Estimation of Active Stream Network Length in a Hilly Headwater Catchment Using Recession Flow Analysis
Abstract
:1. Introduction
2. Description of the Study Catchment and Associated Data
3. Method
3.1. Theory
3.2. Estimation of Aquifer Breadth
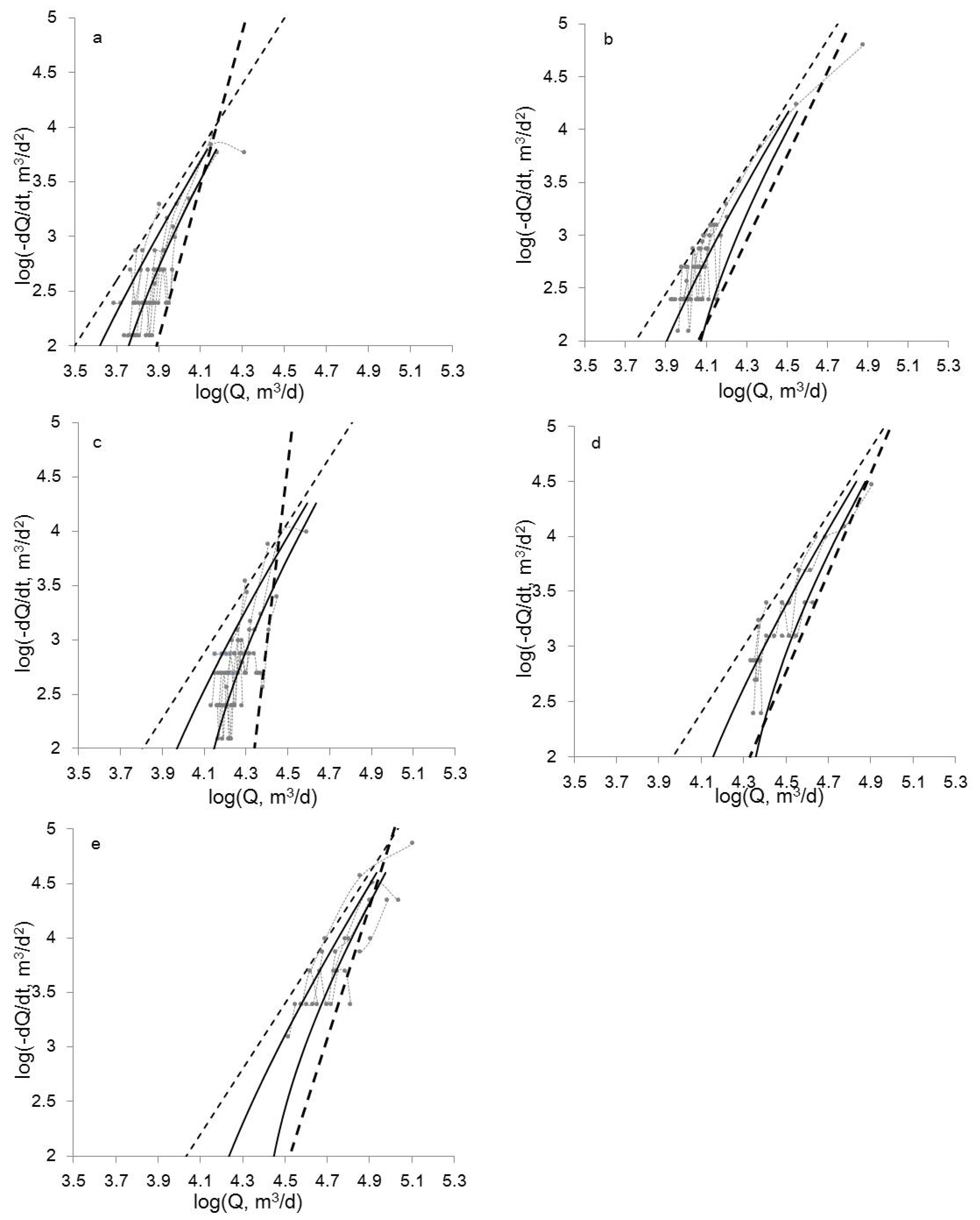
3.3. Recession Flow Analysis
3.4. Estimation of ASNL
4. Results
5. Discussion
5.1. Comparison with Prior Results
5.2. Uncertainty of the Parameters
5.3. Advantages and Limitations
5.4. Precautions and Requirements
5.5. The Behavior of Short Time Recession
6. Concluding Remarks
Acknowledgments
Author Contributions
Conflicts of Interest
References
- Brutsaert, W.; Nieber, J.L. Regionalized Drought Flow Hydrographs from a Mature Glaciated Plateau. Water Resour. Res. 1977, 13, 637–643. [Google Scholar] [CrossRef]
- Rupp, D.E.; Selker, J.S. On the use of the Boussinesq equation for interpreting recession hydrographs from sloping aquifers. Water Resour. Res. 2006, 42. [Google Scholar] [CrossRef]
- Bogaart, P.W.; Rupp, D.E.; Selker, J.S.; van der Velde, Y. Late-time drainage from a sloping Boussinesq aquifer. Water Resour. Res. 2013, 49, 7498–7507. [Google Scholar] [CrossRef]
- Pauritsch, M.; Birk, S.; Wagner, T.; Hergarten, S.; Winkler, G. Analytical approximations of discharge recessions for steeply sloping aquifers in alpine catchments. Water Resour. Res. 2015, 51, 8729–8740. [Google Scholar] [CrossRef]
- Mendoza, G.F.; Steenhuis, T.S.; Walter, M.T.; Parlange, J.-Y. Estimating basin-wide hydraulic parameters of a semi-arid mountainous watershed by recession-flow analysis. J. Hydrol. 2003, 279, 57–69. [Google Scholar] [CrossRef]
- Zhang, L.; Chen, Y.D.; Hickel, K.; Shao, Q. Analysis of low-flow characteristics for catchments in Dongjiang Basin, China. Hydrogeol. J. 2008, 17, 631–640. [Google Scholar] [CrossRef]
- Oyarzún, R.; Godoy, R.; Núñez, J.; Fairley, J.P.; Oyarzún, J.; Maturana, H.; Freixas, G. Recession flow analysis as a suitable tool for hydrogeological parameter determination in steep, arid basins. J. Arid Environ. 2014, 105, 1–11. [Google Scholar] [CrossRef]
- Santos, R.M.B.; Sanches Fernandes, L.F.; Moura, J.P.; Pereira, M.G.; Pachecoe, F.A.L. The impact of climate change, human interference, scale and modeling uncertainties on the estimation of aquifer properties and river flow components. J. Hydrol. 2014, 519, 1297–1314. [Google Scholar] [CrossRef]
- Vannier, O.; Braud, I.; Anquetin, S. Regional estimation of catchment-scale soil properties by means of streamflow recession analysis for use in distributed hydrological models. Hydrol. Process. 2014, 28, 6276–6291. [Google Scholar] [CrossRef]
- Bart, R.; Hope, A. Inter-seasonal variability in baseflow recession rates: The role of aquifer antecedent storage in central California watersheds. J. Hydrol. 2014, 519, 205–213. [Google Scholar] [CrossRef]
- Biswal, B.; Nagesh Kumar, D. Study of dynamic behaviour of recession curves. Hydrol. Process. 2014, 28, 784–792. [Google Scholar] [CrossRef]
- Patnaik, S.; Biswal, B.; Nagesh Kumar, D.; Sivakumaer, B. Effect of catchment characteristics on the relationship between past discharge and the power law recession coefficient. J. Hydrol. 2015, 528, 321–328. [Google Scholar] [CrossRef]
- Shaw, S.B.; McHardy, T.M.; Riha, S.J. Evaluating the influence of watershed moisture storage on variations in base flow recession rates during prolonged rain-free periods in medium-sized catchments in New York and Illinois, USA. Water Resour. Res. 2013, 49, 6022–6028. [Google Scholar] [CrossRef]
- Godsey, S.E.; Kirchner, J.W. Dynamic, discontinuous stream networks: Hydrologically driven variations in active drainage density, flowing channels and stream order. Hydrol. Process. 2014, 28, 5791–5803. [Google Scholar] [CrossRef]
- Shaw, S.B. Investigating the linkage between streamflow recession rates and channel network contraction in a mesoscale catchment in New York state. Hydrol. Process. 2016, 30, 479–492. [Google Scholar] [CrossRef]
- Biswal, B.; Marani, M. Geomorphological origin of recession curves. Geophys. Res. Lett. 2010, 37, L24403. [Google Scholar] [CrossRef]
- Mutzner, R.; Bertuzzo, E.; Tarolli, P.; Weijs, S.V.; Nicotina, L.; Ceola, S.; Tomasic, N.; Rodriguez-Iturbe, I.; Parlange, M.B.; Rinaldo, A. Geomorphic signatures on Brutsaert base flow recession analysis. Water Resour. Res. 2013, 49, 5462–5472. [Google Scholar] [CrossRef]
- Biswal, B.; Nagesh Kumar, D. What mainly controls recession flows in river basins? Adv. Water Resour. 2014, 65, 25–33. [Google Scholar] [CrossRef]
- Biswal, B.; Marani, M. ‘Universal’ recession curves and their geomorphological interpretation. Adv. Water Resour. 2014, 65, 34–42. [Google Scholar] [CrossRef]
- Markstrom, S.L.; Niswonger, R.G.; Regan, R.S.; Prudic, D.E.; Barlow, P.M. GSFLOW-Coupled Ground-Water and Surface-Water FLOW Model Based on the Integration of the Precipitation-Runoff Modeling System (PRMS) and the Modular Ground-Water Flow Model (MODFLOW-2005); U.S. Geological Survey: Reston, VA, USA, 2008; p. 240.
- Manning, A.H.; Clark, J.F.; Diaz, S.H.; Rademacher, L.K.; Earman, S.; Plummer, L.N. Evolution of groundwater age in a mountain watershed over a period of thirteen years. J. Hydrol. 2012, 460–461, 13–28. [Google Scholar] [CrossRef]
- Brutsaert, W. The unit response of groundwater outflow from a hillslope. Water Resour. Res. 1994, 30, 2759–2763. [Google Scholar] [CrossRef]
- Brutsaert, W.; Lopez, J.P. Basin-scale geohydrologic drought flow features of riparian aquifers in the Southern Great Plains. Water Resour. Res. 1998, 34, 233–240. [Google Scholar] [CrossRef]
- Chen, B.; Krajewski, W.F. Recession analysis across scales: The impact of both random and nonrandom spatial variability on aggregated hydrologic response. J. Hydrol. 2015, 523, 97–106. [Google Scholar] [CrossRef]
- Brutsaert, W. Long-term groundwater storage trends estimated from streamflow records: Climatic perspective. Water Resour. Res. 2008, 44. [Google Scholar] [CrossRef]
- Lyon, S.W.; Giesler, R.; Humborg, C. Estimation of permafrost thawing rates in a sub-arctic catchment using recession flow analysis. Hydrol. Earth Syst. Sci. 2009, 13, 595–604. [Google Scholar] [CrossRef]
- Kirchner, J.W. Catchments as simple dynamical systems: Catchment characterization, rainfall-runoff modeling, and doing hydrology backward. Water Resour. Res. 2009, 45. [Google Scholar] [CrossRef]
- Stoelzle, M.; Stahl, K.; Weiler, M. Are streamflow recession characteristics really characteristic? Hydrol. Earth Syst. Sci. 2013, 17, 817–828. [Google Scholar] [CrossRef]
- Shaw, S.B.; Riha, S.J. Examining individual recession events instead of a data cloud: Using a modified interpretation of dQ/dt–Q streamflow recession in glaciated watersheds to better inform models of low flow. J. Hydrol. 2012, 434–435, 46–54. [Google Scholar] [CrossRef]
- Pauwels, V.R.N.; Troch, P.A. Estimation of aquifer lower layer hydraulic conductivity values through base flow hydrograph rising limb analysis. Water Resour. Res. 2010, 46. [Google Scholar] [CrossRef]
- Simley, J.D.; Carswell, J.W. The National Map—Hydrography; U.S. Geological Survey: Reston, VA, USA, 2009.
- Troch, P.A.; Berne, A.; Bogaart, P.; Harman, C.; Hillberts, A.G.J.; Lyon, S.W.; Paniconi, C.; Pauwels, V.R.N.; Rupp, D.E.; Selker, J.S.; et al. The importance of hydraulic groundwater theory in catchment hydrology: The legacy of Wilfried Brutsaert and Jean-Yves Parlange. Water Resour. Res. 2013, 49, 5099–5116. [Google Scholar] [CrossRef]
- Malvicini, C.F.; Steenhuis, T.S.; Walter, M.T.; Parlange, J.-Y.; Walter, M.F. Evaluation of spring flow in the uplands of Matalom, Leyte, Philippines. Adv. Water Resour. 2005, 28, 1083–1090. [Google Scholar] [CrossRef]
- Rupp, D.E.; Selker, J.S. Information, artifacts, and noise in dQ/dt−Q recession analysis. Adv. Water Resour. 2006, 29, 154–160. [Google Scholar] [CrossRef]






| Parameters | a | b | c | d | e |
|---|---|---|---|---|---|
| Range of log(Qmin, m3/d) | <3.9 | 3.9 – 4.1 | 4.1 – 4.3 | 4.3 – 4.5 | ≥4.5 |
| Number of recession curves | 13 | 11 | 13 | 7 | 7 |
| Mean Q (m3/d) | 8054 | 13445 | 18520 | 33041 | 58899 |
| α (d/m6) | 3.16 × 10−9 | 5.62 × 10−10 | 3.80 × 10−10 | 1.26 × 10−10 | 7.94 × 10−11 |
| Range of ASNL (km) | 1.6–27.5 | 3.7–65.2 | 4.5–79.3 | 7.9–137.8 | 9.9–173.5 |
| ASNL (B) estimated from the dash line in Figure 5 (km) | 9.8 | 20.7 | 24.3 | 37.1 | 43.9 |
© 2017 by the authors. Licensee MDPI, Basel, Switzerland. This article is an open access article distributed under the terms and conditions of the Creative Commons Attribution (CC BY) license (http://creativecommons.org/licenses/by/4.0/).
Share and Cite
Li, W.; Zhang, K.; Long, Y.; Feng, L. Estimation of Active Stream Network Length in a Hilly Headwater Catchment Using Recession Flow Analysis. Water 2017, 9, 348. https://doi.org/10.3390/w9050348
Li W, Zhang K, Long Y, Feng L. Estimation of Active Stream Network Length in a Hilly Headwater Catchment Using Recession Flow Analysis. Water. 2017; 9(5):348. https://doi.org/10.3390/w9050348
Chicago/Turabian StyleLi, Wei, Ke Zhang, Yuqiao Long, and Li Feng. 2017. "Estimation of Active Stream Network Length in a Hilly Headwater Catchment Using Recession Flow Analysis" Water 9, no. 5: 348. https://doi.org/10.3390/w9050348
APA StyleLi, W., Zhang, K., Long, Y., & Feng, L. (2017). Estimation of Active Stream Network Length in a Hilly Headwater Catchment Using Recession Flow Analysis. Water, 9(5), 348. https://doi.org/10.3390/w9050348

