Coagulation Coupled with the Contact Oxidation Biofilter Process for Malodorous Blackwater Treatment
Abstract
1. Introduction
2. Materials and Methods
2.1. Materials
2.1.1. Wastewater and Inoculated Sludge
2.1.2. Coagulant
2.1.3. Biofilm Carriers
2.2. Treatment Process and Reactor System
2.2.1. The Treatment Process
2.2.2. The Reactor System
2.3. Experimental Methods
2.3.1. The Selection of PAC Dosages
2.3.2. The Selection of Biofilm Carriers
3. Results and Discussion
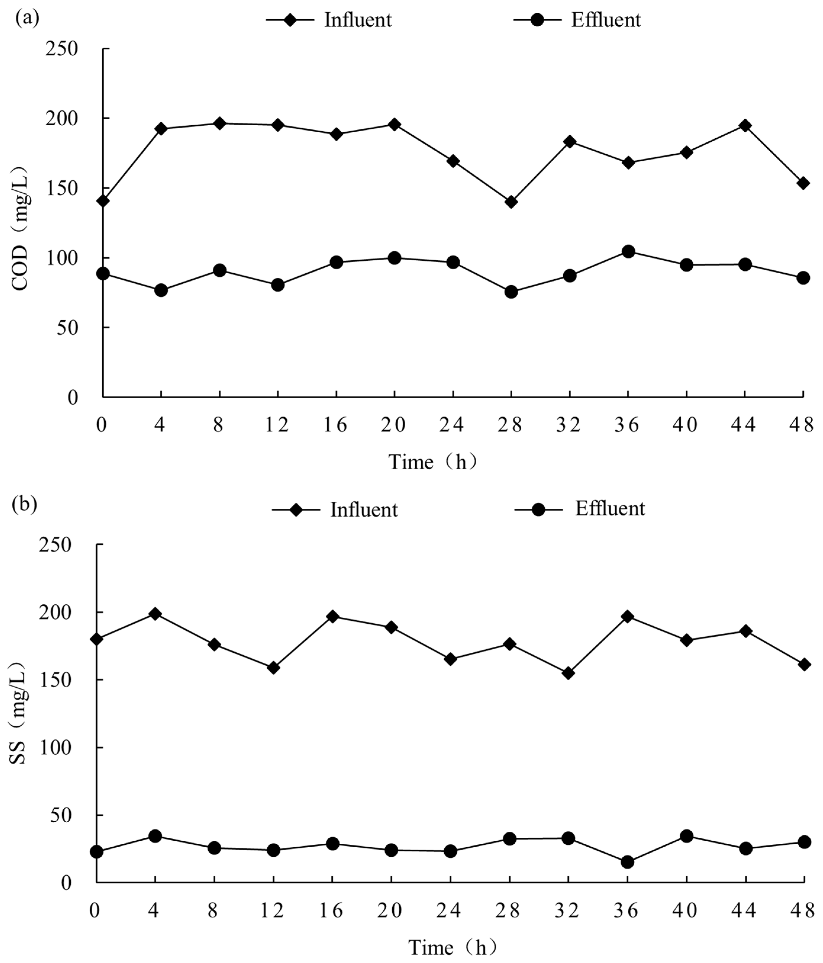
3.1. Coagulation and Sedimentation
3.1.1. The PAC Dosage Optimization
3.1.2. The Pollutant Removal in the Coagulation and Sedimentation
3.2. Contact Oxidation Biofilter Startup
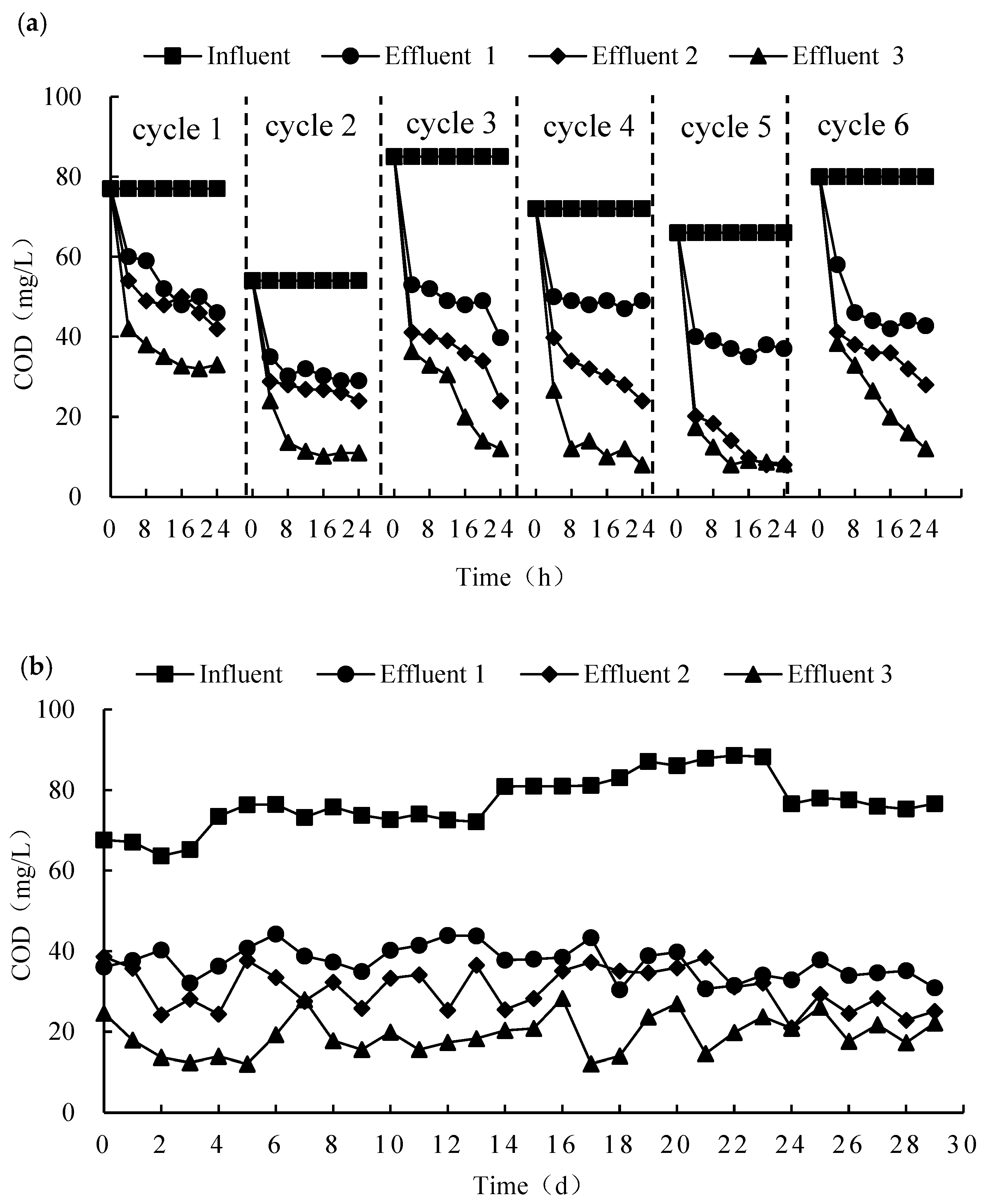
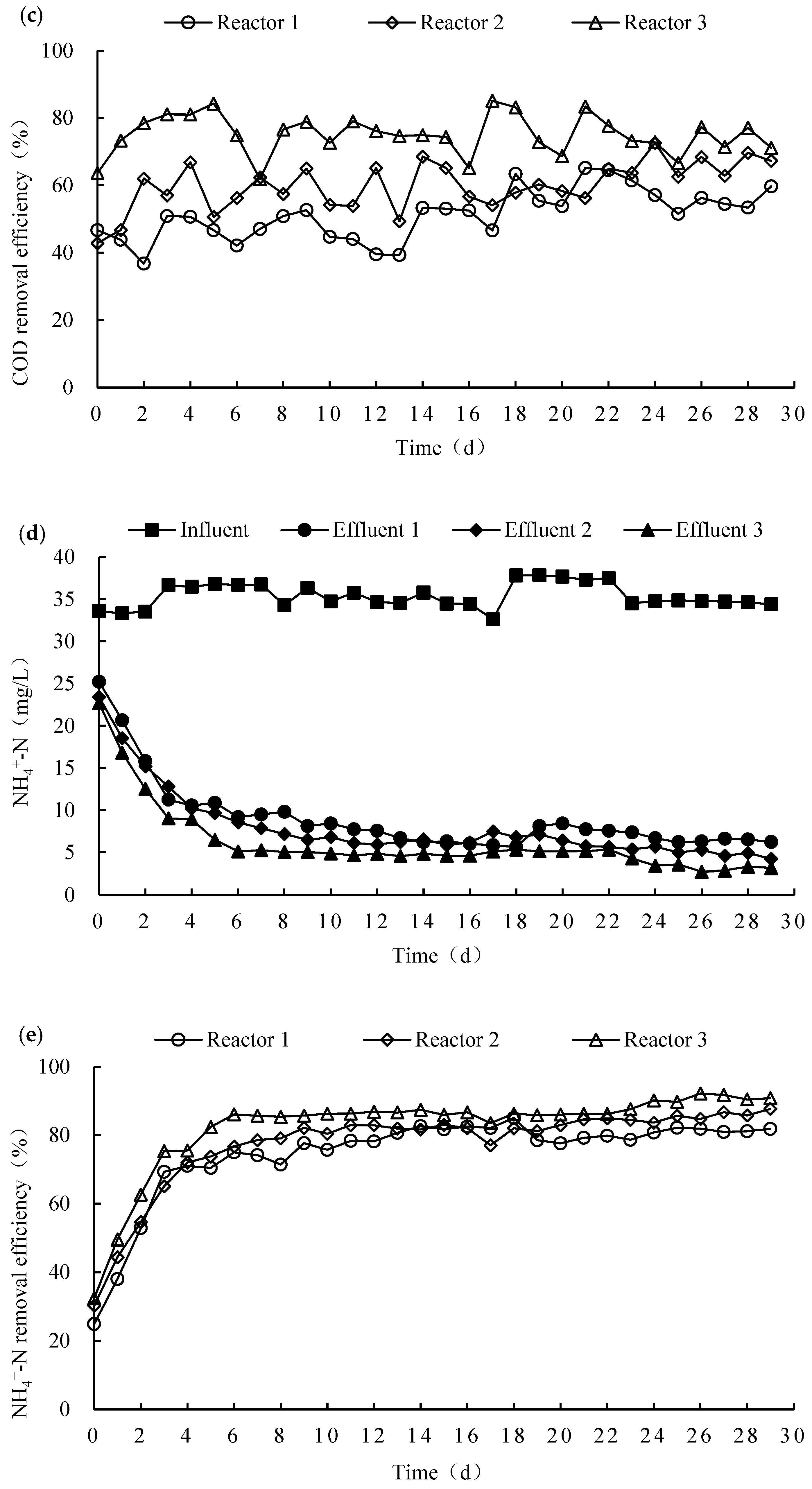
3.2.1. Biofilm Development
3.2.2. Biofilter Stability
3.3. Contact Oxidation Biofilter Optimization
3.3.1. Impact of Air–Water Ratio
3.3.2. Impact of HRT
3.4. Tolerance on Pollutant Loading of Contact Oxidation Biofilter
3.4.1. Tolerance on COD Concentration Fluctuation
3.4.2. Tolerance on NH4+-N Concentration Fluctuation
4. Conclusions
Author Contributions
Funding
Data Availability Statement
Conflicts of Interest
References
- Jing, Z.M.; Ye, F.J.; Liu, X.L.; Gao, H.J. A critical review of microbial profiles in black and odorous waters. Environ. Res. 2025, 270, 120972. [Google Scholar] [CrossRef]
- Liu, L.X.; Li, N.; Wang, H. Promoting the ecological restoration of black and odorous water by Fe/C internal electrolysis. Desalination Water Treat. 2024, 319, 100423. [Google Scholar] [CrossRef]
- Chen, M.; Liu, W.; Lu, D.; Chen, H.; Ye, C. Progress of China’s new-type urbanization construction since 2014: A preliminary assessment. Cities 2018, 78, 180–193. [Google Scholar] [CrossRef]
- Liu, M.; Ran, Y.; Peng, X.; Zhu, Z.; Liang, J.; Ai, H.; Li, H.; He, Q. Sustainable modulation of anaerobic malodorous black water: The interactive effect of oxygen-loaded porous material and submerged macrophyte. Water Res. 2019, 160, 70–80. [Google Scholar] [CrossRef] [PubMed]
- Chinese Ministry of Housing and Urban-Rural Development. Working Guidelines for the Treatment of Urban Malodorous Black Water; Chinese Ministry of Housing and Urban-Rural Development: Beijing, China, 2015. [Google Scholar]
- Chinese Ministry of Housing and Urban-Rural Development. Chinese Ministry of Ecology and Environment, Implementation Plan for Managing Urban Malodorous Black Water Bodies; Chinese Ministry of Housing and Urban-Rural Development: Beijing, China, 2018. [Google Scholar]
- Fang, T.; Bao, S.; Sima, X.; Jiang, H.; Zhu, W.; Tang, W. Study on the application of integrated eco-engineering in purifying eutrophic river waters. Ecol. Eng. 2016, 94, 320–328. [Google Scholar] [CrossRef]
- Lu, B.; Xu, Z.; Li, J.; Chai, X. Removal of water nutrients by different aquatic plant species: An alternative way to remediate polluted rural rivers. Ecol. Eng. 2018, 110, 18–26. [Google Scholar] [CrossRef]
- Martín, M.; Oliver, N.; Hernández-Crespo, C.; Gargallo, S.; Regidor, M.C. The use of free water surface constructed wetland to treat the eutrophicated waters of lake L’Albufera de Valencia (Spain). Ecol. Eng. 2013, 50, 52–61. [Google Scholar] [CrossRef]
- Zhu, L.; Li, X.; Zhang, C.; Duan, Z. Pollutants’ Release, Redistribution and Remediation of Black Smelly River Sediment Based on Re-Suspension and Deep Aeration of Sediment. Int. J. Environ. Res. Public Health 2017, 14, 374. [Google Scholar] [CrossRef] [PubMed]
- Zhang, X.; Qin, Q.; Zhai, X.; Guo, H.; Han, S.; Chang, J.-S.; Lee, D.-J. Black-odor water body remediations by ecological floating island coupled with Ecobase and Acinetobacter haemolyticus: Lab and pilot tests. J. Taiwan Inst. Chem. Eng. 2025, 172, 106081. [Google Scholar] [CrossRef]
- Cao, J.; Sun, Q.; Zhao, D.; Xu, M.; Shen, Q.; Wang, D.; Wang, Y.; Ding, S. A critical review of the appearance of black-odorous waterbodies in China and treatment methods. J. Hazard. Mater. 2020, 385, 121511. [Google Scholar] [CrossRef] [PubMed]
- Ren, J.; Jin, C.; Ding, N.; Zhao, Y.; Ji, J.; Zhang, Z. Sediment microbial fuel cell with biochar-modified cathode for remediation of black-odorous water sediments and analysis of microbial community. J. Environ. Chem. Eng. 2024, 12, 112848. [Google Scholar] [CrossRef]
- Xue, Y.; Zhang, Z.; Chen, P.; Zhu, M.; Pan, Y.; Chen, F. The enhancement of black-odor water remediation by an aeration–carbon synergistic sulfur–iron autotrophic denitrification MBBR process. J. Water Process Eng. 2025, 77, 108623. [Google Scholar] [CrossRef]
- Thant, K.J.W.; Anh-Vu, N.; Yun-Je, K.; Masumi, K.; Visvanathan, C. Performance of pilot-scale membrane aerated biofilm reactors integrated with anoxic nano-biotechnological reactor for domestic wastewater treatment. Chemosphere 2023, 319, 137927. [Google Scholar] [CrossRef]
- Li, X.L.; Bao, D.G.; Zhang, Y.Z.; Xu, W.Q.; Zhang, C.; Yang, H.Y.; Ru, Q.J.; Wang, Y.F.; Ma, H.; Zhu, E.R.; et al. Development and application of membrane aerated biofilm reactor (MABR)-A review. Water 2023, 15, 436. [Google Scholar] [CrossRef]
- Bai, Y.; Wang, S.; Zhussupbekova, A.; Shvets, I.V.; Lee, P.H.; Zhan, X.M. High-rate iron sulfide and sulfur-coupled autotrophic denitrification system: Nutrients removal performance and microbial characterization. Water Res. 2023, 231, 119619. [Google Scholar] [CrossRef] [PubMed]
- Zhang, F.; Chen, C.; Zhou, J.R.; Zhu, Q.; Chen, W.J.; Zhang, Q.Z.; Long, M.C.; Chen, C. Synergistically enhancing the remediation of low C/N slightly black-odorous water body using pretreated stalk in-situ loaded with sulfidated nano zero-valent iron. Sep. Purif. Technol. 2024, 351, 127976. [Google Scholar] [CrossRef]
- Zha, Y.Y.; Yu, C.X.; Huang, Y.; Zhu, J.; Zhou, G.M.; He, Y. Effects of sulfur on nitrogen transformation in malodorous rivers with different remediations. Appl. Microbiol. Biotechnol. 2025, 109, 235. [Google Scholar] [CrossRef]
- Li, Y.; Wang, J.; Zhao, Y.; Luan, Z. Research on magnetic seeding flocculation for arsenic removal by superconducting magnetic separation. Sep. Purif. Technol. 2010, 73, 264–270. [Google Scholar] [CrossRef]
- Zhao, Y.; Xi, B.; Li, Y.; Wang, M.; Zhu, Z.; Xia, X.; Zhang, L.-y.; Wang, L.; Luan, Z. Removal of phosphate from wastewater by using open gradient superconducting magnetic separation as pretreatment for high gradient superconducting magnetic separation. Sep. Purif. Technol. 2012, 86, 255–261. [Google Scholar] [CrossRef]
- Dai, M.; Huang, X.; Yang, X.; Dong, W.; Wang, H. A novel Fe/Cu/C micro-electrolytic composite filler for reclaimed water advanced treatment. J. Water Process Eng. 2025, 79, 109003. [Google Scholar] [CrossRef]
- Xu, L.; Su, J.; Liu, S.; Wei, H.; Zhang, P.; Qi, S. Biofilter constructed of iron–carbon, ceramsite and biochar to synchronous removal of nitrate and phosphate: Treatment optimization and analysis of microbial community difference. J. Water Process Eng. 2024, 68, 106309. [Google Scholar] [CrossRef]
- Li, J.; Wang, H.; Li, Z.; Xie, J.; Tsybekmitova, G.T.; Wang, Y. Membrane aeration accelerated nitrifying biofilm formation and optimized spatial niche differentiation in aerobic biofilm-based reactors for enhanced nitrogen removals. Chem. Eng. J. 2025, 506, 160297. [Google Scholar] [CrossRef]
- Shyamala, G.; Ravindran, G.; Karri, R.R.; Kumar, K.R.; Gokulan, R. Microbial ecology in aerobic granular sludge biofilm technology and its impact on treatment efficiency—A critical review. J. Water Process Eng. 2025, 76, 108112. [Google Scholar] [CrossRef]
- Ryu, H.-D.; Kim, J.-S.; Kang, M.-K.; Lee, S.-I. Enhanced nitrification at short hydraulic retention time using a 3-stage biological aerated filter system incorporating an organic polishing reactor. Sep. Purif. Technol. 2014, 136, 199–206. [Google Scholar] [CrossRef]
- Li, J.; Wang, Z.; Wang, Y. Integrating membrane aerated biofilm reactors with biological nitrogen removal processes: A new paradigm for achieving sustainable wastewater treatment plants. Chem. Eng. J. 2023, 475, 146025. [Google Scholar] [CrossRef]
- Qin, S.; Chen, W.; Lin, Y.; Tan, S.; Liang, S.; Liu, H.; Zhang, Q. Effect of hydraulic retention time on the nitrogen removal performance of pure biofilm rotating biological contactor system inoculated with heterotrophic nitrification-aerobic denitrification bacteria and its corresponding mechanism. Bioresour. Technol. 2025, 427, 132428. [Google Scholar] [CrossRef] [PubMed]
- Kong, F.; Fu, Q.; Wang, L.; Ren, H.-Y. Performance optimization and microbial community analysis of integrated anaerobic BES-aerobic MBBR system for azo dye treatment with related wastewater remediation. Chem. Eng. J. 2025, 521, 166589. [Google Scholar] [CrossRef]
- Gupta, A.D.; Jaiswal, V.K.; Chabhadiya, K.; Singh, R.S.; Gupta, M.K.; Singh, H. A critical review on the properties and applications of bulk micro and nanobubbles for the degradation of organic pollutants in wastewater treatment. Sci. Total Environ. 2025, 976, 179310. [Google Scholar] [CrossRef]
- Zhou, Q.; Wu, W.; Wang, J. Unveiling DO impact on electron transfer and S/Fe cycle for advanced N and P removal from actual secondary effluent by pilot-scale two-stage pyrite-based biofilters. J. Water Process Eng. 2025, 78, 108805. [Google Scholar] [CrossRef]
- Guo, K.; Li, D.; Ji, B.; Zhang, Z.; Teng, L.; Li, S.; Zeng, H.; Zhang, J. Potential role of the counter-current mainstream aerated biofilter in the competitive enrichment of copiotrophic ammonia-oxidizing archaea at low air-water ratios. Chem. Eng. J. 2025, 519, 165483. [Google Scholar] [CrossRef]
- Timmer, M.J.; Vaz, M.I.; De Paepe, J.; De Corte, I.J.; Perdigão, M.E.; Straathof, A.J.J.; Van Winckel, T.; Vlaeminck, S.E. Combined membrane aeration and filtration for energy- and space-efficient COD removal in water reuse. Water Res. X 2025, 27, 100344. [Google Scholar] [CrossRef]
- Gao, Y.; Zeng, D.; Liu, C.; Huang, X. Simultaneous nitrogen and phosphorus removal in water supply sludge biofilter: Focus on the impact of backwashing and microbial community analysis. Process Saf. Environ. Prot. 2024, 189, 1323–1332. [Google Scholar] [CrossRef]
- GB 18918–2002; Discharge Standard of Pollutants for Municipal Wastewater Treatment Plants. China Environmental Science Press: Beijing, China, 2002.
- Asdiou, N.; Alaoui, S.B.; Elamraoui, S.; Elkaim billah, R.; Lamy, E.; Benhida, R.; Achak, M. Evaluation of the efficiency of multilayer biofilters for organic pollutants and nutrient removal from raw, diluted, and pretreated olive mill wastewater. J. Water Process Eng. 2025, 77, 108456. [Google Scholar] [CrossRef]
- Gilmore, K.R.; Husovitz, K.J.; Holst, T.; Love, N.G. Influence of organic and ammonia loading on nitrifier activity and nitrification performance for a two-stage biological aerated filter system. Water Sci. Technol. 1999, 39, 227–234. [Google Scholar] [CrossRef]
- Zhang, J.-F.; Lai, C.-Y.; Cao, X.-X.; Hartmann, E.M.; Zhao, H.-P. High ammonia loading rate and biofilm reattachment initiated partial nitrification and anammox in a membrane aerated biofilm reactor. J. Water Process Eng. 2024, 58, 104829. [Google Scholar] [CrossRef]













| Components | CODCr | NH4+-N | SS | pH |
|---|---|---|---|---|
| Concentration (mg/L) | 140–200 | 30–40 | 150–200 | 6.5–7.5 |
Disclaimer/Publisher’s Note: The statements, opinions and data contained in all publications are solely those of the individual author(s) and contributor(s) and not of MDPI and/or the editor(s). MDPI and/or the editor(s) disclaim responsibility for any injury to people or property resulting from any ideas, methods, instructions or products referred to in the content. |
© 2026 by the authors. Licensee MDPI, Basel, Switzerland. This article is an open access article distributed under the terms and conditions of the Creative Commons Attribution (CC BY) license.
Share and Cite
Kuang, P.; Jiao, H.; Sun, Y.; Peng, J.; Zhang, X. Coagulation Coupled with the Contact Oxidation Biofilter Process for Malodorous Blackwater Treatment. Water 2026, 18, 245. https://doi.org/10.3390/w18020245
Kuang P, Jiao H, Sun Y, Peng J, Zhang X. Coagulation Coupled with the Contact Oxidation Biofilter Process for Malodorous Blackwater Treatment. Water. 2026; 18(2):245. https://doi.org/10.3390/w18020245
Chicago/Turabian StyleKuang, Ping, Hengheng Jiao, Yingxue Sun, Juan Peng, and Xiaolei Zhang. 2026. "Coagulation Coupled with the Contact Oxidation Biofilter Process for Malodorous Blackwater Treatment" Water 18, no. 2: 245. https://doi.org/10.3390/w18020245
APA StyleKuang, P., Jiao, H., Sun, Y., Peng, J., & Zhang, X. (2026). Coagulation Coupled with the Contact Oxidation Biofilter Process for Malodorous Blackwater Treatment. Water, 18(2), 245. https://doi.org/10.3390/w18020245

