Performance of a Constructed Wetland and Pretreatment System Receiving Potato Farm Wash Water
Abstract
:1. Introduction
2. Materials and Methods
2.1. Farm Description
2.2. Treatment System Description
2.3. Pretreatment Description
2.4. Treatment Wetland Description
2.5. Treatment System Monitoring
2.6. Calculations
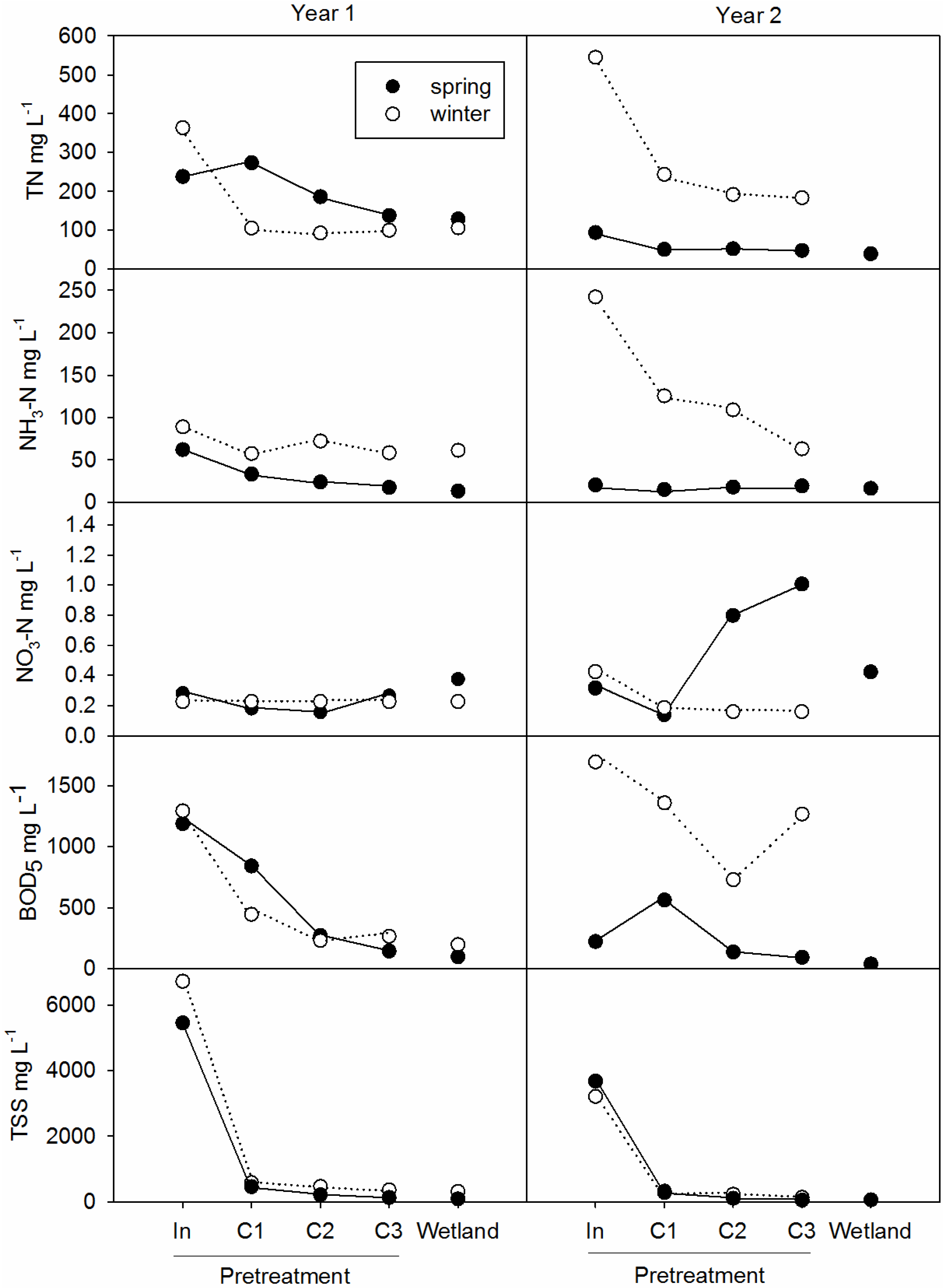
3. Results and Discussion
3.1. Environmental Conditions
3.2. Pretreatment
3.3. Constructed Wetland
3.4. The Entire Treatment System
4. Conclusions
Acknowledgments
Author Contributions
Conflicts of Interest
References
- Hung, Y.-T.; Lo, H.; Awad, A.; Salman, H. Potato wastewater treatment. In Waste Treatment in the Food Processing Industry; Wang, L., Hung, Y.-T., Lo, H., Yapijakis, C., Eds.; Taylor and Francis: Boca Raton, FL, USA, 2006; pp. 193–254. [Google Scholar]
- Lehto, M.; Sipilä, I.; Sorvala, S.; Hellstedt, M.; Kymäläinen, H.R.; Sjöberg, A.M. Evaluation of on-farm biological treatment processes for wastewaters from vegetable peeling. Environ. Technol. 2009, 30, 3–10. [Google Scholar] [CrossRef] [PubMed]
- Kadlec, R.H.; Burgoon, P.S.; Henderson, M.E. Integrated natural systems for treating potato processing wastewater. Water Sci. Technol. 1997, 35, 263–270. [Google Scholar] [CrossRef]
- Burgoon, P.S.; Kadlec, R.H.; Henderson, M. Treatment of potato processing wastewater with engineered natural systems. Water Sci. Technol. 1999, 40, 211–215. [Google Scholar] [CrossRef]
- US Department of Agriculture (USDA). National Nutrient Database for Standard Reference, 2015. US Department of Agriculture, Agricultural Research Service (ARS), USDA Nutrient Data Laboratory. Available online: https://ndb.nal.usda.gov/ (accessed on 9 March 2015).
- Schaafsma, J.A.; Baldwin, A.H.; Streb, C.A. An evaluation of a constructed wetland to treat wastewater from a dairy farm in Maryland, USA. Ecol. Eng. 1999, 14, 199–206. [Google Scholar] [CrossRef]
- Headley, T.; Huett, D.; Davison, L. The removal of nutrients from plant nursery irrigation runoff in subsurface horizontal-flow wetlands. Water Sci. Technol. 2001, 44, 77–84. [Google Scholar] [PubMed]
- Gottschall, N.; Boutin, C.; Crolla, A.; Kinsley, C.; Champagne, P. The role of plants in the removal of nutrients at a constructed wetland treating agricultural (dairy) wastewater, Ontario, Canada. Ecol. Eng. 2007, 29, 154–163. [Google Scholar] [CrossRef]
- Boutilier, L.; Jamieson, R.; Gordon, R.; Lake, C. Transport of lithium tracer and E. coli in agricultural wastewater treatment wetlands. Water Qual. Res. J. Can. 2008, 43, 137–144. [Google Scholar]
- Carreau, R.; VanAcker, S.; VanderZaag, A.; Madani, A.; Drizo, A.; Jamieson, R.; Gordon, R. Evaluation of a surface flow constructed wetland treating abattoir wastewater. Appl. Eng. Agric. 2012, 28, 757–766. [Google Scholar] [CrossRef]
- Kadlec, R.H.; Wallace, S. Treatment Wetlands, 2nd ed.; CRC press: Boca Raton, FL, USA, 2008. [Google Scholar]
- Jamieson, R.; Gordon, R.; Wheeler, N.; Smith, E.; Stratton, G.; Madani, A. Determination of first order rate constants for wetlands treating livestock wastewater in cold climates. J. Environ. Eng. Sci. 2007, 6, 65–72. [Google Scholar] [CrossRef]
- Smith, E.; Gordon, R.; Madani, A.; Stratton, G. Year-round treatment of dairy wastewater by constructed wetlands in Atlantic Canada. Wetlands 2006, 26, 349–357. [Google Scholar] [CrossRef]
- Bosak Zurowsky, V. Evaluation of On-Farm Potato Processing Water Usage and Treatment. Master’s Thesis, School of Environmental Sciences, University of Guelph, Guelph, ON, Canada, 2015. [Google Scholar]
- Bosak, V.; VanderZaag, A.; Crolla, A.; Kinsley, C.; Gordon, R. Integrated Water Resources Management: A case study of on-farm water use for potato processing. Water Prac. Technol. 2016, 11, 66–74. [Google Scholar] [CrossRef]
- Stone, K.; Poach, M.; Hunt, P.; Reddy, G. Marsh-pond-marsh constructed wetland design analysis for swine lagoon wastewater treatment. Ecol. Eng. 2004, 23, 127–133. [Google Scholar] [CrossRef]
- Eaton, A.D.; Franson, M. Standard Methods for the Examination of Water & Wastewater; American Public Health Association: Washington, DC, USA, 2005. [Google Scholar]
- Reddy, G.B.; Hunt, P.G.; Phillips, R.; Stone, K.; Grubbs, A. Treatment of swine wastewater in marsh-pond-marsh constructed wetlands. Water Sci. Technol. 2001, 44, 545–550. [Google Scholar] [PubMed]
- Maddison, M.; Soosaar, K.; Mauring, T.; Mander, Ü. The biomass and nutrient and heavy metal content of cattails and reeds in wastewater treatment wetlands for the production of construction material in Estonia. Desalination 2009, 246, 120–128. [Google Scholar] [CrossRef]
- VanderZaag, A.C.; Gordon, R.J.; Burton, D.L.; Jamieson, R.C.; Stratton, G.W. Greenhouse gas emissions from surface flow and subsurface flow constructed wetlands treating dairy wastewater. J. Environ. Qual. 2010, 39, 460–471. [Google Scholar] [CrossRef] [PubMed]
- Kadlec, R.H.; Reddy, K.R. Temperature effects in treatment wetlands. Water Environ. Res. 2001, 73, 543–557. [Google Scholar] [CrossRef] [PubMed]
- Sanford, W.E.; Steenhuis, T.S.; Parlange, J.Y.; Surface, J.M.; Peverly, J.H. Hydraulic conductivity of gravel and sand as substrates in rock-reed filters. Ecol. Eng. 1995, 4, 321–336. [Google Scholar] [CrossRef]
- Drizo, A.; Frost, C.A.; Grace, J.; Smith, K.A. Phosphate and ammonium distribution in a pilot-scale constructed wetland with horizontal subsurface flow using shale as a substrate. Water Res. 2000, 34, 2483–2490. [Google Scholar] [CrossRef]
- Munoz, P.; Drizo, A.; Hession, W.C. Flow patterns of dairy wastewater constructed wetlands in a cold climate. Water Res. 2006, 40, 3209–3218. [Google Scholar] [CrossRef] [PubMed]
- Bosak, V.; VanderZaag, A.; Crolla, A.; Kinsley, C.; Gordon, R. Treatment of potato farm wastewater with sand filtration. Environ. Technol. 2015, 37, 1–8. [Google Scholar] [CrossRef] [PubMed]
- Wood, J.D.; Gordon, R.J.; Madani, A.; Stratton, G.W.; Bromley, H.M. Performance of Seasonally and Continuously Loaded Constructed Wetlands Treating Dairy Farm Wastewater. J. Environ. Qual. 2015, 44, 1965–1973. [Google Scholar] [CrossRef] [PubMed]
- Healy, M.G.; O’Flynn, C.J. The performance of constructed wetlands treating primary, secondary and dairy soiled water in Ireland (a review). J. Environ. Manag. 2011, 92, 2348–2354. [Google Scholar] [CrossRef] [PubMed]
- Solano, M.L.; Soriano, P.; Ciria, M.P. Constructed wetlands as a sustainable solution for wastewater treatment in small villages. Biosyst. Eng. 2004, 87, 109–118. [Google Scholar] [CrossRef]
- Song, Z.; Zheng, Z.; Li, J.; Sun, X.; Han, X.; Wang, W.; Xu, M. Seasonal and annual performance of a full-scale constructed wetland system for sewage treatment in China. Ecol. Eng. 2006, 26, 272–282. [Google Scholar] [CrossRef]
- Healy, M.G.; Rodgers, M.; Mulqueen, J. Treatment of dairy wastewater using constructed wetlands and intermittent sand filters. Bioresour. Technol. 2007, 98, 2268–2281. [Google Scholar] [CrossRef] [PubMed]
- de Zeeuw, W.; Heijnen, G.; de Vries, J. Reed bed treatment as a wastewater (post) treatment alternative in the potato starch industry. In Constructed Wetlands in Water Pollution Control; Cooper, P.F., Findlater, B.C., Eds.; Pergamon Press: Oxford, UK, 1990; pp. 551–553. [Google Scholar]
- Vymazal, J. Constructed wetlands for treatment of industrial wastewaters: A review. Ecol. Eng. 2014, 73, 724–751. [Google Scholar] [CrossRef]
- Poach, M.E.; Hunt, P.G.; Reddy, G.B.; Stone, K.C.; Johnson, M.H.; Grubbs, A. Swine wastewater treatment by marsh–pond–marsh constructed wetlands under varying nitrogen loads. Ecol. Eng. 2004, 23, 165–175. [Google Scholar] [CrossRef]
- Jinadasa, K.B.S.N.; Tanaka, N.; Sasikala, S.; Werellagama, D.R.I.B.; Mowjood, M.I.M.; Ng, W.J. Impact of harvesting on constructed wetlands performance—A comparison between Scirpus grossus and Typha angustifolia. J. Environ. Sci. Health. Part A 2008, 43, 664–671. [Google Scholar] [CrossRef] [PubMed]
- Yang, Z.; Wang, Q.; Zhang, J.; Xie, H.; Feng, S. Effect of Plant Harvesting on the Performance of Constructed Wetlands during Summer. Water 2016, 8, 24. [Google Scholar] [CrossRef]




| Treatment System Component | Year | Area (m2) | Volume (m3) | Average Inflow (m3·month−1) | HRT (months) | ||
|---|---|---|---|---|---|---|---|
| Winter | Summer | Winter | Summer | ||||
| Entire system | Y1 | 1119 | 740 | 352 | 456 | 2.1 | 1.6 |
| Y2 | 1119 | 1433 | 270 | 200 | 5.3 | 7.2 | |
| Wetland | Y1 | 172 | 56 | 199 | 245 | 0.28 | 0.23 |
| Y2 | 172 | 56 | 93 | 263 | 0.60 | 0.21 | |
| Year 1 | Winter | Spring/Summer | ||||||||||
| Inflow | Outflow | % CR | Inflow | Outflow | % CR | |||||||
| C1 | C4 | C4 | C1 to C4 | C1 to C3 | C4 | C1 | C4 | C4 | C1 to C4 | C1 to C3 | C4 | |
| BOD5 | 1290 | 265 | 197 | 85% | 80% | 25% | 1190 | 144 | 98.0 | 92% | 88% | 32% |
| TSS | 6710 | 357 | 316 | 95% | 95% | 12% | 5450 | 131 | 91.6 | 98% | 98% | 30% |
| TN | 363 | 100 | 98.4 | 73% | 73% | 1% | 238 | 138 | 129 | 46% | 42% | 7% |
| NH3-N | 107 | 58.7 | 54.8 | 49% | 45% | 7% | 57.3 | 17.7 | 14.7 | 75% | 69% | 17% |
| TP | 21.8 | 27.4 | 24.0 | −10% | −26% | 12% | 55.1 | 12.7 | 11.1 | 80% | 77% | 13% |
| N | 7 | 4 | 2 | 9 | 9 | 11 | ||||||
| Year 2 | Winter | Spring/Summer | ||||||||||
| Inflow | Outflow | % CR | Inflow | Outflow | % CR | |||||||
| C1 | C4 | C4 | C1 to C4 | C1 to C3 | C4 | C1 | C4 | C4 | C1 to C4 | C1 to C3 | C4 | |
| BOD5 | 1690 | 1270 | n.a. | n.a. | 25% | n.a. | 276 | 221 | 39 | 86% | 60% | 65% |
| TSS | 3210 | 137 | n.a. | n.a. | 96% | n.a. | 3680 | 50.3 | 32.2 | 99% | 99% | 36% |
| TN | 548 | 184 | n.a. | n.a. | 66% | n.a. | 95.1 | 53.0 | 46.2 | 51% | 44% | 13% |
| NH3-N | 244 | 63.5 | n.a. | n.a. | 74% | n.a. | 20.5 | 19.3 | 16.5 | 20% | 6% | 14% |
| TP | 42.3 | 10.9 | n.a. | n.a. | 74% | n.a. | 50.7 | 4.66 | 4.43 | 91% | 91% | 5% |
| N | 5 | 3 | n.a. | 6 | 8 | 8 | ||||||
© 2016 by the authors; licensee MDPI, Basel, Switzerland. This article is an open access article distributed under the terms and conditions of the Creative Commons Attribution (CC-BY) license (http://creativecommons.org/licenses/by/4.0/).
Share and Cite
Bosak, V.; VanderZaag, A.; Crolla, A.; Kinsley, C.; Gordon, R. Performance of a Constructed Wetland and Pretreatment System Receiving Potato Farm Wash Water. Water 2016, 8, 183. https://doi.org/10.3390/w8050183
Bosak V, VanderZaag A, Crolla A, Kinsley C, Gordon R. Performance of a Constructed Wetland and Pretreatment System Receiving Potato Farm Wash Water. Water. 2016; 8(5):183. https://doi.org/10.3390/w8050183
Chicago/Turabian StyleBosak, Vera, Andrew VanderZaag, Anna Crolla, Christopher Kinsley, and Robert Gordon. 2016. "Performance of a Constructed Wetland and Pretreatment System Receiving Potato Farm Wash Water" Water 8, no. 5: 183. https://doi.org/10.3390/w8050183
APA StyleBosak, V., VanderZaag, A., Crolla, A., Kinsley, C., & Gordon, R. (2016). Performance of a Constructed Wetland and Pretreatment System Receiving Potato Farm Wash Water. Water, 8(5), 183. https://doi.org/10.3390/w8050183

