An Optimization Model for Waste Load Allocation under Water Carrying Capacity Improvement Management, A Case Study of the Yitong River, Northeast China
Abstract
:1. Introduction
2. Case Description
3. Model Formulation
- (1)
- Constraints of water carrying capacity:
- (2)
- Constraints for pollutant concentrations:
- (3)
- Constraints for water resource projects:
- (4)
- Constraints for regional industry development:
- (5)
- River ecological development requirements:
- (6)
- Technology constraints:
4. Results Analysis and Discussion
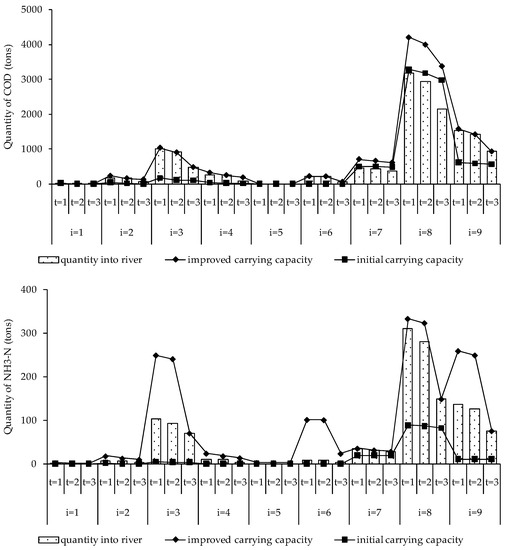
4.1. Carrying Capacity Analysis
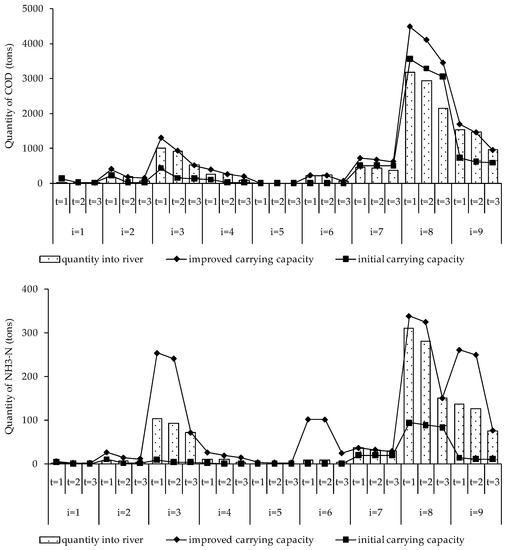
4.2. Pollutant Allocation
4.3. Carrying Capacity Improvement
5. Conclusions
Acknowledgments
Author Contributions
Conflicts of Interest
References
- Liu, B.C.; Ma, J.; Yu, H.Y.; Huang, S.H. Study on the status of exploitation and utilization of water resources in Harbin and the sustainable development strategy. J. Hydraul. Eng. 2007, 26, 724–730. [Google Scholar]
- Ran, L.; Lu, X.X. Redressing China’s strategy of water resource exploitation. Environ. Manag. 2013, 51, 503–510. [Google Scholar] [CrossRef] [PubMed]
- Song, X.M.; Kong, F.Z.; Zhan, C.S. Assessment of water resources carrying capacity in Tianjin city of China. Water Resour. Manag. 2011, 25, 857–873. [Google Scholar] [CrossRef]
- Schindler, D.W.; Donahue, W.F. An impending water crisis in Canada’s western prairie provinces. Proc. Natl. Acad. Sci. USA 2006, 103, 7210–7216. [Google Scholar] [CrossRef] [PubMed]
- Qin, B.; Zhu, G.; Gao, G.; Zhang, Y.; Li, W.; Paerl, H.W.; Carmichael, W.W. A drinking water crisis in Lake Taihu, China: Linkage to climatic variability and lake management. Environ. Manag. 2010, 45, 105–112. [Google Scholar] [CrossRef] [PubMed]
- Dana, K. Privatizing water: Governance failure and the world’s urban water crisis. Environ. Plan. C Gov. Policy 2011, 20, 951–952. [Google Scholar]
- Sun, J.; Chen, Y.; Zhang, Z.; Wang, P.; Song, X.; Wei, X.; Feng, B. The spatio-temporal variations of surface water quality in China during the “Eleventh Five-Year Plan”. Environ. Monit. Assess. 2015, 187, 1–12. [Google Scholar] [CrossRef] [PubMed]
- Hu, F.P.; Hou, J.; Luo, J.W.; Hu, W.R. Analysis of pollution loading and water environmental capacity of Gan River in Nanchang. Environ. Sci. Technol. 2010, 7, 213–234. [Google Scholar]
- Yang, J.; Lei, K.; Khu, S.; Meng, W.; Qiao, F. Assessment of water environmental carrying capacity for sustainable development using a coupled system dynamics approach applied to the Tieling of the Liao River Basin, China. Environ. Earth. Sci. 2015, 73, 1–11. [Google Scholar] [CrossRef]
- Meng, W.; Zhang, N.; Zhang, Y.; Zheng, B.H. The Study on Technique of Basin Water Quality Target Management I: Pollutant Total Amount Control Technique in Control Unit. Res. Environ. Sci. 2007, 20, 1–8. [Google Scholar]
- Gregoire, C.; Elsaesser, D.; Huguenot, D.; Lange, J.; Lebeau, T.; Merli, A.; Mose, R.; Passeport, E.; Payraudeau, S.; Schütz, T.; et al. Mitigation of agricultural nonpoint-source pesticide pollution in artificial wetland ecosystems. Environ. Chem. Lett. 2009, 7, 205–231. [Google Scholar] [CrossRef]
- Li, X.N.; Song, H.L.; Li, W.; Lu, X.W.; Nishimura, O. An integrated ecological floating-bed employing plant, freshwater clam and biofilm carrier for purification of eutrophic water. Ecol. Eng. 2010, 36, 382–390. [Google Scholar] [CrossRef]
- Ouellet-Plamondon, C.; Chazarenc, F.; Comeau, Y.; Brisson, J. Artificial aeration to increase pollutant removal efficiency of constructed wetlands in cold climate. Ecol. Eng. 2006, 27, 258–264. [Google Scholar] [CrossRef]
- Cho, J.H.; Sung, K.S.; Ha, S.R. A river water quality management model for optimising regional wastewater treatment using a genetic algorithm. J. Environ. Manag. 2004, 73, 229–242. [Google Scholar] [CrossRef] [PubMed]
- Karmakar, S.; Mujumdar, P.P. A two-phase grey fuzzy optimization approach for water quality management of a river system. Adv. Water Resour. 2007, 30, 1218–1235. [Google Scholar] [CrossRef]
- Qin, X.S.; Huang, G.H. An Inexact Chance-constrained Quadratic Programming Model for Stream Water Quality Management. Water Resour. Manag. 2009, 23, 661–695. [Google Scholar] [CrossRef]
- Hu, M.; Huang, G.H.; Sun, W.; Li, Y.P. Inexact quadratic joint-probabilistic programming for water quality management under uncertainty in the Xiangxi River, China. Stoch. Environ. Res. Risk Assess. 2013, 27, 1115–1132. [Google Scholar] [CrossRef]
- Vemula, V.R.S.; Mujumdar, P.P.; Ghosh, S. Risk Evaluation in Water Quality Management of a River System. J. Water Resour. Plan. Manag. 2004, 130, 411–423. [Google Scholar] [CrossRef]
- Kerachian, R.; Karamouz, M.A. Stochastic conflict resolution model for water quality management in reservoir–river systems. Adv. Water. Resour. 2007, 30, 866–882. [Google Scholar] [CrossRef]
- Xu, J.; Li, Y.; Huang, G. A Hybrid Interval-Robust Optimization Model for Water Quality Management. Environ. Eng. Sci. 2013, 30, 248–263. [Google Scholar] [CrossRef] [PubMed]
- Kneis, D. A water quality model for shallow river-lake systems and its application in river basin management. NMR Biomed. 2007, 23. Available online: https://publishup.uni-potsdam.de/opus4-ubp/files/1345/kneis_diss.pdf(accessed on 27 July 2017).
- Cools, J.; Broekx, S.; Vandenberghe, V.; Sels, H.; Meynaerts, E.; Vercaemst, P.; Seuntjens, P.; Van Hulle, S.; Wustenberghs, H.; Bauwens, W.; et al. Coupling a hydrological water quality model and an economic optimization model to set up a cost-effective emission reduction scenario for nitrogen. Environ. Model. Softw. 2011, 26, 44–51. [Google Scholar] [CrossRef]
- Xie, Y.L.; Li, Y.P.; Huang, G.H.; Li, Y.F.; Chen, L.R. An inexact chance-constrained programming model for water quality management in Binhai New Area of Tianjin, China. Sci. Total. Environ. 2011, 409, 1757–1773. [Google Scholar] [CrossRef] [PubMed]
- Fan, Y.R.; Huang, G.H.; Guo, P.; Yang, A.L. Inexact two-stage stochastic partial programming: Application to water resources management under uncertainty. Stoch. Environ. Res. Risk Assess. 2012, 26, 281–293. [Google Scholar] [CrossRef]
- Li, Z.; Huang, G.; Zhang, Y.; Li, Y. Inexact two-stage stochastic credibility constrained programming for water quality management. Resour. Conserv. Recycl. 2013, 73, 122–132. [Google Scholar] [CrossRef]
- Xie, Y.L.; Huang, G.H. Development of an inexact two-stage stochastic model with downside risk control for water quality management and decision analysis under uncertainty. Stoch. Environ. Res. Risk Assess. 2014, 28, 1555–1575. [Google Scholar] [CrossRef]
- Men, B.; Yu, T.; Kong, F.; Hua, Y. Study on the minimum and appropriate instream ecological flow in Yitong River based on Tennant method. Nat. Environ. Pollut. Technol. 2014, 13, 541–546. [Google Scholar]











| Zones | Functions | Length(km) | Quality Targets (mg/L) | |
|---|---|---|---|---|
| COD | NH3-N | |||
| 1 | Springhead protection area | 22.80 | 15.00 | 0.50 |
| 2 | Agricultural water area | 29.00 | 20.00 | 1.00 |
| 3 | National nature protection area | 50.30 | 20.00 | 1.00 |
| 4 | Agriculture and fishery water area | 15.00 | 20.00 | 1.00 |
| 5 | Drinking and fishery water area | 11.40 | 20.00 | 1.00 |
| 6 | Agriculture and fishery water area | 12.80 | 20.00 | 1.00 |
| 7 | Landscape and recreation water area | 19.00 | 20.00 | 1.00 |
| 8 | Agricultural water area | 137.20 | 40.00 | 2.00 |
| 9 | Agricultural water, transition area | 45.00 | 30.00 | 1.50 |
| Periods | Levels | |||
|---|---|---|---|---|
| h = 1 (L) | h = 2 (M) | h = 3 (H) | ||
| Probability | ||||
| t = 1 | 0.25 | 0.50 | 0.25 | |
| t = 2 | 0.25 | 0.25 | 0.50 | |
| t = 3 | 0.50 | 0.25 | 0.25 | |
| Steam flows (m3/s) | ||||
| i = 1 | t = 1 | 0.30 | 0.60 | 1.40 |
| t = 2 | 0.10 | 0.15 | 0.20 | |
| t = 3 | 0.03 | 0.07 | 0.16 | |
| i = 2 | t = 1 | 0.30 | 0.60 | 1.40 |
| t = 2 | 0.10 | 0.15 | 0.20 | |
| t = 3 | 0.03 | 0.07 | 0.16 | |
| i = 3 | t = 1 | 0.30 | 0.60 | 1.40 |
| t = 2 | 0.10 | 0.15 | 0.20 | |
| t = 3 | 0.03 | 0.07 | 0.16 | |
| i = 4 | t = 1 | 0.55 | 0.85 | 1.65 |
| t = 2 | 0.35 | 0.40 | 0.45 | |
| t = 3 | 0.28 | 0.32 | 0.41 | |
| i = 5 | t = 1 | 0.001 | 0.001 | 0.001 |
| t = 2 | 0.001 | 0.001 | 0.001 | |
| t = 3 | 0.001 | 0.001 | 0.001 | |
| i = 6 | t = 1 | 0.02 | 0.04 | 0.08 |
| t = 2 | 0.02 | 0.04 | 0.08 | |
| t = 3 | 0.02 | 0.04 | 0.08 | |
| i = 7 | t = 1 | 0.02 | 0.04 | 0.08 |
| t = 2 | 0.02 | 0.04 | 0.08 | |
| t = 3 | 0.02 | 0.04 | 0.08 | |
| i = 8 | t = 1 | 0.50 | 0.70 | 0.90 |
| t = 2 | 0.35 | 0.40 | 0.50 | |
| t = 3 | 0.10 | 0.15 | 0.20 | |
| i = 9 | t = 1 | 4.00 | 4.30 | 4.70 |
| t = 2 | 3.80 | 3.85 | 4.00 | |
| t = 3 | 3.70 | 3.75 | 3.80 | |
| Zones | Periods | Pre-Allocation of the Pollutants (tons) | |||||||
|---|---|---|---|---|---|---|---|---|---|
| Industry | Municipal | Livestock Breeding | Agriculture | ||||||
| COD | NH3-N | COD | NH3-N | COD | NH3-N | COD | NH3-N | ||
| i = 1 | t = 1 | 0.00 | 0.00 | 0.00 | 0.00 | 5.05 | 0.17 | 21.07 | 0.77 |
| t = 2 | 0.00 | 0.00 | 0.00 | 0.00 | 4.49 | 0.15 | 26.33 | 0.96 | |
| t = 3 | 0.00 | 0.00 | 0.00 | 0.00 | 1.68 | 0.06 | 5.27 | 0.19 | |
| i = 2 | t = 1 | 0.00 | 0.00 | 0.00 | 0.00 | 151.39 | 5.22 | 632.04 | 23.12 |
| t = 2 | 0.00 | 0.00 | 0.00 | 0.00 | 134.57 | 4.64 | 790.05 | 28.90 | |
| t = 3 | 0.00 | 0.00 | 0.00 | 0.00 | 50.46 | 1.74 | 158.01 | 5.78 | |
| i = 3 | t = 1 | 187.23 | 22.39 | 683.10 | 77.78 | 146.34 | 5.05 | 505.63 | 18.50 |
| t = 2 | 163.82 | 19.59 | 609.25 | 69.37 | 130.08 | 4.49 | 632.04 | 23.12 | |
| t = 3 | 117.02 | 13.99 | 553.86 | 63.06 | 0.00 | 0.00 | 0.00 | 0.00 | |
| i = 4 | t = 1 | 0.00 | 0.00 | 0.00 | 0.00 | 201.85 | 6.96 | 948.06 | 34.68 |
| t = 2 | 0.00 | 0.00 | 0.00 | 0.00 | 179.42 | 6.19 | 1185.07 | 43.36 | |
| t = 3 | 0.00 | 0.00 | 0.00 | 0.00 | 67.28 | 2.32 | 237.01 | 8.67 | |
| i = 5 | t = 1 | 0.00 | 0.00 | 0.00 | 0.00 | 0.00 | 0.00 | 0.00 | 0.00 |
| t = 2 | 0.00 | 0.00 | 0.00 | 0.00 | 0.00 | 0.00 | 0.00 | 0.00 | |
| t = 3 | 0.00 | 0.00 | 0.00 | 0.00 | 0.00 | 0.00 | 0.00 | 0.00 | |
| i = 6 | t = 1 | 0.00 | 0.00 | 0.00 | 0.00 | 189.22 | 6.52 | 771.35 | 28.22 |
| t = 2 | 0.00 | 0.00 | 0.00 | 0.00 | 168.19 | 5.80 | 964.19 | 35.28 | |
| t = 3 | 0.00 | 0.00 | 0.00 | 0.00 | 63.07 | 2.17 | 192.84 | 7.06 | |
| i = 7 | t = 1 | 83.93 | 10.04 | 383.16 | 43.63 | 0.00 | 0.00 | 0.00 | 0.00 |
| t = 2 | 73.44 | 8.78 | 369.95 | 42.12 | 0.00 | 0.00 | 0.00 | 0.00 | |
| t = 3 | 52.46 | 6.27 | 310.67 | 35.37 | 0.00 | 0.00 | 0.00 | 0.00 | |
| i = 8 | t = 1 | 519.43 | 62.11 | 2028.78 | 231.00 | 651.30 | 22.46 | 2433.82 | 89.04 |
| t = 2 | 454.50 | 54.34 | 1809.45 | 206.03 | 578.94 | 19.96 | 3042.27 | 111.30 | |
| t = 3 | 324.64 | 38.82 | 1644.96 | 187.30 | 217.10 | 7.49 | 608.45 | 22.26 | |
| i = 9 | t = 1 | 173.14 | 20.70 | 869.48 | 99.00 | 434.20 | 14.97 | 1991.31 | 72.85 |
| t = 2 | 151.50 | 18.11 | 775.48 | 88.30 | 385.96 | 13.31 | 2489.13 | 91.07 | |
| t = 3 | 108.21 | 12.94 | 704.98 | 80.27 | 144.73 | 4.99 | 497.83 | 18.21 | |
| Zones | Technologies | ||||||
|---|---|---|---|---|---|---|---|
| l = 1 | l = 2 | l = 3 | l = 4 | l = 5 | l = 6 | l = 7 | |
| i = 1 | 0 | 0 | 1 | 0 | 0 | 0 | 0 |
| i = 2 | 1 | 0 | 0 | 0 | 0 | 0 | 0 |
| i = 3 | 1 | 1 | 0 | 0 | 1 | 1 | 0 |
| i = 4 | 1 | 0 | 0 | 0 | 0 | 0 | 1 |
| i = 5 | 0 | 0 | 1 | 1 | 0 | 0 | 0 |
| i = 6 | 1 | 0 | 0 | 0 | 0 | 1 | 0 |
| i = 7 | 1 | 1 | 0 | 0 | 1 | 0 | 1 |
| i = 8 | 1 | 1 | 0 | 0 | 1 | 1 | 0 |
| i = 9 | 1 | 1 | 0 | 0 | 1 | 1 | 1 |
© 2017 by the authors. Licensee MDPI, Basel, Switzerland. This article is an open access article distributed under the terms and conditions of the Creative Commons Attribution (CC BY) license (http://creativecommons.org/licenses/by/4.0/).
Share and Cite
Meng, C.; Wang, X.; Li, Y. An Optimization Model for Waste Load Allocation under Water Carrying Capacity Improvement Management, A Case Study of the Yitong River, Northeast China. Water 2017, 9, 573. https://doi.org/10.3390/w9080573
Meng C, Wang X, Li Y. An Optimization Model for Waste Load Allocation under Water Carrying Capacity Improvement Management, A Case Study of the Yitong River, Northeast China. Water. 2017; 9(8):573. https://doi.org/10.3390/w9080573
Chicago/Turabian StyleMeng, Chong, Xiaolei Wang, and Yu Li. 2017. "An Optimization Model for Waste Load Allocation under Water Carrying Capacity Improvement Management, A Case Study of the Yitong River, Northeast China" Water 9, no. 8: 573. https://doi.org/10.3390/w9080573
APA StyleMeng, C., Wang, X., & Li, Y. (2017). An Optimization Model for Waste Load Allocation under Water Carrying Capacity Improvement Management, A Case Study of the Yitong River, Northeast China. Water, 9(8), 573. https://doi.org/10.3390/w9080573
