Mixture of Akash Distributions: Estimation, Simulation and Application
Abstract
1. Introduction
2. The Two-Component Mixture of Akash Model
2.1. Mode
2.2. Median
2.3. mth Moments about Origin
2.4. Moment Generating Function
2.5. Cumulants
2.6. Probability Generating Function (PGF)
2.7. Factorial Moment Generating Function
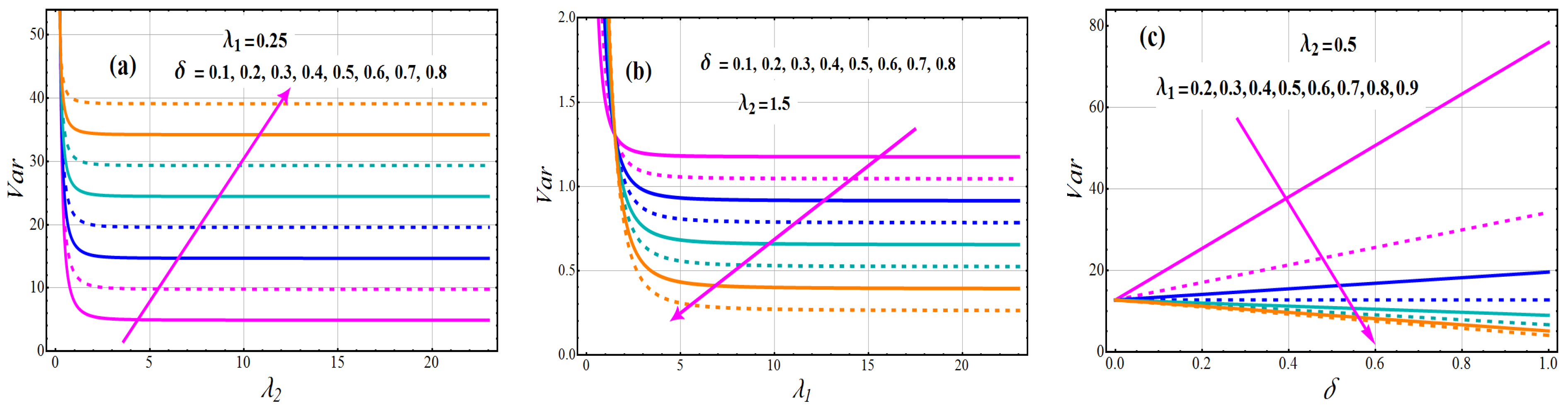
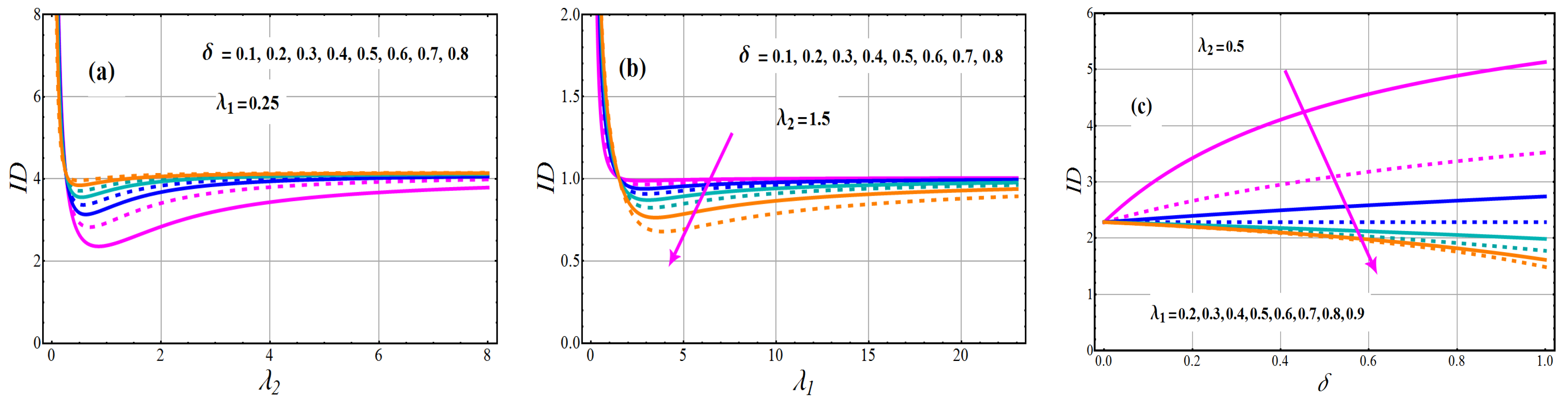
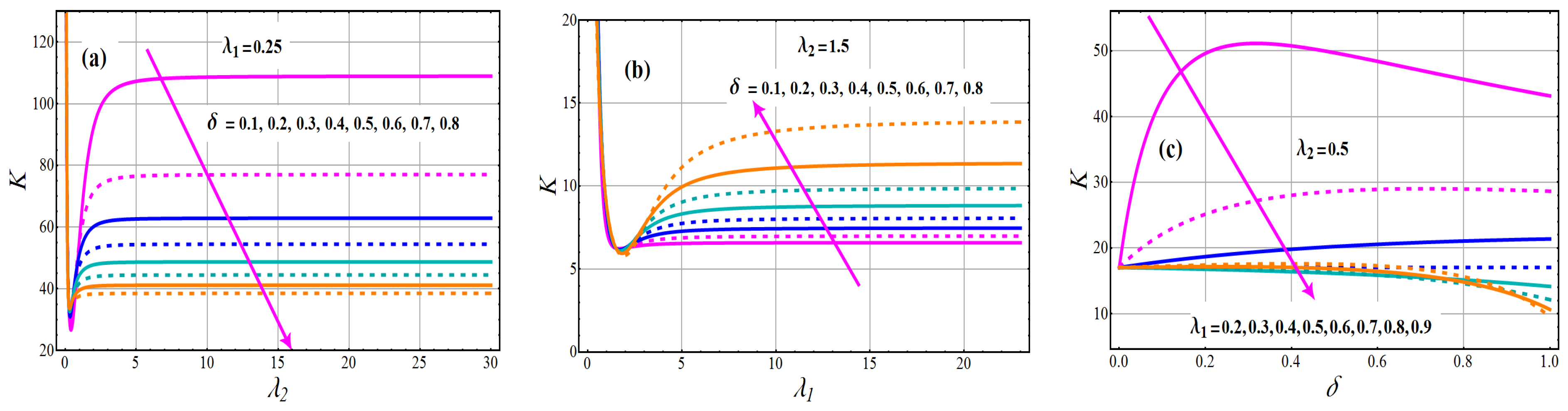
3. Reliability Measures
3.1. Reliability Function
3.2. Hazard Function
3.3. Mills Ratio
3.4. Cumulative Hazard Rate Function
3.5. Reversed Hazard Rate Function
3.6. Mean Time to Failure (MTTF)
4. Estimation Inference via Simulation
4.1. Maximum Likelihood Estimation (MLE)
4.2. Least Square Estimators (LSE)
4.3. Weighted Least Squares Estimators (WLSE)
4.4. Simulation Study
- By adjusting the mixing proportion and model parameters Set-I Set-II and Set-III, generate random samples of sizes from TC-MAM(). The random samples for the simulation are obtained as specified in the upcoming stage.
- Generate a random variable u from uniform distribution , employing R uniform generator (runif).
- If , then generate a random variable from the first component, which is a Akash distribution . If , the second component, Akash distribution , is utilized to produce a random variate.
- Follow (2 and 3) till you have the prescribed sample size n.
- Employing 1000 iterations, continue steps 1–4 each time. Evaluate MLEs, LSEs, and WLSEs for the 1000 samples, say for having optima function and the Nelder–Mead technique in R to compute estimates.
- Determine biases and MSEs. The two metrics are utilized to meet these targets:where
- Under all three estimation procedures, the estimated bias of parameters reduces as n grows.
- The estimators of are over-estimated in the third scenario, however the over and under estimation of and are seen among the three investigated estimators, and the WLSE always has the minimum value of bias of all estimators (see Figure 13).
- Among the three estimators evaluated, the MSE of is the greatest (see Figure 14).
- The MSE of is strongly stimulated and higher under MLE and LSE estimation methods when (see Figure 10).
- Some big shifts in MSEs of considered estimators under MLE, LSE, and WLSE are observed when .
- In terms of bias, the WLSE’s performance is relatively favorable.
- In all estimating methodologies, the difference between estimates and stated parameters reduces as n rises.
- As n approaches infinity, WLSE estimation is frequently better in terms of bias and MSE when likened to other estimation methods for all given parameter values.
- The estimated MSEs of parameters and under the MLE estimation technique decrease quickly as n increases, demonstrating the effectiveness of the MLE procedure.
5. Applications
6. Conclusions
Author Contributions
Funding
Data Availability Statement
Conflicts of Interest
Nomenclature
| Symbols | |
| Mills Ratio | |
| PGF | |
| CHRF | |
| MGF | |
| RF | |
| CGF | |
| MTTF | |
| CDF | |
| HRF | |
| QF | |
| CF | |
| FMGF | |
| RHRF | |
| MRL | |
| Abbreviations | |
| CHRF | Cumulative Hazard Rate Function |
| MGF | Moment Generating Function |
| Probability Density Function | |
| CGF | Cumulant Generating Function |
| CDF | Cumulative Distribution Function |
| FMGF | Factorial Moment Generating Function |
| RHRF | Reversed Hazard Rate Function |
| PGF | Probability Generating Function |
| WLSE | Weighted Least Square Estimator |
| MLE | Maximum likelihood Estimator |
| AICC | Akaike Information Criterion Corrected |
| AIC | Akaike Information Criterion |
| TTF | Time-To-Failure |
| QF | Quantile Function |
| RF | Reliability Function |
| CF | Characteristic Function |
| MSE | Mean square error |
| MRL | Mean Residual Life |
| LSE | Least Square Estimator |
| r.v. | Random Variable |
| HRF | Hazard Rate Function |
| MTTF | Mean Time to Failure |
| GoF | Goodness-of-Fit |
| BIC | Bayesian Information Criterion |
References
- Everitt, B.S. A finite mixture model for the clustering of mixed-mode data. Stat. Probab. Lett. 1988, 6, 305–309. [Google Scholar] [CrossRef]
- Lindsay, B.G. Mixture models: Theory, geometry and applications. In NSF-CBMS Regional Conference Series in Probability and Statistics; Institute of Mathematical Statistics: New York, NY, USA, 1995; p. i-163. Available online: https://www.jstor.org/stable/4153184 (accessed on 4 September 2022).
- McLachlan, G.J.; Basford, K.E. Mixture Models: Inference and Applications to Clustering; M. Dekker: New York, NY, USA, 1988; Volume 38. [Google Scholar]
- McLachlan, G.; Peel, D. Finite Mixture Models; John Wiley & Sons: New York, NY, USA, 2000. [Google Scholar]
- Sultan, K.S.; Ismail, M.A.; Al-Moisheer, A.S. Mixture of two inverse Weibull distributions: Properties and estimation. Comput. Stat. Data Anal. 2007, 51, 5377–5387. [Google Scholar] [CrossRef]
- Mohammad, D.; Muhammad, A. On the Mixture of BurrXII and Weibull Distribution. J. Stat. Appl. Probab. 2014, 3, 251–267. [Google Scholar]
- Sindhu, T.N.; Feroze, N.; Aslam, M.; Shafiq, A. Bayesian inference of mixture of two Rayleigh distributions: A new look. Punjab Univ. J. Math. 2020, 48, 49–64. [Google Scholar]
- Sindhu, T.N.; Hussain, Z.; Aslam, M. Parameter and reliability estimation of inverted Maxwell mixture model. J. Stat. Manag. Syst. 2019, 22, 459–493. [Google Scholar] [CrossRef]
- Ateya, S.F. Maximum likelihood estimation under a finite mixture of generalized exponential distributions based on censored data. Stat. Pap. 2014, 55, 311–325. [Google Scholar] [CrossRef]
- Mohammadi, A.; Salehi-Rad, M.R.; Wit, E.C. Using mixture of Gamma distributions for Bayesian analysis in an M/G/1 queue with optional second service. Comput. Stat. 2013, 28, 683–700. [Google Scholar] [CrossRef]
- Al-Moisheer, A.S.; Daghestani, A.F.; Sultan, K.S. Mixture of Two One-Parameter Lindley Distributions: Properties and Estimation. J. Stat. Theory Pract. 2021, 15, 11. [Google Scholar] [CrossRef]
- Hussain, E. The Non-Linear Functions of Order Statistics and Their Properties in Selected Probability Models. Ph.D. Thesis, Department of Statistics, University of Karachi, Karachi, Pakistan, 2006. [Google Scholar]
- Shanker, R. Akash distribution and its applications. Int. J. Probab. Stat. 2015, 4, 65–75. [Google Scholar]
- Shanker, R.; Hagos, F.; Sujatha, S. On modeling of lifetime data using one parameter Akash, Lindley and exponential distributions. Biom. Biostat. Int. J. 2016, 3, 1–10. [Google Scholar] [CrossRef]
- Shanker, R.; Shukla, K.K. On two-parameter Akash distribution. Biom. Biostat. Int. J. 2017, 6, 416–425. [Google Scholar] [CrossRef][Green Version]
- Dey, S.; Kumar, D.; Ramos, P.L.; Louzada, F. Exponentiated Chen distribution: Properties and estimation. Commun. Stat.-Simul. Comput. 2017, 46, 8118–8139. [Google Scholar] [CrossRef]
- Dey, S.; Alzaatreh, A.; Zhang, C.; Kumar, D. A new extension of generalized exponential distribution with application to ozone data. Ozone Sci. Eng. 2017, 39, 273–285. [Google Scholar] [CrossRef]
- Rodrigues, G.C.; Louzada, F.; Ramos, P.L. Poisson exponential distribution: Different methods of estimation. J. Appl. Stat. 2018, 45, 128–144. [Google Scholar] [CrossRef]
- Dey, S.; Moala, F.A.; Kumar, D. Statistical properties and different methods of estimation of Gompertz distribution with application. J. Stat. Manag. Syst. 2018, 21, 839–876. [Google Scholar] [CrossRef]
- Dey, S.; Josmar, M.J.; Nadarajah, S. Kumaraswamy distribution: Different methods of estimation. Comput. Appl. Math. 2018, 37, 2094–2111. [Google Scholar] [CrossRef]
- Shafiq, A.; Batur Çolak, A.; Naz Sindhu, T.; Ahmad Lone, S.; Alsubie, A.; Jarad, F. Comparative study of artificial neural network versus parametric method in COVID-19 data analysis. Results Phys. 2022, 38, 105613. [Google Scholar] [CrossRef]
- Swain, J.J.; Venkatraman, S.; Wilson, J.R. Least-squares estimation of distribution functions in Johnson’s translation system. J. Stat. Comput. Simul. 1988, 29, 271–297. [Google Scholar] [CrossRef]
- Gupta, R.D.; Kundu, D. Generalized exponential distribution: Different method of estimations. J. Stat. Simul. 2001, 69, 315–337. [Google Scholar] [CrossRef]
- Sindhu, T.N.; Shafiq, A.; Al-Mdallal, Q.M. On the analysis of number of deaths due to Covid- 19 outbreak data using a new class of distributions. Results Phys. 2021, 21, 103747. [Google Scholar] [CrossRef]
- Lone, S.A.; Sindhu, T.N.; Shafiq, A.; Jarad, F. A novel extended Gumbel Type II model with statistical inference and COVID-19 applications. Results Phys. 2022, 35, 105377. [Google Scholar] [CrossRef]
- Sindhu, T.N.; Hussain, Z.; Alotaibi, N.; Muhammad, T. Estimation method of mixture distribution and modeling of COVID-19 pandemic. Aims Math. 2022, 7, 9926–9956. [Google Scholar] [CrossRef]
- Lone, S.A.; Sindhu, T.N.; Jarad, F. Additive Trinomial Fréchet distribution with practical application. Results Phys. 2022, 33, 105087. [Google Scholar] [CrossRef]
















| Distributions | MLEs | AIC | BIC | AICC | ||
|---|---|---|---|---|---|---|
| TC-MAM | 0.011647 | 260.0557 | 526.1114 | 532.1875 | 526.5729 | |
| 0.053562 | ||||||
| 0.024836 | ||||||
| 2C-MSM | 0.008656 | 269.2051 | 544.4102 | 550.4863 | 544.8717 | |
| 0.035161 | ||||||
| 0.023762 | ||||||
| 2C-MLM | 0.008684 | 270.0022 | 546.0045 | 552.0805 | 546.4659 | |
| 0.034539 | ||||||
| 0.023282 | ||||||
| 2C-MEM | 0.016401 | 286.1761 | 578.3523 | 584.4283 | 578.8137 | |
| 0.016396 | ||||||
| 0.746712 | ||||||
Publisher’s Note: MDPI stays neutral with regard to jurisdictional claims in published maps and institutional affiliations. |
© 2022 by the authors. Licensee MDPI, Basel, Switzerland. This article is an open access article distributed under the terms and conditions of the Creative Commons Attribution (CC BY) license (https://creativecommons.org/licenses/by/4.0/).
Share and Cite
Shafiq, A.; Sindhu, T.N.; Lone, S.A.; Hassan, M.K.H.; Nonlaopon, K. Mixture of Akash Distributions: Estimation, Simulation and Application. Axioms 2022, 11, 516. https://doi.org/10.3390/axioms11100516
Shafiq A, Sindhu TN, Lone SA, Hassan MKH, Nonlaopon K. Mixture of Akash Distributions: Estimation, Simulation and Application. Axioms. 2022; 11(10):516. https://doi.org/10.3390/axioms11100516
Chicago/Turabian StyleShafiq, Anum, Tabassum Naz Sindhu, Showkat Ahmad Lone, Marwa K. H. Hassan, and Kamsing Nonlaopon. 2022. "Mixture of Akash Distributions: Estimation, Simulation and Application" Axioms 11, no. 10: 516. https://doi.org/10.3390/axioms11100516
APA StyleShafiq, A., Sindhu, T. N., Lone, S. A., Hassan, M. K. H., & Nonlaopon, K. (2022). Mixture of Akash Distributions: Estimation, Simulation and Application. Axioms, 11(10), 516. https://doi.org/10.3390/axioms11100516

