of fractional derivative through wavelet-polynomial transformation and its applications in solving fractional order Brusselator system. J. Phys. Conf. Ser. 2016, 693, 012001. [Google Scholar] [CrossRef]
- Ongun, M.Y.; Arslan, D.; Farzi, J. Numerical solutions of fractional order autocatalytic chemical reaction model. Süleyman Demirel Ünivers. Fen Bilim. Enstitüsü Dergisi 2017, 21, 165–172. [Google Scholar] [CrossRef]
- Asv, R.K.; Devi, S. A novel three-step iterative approach for oscillatory chemical reactions of fractional Brusselator model. Int. J. Model. Simul. 2022, 204, 1–20. [Google Scholar] [CrossRef]
- Saad, K.M. Fractal-fractional Brusselator chemical reaction. Chaos Solit. Fract. 2021, 150, 11187. [Google Scholar] [CrossRef]
- Mohammadi, M.; Mokhtari, R.; Schaback, R. A meshless method for solving the 2D Brusselator reaction-diffusion system. Comput. Model. Eng. Sci. 2014, 101, 113–138. [Google Scholar]
- Tlidi, M.; Gandica, Y.; Sonnino, G.; Averlant, E.; Panajotov, K. Self-Replicating spots in the Brusselator model and extreme events in the one-dimensional case with delay. Entropy 2016, 18, 64. [Google Scholar] [CrossRef]
- Alfifi, H.Y. Feedback control for a diffusive and delayed Brusselator model: Semi-analytical solutions. Symmetry 2021, 13, 725. [Google Scholar] [CrossRef]
- Mittal, A.K.; Balyan, L.K. A highly accurate time–space pseudospectral approximation and stability analysis of two dimensional Brusselator model for chemical systems. Int. J. Appl. Comput. Math. 2019, 5, 140. [Google Scholar] [CrossRef]
- Izadi, M.; Samei, M.E. Time accurate solution to Benjamin-Bona-Mahony Burgers equation via Taylor-Boubaker series scheme. Bound. Value Probl. 2022, 2022, 17. [Google Scholar] [CrossRef]
- Razavi, M.; Hosseini, M.M.; Salemi, A. Error analysis and Kronecker implementation of Chebyshev spectral collocation method for solving linear PDEs. Comput. Methods Differ. Equ. 2022, 10, 914–927. [Google Scholar]
- Izadi, M.; Srivastava, H.M.; Adel, W. An effective approximation algorithm for second-order singular functional differential equations. Axioms 2022, 11, 133. [Google Scholar] [CrossRef]
- Chouhan, D.; Mishra, V.; Srivastava, H.M. Bernoulli wavelet method for numerical solution of anomalous infiltration and diffusion modeling by nonlinear fractional differential equations of variable order. Results Appl. Math. 2021, 10, 100146. [Google Scholar] [CrossRef]
- Izadi, M.; Srivastava, H.M. An efficient approximation technique applied to a non-linear Lane-Emden pantograph delay differential model. Appl. Math. Comput. 2021, 401, 126123. [Google Scholar] [CrossRef]
- Yüzbaşı, Ş.; Izadi, M. Bessel-quasilinearization technique to solve the fractional-order HIV-1 infection of CD4+ T-cells considering the impact of antiviral drug treatment. Appl. Math. Comput. 2022, 431, 127319. [Google Scholar] [CrossRef]
- Srivastava, H.M. Some parametric and argument variations of the operators of fractional calculus and related special functions and integral transformations. J. Nonlinear Convex Anal. 2021, 22, 1501–1520. [Google Scholar]
- Srivastava, H.M. An introductory overview of fractional-calculus operators based upon the Fox-Wright and related higher transcendental functions. J. Adv. Eng. Comput. 2021, 5, 135–166. [Google Scholar] [CrossRef]
- Hoede, C.; Li, X. Clique polynomials and independent set polynomials of graphs. Discrete Math. 1994, 125, 219–228. [Google Scholar] [CrossRef]
- Kumbinarasaiah, S. A new approach for the numerical solution for the non-linear Klein–Gordon equation. SeMA J. 2020, 77, 435–456. [Google Scholar] [CrossRef]
- Ganji, R.M.; Jafari, H.; Kgarose, M.; Mohammadi, A. Numerical solutions of time-fractional Klein-Gordon equations by clique polynomials. Alexandria Eng. J. 2021, 60, 4563–4571. [Google Scholar] [CrossRef]
- Adel, W.; Kumbinarasaiah, S. A new clique polynomial approach for fractional partial differential equations. Int. J. Nonlinear Sci. Numer. Simul. 2022. [Google Scholar] [CrossRef]
- Heydari, M.H.; Razzaghi, M. Highly accurate solutions for space-time fractional Schrödinger equations with non-smooth continuous solution using the hybrid clique functions. Math. Sci. 2021. [Google Scholar] [CrossRef]
- Stewart, G.W. Afternotes on Numerical Analysis; SIAM: Philadephia, PA, USA, 1996; Volume 49. [Google Scholar]
- Yuttanan, B.; Razzaghi, M.; Vo, T.N. A fractional-order generalized Taylor wavelet method for nonlinear fractional delay and nonlinear fractional pantograph differential equations. Math. Methods Appl. Sci. 2021, 44, 4156–4175. [Google Scholar] [CrossRef]
- Izadi, M. An approximation technique for first Painlevé equation. TWMS J. Appl. Eng. Math. 2021, 11, 739–750. [Google Scholar]
- Izadi, M.; Yüzbası, Ş.; Noeiaghdam, S. Approximating solutions of non-linear Troesch’s problem via an efficient quasi-linearization Bessel approach. Mathematics 2021, 9, 1841. [Google Scholar] [CrossRef]
- Srivastava, H.M.; Shah, F.A.; Irfan, M. Generalized wavelet quasi-linearization method for solving population growth model of fractional order. Math. Methods Appl. Sci. 2020, 43, 8753–8762. [Google Scholar] [CrossRef]
- Izadi, M.; Srivastava, H.M. Generalized Bessel quasilinearlization technique applied to Bratu and Lane-Emden type equations of arbitrary order. Fractal Fract. 2021, 5, 179. [Google Scholar] [CrossRef]
- Izadi, M.; Yüzbaşı, Ş.; Adel, W. A new Chelyshkov matrix method to solve linear and nonlinear fractional delay differential equations with error analysis. Math. Sci. 2022. [Google Scholar] [CrossRef]
- Izadi, M.; Srivastava, H.M. A novel matrix technique for multi-order pantograph differential equations of fractional order. Proc. R. Soc. Lond. Ser. A Math. Phys. Eng. Sci. 2021, 477, 2021031. [Google Scholar] [CrossRef]
- Izadi, M.; Yüzbaşı, Ş.; Cattani, C. Approximating solutions to fractional-order Bagley-Torvik equation via generalized Bessel polynomial on large domains. Ricerche Mat. 2021. [Google Scholar] [CrossRef]






| R | CPU(s) | ||||
|---|---|---|---|---|---|
| 2 | − | − | |||
| 4 | |||||
| 8 | |||||
| 16 | |||||
| 32 |
| 2 | − | − | − | − | ||||
| 4 | ||||||||
| 8 | ||||||||
| 16 | ||||||||
| 32 | ||||||||
| R | ||||
|---|---|---|---|---|
| 2 | − | − | ||
| 4 | ||||
| 8 | ||||
| 16 | ||||
| 32 |
| 2 | − | − | − | − | ||||
| 4 | ||||||||
| 8 | ||||||||
| 16 | ||||||||
| 32 | ||||||||
Publisher’s Note: MDPI stays neutral with regard to jurisdictional claims in published maps and institutional affiliations. |
© 2022 by the authors. Licensee MDPI, Basel, Switzerland. This article is an open access article distributed under the terms and conditions of the Creative Commons Attribution (CC BY) license (https://creativecommons.org/licenses/by/4.0/).
Share and Cite
Izadi, M.; Srivastava, H.M. Fractional Clique Collocation Technique for Numerical Simulations of Fractional-Order Brusselator Chemical Model. Axioms 2022, 11, 654. https://doi.org/10.3390/axioms11110654
Izadi M, Srivastava HM. Fractional Clique Collocation Technique for Numerical Simulations of Fractional-Order Brusselator Chemical Model. Axioms. 2022; 11(11):654. https://doi.org/10.3390/axioms11110654
Chicago/Turabian StyleIzadi, Mohammad, and Hari Mohan Srivastava. 2022. "Fractional Clique Collocation Technique for Numerical Simulations of Fractional-Order Brusselator Chemical Model" Axioms 11, no. 11: 654. https://doi.org/10.3390/axioms11110654
APA StyleIzadi, M., & Srivastava, H. M. (2022). Fractional Clique Collocation Technique for Numerical Simulations of Fractional-Order Brusselator Chemical Model. Axioms, 11(11), 654. https://doi.org/10.3390/axioms11110654

