Study of Seepage Laws of Deep Rock Mass Under Different Water Temperatures Based on Porous Media
Abstract
1. Introduction
2. Methods
2.1. Sample Preparation
2.2. Experimental Apparatus
2.3. Selection of Calculation Formula of Hydraulic Conductivity
2.4. Model Establishment
3. Results of Laboratory Experiment
3.1. Experimental Results of Rock Samples with Porous Media
3.2. Experimental Results of Rock Samples with Fractured Media
3.3. Results Analysis
- The difference between the porosity of rock samples at 30 °C and 80 °C was between 1–6% (Table 1), which indicates that the internal porosity of rock samples is good within the normal range. Compared with the artificial rock samples, the porosity of field rock samples was correspondingly much smaller. Due to the buried depth of nearly 1000 m, the sandstones in the original samples were subjected to greater confining pressure, generally dozens of MPa, the deposition activity was long, and the internal pores of the rock were compacted to a high degree.
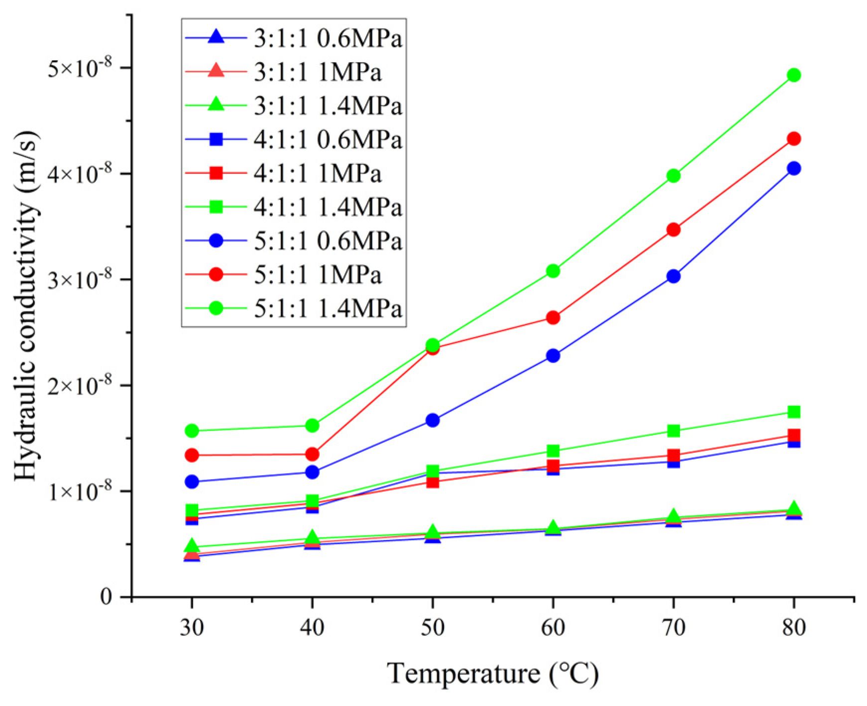
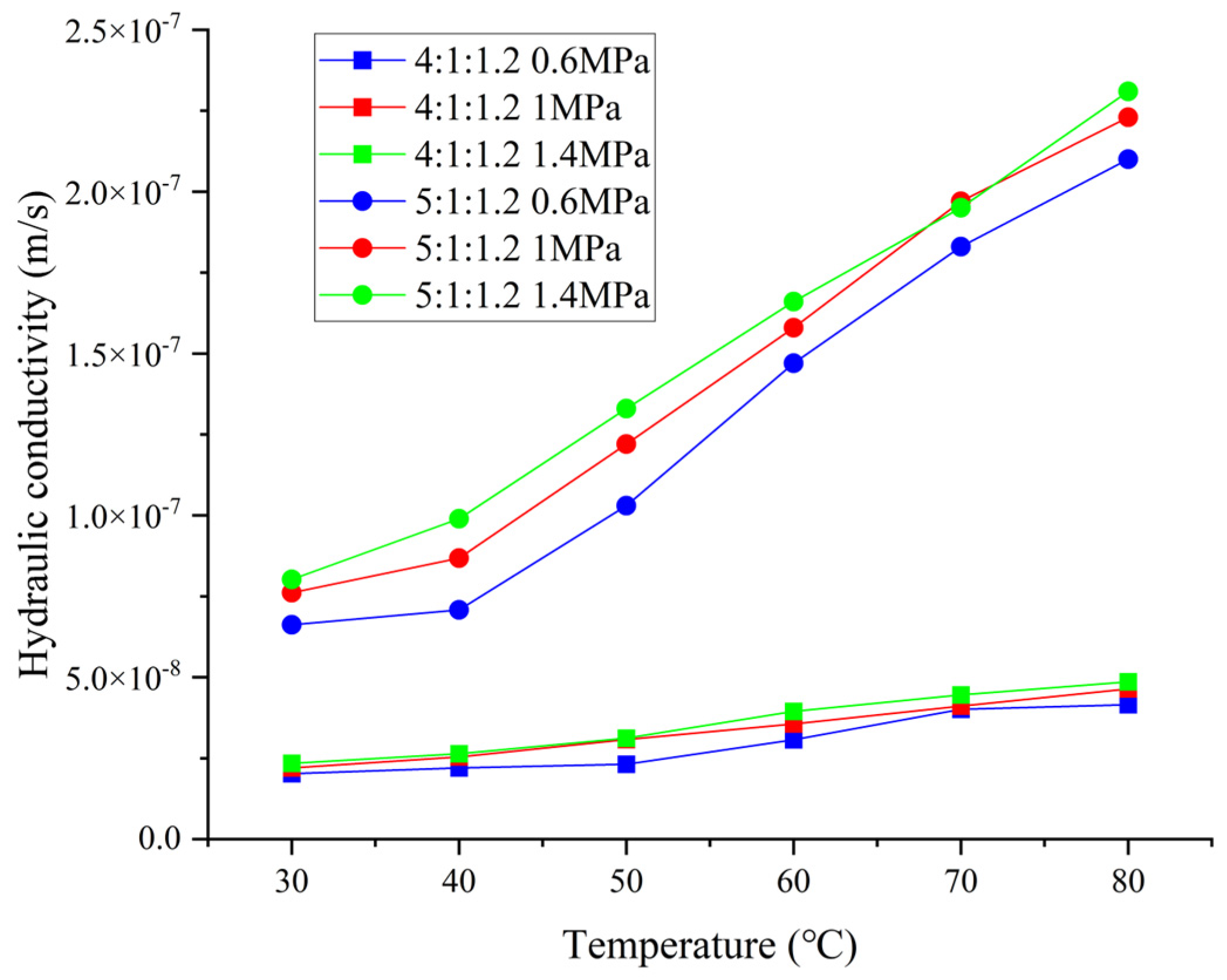
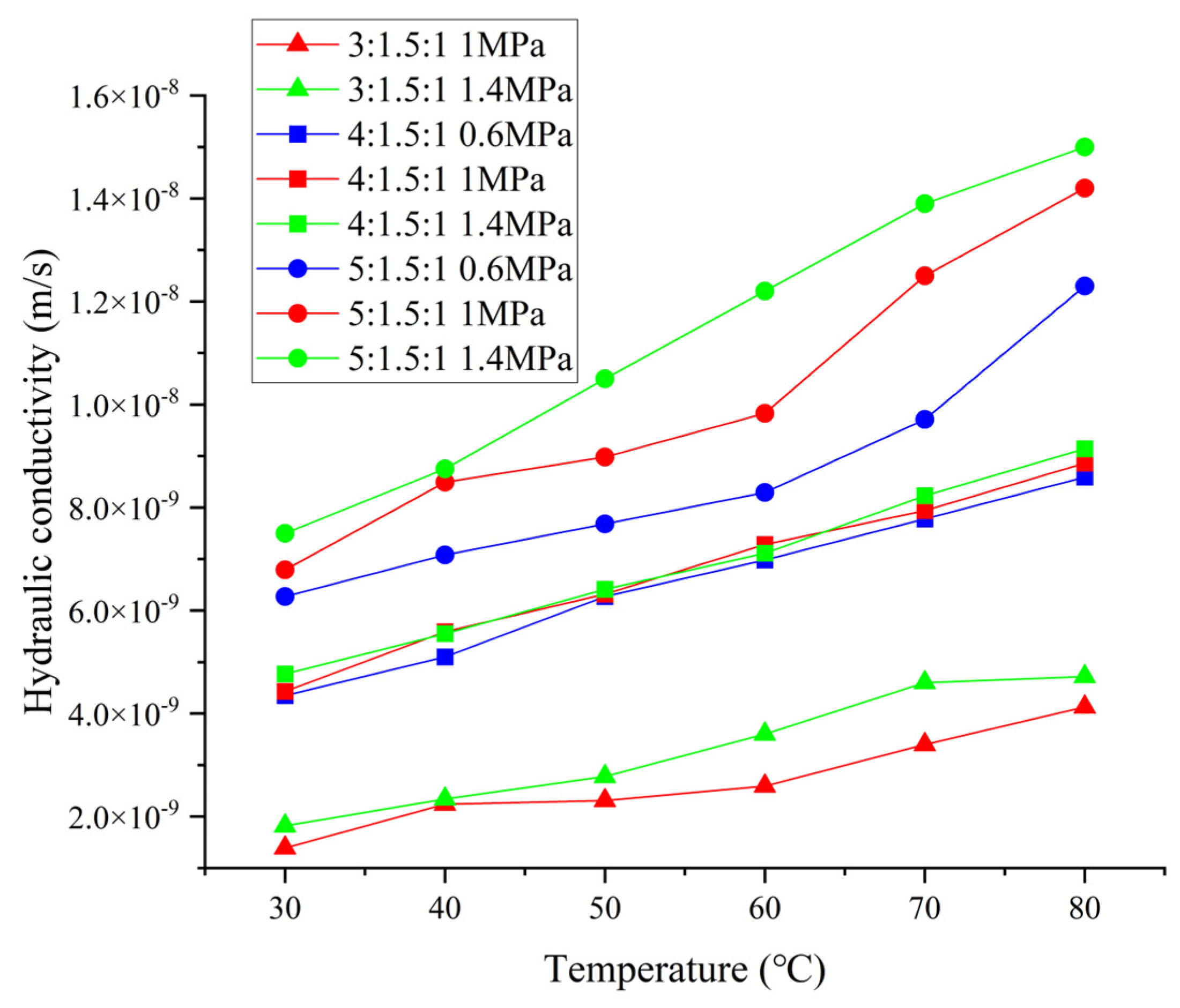
- The overall hydraulic conductivity of rock samples with different ratios increases with an increase in temperature. The growth rate was different in different temperature ranges, and there was a significant increase in the range of 40–50 °C (Figure 5, Figure 6 and Figure 7). Considering that the rock properties changed little at low temperatures, the obvious increase of hydraulic conductivity should have been caused by the change of some parameters of water with the change in water temperature.
- In the temperature range set in this experiment, the hydraulic conductivity at the highest temperature was significantly different from that at the lowest temperature, and the variation range was 2–3 times. Moreover, there was also a correlation between hydraulic conductivity and inlet pressures provided by the pressure pump, which generally shows that the permeability under higher pressure conditions is stronger than that under lower pressure conditions (Figure 5, Figure 6 and Figure 7). It is considered that due to the increase in pressure, the penetration rate of the water was accelerated, and strong water pressure may have affected the seepage mechanism in the rock samples, thus widening the water channel; however, the influence of water inlet pressures was relatively small.
- According to the experimental design, the rock samples with different water–cement ratios were tested, and the expected effect was achieved. By comparing the three groups of rock samples (Figure 8) with the first group of rock samples, the water content in the water–cement ratio increased in the second group of rock samples. Relatively more cement participated in cementation, which was favorable for the formation of water channels, and the hydraulic conductivity was increased on the whole. Compared with the first group, due to the increase in cement content in the water–cement ratio, the cementation degree of the third group of samples was increased, the internal density degree was higher, and the overall hydraulic conductivity was decreased.
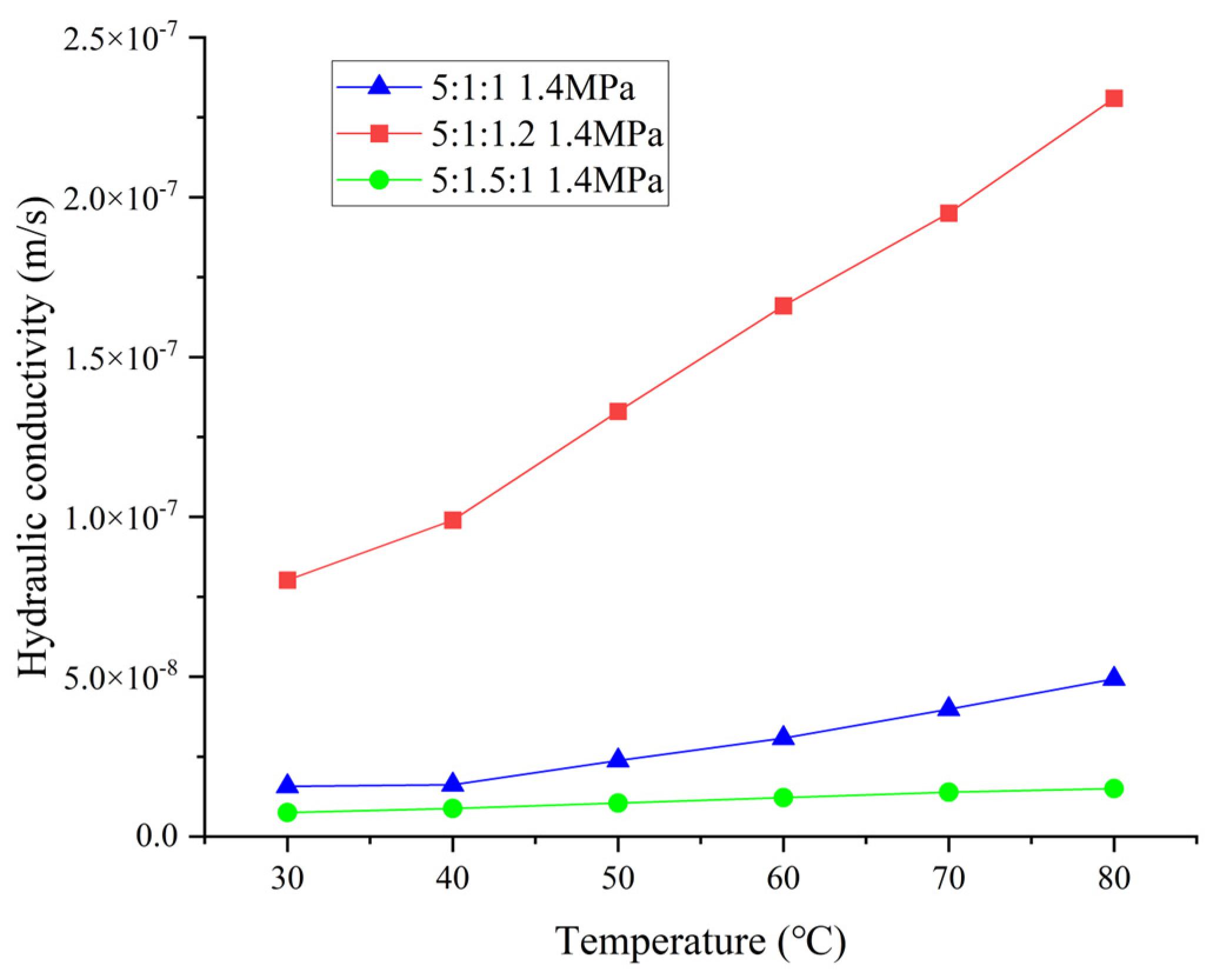
- When the artificial fracture factor is added to the supplementary rock samples, the seepage form inside the rock samples will change, but the regularity of the final results was the same as the previous three groups of rock samples, which all show that the hydraulic conductivity increases with the increase in temperature. It can be considered that the influence of temperature on the permeability of rock samples is independent of the way of fluid penetration. By comparing the hydraulic conductivity of rock samples with different fracture lengths, when the fracture L = 10 cm of the rock sample, the tested hydraulic conductivity was larger than that of the rock sample with L = 5 cm, and when the fracture L = 5 cm, the hydraulic conductivity was larger than that of the conventional rock sample (Figure 9), indicating that the lengthening of the fracture extends the flow channel of seepage in the fracture. Moreover, it is easier to flow in fractures than in pores, so the permeability capacity of the rock samples becomes stronger with the growth of fractures.
4. Results of Numerical Simulation
4.1. Calculation Results
4.2. Calculation Results Analysis
- The hydraulic conductivity increases with the temperature. In the simulation process, it was found that the change in inlet pressures had no effect on the hydraulic conductivity, which was found in the laboratory experiment (Figure 5, Figure 6 and Figure 7). In the laboratory experiment, the change in inlet pressures caused little variation in the hydraulic conductivity. It may be that the increase of water pressure in the laboratory experiment widened the water channel of the rock samples, but the porosity did not change with the change of inlet pressures in the numerical simulation, so this change cannot be reflected in the numerical simulation.
- Darcy seepage velocity increases with the temperature and also with the inlet pressures (Figure 10). It is well understood that both temperature and pressure contribute to hydrodynamic strengthening. However, the increase in inlet pressure causes the increase in Darcy’s seepage velocity but does not change the hydraulic conductivity, which is related to the boundary conditions set in this simulation. When the outlet pressure is 0, the hydraulic slope will increase with the increase in inlet pressure. According to Equation (2), the increase in hydraulic slope will cause an increase in seepage velocity. However, the seepage velocity will increase with the increase of water temperature. When the inlet pressure is unchanged, its hydraulic gradient is unchanged, and the reason for the seepage velocity increasing is the increase in its hydraulic conductivity. Therefore, the hydraulic conductivity and Darcy’s seepage velocity show the same trend as the water temperature. To sum up, the hydraulic conductivity depends on the physical properties of the rock itself and the parameters related to the water temperature, while the seepage velocity has more hydraulic slope influence than the hydraulic conductivity, so the two may not necessarily change simultaneously.
- Under different inlet pressures, the time required to reach the same temperature for the monitoring point is different (Figure 10), and the increase in inlet pressure will cause an acceleration of Darcy’s percolation velocity, so it is likely that water flow acts as the carrier of heat. The faster the seepage rate, the shorter the time required for heat to reach the monitoring point from the inlet, and therefore, the faster the heating rate, until finally, it reaches the same temperature as the external heating temperature and water temperature. Chai [29] studied the influence of seepage field on the temperature of concrete dams with porous media and obtained the basic equation as follows:
5. Discussion
5.1. Analysis of Influencing Hydraulic Conductivity of Rock Samples with Different Ratios
5.2. The Relationship Between Temperature and Hydraulic Conductivity
5.3. Influence of Temperature on Mine Water Inflow
6. Conclusions
- In the temperature range of 30~80 °C, it was found that the hydraulic conductivity of similar-material rock samples showed an increasing trend with the temperature, which was also correlated with the different ratios of the materials. Overall, an increase in water–sand content and a decrease in cement content lead to an increase in hydraulic conductivity. At the same time, the fractured rock samples with the same ratio have stronger permeability than the rock sample without fractures.
- The coupling numerical model of the seepage field and temperature field found that the seepage velocity and hydraulic conductivity have a certain synchronization with the change in temperature, but there is a hydraulic slope in the influencing factors of seepage velocity.
- The relationship between temperature and hydraulic conductivity is discussed. The kinematic viscosity decreases with the increase in temperature, which is conducive to the flow of fluid in rocks. Further calculations proved that higher temperature water leads to higher hydraulic conductivity and ultimately increases the mine water inflow, proving that temperature is an important factor in the increase of water inrush in deep coal mining.
Author Contributions
Funding
Data Availability Statement
Acknowledgments
Conflicts of Interest
References
- Li, Q.; Li, Q.C.; Wang, F.L.; Wu, J.J.; Wang, Y.L. The Carrying Behavior of Water-Based Fracturing Fluid in Shale Reservoir Fractures and Molecular Dynamics of Sand-Carrying Mechanism. Processes 2024, 12, 2051. [Google Scholar] [CrossRef]
- Li, Q.C.; Li, Q.; Han, Y. A Numerical Investigation on Kick Control with the Displacement Kill Method during a Well Test in a Deep-Water Gas Reservoir: A Case Study. Processes 2024, 12, 2090. [Google Scholar] [CrossRef]
- He, M.C.; Xie, H.P.; Peng, S.P. Study on rock mechanics in deep mining engineering. Chin. J. Rock Mech. Eng. 2005, 2803–2813. [Google Scholar]
- Zhang, Z.; Zhang, Q.; Duan, K.; Zhang, R.; Lin, H.; Xiang, W. A fully coupled hydraulic-mechanical model of deep tunnel considering permeability variation. Comput. Geotech. 2022, 151, 104984. [Google Scholar] [CrossRef]
- Song, Z.; Zhang, J. Progressive failure mechanical behaviour and response characteristics of sandstone under stress-seepage coupling. J. Geophys. Eng. 2021, 18, 200–218. [Google Scholar] [CrossRef]
- Yang, T.H.; Jia, P.; Shi, W.H.; Wang, P.T.; Liu, H.L.; Yu, Q.L. Seepage–stress coupled analysis on anisotropic characteristics of the fractured rock mass around roadway. Tunn. Undergr. Space Technol. 2014, 43, 11–19. [Google Scholar] [CrossRef]
- Zhang, J.-w.; Song, Z.-x.; Wang, S.-y. Mechanical behavior of deep sandstone under high stress-seepage coupling. J. Cent. South Univ. 2021, 28, 3190–3206. [Google Scholar] [CrossRef]
- Frank, S.; Heinze, T.; Pollak, S.; Wohnlich, S. Transient heat transfer processes in a single rock fracture at high flow rates. Geothermics 2021, 89, 101989. [Google Scholar] [CrossRef]
- Liu, X.; Zeng, Y.; Wu, Q.; Meng, S.; Liang, J.; Hou, Z. Ecological-Based Mining: A Coal–Water–Thermal Collaborative Paradigm in Ecologically Fragile Areas in Western China. Engineering 2024, 38, 209–222. [Google Scholar] [CrossRef]
- Luo, S.; Zhao, Z.; Peng, H.; Pu, H. The role of fracture surface roughness in macroscopic fluid flow and heat transfer in fractured rocks. Int. J. Rock Mech. Min. Sci. 2016, 87, 29–38. [Google Scholar] [CrossRef]
- Ji, Z.; Tian, H.; Yang, Z.; Liu, T.; Bandara, S.; Sundhararajan, M.; Gao, X.-Z.; Vahdat Nejad, H. Mechanism of water inrush from coal seam floor based on coupling mechanism of seepage and stress. J. Intell. Fuzzy Syst. 2018, 34, 965–974. [Google Scholar] [CrossRef]
- Pan, Y.; Wang, H.; Liu, Q. Coupled Hydraulic-Thermal Modelling and Related Numerical Analysis on Rock Fractures. Geofluids 2020, 2020, 8830862. [Google Scholar] [CrossRef]
- Yan, C.; Xie, X.; Ren, Y.; Ke, W.; Wang, G. A FDEM-based 2D coupled thermal-hydro-mechanical model for multiphysical simulation of rock fracturing. Int. J. Rock Mech. Min. Sci. 2022, 149, 104964. [Google Scholar] [CrossRef]
- Ji, Y.; Xu, H.; Zhang, J.; Guo, L. Analytical modeling on the geo-stress and casing damage prevention with the thermo-hydro-mechanical (THM) coupling of multi-field physics. J. Therm. Anal. Calorim. 2019, 139, 2719–2737. [Google Scholar] [CrossRef]
- Luo, J.; Zhu, Y.; Guo, Q.; Tan, L.; Zhuang, Y.; Liu, M.; Zhang, C.; Xiang, W.; Rohn, J. Experimental investigation of the hydraulic and heat-transfer properties of artificially fractured granite. Sci. Rep. 2017, 7, 39882. [Google Scholar] [CrossRef]
- Shi, Z.; Yao, Q.; Wang, W.; Su, F.; Li, X.; Zhu, L.; Wu, C. Size Effects of Rough Fracture Seepage in Rocks of Different Scales. Water 2023, 15, 1912. [Google Scholar] [CrossRef]
- Wang, W.; Faybishenko, B.; Jiang, T.; Dong, J.; Li, Y. Seepage Characteristics of a Single Ascending Relief Well Dewatering an Overlying Aquifer. Water 2020, 12, 919. [Google Scholar] [CrossRef]
- Liu, G.; Zhao, Z.; Chen, Y.; Ma, F.; Wang, G. Comparison between typical numerical models for fluid flow and heat transfer through single rock fractures. Comput. Geotech. 2021, 138, 104341. [Google Scholar] [CrossRef]
- Min, K.-B.; Rutqvist, J.; Tsang, C.-F.; Jing, L. Thermally induced mechanical and permeability changes around a nuclear waste repository—A far-field study based on equivalent properties determined by a discrete approach. Int. J. Rock Mech. Min. Sci. 2005, 42, 765–780. [Google Scholar] [CrossRef]
- Chen, L.; Li, J.; Zhang, Y.; Han, F.; Ji, C.; Zhang, J. Study on coupled heat transfer and seepage in large sparsely fractured surrounding rocks in deep underground spaces. Appl. Therm. Eng. 2019, 162, 114277. [Google Scholar] [CrossRef]
- Li, Z.; Zhou, Z. Numerical Simulation of Rock Fracture and Permeability Characteristics under Stress–Seepage–Damage Coupling Action. Int. J. Geomech. 2023, 23, 04022257. [Google Scholar] [CrossRef]
- Li, Z.-h.; Feng, G.-r.; Zhai, C.-z. Study on “triangle” water-inrush mode of strong water-guide collapse column. J. Cent. South Univ. 2016, 23, 2402–2409. [Google Scholar] [CrossRef]
- Teng, T.; Li, Z.; Wang, Y.; Liu, K.; Jia, W. Experimental and Numerical Validation of an Effective Stress-Sensitive Permeability Model Under Hydromechanical Interactions. Transp. Porous Media 2024, 151, 449–467. [Google Scholar] [CrossRef]
- Khlapuk, M.M.; Klimov, S.V.; Bezusiak, O.V.; Shumlyanskyi, A.O. Experimental study of the effect of hydraulic gradient on soil hydraulic conductivity. IOP Conf. Ser. Earth Environ. Sci. 2024, 1415, 012090. [Google Scholar] [CrossRef]
- Güneri, E.; Yukselen-Aksoy, Y. Volume Deformation and Hydraulic Conductivity Behavior of Sand-Bentonite Mixtures with Fiberglass Additives under High Temperatures. J. Mater. Civ. Eng. 2024, 36, 04024021. [Google Scholar] [CrossRef]
- Zeng, Y.; Mei, A.; Wu, Q.; Meng, S.; Zhao, D.; Hua, Z. Double verification and quantitative traceability: A solution for mixed mine water sources. J. Hydrol. 2024, 630, 130725. [Google Scholar] [CrossRef]
- Shu, B.; Zhu, R.; Tan, J.; Zhang, S.; Liang, M. Evolution of permeability in a single granite fracture at high temperature. Fuel 2019, 242, 12–22. [Google Scholar] [CrossRef]
- Gray, W.G.; Miller, C.T. Examination of Darcy’s Law for Flow in Porous Media with Variable Porosity. Environ. Sci. Technol. 2004, 38, 5895–5901. [Google Scholar] [CrossRef]
- Chai, J. Analysis of coupled seepage and temperature fields in concrete dam. Commun. Numer. Methods Eng. 2002, 18, 399–409. [Google Scholar] [CrossRef]
- Ahmad, S.; Azad, A.K. An exploratory study on correlating the permeability of concrete with its porosity and tortuosity. Adv. Cem. Res. 2013, 25, 288–294. [Google Scholar] [CrossRef]
- Graczyk, K.M.; Strzelczyk, D.; Matyka, M. Deep learning for diffusion in porous media. Sci. Rep. 2023, 13, 9769. [Google Scholar] [CrossRef] [PubMed]
- Kimura, M. Prediction of tortuosity, permeability, and pore radius of water-saturated unconsolidated glass beads and sands. J. Acoust. Soc. Am. 2018, 143, 3154–3168. [Google Scholar] [CrossRef]
- Cardoso, R. Porosity and tortuosity influence on geophysical properties of an artificially cemented sand. Eng. Geol. 2016, 211, 198–207. [Google Scholar] [CrossRef]
- Sun, Q.; Zhang, W.; Su, T.; Zhu, S. Variation of Wave Velocity and Porosity of Sandstone after High Temperature Heating. Acta Geophys. 2016, 64, 633–648. [Google Scholar] [CrossRef]
- Zhang, Y.; Sun, Q.; He, H.; Cao, L.; Zhang, W.; Wang, B. Pore characteristics and mechanical properties of sandstone under the influence of temperature. Appl. Therm. Eng. 2017, 113, 537–543. [Google Scholar] [CrossRef]
- Fan, M.; Dalton, L.E.; McClure, J.; Ripepi, N.; Westman, E.; Crandall, D.; Chen, C. Comprehensive study of the interactions between the critical dimensionless numbers associated with multiphase flow in 3D porous media. Fuel 2019, 252, 522–533. [Google Scholar] [CrossRef]
- Xiong, F.; Sun, W.; Ba, J.; Carcione, J.M. Effects of Fluid Rheology and Pore Connectivity on Rock Permeability Based on a Network Model. J. Geophys. Res. Solid Earth 2020, 125, e2019JB018857. [Google Scholar] [CrossRef]
- Seeton, C.J. Viscosity–temperature correlation for liquids. Tribol. Lett. 2006, 22, 67–78. [Google Scholar] [CrossRef]
- Balogun, Y.; Iyi, D.; Faisal, N.; Oyeneyin, B.; Oluyemi, G.; Mahon, R. Experimental investigation of the effect of temperature on two-phase oil-water relative permeability. J. Pet. Sci. Eng. 2021, 203, 108645. [Google Scholar] [CrossRef]
- Li, H.; Pan, C.; Miller, C.T. Pore-scale investigation of viscous coupling effects for two-phase flow in porous media. Phys. Rev. E 2005, 72, 026705. [Google Scholar] [CrossRef] [PubMed]
- Yu, C.Z. Introduction to Environmental Fluid Mechanics; Tsinghua University Press: Beijing, China, 1992. [Google Scholar]














| Scheme 30 | Ratio (Sand:Cement:Water) /Rock Numbering | Simulated Rock/Lithology | Wave Velocity | Porosity (30 °C) | Porosity (80 °C) |
|---|---|---|---|---|---|
| Artificial rock samples | 3:1:1 | Fine sandstone | 2045.62 | 26.53% | 28.57% |
| 4:1:1 | Fine sandstone | 1966.48 | 28.50% | 29.73% | |
| 5:1:1 | Fine sandstone | 1403.34 | 30.68% | 31.55% | |
| 3:1.5:1 | Fine sandstone | 2428.17 | 20.92% | 22.68% | |
| 4:1.5:1 | Fine sandstone | 2288.59 | 21.58% | 24.01% | |
| 5:1.5:1 | Fine sandstone | 2259.01 | 22.75% | 28.53% | |
| Field rock samples | 1 | Fine sandstone | 2747.37 | 0.40% | 0.44% |
| 2 | Fine sandstone | 2953.06 | 1.01% | 1.52% | |
| 3 | Fine sandstone | 2451.75 | 6.55% | 8.05% | |
| 4 | Fine sandstone | 2513.46 | Disintegration | Disintegration |
| Attributes | Specific Heat () | Density () | Permeability () | Coefficient of Heat Conduction () | Porosity (%) | Dynamic Viscosity () |
|---|---|---|---|---|---|---|
| Rock | 2190 | 2700 | 5 × 10−10 | 3.1 | 15 | - |
| Water | 4190 | - | 0.6 | - |
| Water Inflow (m3/h) | 30 °C | 80 °C | Amplitude |
|---|---|---|---|
| No. 3 coal seam top and bottom sandstone water inflow | 174.2 | 296.4 | 170.1% |
| No. 3 limestone water inflow | 166.0 | 345.1 | 207.9% |
| Mine water inflow | 340.3 | 641.4 | 188.5% |
Disclaimer/Publisher’s Note: The statements, opinions and data contained in all publications are solely those of the individual author(s) and contributor(s) and not of MDPI and/or the editor(s). MDPI and/or the editor(s) disclaim responsibility for any injury to people or property resulting from any ideas, methods, instructions or products referred to in the content. |
© 2025 by the authors. Licensee MDPI, Basel, Switzerland. This article is an open access article distributed under the terms and conditions of the Creative Commons Attribution (CC BY) license (https://creativecommons.org/licenses/by/4.0/).
Share and Cite
Qiu, H.; Zhu, S.; Fang, H.; Lu, X. Study of Seepage Laws of Deep Rock Mass Under Different Water Temperatures Based on Porous Media. Water 2025, 17, 357. https://doi.org/10.3390/w17030357
Qiu H, Zhu S, Fang H, Lu X. Study of Seepage Laws of Deep Rock Mass Under Different Water Temperatures Based on Porous Media. Water. 2025; 17(3):357. https://doi.org/10.3390/w17030357
Chicago/Turabian StyleQiu, Heming, Shuyun Zhu, Han Fang, and Xiangcheng Lu. 2025. "Study of Seepage Laws of Deep Rock Mass Under Different Water Temperatures Based on Porous Media" Water 17, no. 3: 357. https://doi.org/10.3390/w17030357
APA StyleQiu, H., Zhu, S., Fang, H., & Lu, X. (2025). Study of Seepage Laws of Deep Rock Mass Under Different Water Temperatures Based on Porous Media. Water, 17(3), 357. https://doi.org/10.3390/w17030357

