A Malware Propagation Model Considering Conformity Psychology in Social Networks
Abstract
1. Introduction
2. Assumptions and Model Formulation
3. Stability Analysis of the Equilibria
3.1. Local Stability of the Equilibria
3.2. Existence and Local Stability of Endemic Equilibrium
3.3. Global Stability of the Malware-Free Equilibrium
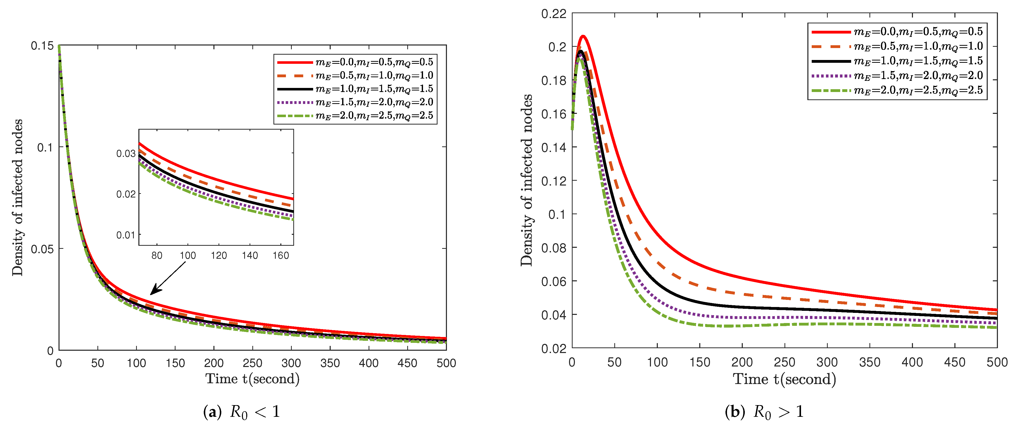
4. Numerical Simulations
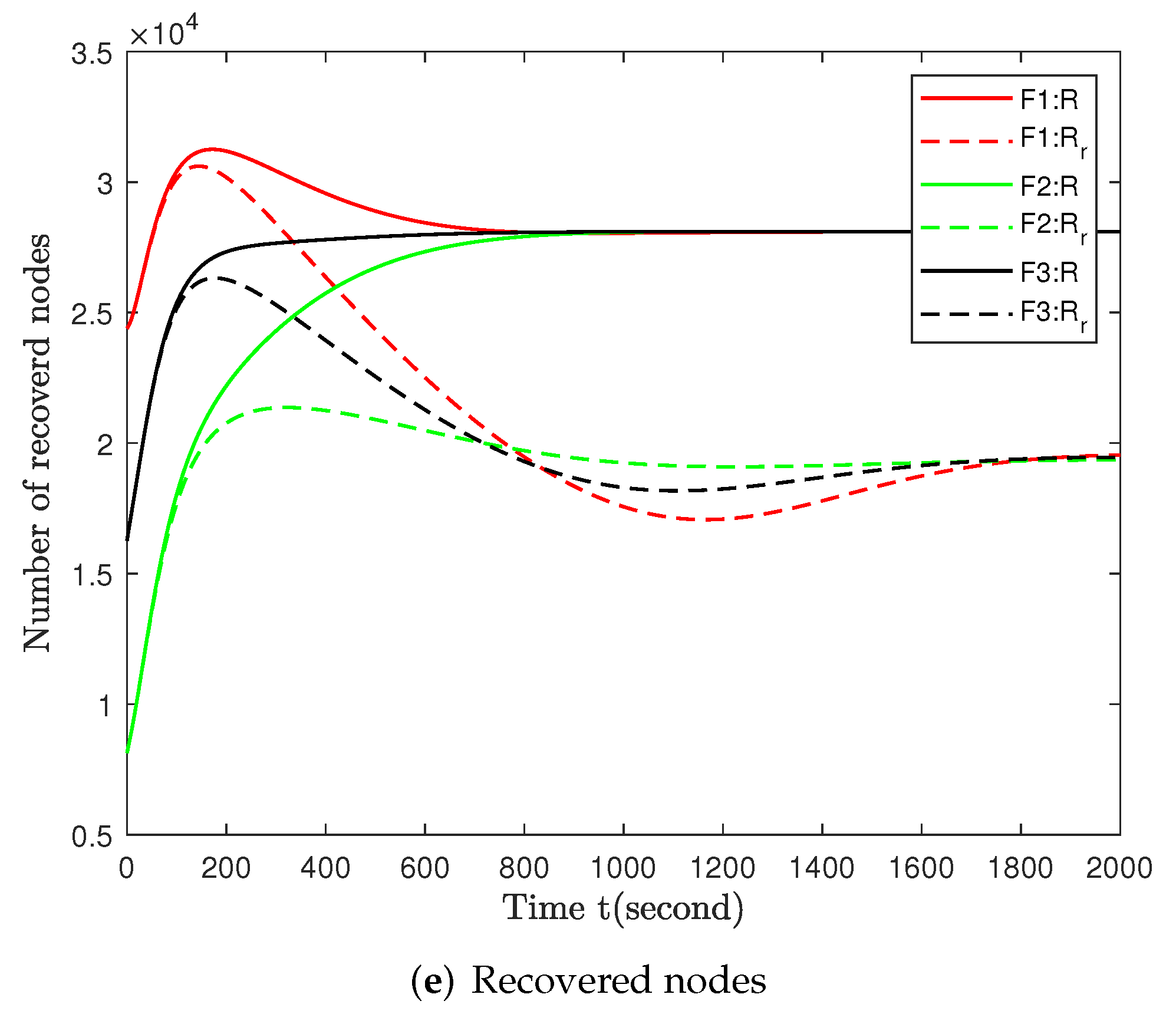
5. Experimental Analysis
| Algorithm 1: The state transformation of computers on the Internet |
| Input: Input the network G = (v,e) which is given by the set of data and the original number of nodes per state |
| Output: Output the number of nodes in each state at time |
![]() |
6. Sensitivity Analysis
7. Conclusions
Author Contributions
Funding
Data Availability Statement
Conflicts of Interest
References
- Ngo, Q.D.; Nguyen, H.T.; Le, V.H.; Nguyen, D.H. A survey of IoT malware and detection methods based on static features. ICT Express 2020, 6, 280–286. [Google Scholar] [CrossRef]
- Verma, V.; Muttoo, S.K.; Singh, V. Multiclass malware classification via first- and second-order texture statistics. Comput. Secur. 2020, 97, 101895. [Google Scholar] [CrossRef]
- Sudhakar; Kumar, S. An emerging threat Fileless malware: A survey and research challenges. Cybersecurity 2020, 3, 1. [Google Scholar] [CrossRef]
- Mimura, M.; Tajiri, Y. Static detection of malicious PowerShell based on word embeddings. Internet Things 2021, 15, 100404. [Google Scholar] [CrossRef]
- Pektaş, A.; Acarman, T. Classification of malware families based on runtime behaviors. J. Inf. Secur. Appl. 2017, 37, 91–100. [Google Scholar] [CrossRef]
- Chen, T.; song Zhang, X.; yuan Li, H.; Wang, D.; Wu, Y. Propagation modeling of active P2P worms based on ternary matrix. J. Netw. Comput. Appl. 2013, 36, 1387–1394. [Google Scholar] [CrossRef]
- Chen, T.; song Zhang, X.; Li, H.; da Li, X.; Wu, Y. Fast quarantining of proactive worms in unstructured P2P networks. J. Netw. Comput. Appl. 2011, 34, 1648–1659. [Google Scholar] [CrossRef]
- Kolias, C.; Kambourakis, G.; Stavrou, A.; Voas, J. DDoS in the IoT: Mirai and Other Botnets. Computer 2017, 50, 80–84. [Google Scholar] [CrossRef]
- Akbanov, M.; Vassilakis, V.G.; Logothetis, M.D. Ransomware detection and mitigation using software-defined networking: The case of WannaCry. Comput. Electr. Eng. 2019, 76, 111–121. [Google Scholar] [CrossRef]
- Adams, C. Learning the lessons of WannaCry. Comput. Fraud. Secur. 2018, 2018, 6–9. [Google Scholar] [CrossRef]
- Zhou, P.; Gu, X.; Nepal, S.; Zhou, J. Modeling social worm propagation for advanced persistent threats. Comput. Secur. 2021, 108, 102321. [Google Scholar] [CrossRef]
- Hartmann, L.; Wendzel, S. Anomaly Detection in ICS based on Data-history Analysis. In Proceedings of the European Interdisciplinary Cybersecurity Conference, Rennes, France, 18 November 2020; pp. 1–2. [Google Scholar]
- Kumari, S.; Upadhyay, R.K. Exploring the behavior of malware propagation on mobile wireless sensor networks: Stability and control analysis. Math. Comput. Simul. 2021, 190, 246–269. [Google Scholar] [CrossRef]
- Martín del Rey, A.; Casado Vara, R.; Rodríguez González, S. A computational propagation model for malware based on the SIR classic model. Neurocomputing 2021, 484, 161–171. [Google Scholar] [CrossRef]
- Dong, N.P.; Long, H.V.; Khastan, A. Optimal control of a fractional order model for granular SEIR epidemic with uncertainty. Commun. Nonlinear Sci. Numer. Simul. 2020, 88, 105312. [Google Scholar] [CrossRef] [PubMed]
- Han, S.; Lei, C. Global stability of equilibria of a diffusive SEIR epidemic model with nonlinear incidence. Appl. Math. Lett. 2019, 98, 114–120. [Google Scholar] [CrossRef]
- Yang, Y.; Xu, L. Stability of a fractional order SEIR model with general incidence. Appl. Math. Lett. 2020, 105, 106303. [Google Scholar] [CrossRef]
- Wang, X.; Wei, L.; Zhang, J. Dynamical analysis and perturbation solution of an SEIR epidemic model. Appl. Math. Comput. 2014, 232, 479–486. [Google Scholar] [CrossRef]
- Bentaleb, D.; Amine, S. Lyapunov function and global stability for a two-strain SEIR model with bilinear and non-monotone incidence. Int. J. Biomath. 2019, 12, 1950021. [Google Scholar] [CrossRef]
- Karyotis, V.; Khouzani, M. Malware Diffusion Models for Modern Complex Networks: Theory and Applications; Morgan Kaufmann: Burlington, MA, USA, 2016; pp. 139–154. [Google Scholar]
- Raja, M.A.Z.; Mehmood, A.; Ashraf, S.; Awan, K.M.; Shi, P. Design of evolutionary finite difference solver for numerical treatment of computer virus propagation with countermeasures model. Math. Comput. Simul. 2022, 193, 409–430. [Google Scholar] [CrossRef]
- Tang, W.; Liu, Y.J.; Chen, Y.L.; Yang, Y.X.; Niu, X.X. SLBRS: Network Virus Propagation Model based on Safety Entropy. Appl. Soft Comput. 2020, 97, 106784. [Google Scholar] [CrossRef]
- Yang, F.; Zhang, Z. Hopf bifurcation analysis of SEIR-KS computer virus spreading model with two-delay. Results Phys. 2021, 24, 104090. [Google Scholar] [CrossRef]
- Yang, F.; Zhang, Z.; Zeb, A. Hopf bifurcation of a VEIQS worm propagation model in mobile networks with two delays. Alex. Eng. J. 2021, 60, 5105–5114. [Google Scholar] [CrossRef]
- Pei, Y.; Liu, S.; Gao, S.; Li, S.; Li, C. A delayed SEIQR epidemic model with pulse vaccination and the quarantine measure. Comput. Math. Appl. 2009, 58, 135–145. [Google Scholar] [CrossRef]
- Gao, Q.; Zhuang, J. Stability analysis and control strategies for worm attack in mobile networks via a VEIQS propagation model. Appl. Math. Comput. 2020, 368, 124584. [Google Scholar] [CrossRef]
- Magagula, V.M.; Mungwe, S.N. Stability analysis of a virulent code in a network of computers. Math. Comput. Simul. 2021, 182, 296–315. [Google Scholar] [CrossRef]
- Xiao, X.; Fu, P.; Dou, C.; Li, Q.; Hu, G.; Xia, S. Design and analysis of SEIQR worm propagation model in mobile internet. Commun. Nonlinear Sci. Numer. Simul. 2017, 43, 341–350. [Google Scholar] [CrossRef]
- Piqueira, J.R.C.; Batistela, C.M. Considering quarantine in the SIRA malware propagation model. Math. Probl. Eng. 2019, 2019, 6467104. [Google Scholar] [CrossRef]
- Badea, C.; Binning, K.R.; Sherman, D.K.; Boza, M.; Kende, A. Conformity to group norms: How group-affirmation shapes collective action. J. Exp. Soc. Psychol. 2021, 95, 104153. [Google Scholar] [CrossRef]
- Li, D.; Du, J.; Sun, M.; Han, D. How conformity psychology and benefits affect individuals’ green behaviours from the perspective of a complex network. J. Clean. Prod. 2020, 248, 119215. [Google Scholar] [CrossRef]
- Hosseini, S.; Azgomi, M.A. The dynamics of an SEIRS-QV malware propagation model in heterogeneous networks. Phys. A Stat. Mech. Its Appl. 2018, 512, 803–817. [Google Scholar] [CrossRef]
- Miao, Q.; Tang, X.; Quan, Y. A Novel Email Virus Propagation Model with Local Group. In Proceedings of the 2014 IEEE 11th Intl Conf on Ubiquitous Intelligence and Computing and 2014 IEEE 11th Intl Conf on Autonomic and Trusted Computing and 2014 IEEE 14th Intl Conf on Scalable Computing and Communications and Its Associated Workshops, Bali, Indonesia, 9–12 December 2014; pp. 331–336. [Google Scholar]
- Zhu, Q.; Luo, X.; Liu, Y. Modeling and Analysis of the Spread of Malware with the Influence of User Awareness. Complexity 2021, 2021, 6639632. [Google Scholar] [CrossRef]
- Fang, H.; Li, X.; Zhang, J. Integrating social influence modeling and user modeling for trust prediction in signed networks. Artif. Intell. 2022, 302, 103628. [Google Scholar] [CrossRef]
- Ghafari, S.M.; Beheshti, A.; Joshi, A.; Paris, C.; Mahmood, A.; Yakhchi, S.; Orgun, M.A. A Survey on Trust Prediction in Online Social Networks. IEEE Access 2020, 8, 144292–144309. [Google Scholar] [CrossRef]
- Yu, Z.; Lu, S.; Wang, D.; Li, Z. Modeling and analysis of rumor propagation in social networks. Inf. Sci. 2021, 580, 857–873. [Google Scholar] [CrossRef]
- Cauteruccio, F.; Cinelli, L.; Fortino, G.; Savaglio, C.; Terracina, G.; Ursino, D.; Virgili, L. An approach to compute the scope of a social object in a Multi-IoT scenario. Pervasive Mob. Comput. 2020, 67, 101223. [Google Scholar] [CrossRef]
- Meo, P.D. Trust Prediction via Matrix Factorisation. ACM Trans. Internet Technol. 2019, 19, 1–20. [Google Scholar] [CrossRef]
- Jia, P.; Liu, J.; Fang, Y.; Liu, L.; Liu, L. Modeling and analyzing malware propagation in social networks with heterogeneous infection rates. Phys. A Stat. Mech. Its Appl. 2018, 507, 240–254. [Google Scholar] [CrossRef]
- Du, B.; Wang, H. Partial differential equation modeling of malware propagation in social networks with mixed delays. Comput. Math. Appl. 2018, 75, 3537–3548. [Google Scholar] [CrossRef]
- Bozkurt, F.; Yousef, A.; Abdeljawad, T.; Kalinli, A.; Mdallal, Q.A. A fractional-order model of COVID-19 considering the fear effect of the media and social networks on the community. Chaos Solitons Fractals 2021, 152, 111403. [Google Scholar] [CrossRef]
- Liu, R.; Wu, J.; Zhu, H. Media/psychological impact on multiple outbreaks of emerging infectious diseases. Comput. Math. Methods Med. 2007, 8, 153–164. [Google Scholar] [CrossRef]
- Sahu, G.P.; Dhar, J. Dynamics of an SEQIHRS epidemic model with media coverage, quarantine and isolation in a community with pre-existing immunity. J. Math. Anal. Appl. 2015, 421, 1651–1672. [Google Scholar] [CrossRef] [PubMed]
- Yuan, H.; Chen, G. Network virus-epidemic model with the point-to-group information propagation. Appl. Math. Comput. 2008, 206, 357–367. [Google Scholar] [CrossRef]
- Sheng, C.; Yao, Y.; Fu, Q.; Yang, W.; Liu, Y. Study on the intelligent honeynet model for containing the spread of industrial viruses. Comput. Secur. 2021, 111, 102460. [Google Scholar] [CrossRef]
- Castillo-Chavez, C.; Song, B. Dynamical models of tuberculosis and their applications. Math. Biosci. Eng. 2004, 1, 361. [Google Scholar] [CrossRef]
- Chavez, C.C.; Feng, Z.; Huang, W. On the computation of R0 and its role on global stability. Math. Approaches Emerg. -Emerg. Infect. Dis. Introd. 2002, 125, 31–65. [Google Scholar]
- Social Network: Reddit Hyperlink Network. Available online: http://snap.stanford.edu/data/soc-RedditHyperlinks.html (accessed on 9 September 2022).
- Social circles: Twitter. Available online: http://snap.stanford.edu/data/ego-Twitter.html (accessed on 9 September 2022).
- Ndaïrou, F.; Area, I.; Nieto, J.J.; Torres, D.F. Mathematical modeling of COVID-19 transmission dynamics with a case study of Wuhan. Chaos Solitons Fractals 2020, 135, 109846. [Google Scholar] [CrossRef] [PubMed]
- Chitnis, N.; Hyman, J.M.; Cushing, J.M. Determining Important Parameters in the Spread of Malaria Through the Sensitivity Analysis of a Mathematical Model. Bull. Math. Biol. 2008, 70, 5. [Google Scholar] [CrossRef] [PubMed]











| Parameter | Description | Initial Value | Source |
|---|---|---|---|
| Rate of exposed computers becoming infected computers. | 0.008 | [26] | |
| Rate of susceptible computers becoming exposed computers. | 0.053 | [26] | |
| Rate of infected computers being quarantined. | 0.05 | [26] | |
| Rate of susceptible computers becoming exposed computers. | 0.02 | - | |
| Recovery rate for the exposed computers. | 0.0008 | [26] | |
| Rate of quarantined computers becoming susceptible computers. | 0.005 | [26] | |
| Recruitment and mortality rate. | 0.001 | - | |
| The impact of social networks corresponding to . | 0.2, 0.3, 0.3 | - |
| Parameter | ||||||||||
|---|---|---|---|---|---|---|---|---|---|---|
| Value | 0.1 | 0.1 | 0.2 | 0.05 | 0.0008 | 0.005 | 0.001 | 0.2 | 0.3 | 0.3 |
| Parameter | |||||
|---|---|---|---|---|---|
| Group 1 | 0.1 | 0.24 | 0.5 | 0.7 | 0.8 |
| Group 2 | 0.3 | 0.45 | 0.6 | 0.9 | 0.1 |
| Group 3 | 0.5 | 0.75 | 0.9 | 0.15 | 0.28 |
| Group 4 | 0.7 | 0.8 | 0.28 | 0.4 | 0.53 |
| Group 5 | 0.9 | 0.22 | 0.29 | 0.5 | 0.75 |
| Parameter | |||||
|---|---|---|---|---|---|
| Case 1 | +1.0000 | +0.8333 | −0.3472 | −0.9528 | −0.5333 |
| Case 2 | +1.0000 | +0.7692 | −0.3077 | −1.3615 | −0.1000 |
| Case 3 | +1.0000 | +0.5833 | −0.5000 | −0.4322 | −0.6512 |
| Case 4 | +1.0000 | +0.4595 | −0.1892 | −0.7004 | −0.5699 |
| Case 5 | +1.0000 | +0.7822 | −0.2871 | −0.8950 | −0.6000 |
Publisher’s Note: MDPI stays neutral with regard to jurisdictional claims in published maps and institutional affiliations. |
© 2022 by the authors. Licensee MDPI, Basel, Switzerland. This article is an open access article distributed under the terms and conditions of the Creative Commons Attribution (CC BY) license (https://creativecommons.org/licenses/by/4.0/).
Share and Cite
Zhu, Q.; Liu, Y.; Luo, X.; Cheng, K. A Malware Propagation Model Considering Conformity Psychology in Social Networks. Axioms 2022, 11, 632. https://doi.org/10.3390/axioms11110632
Zhu Q, Liu Y, Luo X, Cheng K. A Malware Propagation Model Considering Conformity Psychology in Social Networks. Axioms. 2022; 11(11):632. https://doi.org/10.3390/axioms11110632
Chicago/Turabian StyleZhu, Qingyi, Yuhang Liu, Xuhang Luo, and Kefei Cheng. 2022. "A Malware Propagation Model Considering Conformity Psychology in Social Networks" Axioms 11, no. 11: 632. https://doi.org/10.3390/axioms11110632
APA StyleZhu, Q., Liu, Y., Luo, X., & Cheng, K. (2022). A Malware Propagation Model Considering Conformity Psychology in Social Networks. Axioms, 11(11), 632. https://doi.org/10.3390/axioms11110632

