Abstract
A groundwater, sediment and soil chemistry and mineralogical study has been performed to investigate the sources and mobilization process of Arsenic (As) in shallow aquifers of Bangladesh. The groundwater from the shallow aquifers is characterized by high concentrations of Arsenic (47.5–216.8 µg/L), iron (0.85–5.83 mg/L), and phosphate, along with high electrical conductivity (EC). The groundwater has both very low oxidation-reduction potential (Eh) and dissolved oxygen (DO) values indicating reducing conditions. By contrast, the deep aquifers and surface waters (pond, canal) have very low concentrations of Arsenic (<6 µg/L), iron (0.12–0.39 mg/L), and phosphate along with a relatively low EC. Furthermore, the values of Eh and DO are high, indicating oxic to suboxic conditions. Arsenic is inversely correlated with Eh values in the upper aquifer, whereas no relationship in the deeper aquifer is observed. These results suggest that As mobilization is clearly linked to the development of reducing conditions. The clayey silt, enriched in Fe, Mn, Al oxides and organic matter, and deposited in the middle unit of shallow aquifers, contains moderately high concentrations of As, whereas the sediments of deep aquifers and silty mud surface soils from paddy fields and ponds contain a low content of As (Daudkandi area). Arsenic is strongly correlated with the concentrations of Fe, Mn and Al oxides in the core samples from the Daudkandi and Marua areas. Arsenic is present in the oxide phase of Fe and Mn, phyllosilicate minerals and in organic matter in sediments. This study suggests that adsorption or precipitation of As-rich Fe oxyhydroxide on the surface or inner sites of biotite might be responsible for As concentrations found in altered biotite minerals by Seddique et al. Microbially or geochemically mediated reductive dissolution of Fe oxyhydroxides is the main mechanism for As release. The reducing conditions are caused by respiratory decomposition of organic matter, either sedimentary or labile organic C. The process can be accelerated by agricultural activity and domestic organic wastes. An agricultural fertilizer can directly contribute As to groundwater as well as promote As mobilization by ion-exchange with phosphorus.
1. Introduction
Arsenic (As) contamination in groundwater is a global public health issue, because As contaminated groundwater has caused many arsenicosis-related health problems in various parts of the world, notably Bangladesh, and West Bengal in India [1,2,3,4,5,6], China [7], Pakistan [8], Nepal [9], Cambodia [10,11] and Vietnam [12]. An intensive tube well screening [13] reported that nearly 35 million people were drinking groundwater containing As with a concentration of more than 50 μg/L (Bangladesh standard), and about 57 million people were exposed to a concentration exceeding 10 μg/L (World Health Organization; WHO standard).
Solid phase As is found co-precipitated in or co-adsorbed on iron oxyhydroxide and weathered phyllosilicate minerals (i.e., biotite) and organic matter in concentrations slightly higher than or below 10 μg/g in the Holocene sediments in Bangladesh [14,15]. The rare presence of pyrite and reducing geochemical conditions of the aquifer refute the As-rich pyrite oxidation theory of Das et al. [16] and Chakraborti et al. [17]. High concentrations of As, especially its reduced species of As(III) along with Fe, DOC (dissolved organic carbon), NH4+ and PO43− and low concentrations of dissolved oxygen (DO), NO3− and SO42− in groundwater, indicating reducing condition in the Holocene aquifer, have resulted in suggestions that reductive dissolution of Fe(III)-oxyhydroxides is the primary mechanism for the release of adsorbed and co-precipitated As [1,4,5,14,18,19,20,21,22]. Anoxic incubation experiments, using sediments from Bangladesh and West Bengal, India, with electron donors (i.e., an organic carbon source), yielded increased aqueous As concentrations. Molecular analysis indicated a shift in the bacteria community towards the Fe(III)-reducers Geobacteraceae [21,22,23,24]. However, Fe(II) concentrations showed no consistent correlation with As either in groundwater [14,19,25] or in incubation experiments [23,24]. Despite this, reductive dissolution of Fe-oxides and desorption under reducing conditions is the most probable and acceptable process governing As mobilization [26], given the aquifer geochemistry and As speciation.
Acharya et al. [27,28], Chowdhury et al. [29], Anawar et al. [30] and Brömssen et al. [31] reported that agricultural fertilizers and organic wastes may promote As mobilization by ion-exchange with phosphorus derived from fertilizers. Some recent studies also suggested that the recent inflow of organic carbon, due to large-scale irrigation pumping, may exacerbate microbial activity creating reducing conditions and mobilize As via chemical or biological processes at below-ground soils [4,26,32]. However, the quantitative contribution of anthropogenic activities and the controlling factors of As release into the groundwater are still not fully known. The mode of occurrence and mobility of As in sedimentary aquifers may be governed by a complex interplay of microbially mediated reactions and geochemical processes sensitive to site specific hydrology and sediment composition, as well as anthropogenic activities, such as agricultural activities.
Although many theories are proposed by different studies, the actual mechanisms responsible for As mobilization in reducing aquifers of the Ganges, Brahmaputra and Meghna (GBM) delta plains are disputed and remain poorly understood thus requiring further study. The aim of the present study is therefore to examine the groundwater, sediment geochemistry and mineralogy, along with surface water and soils in order to ascertain the sources and mechanism of As release into the groundwater and to investigate the natural and anthopogenic (agricultural sources) contributions to high levels of As in groundwater. This study also investigates the surface and composition of the biotite minerals with electron microscopy in order to assess the role of biotite minerals on As mobilization due to the infiltration of oxic surface water into the Holocene aquifer, as proposed by Seddique et al. [33], Itai et al. [34] and Mitamura et al. [35].
2. Geology of Study Areas
The highly As-contaminated aquifers in the Bengal delta plain are situated in the late Pleistocene-Holocene peat layers, silty sand and clayey silt deposits in the lower plains of the Ganges delta, Sylhet basin and the Meghna floodplain [28]. The Holocene aquifers are more mineralized (EC 500–1200 µS/cm) and anoxic, containing high levels of As, iron, phosphate, manganese, calcium, magnesium and bicarbonate, while the levels of nitrate and sulfate are low [14,36]. Groundwater in the Holocene aquifer are of the Ca–Mg–HCO3 type with major solutes derived from chemical weathering of detrital minerals such as plagioclase and biotite. Extensive peat deposits accumulated during the mid-Holocene climatic optimum [37]. The sea level was 135 m lower at the peak of the last Ice age around 18,000 years ago. At that time the major rivers cut deep valleys into the soft sediments of the delta. All of the highly contaminated groundwater occurs in sediments deposited from that time, while those sediments covering the low sea level contain little or no As-contaminated groundwater [28,38].
Daudkandi is situated on the eastern part of the Meghna floodplain (Figure 1). The upper sandy layer (about 30 m in thickness) of the old Meghna Estuarine Floodplain consists of quartz (45–51%), feldspar (25–35%), and 5–15% of other minerals, mainly biotite, while the middle unit (43–106 m) consists of sandy silt with an organic carbon content of 0.67 w/w% and brackish water [39]. The sediments are mainly alternating layers of dark gray to brownish gray sand and semi-consolidated clay. Marua is situated in the south-western part of Bangladesh (Jessore district) and belongs to the Ganges delta plains (Figure 1). The surface geology comprises deltaic sand and silt. The core samples are gray to brownish-gray with dominant quartz and abundant mica (biotite and muscovite).
Figure 1.
Map showing the study areas, Daudkandi and Marua in Bangladesh.
3. Materials and Methods
3.1. Sampling and Analysis of Water, Soils and Sediments
Daudkandi thana and Marua village (Jessore district) were selected for the present investigations, because these two areas have high concentrations of As in groundwater and extensive agricultural activities. To investigate the effect of agrochemicals on As release, surface water and soils from a depth of 25 cm were collected in the paddy fields and adjacent ponds in the Daudkandi area. Borehole sediments from near-surface down to a depth of 40 m were collected in Daudkandi, and from 3.5 m to a depth of 61 m in Marua village (Jessore district). Groundwater samples were collected from tube wells at different locations in and around Daudkandi and Marua village, and immediately filtered. To assess the geochemical conditions that govern As mobilization, groundwater was collected from deep and shallow tube wells. Polyethylene bottles were pre-washed with nitric acid and after sample collection, hydrochloric acid (1.0 mL/L) was added as preservative. All of the samples were diluted to adjust for the linear analytical operating range. pH and Eh (corrected to give the potential drop against standard hydrogen electrode) were measured using a POT-101M pH-ORP meter (Shibata Sci. Co. Ltd., Nagoya, Japan) and electrical conductivity by TDScan-20 (Iuchi Seieido Co. Ltd., Osaka, Japan), respectively. DO was measured in the field using a portable meter. Before the samples were collected, 4–5 L of water was discharged in order to minimize aeration. HCl was used to prevent precipitation of iron oxyhydroxide generated by oxidation of Fe2+ by exposure to sunlight and air prior to filtration. Total Fe concentration (dissolved iron) in water samples was measured colorimetrically by a spectrophotometer at 510 nm. The PO43− in groundwater was analyzed spectrophotometrically. Arsenic was analyzed by inductively coupled plasma atomic emission spectroscopy. An in-line hydride generation device using 1% w/v NaBH4 in 1% w/v NaOH and HCl [14] was coupled to the ICP-AES (HG-ICP-AES). Total As was analyzed following pre-reduction of As(V) to As(III) in samples 24 h before analysis using 10% KI, followed by in-line hydride generation.
3.2. Analysis of Soils and Sediment
Borehole sediment and soil samples were collected in clean polyethylene boxes and preserved in a refrigerator until analysis was conducted. Well-dried and mixed samples were used to ensure representative material [14]. Total concentrations of As in sediment and soil samples were measured by the powder press method using a wavelength-dispersive X-ray fluorescence spectrometer (WD-XRF) (Rigaku Co. Ltd) with standard curves based on Japanese rock standard JSD-2 [14]. The estimated inaccuracy is ±2 μg/g. The well-dried and powdered samples were mixed thoroughly to form pellets. The contents of major elements (Fe, Mn, Al, Na, K, Mg, Ca, Ti oxides, P2O5) and LOI in sediment samples were determined by WD-XRF (Rigaku Co. Ltd, Tokyo, Japan). Glass bead was prepared using sediment samples and lithium borate (1:10 ratio). Constituent minerals in sediments were identified by X-ray diffractometry [14] using a Rigaku Geigerflex (Rad-X system). Total organic carbon content (TOC) in sediment samples (HCl-treated sediment) was measured by elemental analyzer (EA) after thermic oxidation with a CHN analyzer (Yanaco CHN Corder MT-5) [14]. Sediment pH was measured in a sediment to deionized water ratio of 1:2.5. Grain size distribution was determined by a normal sieving method [14]. Moisture content was measured by weight loss after heating the wet samples at 110 °C. Biotite and Fe oxyhydroxide minerals in sediments were studied by a scanning electron microscope (SEM) using a CamScan scanning microscope [21] with an EDS Link ISIS 300 microanalysis system (UK). Biotite grains were separated under the microscope before a SEM study to determine the elemental composition. Biotite grains were present in all samples from Daudkandi and the Maura area.
To determine the maximum As adsorption by sediments and surface soils, about 5.0 g of sediment and surface soil were incubated with different concentrations of As solutions (0.25, 0.50, 1.0 and 2.5 mg/L). After the incubation time, equilibrium As concentrations were measured in the As solutions by HG-ICP-AES as described in chapter 3.1.
3.3. Sequential Extraction Procedures
A four-step sequential chemical extraction scheme, modified from Anawar et al. [14] and references therein, was carried out to determine the pools of As concentrations in the following; surface bound–water soluble and exchangeable acid soluble phase (S1), amorphous Fe–Mn oxides (S2), organic fraction (S3), and sulfide–silicate phase (S4). In this procedure, one gram of sediment was placed into a 50-mL polycarbonate centrifuge tube and an amount of each extracting reagent was added sequentially. The four fractions were respectively leached as follows; 8 mL 0.1 M CH3COOH for 5 h, adjusted to pH 5.0 with CH3COONa (S1), 20 mL 0.2 M NH2OH/HCl in 25% acetic acid heated at 96 °C for 12 h (S2), 20 mL 0.1 M sodium pyrophosphate at pH 10 heated on a hotplate for 12 h and dissolved into 1M ammonium acetate (S3) to make the final volume of 20 mL, 5 mL conc. HCl + KClO3 (1:1) (S4). In each step, the suspensions were shaken and heated for a specific time. The suspensions were centrifuged, filtered (using 0.45 μm Millipore filter) and acidified before As was analyzed by HG-ICP-AES.
4. Results and Discussion
4.1. Groundwater Chemistry
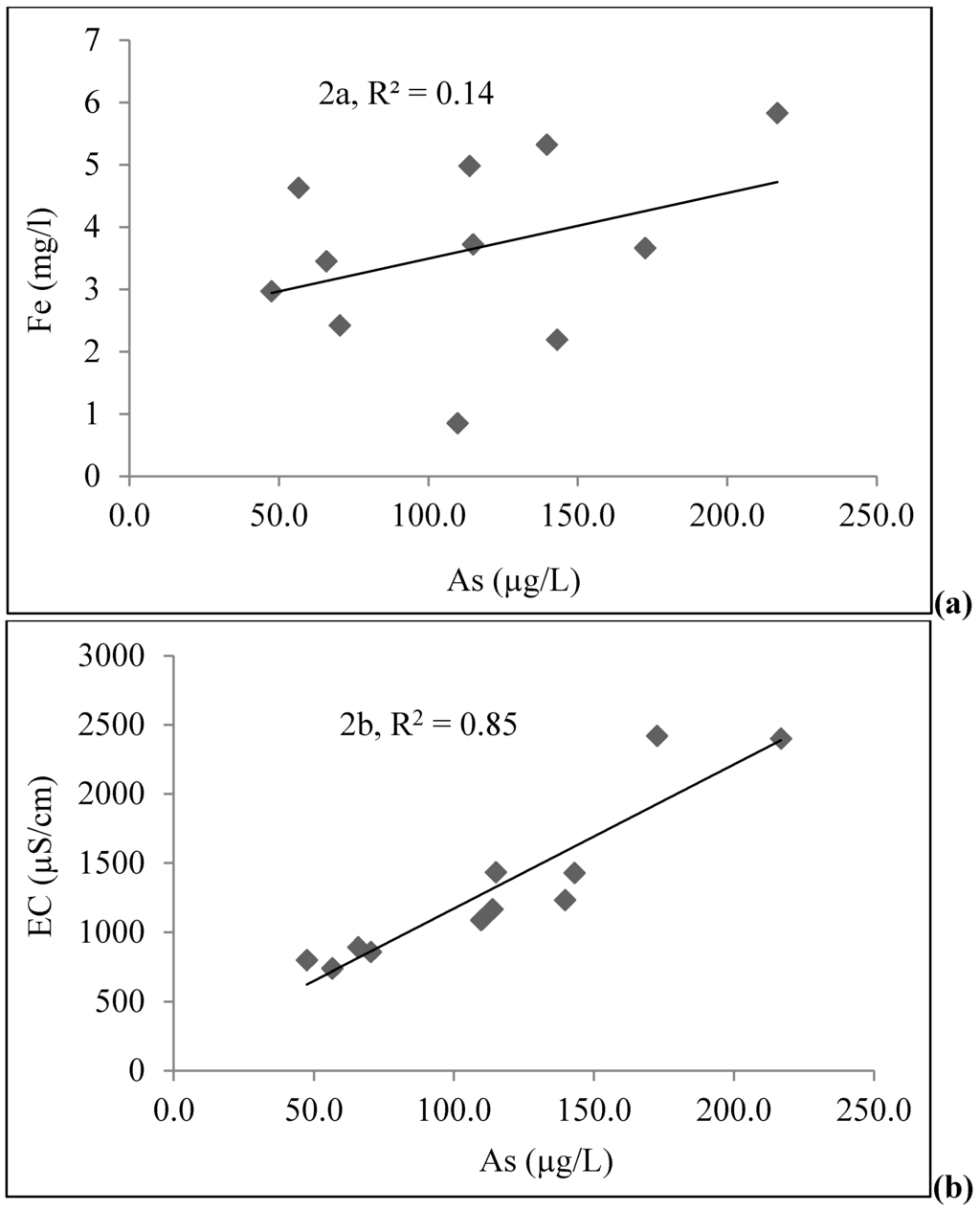
The concentrations of As, iron, DO, and Eh, EC, and pH along with age and depth of tube well are given in Table 1. Arsenic concentrations in groundwaters of Daudkandi vary from 47.5 to 217 µg/L with the mean value of 114 µg/L in shallow tubewells (Table 1). This exceeds the maximum permissible limit of WHO (10 µg/L) and Bangladesh (50 µg/L) for drinking water. However, As and PO43− concentrations in surface waters (pond, canal) were very low. Arsenic concentrations correlate weakly with dissolved iron (Figure 2a) and exhibit strong correlation with the electrical conductivity (Figure 2b) and phosphate in shallow tubewell water (Figure 2c).
Table 1.
Concentrations of different chemical species in groundwater and surface water from Daudkandi.
| Depth (m) | As (µg/L) | Fe (mg/L) | PO43− (mg/L) | Age (yrs) | DO (mg/L) | Eh (mV) | pH | EC (µS/cm) | |
|---|---|---|---|---|---|---|---|---|---|
| STW | 18.29 | 216.8 | 5.83 | 3.75 | 15 | <0.1 | −168 | 7.1 | 2400 |
| 18.29 | 115.0 | 3.72 | 2.36 | 3 | <0.1 | −170 | 6.6 | 1433 | |
| 21.34 | 139.7 | 5.32 | 3.1 | 8 | <0.1 | −170 | 7.2 | 1232 | |
| 21.34 | 113.8 | 4.98 | 2.00 | 10 | <0.1 | −154 | 7.4 | 1166 | |
| 21.34 | 143.1 | 2.19 | 3.15 | 8 | 0.10 | −170 | 6.8 | 1428 | |
| 28.96 | 109.8 | 0.85 | 1.75 | 10–12 | 0.10 | −155 | 7.2 | 1087 | |
| 13.72 | 56.6 | 4.63 | 2.00 | 30 | <0.1 | −145 | 7.0 | 738 | |
| 21.34 | 65.9 | 3.45 | 2.25 | 15 | <0.1 | −150 | 7.1 | 891 | |
| 18.29 | 47.5 | 2.97 | 1.75 | 5 | 0.10 | −154 | 7.1 | 798 | |
| 12.19 | 70.4 | 2.42 | 2.00 | 9–10 | 0.11 | −149 | 6.7 | 857 | |
| 24.38 | 172.6 | 3.66 | 4.25 | 8 | <0.1 | −161 | 7.1 | 2420 | |
| DTW | 80.77 | 0.77 | 0.12 | <mdl | 0.5 | 0.8 | −13 | 6.8 | 825 |
| 85.34 | 0.5 | 0.14 | 0.20 | 1 | 1.0 | 11 | 6.8 | 933 | |
| 84.73 | 0.3 | 0.31 | 0.17 | 3 | 0.7 | −10 | 7.0 | 1217 | |
| 85.34 | 0.55 | 0.39 | 0.32 | 3 | 1.0 | −6 | 7.1 | 941 | |
| SW | pond | 0.4 | - | 0.125 | - | - | - | 6.9 | - |
| pond | 0.8 | - | 0.25 | - | - | - | 7.3 | - | |
| pond | 0.6 | - | 0.05 | - | - | - | 7.2 | - | |
| pond | 3.0 | - | 0.125 | - | - | - | 7.0 | - | |
| canal | 5.0 | - | 0.125 | - | - | - | 6.9 | - | |
| canal | 0.8 | - | 0.25 | - | - | - | 7.1 | - | |
| canal | 0.7 | - | 0.05 | - | - | - | 6.8 | - |
Note: STW: shallow tubewell; DTW: deep tubewell; SW: surface water; mdl: maximum detection limit; Eh: oxidation-reduction potential, EC: electrical conductivity, DO: dissolved oxygen.

Figure 2.
Correlations of arsenic with (a) iron, (b) EC, (c) phosphate and (d) Eh in groundwater of shallow tube wells (upper aquifer) in Daudkandi.
The deep tube well waters with depths of 81–85 m have Eh values ranging from slightly negative to positive indicating oxic to sub-oxic conditions of the deep aquifer along with relatively very low concentrations of As (<6 µg/L) and dissolved iron (Table 1). Sutton et al. [26] identified the bacteria species of the genera Aquabacterium, Limnobacter, and Roseomonas in deep aquifers as indicative of aerobic conditions. By contrast, the upper aquifers (12–29 m) have more negative Eh values indicating reducing conditions and high concentrations of As and dissolved iron (Table 1). Arsenic correlates inversely with Eh values in the groundwater of upper aquifers (Figure 2d), whereas in deeper aquifers no relationship is found between these variables (not shown). The present study and previous reports [14,19,26] show that groundwater in the contaminated reducing upper aquifers of the Holocene delta is characterized by high concentrations of As, Fe, PO43−, NH4+, and DOC with a high EC, and low concentrations of DO, NO31− and SO42−, whereas the deeper aquifers in the Pleistocene terrace deposits are characterized by low concentrations of As, DOC, NH4+, Fe and PO43−, along with a rather low EC, but higher DO [20]. Similar to the present investigation, many previous studies have noticed similar occurrences of high- and low-As concentrations in groundwater depending on the depth of the tube well and the redox conditions in the different areas of Bangladesh [4,6,25,40].
4.2. Sediment Characteristics
Arsenic, iron, manganese and aluminum oxides, total organic carbon content, lithological characteristics, pH, moisture content and grain size distributions of core samples from Daudkandi have been analyzed to establish the relationship between aqueous and solid phase geochemistry (Table 2). Arsenic contents in sediments varied from 0.27 to 13.26 mg/kg, with the mean value of 4 mg/kg. In surface soils As ranged from 2.79 to 7.45 mg/kg with the mean value of 4.2 mg/kg (Table 2).
Table 2.
Content of As, Fe, Mn and Al oxides, along with lithological characteristics, pH, moisture content and grain size distributions (%) of cores, pond and paddy soils from Daudkandi.
| Sample No. | Depth (m) | As (mg/kg) | Fe2O3 | MnO | Al2O3 | TOC | Lithology | pH | Moisture (%) | Grain size<0.125 mm | Grain size 0.125–<2 mm |
|---|---|---|---|---|---|---|---|---|---|---|---|
| (Wt %) | |||||||||||
| D-2 | 4.6 | 5.88 | 5.47 | 0.1 | 15.74 | 1.895 | Silty sand | 6.74 | 3.52 | 100 | 0 |
| D-4 | 7.6 | 5.87 | 6.25 | 0.13 | 13.8 | 3.528 | Silty sand | 6.03 | 4.76 | 88.16 | 11.84 |
| D-5 | 9.1 | 2.48 | 4.42 | 0.09 | 11.95 | 2.29 | Sand | 7.22 | 3.54 | 73.70 | 26.3 |
| D-6 | 10.7 | 3.44 | 4.97 | 0.09 | 13.44 | 5.733 | Silty sand | 6.55 | 4.24 | 94.74 | 5.26 |
| D-8 | 13.7 | 4.61 | 5.35 | 0.11 | 13.73 | 2.641 | Silty sand | 7.22 | 3.53 | 90.9 | 9.1 |
| D-9 | 15.2 | 0.78 | 2.72 | 0.05 | 9.69 | 0.513 | Sand | 7.23 | 3.57 | 45.04 | 54.96 |
| D-10 | 16.8 | 2.35 | 4.34 | 0.1 | 10.48 | 1.638 | Silty sand | 7.58 | 5.72 | 81.08 | 18.92 |
| D-11 | 18.3 | 0.72 | 2.18 | 0.04 | 10.57 | 1.247 | Sand | 7.42 | 4.65 | 60.82 | 39.18 |
| D-12 | 19.8 | 1.86 | 4.39 | 0.08 | 11.59 | 3.583 | Sand | 7.24 | 5.42 | 80.92 | 19.08 |
| D-13 | 21.3 | 1.99 | 3.9 | 0.07 | 11.82 | 1.181 | Sand | 7.37 | 5.62 | 80.66 | 19.34 |
| D-14 | 22.9 | 2.02 | 3.26 | 0.06 | 11.04 | 0.883 | Sand | 7.38 | 4.95 | 64 | 36 |
| D-15 | 25.0 | 3.45 | 4.71 | 0.08 | 12.81 | 2.068 | Silty sand | 7.25 | 5.21 | 80.18 | 19.82 |
| D-16 | 26.5 | 0.74 | 1.92 | 0.03 | 9.28 | 2.342 | Sand | 7.53 | 3.24 | 20.43 | 79.57 |
| D-17 | 28.0 | 2.65 | 3.51 | 0.06 | 11.4 | 6.726 | Sand | 6.90 | 3.70 | 27.03 | 72.97 |
| D-18 | 29.6 | 0.27 | 3.02 | 0.06 | 10.4 | 1.13 | Sand | 6.95 | 3.84 | 56.67 | 43.33 |
| D-19 | 31.1 | 10.74 | 7.24 | 0.13 | 19.22 | 6.37 | Silty sand | 6.90 | 5.26 | 100 | 0 |
| D-20 | 32.6 | 13.26 | 8.94 | 0.16 | 22.13 | 6.72 | Silty sand | 6.96 | 6.27 | 100 | 0 |
| D-21 | 34.1 | 1.30 | 2.53 | 0.05 | 10.37 | 2.742 | Sand | 6.72 | 3.37 | 62.96 | 37.04 |
| D-22 | 35.7 | 9.52 | 7.3 | 0.13 | 20.2 | 7.179 | Clayey silt | 7.12 | 5.65 | 100 | 0 |
| D-23 | 37.2 | 11.05 | 7.45 | 0.134 | 19.77 | 6.535 | Silty sand | 7.15 | 4.65 | 100 | 0 |
| D-24 | 38.7 | 1.22 | 3.27 | 0.07 | 10.03 | 1.162 | Sand | 6.94 | 3.34 | 54.35 | 45.65 |
| D-25 | 40.2 | 3.85 | 3.95 | 0.08 | 11.45 | 2.264 | Fine sand | 7.09 | 3.56 | 68.75 | 31.25 |
| P1 | upto25 | 2.8 | 3.89 | 0.06 | 12.89 | - | Silty mud | - | - | - | - |
| P2 | upto25 | 2.79 | 3.22 | 0.06 | 11.92 | - | Silty mud | - | - | - | - |
| P3 | upto25 | 3.73 | 5.37 | 0.1 | 14.49 | - | Silty mud | - | - | - | - |
| P4 | upto25 | 6.49 | 6.22 | 0.09 | 16.33 | - | Sandy mud | - | - | - | |
| Pad5 | upto25 | 3.93 | 5.46 | 0.1 | 15.11 | - | Sandy mud | - | - | - | |
| Pad6 | upto25 | 3.27 | 4.81 | 0.07 | 14.13 | - | Sandy mud | - | - | - | |
| P7 | upto25 | 5.28 | 5.78 | 0.1 | 16.25 | - | Silty clay | - | - | - | - |
| Pad8 | upto25 | 4.26 | 4.81 | 0.06 | 15.16 | - | Silty clay | - | - | - | - |
| P9 | upto25 | 3.21 | 5.28 | 0.07 | 15.45 | - | Silty clay | - | - | - | - |
| Pad10 | upto25 | 3.92 | 5.62 | 0.07 | 16.38 | - | Silty clay | - | - | - | - |
Note: D-Daudkandi core; P-Pond soil; Pad-Paddy field soil; upto25 = 15–25 cm; OC-Total organic carbon.
The pH values, moisture content, lithology, concentrations of As and major elements in sediments of Marua village are given in Appendix: Table A1 and Table A2. Arsenic content ranged from non-detectable to 36.87 mg/kg, with the average value of 5.6 mg/kg. Core samples collected adjacent to a highly As contaminated tube well show that high As concentrations (from 7.0 to 36.87 mg/kg) are found down to 44.5 m, with the highest content at 44.5 m. Below that, the sediments are mainly medium to coarse sand, and As concentrations decrease abruptly down to stable low concentrations (4.0 to 2.0 mg/kg) down to 61 m depth (Appendix: Table 1a,b). The middle units (layers) of upper aquifer (31.1–37.2 m in Daudkandi and 43–44.5 m in Marua village) have the highest As content in sediments. It is, therefore, postulated that the vertical leakage and translocation, controlled by electrical conductivity, dissolved organic matter, and land gradient, play a key role in the distribution of As from the upper aquifer to the middle one [35,41]. The present study and previous studies in Bangladesh and West Bengal, India, have shown that the source(s) of As seems to be locally distributed in lenses of fine-grained sediments (e.g., silty sand, clayey silt, clay), and peat in the Holocene deposits of the upper aquifer, which contain also high concentrations of Fe, Mn and Al oxides and organic matter [14,33,42,43,44]. The sand coated by iron-oxyhydroxides, residual magnetite, ilmenite, illite, iron hydroxides-coated grains, biotite, and siderite concretions contain also high As content [43,45], whereas channel deposits of coarser sediments (mostly sand) in the deeper aquifer during the Pleistocene are low in As and organic matter. The distribution of As is extremely heterogeneous, and consequently, the “patchy distribution” has often been explained in terms of “local variations in sedimentary characteristics, and hydrogeochemical conditions” [20,25,40].
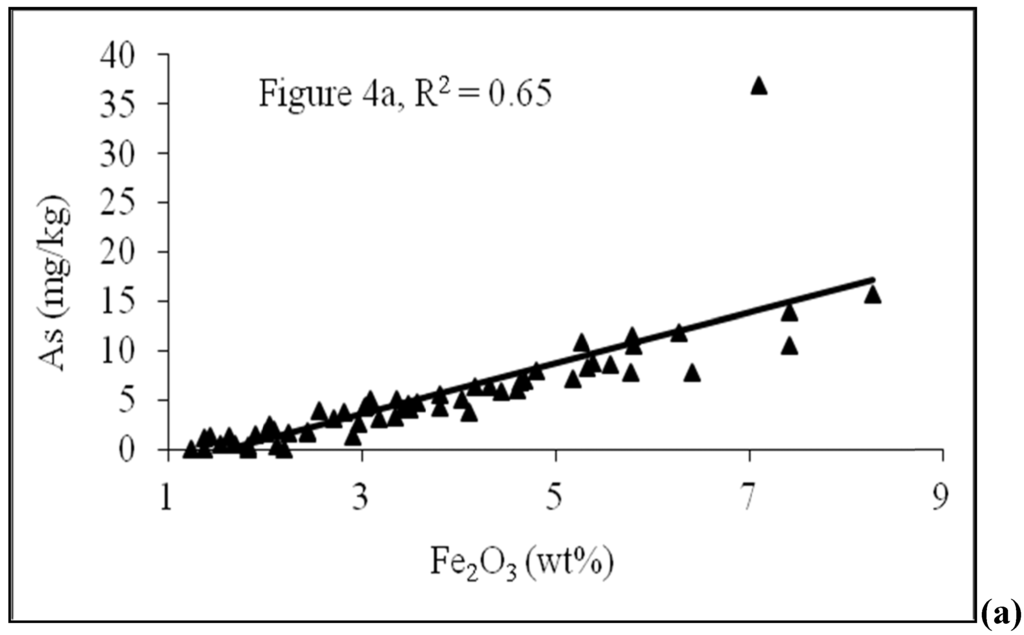
The inter-relationships of As with Fe, Mn, and Al oxides and organic carbon content in Daudkandi core samples have shown that As strongly correlates with the concentration of Fe (R2 = 0.91), Mn (R2 = 0.82) and Al oxides (R2 = 0.96); and a statistically significant correlation is found with organic carbon (R2 = 0.59) (Figure 3a–d). Arsenic contents in core samples of Marua also correlate strongly with the concentrations of Fe (R2 = 0.65), Al oxides (R2 = 0.65) and loss on ignition (R2 = 0.80), and weakly with Mn oxides (R2 = 0.42) (Figure 4a–d). Excluding a high As outlier in the Marua core, associated with the highest organic content in Figure 4, did not affect the correlations significantly. The high concentration of As (36.87 mg/kg) in sediment at a depth of 44.5 m is associated with the presence of a peat layer. Therefore, the results of this study and those of Anawar et al. [14] show that the sources of As are presumed to be Fe and Mn oxyhydroxide, phyllosilicate minerals, and organic matter (peat layers). The correlations of As with Fe oxides and Al oxides indicate that phyllosilicate minerals are one of the sources and the sink of As in sediments. Furthermore, sequential extraction also showed a significant amount of As in the silicate phase (see below). Sequential chemical leaching of As from sediments has shown that As is mainly present in three phases including (1) Fe and Mn oxides, (2) organic matter and (3) silicate-sulfide phase (Figure 5). Rowland et al. [46] also reported similar results with strong correlations between As, Fe and organic matter from analysis of aquifer sediments.

Figure 3.
Relationships of As with (a) iron, (b) manganese, (c) aluminum oxides and (d) organic carbon content in Daudkandi core samples.

Figure 4.
Relationships of As with (a) iron, (b) aluminum oxides, (c) loss on ignition and (d) manganese oxide in Marua core samples.
Figure 5.
Results of sequential extraction analysis of arsenic in different phases in selected sediment samples of Marua village.
4.3. Scanning Electron Microscope (SEM)
The mineralogical study of core samples shows that quartz, micas (biotite and muscovite), feldspars, chlorite, amphibole and clay minerals are major constituent minerals. Seddique et al. [33], Itai et al. [34] and Mitamura et al. [35] speculated that reduction of Fe oxyhydroxide is not the only mechanism of As mobilization. In addition, chemical weathering of biotite and/or other basic minerals induced by infiltration of oxic surface water in the Holocene aquifer could be important as a primary cause of As mobilization, because the biotite minerals contained high As concentrations. The present study investigated the biotite minerals separated from the Holocene sediments by SEM (Figure 6a). The results showed that most of the biotite minerals have changed, and have higher contents of Fe than the unaltered natural biotite minerals (Table 3). This is due to the presence of Fe oxyhydroxide on the inner sites and the cleavage surfaces of biotite [47]. High concentrations of As found in biotite could, therefore, mainly be due to adsorption or precipitation of As-rich Fe oxyhydroxide on the surface and cleavage surfaces [47]. Arsenic in sediments may thereby exist as a precipitated phase in biotite mineral intragrain microfractures with nano- to micro-scale widths where ion diffusion is a major mechanism leading to preferential element concentration in the microfracture regions [48]. The SEM study proved the presence of Fe oxyhydroxide in the finer fractions of sediments (Figure 6b,c) wherein As can be associated with amorphous, poorly crystalline and well crystallised Fe oxyhydroxide. However, due to the very low contents of As in sediments, the SEM-EDS (energy dispersive spectrum) did not show the peak of As. Therefore, the EDS spectrum is not shown here.

Figure 6.
SEM image of (a) biotite, (b) and (c) Fe oxyhydroxide in sediments of Daudkandi.
Table 3.
Elemental composition of biotite, muscovite and altered biotite in sediments of Daudkandi.
| Major elements | Elemental composition (%) | |||
|---|---|---|---|---|
| Biotite | Muscovite | Altered biotite-1 | Altered biotite-2 | |
| Mg | 3.02 | 0.41 | 6.00 | 4.73 |
| Al | 4.15 | 18.30 | 6.20 | 7.82 |
| Si | 10.70 | 21.24 | 14.29 | 14.20 |
| K | 3.91 | 8.64 | 2.36 | 1.08 |
| Ti | 1.59 | 0.21 | 0.56 | 0.87 |
| Fe | 15.23 | 1.01 | 21.53 | 18.41 |
4.4. Adsorption Isotherm
Two adsorption isotherms were used to describe the thermodynamics of As adsorption by soils (Figure 7(a,b)). The thermodynamic adsorption data for As followed the Linear adsorption isotherm (Equation 1) and the Langmuir isotherm (Equation 2) expressed as follows:
where Ce is the equilibrium concentration of As in the solution (µg/L), гA is the amount of As adsorbed at equilibrium (µg/g soil), b is constant, and гA, max is the maximum possible adsorption at equilibrium in the Langmuir equation (µg/g soil). The results show that surface soils and sediments have a strong affinity for As adsorption; and adsorption increased significantly as the equilibrium concentration (Ce) increased. Arsenic adsorption isotherms did not reach maximum adsorption under the experimental condition in this study. The maximum possible adsorption at equilibrium (гA, max), deduced from the Langmuir equation was 39 µg/g soil. The amount of As adsorbed at equilibrium (µg/g soil) exhibited a strong correlation with iron oxide (Fe2O3) in soils (Figure 8) indicating that As is mainly adsorbed on iron oxide in soils.
гA = k Ce
Ce/гA = 1/(b гA, max) + Ce/гA, max
Figure 7.
Best-fitted adsorption isotherms of As on the surface soil and sediment: (a) linear isotherms of As adsorption; (b) Langmuir isotherms of As adsorption (гA is the amount of As adsorbed at equilibrium (µg/g soil), Ce is the equilibrium concentration.).
Figure 8.
Correlation between the amount of As adsorbed at equilibrium and iron oxide (Fe2O3) in soils.
4.5. Role of Agricultural Activity
The widespread use of agrochemicals (fertilizers including phosphate, urea, potash and pesticides) and organic waste in the agricultural fields may be an important source of As and promoter of microbial activity creating reducing conditions and ion exchange reactions resulting in mobilization of As in groundwater. High concentrations of As are accompanied by high concentrations of PO43− in groundwater, while surface water has very low concentrations of PO43− and As (Table 1); and the soils from paddy fields, ponds and canal are low in As (2.79–6.49 mg/kg). The surface soils should have had high concentrations of As if the agrochemicals were the main source of As, however, the soil and water results show low As contents (Table 1 and Table 2). It is instead speculated that the high concentrations of NH4+ and PO43− in groundwater might be derived both from the agricultural application of fertilizer as suggested by the small variation of δ15NNH4 (mostly 2–4‰) [30,31,34] as well as reductive dissolution of Fe and Mn oxyhydroxide containing As [49]. Arsenic content of phosphate fertilizer, used by the farmers in Bangladesh, ranges from 2.42 to 6.79 mg/kg. Hence, the application of phosphate fertilizers to the agricultural fields and subsequent infiltration into the upper aquifer could elevate the As concentration by direct dissolution instead of the competition replacement by PO43− ions.
4.6. Mechanism of Arsenic Mobilization
The high concentrations of As and Fe in groundwater are found in reducing aquifers along with typically dark colour of sediments, while low concentrations of As and Fe are found in oxic to sub-oxic condition. These findings reflect that reductive dissolution of iron oxyhydroxide throughout the Holocene alluvial aquifers of Bangladesh and West Bengal, India, are responsible for mobilization of adsorbed and co-precipitated As [14,19,21,22,23,49]. The reducing conditions are generated due to biodegradation of organic matter by metabolism of the common anaerobic iron reducing bacteria (FeRB) such as Geobacter associated.
The moderate to strong spatial correlations between As, Fe, P, HCO3− and NH4+, and DOC are consistent with As release predominantly via microbially mediated reductive dissolution of As bearing Fe(III) oxides [20,25,46,50]. Indications of reducing conditions due to microbial activity and reaction of the Fe and Mn oxides with organic matter, as seen by higher inorganic C, PO43−, NH4+, and Fe concentrations and the absence of NO3− were markedly more prominent in shallow tube wells as compared to deep tube wells [26]. The contaminated aquifers are confined to the GBM delta plains of the Holocene period, whereas the uplands of the Pleistocene period are uncontaminated [14,19,28,35,49,50].
That reduction of Fe and Mn oxides, a governing process for As mobilization has not been fully supported is due to several controversial points; e.g., weak relationship between dissolved As and Fe [5,14]; source of organic matter –either sedimentary organic matter or infiltration of labile organic carbon [4,46,51], dissolved Fe, chemical form of reduced Fe oxyhydroxides [24,42], and transportation process of As [52]. Given the previous studies and the present results, we conclude that the spatial variation of redox conditions and the subsequent inconsistent distribution of As and dissolved Fe in groundwater of the upper aquifer are attributable to a range of pressures. The most important are due to localized variations in subsurface permeability, the recharge of groundwater, variable agricultural activities, biogeochemical reactions and the precipitation/dissolution of Fe (oxy)hydroxide and siderite [5,8]. Ultimately, a complex array of geochemical processes may impact the fate of As [44].
Other anthropogenic influences, viz. recent inflow of labile organic C into groundwater due to pumping for irrigation to shallow aquifers containing As-bearing iron oxyhydroxide, can cause significant release of As to groundwater [4,32,52]. Arsenic leached out of the upper muddy layer is translocated to the lower sand (aquifer) that may be expedited by infiltrated PO43 fertilizer-enhanced movement of As from the muddy layer [27,31]. There are no significant differences between the concentrations of As in agricultural surface soils and subsurface sediments, except the case of the peat layer and the clayey silts in the middle unit (30–50 m) of subsurface aquifers. No known dissimilatory Fe(III) or As(V) reducers as bacteria are found in shallow aquifers by the study of Sutton et al. [26], however, other bacteria associated with biodegradation of organic matter may develop the reducing conditions, resulting in reductive dissolution of iron oxyhydroxide and As mobilization.
5. Conclusions
The results of groundwater and sediment chemistry and mineralogical study show that Fe and Mn oxyhydroxide in silty sand, and clayey silt in the middle unit of the upper aquifer contain the highest concentrations of As; and that organic matter and phyllosilicate minerals are the second sources and sinks of As. Anthropogenic activities such as agricultural activities (especially use of phosphate fertilizers) and domestic wastes may directly contribute As to groundwater. Moreover, such activities contribute to the inflow of labile organic C, NO3− and PO43− fertilizer to the upper aquifer, and thereby stimulate the activity of microbial communities, leading to anoxic conditions, and reductive dissolution of iron oxyhydroxide and subsequent As release into the aqueous phase. SEM studies indicated that the chemical weathering of biotite and/or other basic minerals in the Holocene aquifer could not be a primary cause of As mobilization. Adsorption and co-precipitation of As-rich Fe oxyhydroxide in the microfracture of biotite is the main cause of As enrichment in biotite minerals.
Acknowledgments
We thank Manabu Oizumi and Toshiro Takahashi of Niigata University for co-operation in analysis of dissolved and solid phase arsenic. The authors are grateful to the anonymous reviewers and the guest editor whose critical comments have improved the manuscript.
References
- Anawar, H.M.; Akai, J.; Khan, M.G.M.; Safiullah, S.; Tareq, S.M. Arsenic poisoning in groundwater: Health risk and geochemical sources in Bangladesh. Environ. Int. 2002, 27, 597–604. [Google Scholar] [CrossRef] [PubMed]
- Chakraborty, A.K.; Saha, K.C. Arsenical dermatosis from tube well water in West Bengal. Indian J. Med. Res. 1987, 85, 326–334. [Google Scholar] [PubMed]
- Chowdhury, U.K.; Biswas, B.K.; Chowdhury, T.R.; Samanta, G.; Mandal, B.K.; Basu, G.C.; Chanda, C.R.; Lodh, D.; Saha, K.C.; Mukherjee, S.K.; et al. Groundwater arsenic contamination in Bangladesh and West Bengal, India. Environ. Health Perspect. 2000, 108, 393–397. [Google Scholar] [CrossRef] [PubMed]
- Harvey, C.F.; Swartz, C.H.; Badruzzaman, A.B.M.; Keon-Blute, N.; Yu, W.; Ali, M.A.; Jay, J.; Beckie, R.; Niedan, V.; Brabander, D.; et al. Arsenic mobility and groundwater extraction in Bangladesh. Science 2002, 298, 1602–1606. [Google Scholar] [CrossRef] [PubMed]
- Nickson, R.; McArthur, J.; Burgess, W.; Ahmed, K.M.; Ravenscorft, P.; Rahman, M. Arsenic poisoning of Bangladesh groundwater. Nature 1998, 395, 338. [Google Scholar] [CrossRef] [PubMed]
- Van Geen, A.; Zheng, Y.; Versteeg, R.; Stute, M.; Horneman, A.; Dhar, R.; Steckler, M.; Gelman, A.; Small, C.; Ahsan, H.; et al. Spatial variability of arsenic in 6000 tube wells in a 25 km2 area of Bangladesh. Water Resou. Res. 2003, 39, 1140. [Google Scholar] [CrossRef]
- Smedley, P.L.; Zhang, M.; Zhang, G.; Luo, Z. Mobilisation of arsenic and other trace elements in fluviolacustrine aquifers of the Huhhot Basin, Inner Mongolia. Appl. Geochem. 2003, 18, 1453–1477. [Google Scholar] [CrossRef]
- Nickson, R.T.; McArthur, J.M.; Shrestha, B.R.; Kyaw-Myint, T.O.; Lowry, D. Arsenic and other drinking water quality issues, Muzaffargarh District, Pakistan. Appl. Geochem. 2005, 20, 55–68. [Google Scholar] [CrossRef]
- Gurung, J.K.; Ishiga, H.; Khadka, M.S.; Shrestha, N.R. The geochemical study of fluvio-lacustrine aquifers in the Kathmandu Basin (Nepal) and the implications for the mobilization of arsenic. Environ. Geol. 2007, 52, 503–517. [Google Scholar] [CrossRef]
- Polya, D.A.; Rowland, H.A.L.; Gault, A.G.; Diebe, N.H.; Jones, J.C.; Cooke, D.A. Geochemistry of arsenic-rich shallow groundwaters in Cambodia. Geochim. Cosmochim. Acta 2004, 68, A590. [Google Scholar]
- Polya, D.A.; Gault, A.G.; Diebe, N.; Feldmann, P.; Rosenboom, J.W.; Gilligan, E.; Fredericks, D.; Milton, A.H.; Sampson, M.; Rowland, H.A.L.; et al. Arsenic hazard in shallow Cambodian groundwaters. Mineral. Mag. 2005, 69, 807–823. [Google Scholar] [CrossRef]
- Berg, M.; Tran, H.C.; Nguyen, T.C.; Pham, H.V.; Schertenleib, R.; Giger, W. Arsenic contamination of groundwater and drinking water in Vietnam: A human health threat. Environ. Sci. Technol. 2001, 35, 2621–2626. [Google Scholar] [CrossRef] [PubMed]
- DPHE (Department of Public Health Engineering). Groundwater Studies for Arsenic Contamination in Bangladesh, Main Report, Rapid Investigation Phase; DPHE, Government of Bangladesh. Mott MacDonald and British Geological Survey, Mott MacDonald Ltd: London, UK, 1999.
- Anawar, H.M.; Akai, J; Komaki, K.; Terao, H.; Yoshioka, T.; Ishizuka, T.; Safiullah, S.; Kato, K. Geochemical occurrence of arsenic in groundwater of Bangladesh: Sources and mobilization processes. J. Geochem. Explor. 2003, 77, 109–131. [Google Scholar] [CrossRef]
- Swartz, C.H.; Blute, N.K.; Badruzzman, B.; Ali, A.; Brabander, D.; Jay, J.; Besancon, J.; Islam, S.; Hemond, H.F.; Harvey, C.F. Mobility of arsenic in a Bangladesh aquifer: Inferences from geochemical profiles leaching data, and mineralogical characterization. Geochim. Cosmochim. Acta 2004, 68, 4539–4557. [Google Scholar] [CrossRef]
- Das, D.; Samanta, C.; Mandal, B.K.; Chowdhury, T.R.; Chandra, C.R.; Chowdhury, P.P.; Basu, G.K.; Chakraborti, D. Arsenic in groundwater in 6 districts of West Bengal, India. Environ. Geochem. Health 1996, 18, 5–15. [Google Scholar] [CrossRef] [PubMed]
- Chakraborti, D.; Basu, G.K.; Biswas, B.K.; Chowdhury, U.K.; Rahman, M.M.; Paul, K.; Chowdhury, T.R.; Chanda, C.R.; Lodh, D.; Ray, S.L. Arsenic: Exposure and Health Effects; Chappell, W.R., Abernathy, C.O., Calderon, R.L., Eds.; Elsevier: New York, NY, USA, 2001; pp. 27–52. [Google Scholar]
- Bhattacharya, P.; Chatterjee, D.; Jacks, G. Occurrence of arsenic contaminated groundwater in alluvial aquifers from delta plains, eastern India: Options for safe drinking water supply. Int. J. Water Resour. Dev. 1997, 13, 79–92. [Google Scholar] [CrossRef]
- Nickson, R.T.; McArthur, J.M.; Ravenscorft, P.; Burgess, W.G.; Ahmed, K.M. Mechanism of arsenic release to groundwater, Bangladesh and West Bengal. Appl. Geochem. 2000, 395, 338–348. [Google Scholar]
- Zheng, Y.; Stute, M.; van Geen, A.; Gavrieli, I.; Dhar, R.; Simpson, H.J.; Schlosser, P.; Ahmed, K.M. Redox control of arsenic mobilization in Bangladesh groundwater. Appl. Geochem. 2004, 19, 201–214. [Google Scholar] [CrossRef]
- Akai, J.; Izumi, K.; Fukuhara, H.; Masuda, H.; Nakano, S.; Yoshimura, T.; Ohfuji, H.; Anawar, H.M.; Akai, K. Mineralogical and geomicrobiological investigations on groundwater arsenic enrichment in Bangladesh. Appl. Geochem. 2004, 19, 215–230. [Google Scholar] [CrossRef]
- Akai, J.; Kanekiyo, A.; Hishida, N.; Ogawa, M.; Naganuma, T.; Fukuhara, H.; Anawar, H.M. Biogeochemical characterization of bacterial assemblages in relation to release of arsenic from South East Asia (Bangladesh) sediments. Appl. Geochem. 2008, 23, 3177–3186. [Google Scholar] [CrossRef]
- Islam, F.S.; Gault, A.G.; Boothman, C.; Polya, D.A.; Charnock, J.M.; Chatterjee, D.; Lloyd, J.R. Role of metal-reducing bacteria in arsenic release from Bengal delta sediments. Nature 2004, 430, 68–71. [Google Scholar] [CrossRef] [PubMed]
- Van Geen, A.; Rose, J.; Thoral, S.; Garnier, J.M.; Zheng, Y.; Bottero, J.Y. Decoupling of As and Fe release to Bangladesh groundwater under reducing conditions. Part II: Evidence from sediment incubations. Geochim. Cosmochim. Acta 2004, 68, 3475–3486. [Google Scholar] [CrossRef]
- Zheng, Y.; van Geen, A.; Stute, M.; Dhar, R.; Mo, Z.; Cheng, Z.; Horneman, A.; Gavrieli, H.; Simpson, J.; Versteeg, R. Geochemical and hydrogeological contrasts between shallow and deeper aquifers in two villages of Araihazar, Bangladesh: Implications for deeper aquifers as drinking water sources. Geochim. Cosmochim. Acta 2005, 69, 5203–5218. [Google Scholar] [CrossRef]
- Sutton, N.B.; van der Kraan, G.M.; van Loosdrecht, M.C.M.; Bruining, G.M.J.; Schotting, R.J. Characterization of geochemical constituents and bacterial populations associated with As mobilization in deep and shallow tube wells in Bangladesh. Water Res. 2009, 43, 1720–1730. [Google Scholar] [CrossRef] [PubMed]
- Acharyya, S.K.; Chakraborty, P.; Lahiri, S.; Raymahashay, B.C.; Guha, S.; Bhowmik, A. Arsenic poisoning in the Ganges Delta. Nature 1999, 401, 545. [Google Scholar] [CrossRef] [PubMed]
- Acharyya, S.K.; Lahiri, S.; Raymahashay, B.C.; Bhowmik, A. Arsenic toxicity of groundwater in parts of the Bengal basin in India and Bangladesh: The role of Quaternary stratigraphy and Holocene sea-level fluctuation. Environ. Geol. 2000, 39, 1127–1137. [Google Scholar] [CrossRef]
- Chowdhury, T.R.; Basu, G.K.; Mandal, B.K.; Biswas, B.K.; Chowdhury, U.K.; Chanda, C.R.; Lodh, D.; Roy, S.L.; Saha, K.C.; Roy, S.; et al. Arsenic poisoning of Bangladesh groundwater. Nature 1999, 401, 545–547. [Google Scholar] [PubMed]
- Anawar, H.M.; Akai, J.; Yoshioka, T.; Konohira, E.; Lee, J.Y.; Fukuhara, H.; Garcia-Sanchez, A. Mobilization of arsenic in groundwater of Bangladesh: Evidence from incubation study. Environ. Geochem. Health 2006, 28, 553–565. [Google Scholar] [CrossRef] [PubMed]
- Brömssen, M.V.; Larsson, S.H.; Bhattacharya, P.; Hasan, M.A.; Ahmed, K.M.; Jakariya, M.; Sikder, M.A.; Sracek, O.; Bivén, A.; Doušová, B.; et al. Geochemical characterisation of shallow aquifer sediments of Matlab Upazila, Southeastern Bangladesh—Implications for targeting low-As aquifers. J. Contamin. Hydrol. 2008, 99, 137–149. [Google Scholar] [CrossRef]
- Polizzotto, M.L.; Harvey, C.F.; Li, G.; Badruzzman, B.; Ali, A.; Newville, M.; Sutton, S.; Fendorf, S. Solid-phases and desorption processes of arsenic within Bangladesh sediments. Chem. Geol. 2006, 228, 97–111. [Google Scholar] [CrossRef]
- Seddique, A.A.; Masuda, H.; Mitamura, M.; Shinoda, K.; Yamanaka, T.; Itai, T.; Maruoka, T.; Uesugi, K.; Ahmed, K.M.; Biswas, D.K. Arsenic release from biotite into a Holocene groundwater aquifer in Bangladesh. Appl. Geochem. 2008, 23, 2236–2248. [Google Scholar] [CrossRef]
- Itai, T.; Masuda, H.; Seddique, A.A.; Mitamura, M.; Maruoka, T.; Li, X.; Kusakabe, M.; Biswas, D.K.; Farooqi, A.; Yamanaka, T.; et al. Hydrological and geochemical constraints on the mechanism of formation of arsenic contaminated groundwater in Sonargaon, Bangladesh. Appl. Geochem. 2008, 23, 3155–3176. [Google Scholar] [CrossRef]
- Mitamura, M.; Masuda, H.; Itai, T.; Minowa, T.; Maruoka, T.; Ahmed, K.M.; Seddique, A.A.; Biswas, D.K.; Nakaya, S.; Uesugi, K.; et al. Geological structure of an arsenic contaminated aquifer at Sonargaon, Bangladesh. J. Geol. 2008, 116, 288–302. [Google Scholar] [CrossRef]
- Kinniburgh, D.G.; Smedley, P.L. Arsenic Contamination of Groundwater in Bangladesh. In DPHP, Govt. of Bangladesh and DFID (UK), British Geological Survey Technical Report WC/00/19, Final Report; BGS: Keyworth, UK, 2001; pp. 105–107. [Google Scholar]
- Umitsu, M. Late quaternary sedimentary environments and landforms in the Ganges delta. Sediment. Geol. 1993, 83, 177–186. [Google Scholar] [CrossRef]
- Saunders, J.A.; Lee, M.-K.; Shamsudduha, M.; Dhakal, P.; Uddin, A.; Chowdury, M.T.; Ahmed, K.M. Geochemistry and mineralogy of arsenic in (natural) anaerobic groundwaters. Appl. Geochem. 2008, 23, 3205–3214. [Google Scholar] [CrossRef]
- Hasan, K. Investigation of Saline Groundwater in Muradnagar Thana. Master thesis, Dhaka University, Dhaka, Bangladesh, 1994. [Google Scholar]
- McArthur, J.M.; Banerjee, D.M.; Hudson-Edwards, K.A.; Mishra, R.; Purohit, R.; Ravenscroft, P.; Cronin, A.; Howarth, R.J.; Chatterjee, A.; Talukder, T.; et al. Natural organic matter in sedimentary basins and its relation to arsenic in anoxic groundwater: The example of West Bengal and its worldwide implications. Appl. Geochem. 2004, 19, 1255–1293. [Google Scholar] [CrossRef]
- Kalbitz, K.; Wennrich, R. Mobilization of heavy metals and arsenic in polluted wetland soils and its dependence on dissolved organic matter. Sci. Total Environ. 1998, 209, 27–39. [Google Scholar] [CrossRef] [PubMed]
- Horneman, A.; van Geen, A.; Kent, D.V.; Mathe, P.E.; Zheng, Y.; Dhar, R.K.; O’Connell, S.; Hoque, M.A.; Aziz, Z.; Shamsudduha, M. Decoupling of As and Fe release to Bangladesh groundwater under reducing conditions. Part I: Evidence from sediment profiles. Geochim. Cosmochim. Acta 2004, 68, 3459–3473. [Google Scholar] [CrossRef]
- Pal, T.; Mukherjee, P.K.; Sengupta, S. Nature of arsenic pollutants in groundwater of Bengal basin—A case study from Baruipur area, West Bengal, India. Curr. Sci. 2002, 82, 554–561. [Google Scholar]
- Tareq, S.M.; Safiullah, S.; Anawar, H.M.; Rahman, M.M.; Ishazuka, T. Arsenic pollution in groundwater: A self-organizing complex geochemical process in the deltaic sedimentary environment, Bangladesh. Sci. Total Environ. 2003, 313, 213–226. [Google Scholar] [CrossRef] [PubMed]
- Ahmed, K.M.; Bhattacharya, P.; Hasan, M.A.; Akhter, S.H.; Alam, S.M.M.; Bhuyian, M.A.H.; Imam, M.B.; Khan, A.A.; Sracek, O. Arsenic enrichment in groundwater of the alluvial aquifers in Bangladesh: An overview. Appl. Geochem. 2004, 19, 181–200. [Google Scholar] [CrossRef]
- Rowland, H.A.L.; Gault, A.G.; Lythgoe, P.; Polya, D.A. Geochemistry of aquifer sediments and arsenic-rich groundwaters from Kendal Province, Cambodia. Appl. Geochem. 2008, 23, 3029–3046. [Google Scholar] [CrossRef]
- Anawar, H.M.; Mihaljevič, M. Comment on “Arsenic release from biotite into a Holocene groundwater aquifer in Bangladesh” by A.A. Seddique, H. Masuda, M. Mitamura, K. Shinoda, T. Yamanaka, T. Itai, T. Maruoka, K. Uesugi, K.M. Ahmed, D.K. Biswas. Appl. Geochem. 2009, 24, 483–485. [Google Scholar] [CrossRef]
- McKinley, J.P.; Zachara, J.M.; Liu, C.X.; Heald, S.C.; Prenitzer, B.I.; Kempshall, B.W. Microscale controls on the fate of contaminant uranium in the vadose zone, Hanford Site, Washington. Geochim. Cosmochim. Acta 2006, 70, 1873–1887. [Google Scholar] [CrossRef]
- McArthur, J.M.; Ravenscroft, P.; Safiullah, S.; Thirlwall, M.F. Arsenic in groundwater: Testing pollution mechanisms for sedimentary aquifers in Bangladesh. Water Resour. Res. 2001, 37, 109–117. [Google Scholar] [CrossRef]
- Shamsudduha, M.; Uddin, A.; Saunders, J.A.; Lee, M.-K. Quaternary stratigraphy, sediment characteristics and geochemistry of arsenic-contaminated alluvial aquifers in the Ganges-Brahmaputra floodplain in central Bangladesh. J. Contamin. Hydrol. 2008, 99, 112–136. [Google Scholar] [CrossRef]
- Rowland, H.A.L.; Polya, D.A.; Lloyd, J.R.; Pancost, R.D. Characterisation of organic matter in a shallow, reducing, arsenicrich aquifer, West Bengal. Org. Geochem. 2006, 37, 1101–1114. [Google Scholar] [CrossRef]
- Harvey, C.F.; Swartz, C.H.; Badruzzaman, A.B.M.; Keon-Blute, N.; Yu, W.; Ali, M.A.; Jay, J.; Beckie, R.; Niedan, V.; Brabander, D.; et al. Groundwater arsenic contamination on the Ganges Delta: Biogeochemistry, hydrology, human perturbations, and human suffering on a large scale. Comptes Rendus 2005, 337, 285–296. [Google Scholar] [CrossRef]
Appendix
Table A1.
Physico-chemical characteristics and arsenic contents in cores of Marua.
| Depth (m) | Lithological facies | As (mg/kg) | pH | Moisture content (wt %) |
|---|---|---|---|---|
| 3.5 | Silty sand, yellowish | 7.99 | 8.27 | 5.16 |
| 5 | silty clay, brownish | 7.76 | 8.53 | 5.42 |
| 6 | clayey silt | 7.15 | 8.15 | 4.35 |
| 7 | Silty sand | 3.13 | 8.16 | 4.84 |
| 8 | Silty sand | 5.05 | 8.28 | 4.68 |
| 9 | Silty sand | 6.01 | 8.13 | 4.62 |
| 9.5 | clay | 10.48 | 8.09 | 5.34 |
| 10 | clayey silt | 8.57 | 8.02 | 3.70 |
| 11–12 | silt, trace sand & clay | 8.21 | 8.26 | 4.96 |
| 13 | very fine sand | 4.16 | 8.47 | 3.29 |
| 14 | Silty sand | 6.26 | 8.13 | 4.26 |
| 15 | Silty sand | 6.74 | 8.23 | 4.75 |
| 16 | Silty sand | 5.81 | 8.34 | 5.26 |
| 17 | Silty sand | 7.00 | 8.04 | 5.78 |
| 18 | very fine sand | 1.72 | 8.34 | 4.09 |
| 19 | clayey silt | 8.81 | 8.26 | 8.67 |
| 20 | clay | 10.48 | 8.26 | 6.59 |
| 21 | very fine sand | 4.03 | 8.48 | 4.26 |
| 22 | very fine sand, trace silt | 4.49 | 8.20 | 3.76 |
| 23 | very fine sand, trace silt | 5.11 | 8.19 | 4.61 |
| 24 | very fine sand | 4.03 | 8.38 | 4.35 |
| 25 | very fine sand, trace silt | 1.25 | 8.37 | 5.06 |
| 26 | very fine sand | 4.27 | 8.45 | 5.18 |
| 27.3 | very fine sand | 3.81 | 8.27 | 3.63 |
| 28 | very fine sand, trace silt | 5.48 | 8.43 | 4.39 |
| 29 | very fine sand, trace silt | 4.21 | 8.45 | 4.58 |
| 30 | clay | 11.89 | 8.12 | 6.36 |
| 31 | clayey silt | 11.47 | 8.19 | 5.67 |
| 32 | clayey silt | 10.89 | 8.24 | 3.75 |
| 33 | Sand, | 4.71 | 8.49 | 4.73 |
| 34 | Sand | 3.91 | 8.64 | 4.07 |
| 35 | Sand, brownish | 6.35 | 8.43 | 3.68 |
| 36 | Sand, yellowish | 5.03 | 8.35 | 3.97 |
| 37 | Fine to medium sand | 3.33 | 8.31 | 4.72 |
| 38 | Fine to medium sand | 1.63 | 8.49 | 5.27 |
| 39 | Fine to medium sand | 3.04 | 8.57 | 4.33 |
| 40 | Fine to medium sand | 2.49 | 8.62 | 5.47 |
| 41 | Fine to medium sand | 2.27 | 8.56 | 4.72 |
| 42 | Fine to medium sand | 1.29 | 8.54 | 4.61 |
| 43 | clay | 15.78 | 7.78 | 5.12 |
| 43.2 | clay | 13.85 | 7.84 | 4.25 |
| 44 | Fine to medium sand | 1.67 | 8.46 | 4.24 |
| 44.5 | clay | 36.87 | 7.58 | 4.37 |
| 45 | clay | 7.86 | 7.68 | 5.19 |
| 46 | Fine to medium sand | 1.96 | 8.59 | 5.12 |
| 47 | Sand | 3.79 | 8.45 | 3.24 |
| 48 | very fine sand | 2.66 | 8.19 | 4.22 |
| 49 | Fine to medium sand | 1.85 | 8.62 | 5.27 |
| 50 | Medium sand | 0.29 | 8.36 | 5.35 |
| 51 | Fine to medium sand | 1.34 | 8.28 | 4.93 |
| 52 | Fine to medium sand | bdl | 8.74 | 4.18 |
| 53 | Fine to medium sand | 0.57 | 8.46 | 4.38 |
| 54 | Fine to medium sand | 1.45 | 8.32 | 5.73 |
| 55 | Fine to medium sand | bdl | 8.21 | 4.36 |
| 56 | Fine to medium sand | bdl | 8.28 | 5.14 |
| 57 | Fine to medium sand | bdl | 8.26 | 4.72 |
| 58 | Fine to medium sand | 0.29 | 8.14 | 4.61 |
| 59 | Fine to medium sand | 0.44 | 8.23 | 5.12 |
| 60 | Fine to medium sand | 4.36 | 7.76 | 4.25 |
| 61 | Fine to medium sand | 1.09 | 8.52 | 4.72 |
Table A2.
Concentrations of arsenic (mg/kg) and major elements (%w/w) in core samples of Marua.
| Depth (m) | SiO2 | TiO2 | Al2O3 | FeO | MnO | MgO | CaO | Na2O | K2O | P2O5 | LOI | Total | As (mg/kg) |
|---|---|---|---|---|---|---|---|---|---|---|---|---|---|
| (%) | |||||||||||||
| 3.5 | 67.75 | 0.70 | 11.82 | 4.28 | 0.07 | 2.27 | 3.49 | 1.12 | 2.60 | 0.12 | 5.54 | 99.76 | 7.99 |
| 5 | 63.17 | 0.77 | 13.47 | 5.09 | 0.08 | 2.65 | 3.96 | 0.98 | 2.88 | 0.12 | 7.14 | 100.3 | 7.76 |
| 6 | 64.80 | 0.74 | 12.91 | 4.63 | 0.08 | 2.51 | 3.73 | 1.07 | 2.84 | 0.11 | 6.53 | 99.95 | 7.15 |
| 7 | 74.33 | 0.55 | 9.83 | 2.99 | 0.06 | 1.44 | 3.00 | 1.25 | 2.29 | 0.24 | 3.50 | 99.48 | 3.13 |
| 8 | 71.06 | 0.62 | 10.52 | 3.65 | 0.07 | 1.82 | 3.16 | 1.18 | 2.33 | 0.14 | 4.57 | 99.12 | 5.05 |
| 9 | 67.8 | 0.68 | 11.73 | 4.19 | 0.07 | 2.12 | 3.50 | 1.13 | 2.52 | 0.12 | 5.59 | 99.48 | 6.01 |
| 9.5 | 59.6 | 0.79 | 14.81 | 6.64 | 0.15 | 2.49 | 3.16 | 0.84 | 2.96 | 0.15 | 8.13 | 99.74 | 10.48 |
| 10 | 63 | 0.76 | 13.44 | 4.98 | 0.09 | 2.51 | 3.65 | 1.05 | 2.89 | 0.12 | 6.73 | 99.21 | 8.57 |
| 12 | 63.6 | 0.74 | 12.96 | 4.77 | 0.09 | 2.47 | 4.04 | 1.03 | 2.80 | 0.12 | 6.67 | 99.30 | 8.21 |
| 13 | 75.2 | 0.53 | 9.35 | 2.81 | 0.05 | 1.42 | 2.90 | 1.25 | 2.15 | 0.17 | 3.67 | 99.53 | 4.16 |
| 14 | 68.9 | 0.65 | 10.85 | 3.72 | 0.07 | 1.91 | 3.50 | 1.14 | 2.38 | 0.17 | 6.31 | 99.62 | 6.26 |
| 15 | 67.2 | 0.65 | 11.40 | 4.11 | 0.07 | 2.10 | 3.47 | 1.14 | 2.54 | 0.12 | 5.50 | 98.29 | 6.74 |
| 16 | 66.7 | 0.71 | 12.76 | 4.44 | 0.07 | 2.41 | 3.71 | 1.30 | 2.79 | 0.12 | 5.67 | 100.63 | 5.81 |
| 17 | 67.6 | 0.69 | 11.79 | 4.30 | 0.07 | 2.17 | 3.41 | 1.15 | 2.58 | 0.13 | 5.87 | 99.74 | 7 |
| 18 | 77.1 | 0.48 | 8.78 | 2.35 | 0.05 | 1.26 | 3.02 | 1.34 | 1.97 | 0.13 | 3.02 | 99.45 | 1.72 |
| 19 | 63.5 | 0.75 | 13.26 | 4.83 | 0.09 | 2.47 | 3.93 | 1.01 | 2.87 | 0.12 | 7.00 | 99.79 | 8.81 |
| 20 | 62.3 | 0.77 | 13.80 | 5.16 | 0.10 | 2.57 | 4.10 | 0.97 | 2.96 | 0.13 | 7.93 | 100.79 | 10.48 |
| 21 | 74.3 | 0.57 | 9.82 | 3.21 | 0.06 | 1.58 | 2.82 | 1.22 | 2.28 | 0.17 | 3.75 | 99.81 | 4.03 |
| 22 | 73.9 | 0.63 | 10.24 | 3.30 | 0.07 | 1.59 | 3.16 | 1.28 | 2.34 | 0.31 | 2.50 | 99.36 | 4.49 |
| 23 | 71.8 | 0.61 | 9.54 | 3.03 | 0.06 | 1.51 | 3.24 | 1.26 | 2.14 | 0.21 | 6.14 | 99.56 | 5.11 |
| 24 | 73.1 | 0.63 | 9.92 | 3.29 | 0.06 | 1.60 | 3.00 | 1.26 | 2.25 | 0.19 | 4.20 | 99.46 | 4.03 |
| 25 | 75 | 0.55 | 9.00 | 2.73 | 0.06 | 1.38 | 3.06 | 1.24 | 2.01 | 0.16 | 4.57 | 99.74 | 1.25 |
| 26 | 73.2 | 0.56 | 10.37 | 3.57 | 0.06 | 1.68 | 2.58 | 1.24 | 2.49 | 0.16 | 3.77 | 99.67 | 4.27 |
| 27.3 | 70.3 | 0.58 | 10.18 | 3.85 | 0.06 | 1.78 | 2.96 | 1.24 | 2.41 | 0.16 | 5.78 | 99.28 | 3.81 |
| 28 | 71.3 | 0.62 | 10.31 | 3.53 | 0.07 | 1.72 | 3.28 | 1.22 | 2.38 | 0.17 | 4.53 | 99.10 | 5.48 |
| 29 | 73.2 | 0.59 | 9.78 | 3.21 | 0.06 | 1.59 | 3.08 | 1.24 | 2.23 | 0.18 | 4.22 | 99.37 | 4.21 |
| 30 | 59.4 | 0.83 | 14.97 | 5.62 | 0.11 | 2.75 | 3.83 | 0.85 | 3.08 | 0.13 | 8.12 | 99.71 | 11.89 |
| 31 | 61.5 | 0.80 | 14.00 | 5.23 | 0.10 | 2.63 | 3.94 | 0.92 | 2.98 | 0.13 | 7.37 | 99.64 | 11.47 |
| 32 | 63.2 | 0.76 | 13.11 | 4.75 | 0.08 | 2.49 | 3.82 | 1.06 | 2.80 | 0.12 | 7.31 | 99.48 | 10.89 |
| 33 | 73.6 | 0.47 | 10.33 | 3.38 | 0.05 | 1.68 | 2.60 | 1.30 | 2.50 | 0.09 | 3.45 | 99.43 | 4.71 |
| 34 | 77 | 0.40 | 8.84 | 2.43 | 0.05 | 1.25 | 2.79 | 1.29 | 2.07 | 0.15 | 3.16 | 99.4 | 3.91 |
| 35 | 71.9 | 0.52 | 11.00 | 4.13 | 0.06 | 1.95 | 2.14 | 1.25 | 2.71 | 0.09 | 3.39 | 99.1 | 6.35 |
| 36 | 76.5 | 0.54 | 9.33 | 2.98 | 0.07 | 1.35 | 2.57 | 1.25 | 2.06 | 0.16 | 2.63 | 99.5 | 5.03 |
| 37 | 77.1 | 0.45 | 9.44 | 3.22 | 0.11 | 1.16 | 2.63 | 1.28 | 1.94 | 0.13 | 2.42 | 99.86 | 3.33 |
| 38 | 78.8 | 0.36 | 9.13 | 2.18 | 0.06 | 0.97 | 2.30 | 1.38 | 2.11 | 0.13 | 2.30 | 99.70 | 1.63 |
| 39 | 77.4 | 0.40 | 8.98 | 2.58 | 0.08 | 1.01 | 2.64 | 1.30 | 1.93 | 0.14 | 2.89 | 99.38 | 3.04 |
| 40 | 81.1 | 0.29 | 8.86 | 2.01 | 0.06 | 0.82 | 2.12 | 1.43 | 2.03 | 0.09 | 2.26 | 101.0 | 2.49 |
| 41 | 78.9 | 0.30 | 8.63 | 1.99 | 0.07 | 0.84 | 2.64 | 1.36 | 2.00 | 0.11 | 2.79 | 99.67 | 2.27 |
| 42 | 82.5 | 0.22 | 9.06 | 1.45 | 0.04 | 0.64 | 1.66 | 1.57 | 2.32 | 0.06 | 2.16 | 101.67 | 1.29 |
| 43 | 54.1 | 0.89 | 18.66 | 7.37 | 0.10 | 3.00 | 1.91 | 0.55 | 3.39 | 0.14 | 9.76 | 99.9 | 15.78 |
| 43.2 | 56.8 | 0.86 | 17.13 | 6.59 | 0.10 | 2.88 | 2.38 | 0.69 | 3.36 | 0.12 | 8.93 | 99.81 | 13.85 |
| 44 | 78.5 | 0.25 | 9.05 | 1.92 | 0.08 | 0.74 | 2.72 | 1.42 | 2.20 | 0.09 | 3.00 | 99.94 | 1.67 |
| 44.5 | 46.5 | 0.55 | 15.24 | 5.80 | 0.09 | 2.50 | 9.09 | 0.60 | 3.25 | 0.11 | 15.54 | 99.26 | 36.87 |
| 45 | 60.1 | 0.78 | 17.69 | 5.88 | 0.05 | 2.53 | 1.04 | 0.82 | 3.73 | 0.10 | 6.36 | 99.04 | 7.86 |
| 46 | 78.3 | 0.32 | 9.20 | 2.02 | 0.04 | 1.03 | 2.16 | 1.49 | 2.18 | 0.09 | 2.42 | 99.28 | 1.96 |
| 47 | 75.3 | 0.45 | 8.70 | 2.67 | 0.09 | 1.34 | 3.44 | 1.26 | 1.86 | 0.18 | 4.12 | 99.4 | 3.79 |
| 48 | 74.8 | 0.46 | 9.38 | 2.82 | 0.06 | 1.45 | 2.79 | 1.25 | 2.18 | 0.16 | 3.94 | 99.29 | 2.66 |
| 49 | 79.4 | 0.32 | 9.27 | 2.38 | 0.06 | 0.94 | 2.15 | 1.49 | 2.00 | 0.06 | 1.85 | 100 | 1.85 |
| 50 | 81.6 | 0.28 | 9.17 | 1.79 | 0.04 | 0.63 | 1.57 | 1.63 | 2.17 | 0.05 | 0.51 | 99.4 | 0.29 |
| 51 | 81.9 | 0.23 | 9.75 | 1.63 | 0.03 | 0.67 | 1.42 | 1.67 | 2.52 | 0.06 | 0.96 | 101 | 1.34 |
| 52 | 80.4 | 0.28 | 9.31 | 1.79 | 0.04 | 0.78 | 1.95 | 1.63 | 2.18 | 0.07 | 1.14 | 99.6 | 0 |
| 53 | 80.4 | 0.25 | 9.15 | 1.63 | 0.04 | 0.71 | 1.86 | 1.67 | 2.11 | 0.05 | 1.09 | 99.0 | 0.57 |
| 54 | 80.7 | 0.26 | 9.15 | 1.82 | 0.05 | 0.71 | 1.77 | 1.60 | 2.03 | 0.05 | 0.89 | 99.1 | 1.45 |
| 55 | 81.6 | 0.19 | 9.32 | 1.34 | 0.02 | 0.48 | 1.22 | 1.72 | 2.36 | 0.04 | 0.76 | 99.02 | 0 |
| 56 | 81.5 | 0.18 | 8.68 | 1.19 | 0.02 | 0.40 | 1.11 | 1.56 | 2.25 | 0.04 | 4.98 | 101.9 | 0 |
| 57 | 81.5 | 0.35 | 8.99 | 2.13 | 0.05 | 0.59 | 1.59 | 1.54 | 2.05 | 0.04 | 0.45 | 99.32 | 0 |
| 58 | 80.2 | 0.35 | 9.58 | 2.09 | 0.05 | 0.64 | 1.55 | 1.61 | 2.21 | 0.05 | 0.91 | 99.3 | 0.29 |
| 59 | 83.6 | 0.25 | 9.40 | 1.61 | 0.03 | 0.54 | 1.29 | 1.55 | 2.21 | 0.04 | 0.87 | 101.4 | 0.44 |
| 60 | 73.3 | 0.47 | 10.42 | 2.70 | 0.03 | 0.70 | 1.01 | 0.98 | 2.08 | 0.06 | 7.41 | 99.17 | 4.36 |
| 61 | 83.5 | 0.21 | 8.79 | 1.39 | 0.03 | 0.45 | 1.25 | 1.49 | 2.15 | 0.04 | 0.71 | 100.1 | 1.09 |
© 2011 by the authors; licensee MDPI, Basel, Switzerland. This article is an open access article distributed under the terms and conditions of the Creative Commons Attribution license (http://creativecommons.org/licenses/by/3.0/).