An Efficient Photocatalytic Material, rGO-TiO2, That Can Be Industrially Produced: Fabrication and Structural Characterization
Abstract
1. Introduction
2. Experimental Section
2.1. Materials
2.2. Sample Preparation
2.3. Characterization
2.4. Evaluation of Photocatalytic Performance
3. Results and Discussion
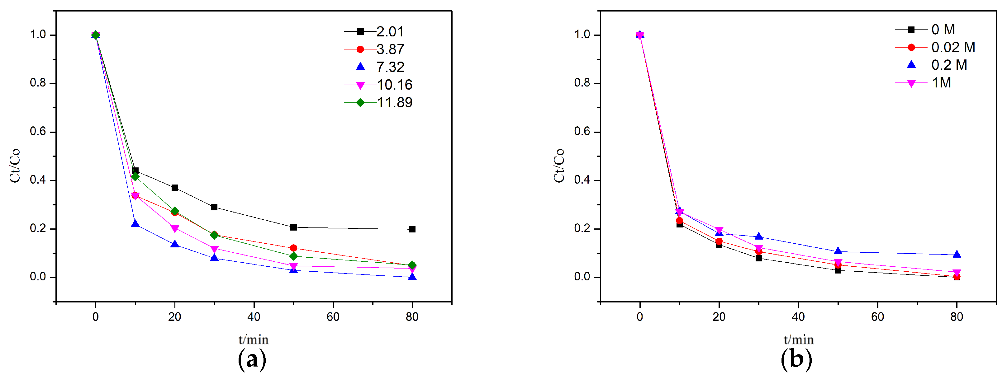
3.1. Photocatalytic Activity
3.2. Characterization Results
4. Conclusions
Supplementary Materials
Author Contributions
Funding
Data Availability Statement
Acknowledgments
Conflicts of Interest
References
- Kumari, H.; Sonia; Suman; Ranga, R.; Chahal, S.; Devi, S.; Sharma, S.; Kumar, S.; Kumar, P.; Kumar, S.; et al. A Review on Photocatalysis Used For Wastewater Treatment: Dye Degradation. Water Air Soil Pollut. 2023, 234, 349. [Google Scholar] [CrossRef]
- Dey, S.; Manna, K.; Pradhan, P.; Sarkar, A.N.; Roy, A.; Pal, S. Review of Polymeric Nanocomposites for Photocatalytic Wastewater Treatment. ACS Appl. Nano Mater. 2024, 7, 4588–4614. [Google Scholar] [CrossRef]
- Khan, S.; Noor, T.; Iqbal, N.; Yaqoob, L. Photocatalytic Dye Degradation from Textile Wastewater: A Review. ACS Omega 2024, 9, 21751–21767. [Google Scholar] [CrossRef]
- Guo, Q.; Zhou, C.Y.; Ma, Z.B.; Ren, Z.F.; Fan, H.J.; Yang, X.M. Elementary photocatalytic chemistry on TiO2 surfaces. Chem. Soc. Rev. 2016, 45, 3701–3730. [Google Scholar] [CrossRef] [PubMed]
- Liang, Z.; Hou, H.; Fang, Z.; Gao, F.; Wang, L.; Chen, D.; Yang, W. Hydrogenated TiO2 Nanorod Arrays Decorated with Carbon Quantum Dots toward Efficient Photoelectrochemical Water Splitting. Acs Appl. Mater. Interfaces 2019, 11, 19167–19175. [Google Scholar] [CrossRef]
- Liu, R.; Li, H.; Duan, L.; Shen, H.; Zhang, Q.; Zhao, X. Influences of annealing atmosphere on phase transition temperature, optical properties and photocatalytic activities of TiO2 phase-junction microspheres. J. Alloys Compd. 2019, 789, 1015–1021. [Google Scholar] [CrossRef]
- Mittal, A.; Mari, B.; Sharma, S.; Kumari, V.; Maken, S.; Kumari, K.; Kumar, N. Non-metal modified TiO2: A step towards visible light photocatalysis. J. Mater. Sci. Mater. Electron. 2019, 30, 3186–3207. [Google Scholar] [CrossRef]
- Khlyustova, A.; Sirotkin, N.; Kusova, T.; Kraev, A.; Titov, V.; Agafonov, A. Doped TiO2: The effect of doping elements on photocatalytic activity. Mater. Adv. 2020, 1, 1193–1201. [Google Scholar] [CrossRef]
- Balapure, A.; Ray Dutta, J.; Ganesan, R. Recent advances in semiconductor heterojunctions: A detailed review of the fundamentals of photocatalysis, charge transfer mechanism and materials. RSC Appl. Interfaces 2024, 1, 43–69. [Google Scholar] [CrossRef]
- Jia, S.; Shu, X.; Song, H.; An, Z.; Xiang, X.; Zhang, J.; Zhu, Y.; He, J. Insights into Photocatalytic Selective Dehydrogenation of Ethanol over Au/Anatase–Rutile TiO2. Ind. Eng. Chem. Res. 2021, 60, 12282–12291. [Google Scholar] [CrossRef]
- Yu, L.; Tang, B. Photocatalytic Degradation of Phenolic Compounds from Wastewater Using Titanium dioxide@reduced Graphene Oxide (TiO2@rGO) Nanocomposites. Int. J. Electrochem. Sci. 2021, 16, 210915. [Google Scholar] [CrossRef]
- Du, X.; Luo, J.P.; Qin, Q.S.; Zhang, J.H.; Fu, D. Modified TiO2-rGO Binary Photo-Degradation Nanomaterials: Modification, Mechanism, and Perspective. Catal. Surv. Asia 2022, 26, 16–34. [Google Scholar] [CrossRef]
- Chen, X.B.; Liu, L.; Yu, P.Y.; Mao, S.S. Increasing Solar Absorption for Photocatalysis with Black Hydrogenated Titanium Dioxide Nanocrystals. Science 2011, 331, 746–750. [Google Scholar] [CrossRef]
- Katal, R.; Salehi, M.; Davood Abadi Farahani, M.H.; Masudy-Panah, S.; Ong, S.L.; Hu, J. Preparation of a New Type of Black TiO2 under a Vacuum Atmosphere for Sunlight Photocatalysis. Acs Appl. Mater. Interfaces 2018, 10, 35316–35326. [Google Scholar] [CrossRef]
- Wu, L.; Fu, C.; Huang, W. Surface chemistry of TiO2 connecting thermal catalysis and photocatalysis. Phys. Chem. Chem. Phys. 2020, 22, 9875–9909. [Google Scholar] [CrossRef]
- Williams, G.; Seger, B.; Kamat, P.V. TiO2-graphene nanocomposites.: UV-assisted photocatalytic reduction of graphene oxide. ACS Nano 2008, 2, 1487–1491. [Google Scholar] [CrossRef] [PubMed]
- Chen, C.; Cai, W.M.; Long, M.C.; Zhou, B.X.; Wu, Y.H.; Wu, D.Y.; Feng, Y.J. Synthesis of Visible-Light Responsive Graphene Oxide/TiO2 Composites with p/n Heterojunction. ACS Nano 2010, 4, 6425–6432. [Google Scholar] [CrossRef] [PubMed]
- Zhu, C.Z.; Guo, S.J.; Wang, P.; Xing, L.; Fang, Y.X.; Zhai, Y.M.; Dong, S.J. One-pot, water-phase approach to high-quality graphene/TiO2 composite nanosheets. Chem. Commun. 2010, 46, 7148–7150. [Google Scholar] [CrossRef] [PubMed]
- Han, L.; Wang, P.; Dong, S.J. Progress in graphene-based photoactive nanocomposites as a promising class of photocatalyst. Nanoscale 2012, 4, 5814–5825. [Google Scholar] [CrossRef]
- Pan, X.; Zhao, Y.; Liu, S.; Korzeniewski, C.L.; Wang, S.; Fan, Z. Comparing Graphene-TiO2 Nanowire and Graphene-TiO2 Nanoparticle Composite Photocatalysts. Acs Appl. Mater. Interfaces 2012, 4, 3944–3950. [Google Scholar] [CrossRef] [PubMed]
- Hu, G.; Yang, J.; Zhao, D.; Chen, Y.; Cao, Y. Research on Photocatalytic Properties of TiO2-Graphene Composites with Different Morphologies. J. Mater. Eng. Perform. 2017, 26, 3263–3270. [Google Scholar] [CrossRef]
- Wu, H.; Gao, X.; Fang, J.; Liu, Q.; He, P. Preparation and photocatalytic degradation decoloring of TiO2 /reduced graphene oxide composites. J. Text. Res. 2018, 39, 78–83. [Google Scholar]
- Wang, R.; Shi, K.; Huang, D.; Zhang, J.; An, S. Synthesis and degradation kinetics of TiO2/GO composites with highly efficient activity for adsorption and photocatalytic degradation of MB. Sci. Rep. 2019, 9, 18744–18752. [Google Scholar] [CrossRef]
- Cano, F.J.; Reyes-Vallejo, O.; Ashok, A.; Olvera, M.D.; Velumani, S.; Kassiba, A. Mechanisms of dyes adsorption on titanium oxide- graphene oxide nanocomposites. Ceram. Int. 2023, 49, 21185–21205. [Google Scholar] [CrossRef]
- Joy, J.; Krishnamoorthy, A.; Tanna, A.; Kamathe, V.; Nagar, R.; Srinivasan, S. Recent Developments on the Synthesis of Nanocomposite Materials via Ball Milling Approach for Energy Storage Applications. Appl. Sci. 2022, 12, 9312. [Google Scholar] [CrossRef]
- Huang, L.; Liu, T.; Zhang, H.; Guo, W.; Zeng, W. Hydrothermal synthesis of different TiO2 nanostructures: Structure, growth and gas sensor properties. J. Mater. Sci. Mater. Electron. 2012, 23, 2024–2029. [Google Scholar] [CrossRef]
- Jiang, J.; Mu, L.H.; Qiang, Y.; Yang, Y.Z.; Wang, Z.K.; Yi, R.B.; Qiu, Y.W.; Chen, L.; Yan, L.; Fang, H.P. Unexpected Selective Absorption of Lithium in Thermally Reduced Graphene Oxide Membranes. Chin. Phys. Lett. 2021, 38, 116802. [Google Scholar] [CrossRef]
- Jiang, J.; Yan, L.; Fang, H.P. Effect of Oxide Content of Graphene Oxide Membrane on Remarkable Adsorption for Calcium Ions. Chin. Phys. Lett. 2021, 38, 106801. [Google Scholar] [CrossRef]
- Zhou, G.; Shen, L.; Xing, Z.; Kou, X.; Duan, S.; Fan, L.; Meng, H.; Xu, Q.; Zhang, X.; Li, L.; et al. Ti3+ self-doped mesoporous black TiO2/graphene assemblies for unpredicted-high solar-driven photocatalytic hydrogen evolution. J. Colloid Interface Sci. 2017, 505, 1031–1038. [Google Scholar] [CrossRef] [PubMed]
- Zhang, Z.; Yan, H.; Xu, B.; Weng, S.; Wang, S.; Tan, S.; Xie, Z.; Fang, F. FeCoNiMn/Ti electrode prepared by magnetron sputtering for efficient RhB degradation. Vacuum 2023, 214, 112186. [Google Scholar] [CrossRef]
- Quanju, Y.; Zeyan, W.; Ye, Z.; Manyun, L. Study on the performance of Cu2+ doped nano zero-valent iron for the oxidative degradation of Rhodamine B. Chem. Res. Appl. 2024, 36, 1632–1638. [Google Scholar]
- Ruidíaz-Martínez, M.; Álvarez, M.A.; López-Ramón, M.V.; Cruz-Quesada, G.; Rivera-Utrilla, J.; Sánchez-Polo, M. Hydrothermal Synthesis of rGO-TiO2 Composites as High-Performance UV Photocatalysts for Ethylparaben Degradation. Catalysts 2020, 10, 520. [Google Scholar] [CrossRef]
- Petala, A.; Noe, A.; Frontistis, Z.; Drivas, C.; Kennou, S.; Mantzavinos, D.; Kondarides, D.I. Synthesis and characterization of CoOx/BiVO4 photocatalysts for the degradation of propyl paraben. J. Hazard. Mater. 2019, 372, 52–60. [Google Scholar] [CrossRef]
- Long, M.; Qin, Y.; Chen, C.; Guo, X.; Tan, B.; Cai, W. Origin of Visible Light Photoactivity of Reduced Graphene Oxide/TiO2 by in Situ Hydrothermal Growth of Undergrown TiO2 with Graphene Oxide. J. Phys. Chem. C 2013, 117, 16734–16741. [Google Scholar] [CrossRef]
- Awfa, D.; Ateia, M.; Fujii, M.; Johnson, M.S.; Yoshimura, C. Photodegradation of pharmaceuticals and personal care products in water treatment using carbonaceous-TiO2 composites: A critical review of recent literature. Water Res. 2018, 142, 26–45. [Google Scholar] [CrossRef] [PubMed]
- Miao, Z.; Wang, G.; Li, L.; Wang, C.; Zhang, X. Fabrication of black TiO2/TiO2 homojunction for enhanced photocatalytic degradation. J. Mater. Sci. 2019, 54, 14320–14329. [Google Scholar] [CrossRef]
- Hu, X.; Han, W.; Zhang, M.; Li, D.; Sun, H. Enhanced adsorption and visible-light photocatalysis on TiO2 with in situ formed carbon quantum dots. Environ. Sci. Pollut. Res. Int. 2022, 29, 56379–56392. [Google Scholar] [CrossRef]
- Wang, Z.; Li, M.; Li, J.; Zhou, W.; Wang, Y.; Li, Q. Sulfate promotes the photocatalytic degradation of antibiotics by porphyrin MOF: The electron-donating effect of the anion. Environ. Funct. Mater. 2023, 2, 46–56. [Google Scholar] [CrossRef]
- Ma, C.; Fang, G.; Tian, J.; Zhang, G.; Yan, X. Effect of Bi/Cl atomic ratio on the photocatalytic activities of TiO2/BixOyClz composites. Acta Mater. Compos. Sin. 2024, 43, 1–10. [Google Scholar]
- Devi, S.; Kumari, S.; Sharma, A.; Dhiman, M.; Thakur, M.; Kumar, A. Boosting the photocatalytic activity of g-C3N4 via loading bio-synthesized Ag0 nanoparticles and imidazole modification for the degradation and mineralization of fluconazole. Environ. Sci. Pollut. Res. 2024, 31, 15851–15871. [Google Scholar] [CrossRef] [PubMed]
- Devi, S.; Kumar, S.; Devi, J.; Sharma, A.; Kumar, A. Decoration of 1,3 oxazole modified g- C3N4 by Bio-synthesized Ag nanoparticle for the photodegradation of pharmaceutical effluent: Clotrimazole. Mater. Today Proc. 2023, in press. [Google Scholar] [CrossRef]
- Donga, C.; Mishra, S.B.; Ndlovu, L.N.; Abd-El-Aziz, A.S.; Kuvarega, A.T.; Mishra, A.K. Magnetic Magnetite-Graphene Oxide (Fe3O4-GO) Nanocomposites for Removal of Dyes from Aqueous Solution. J. Inorg. Organomet. Polym. Mater. 2024, 34, 4192–4202. [Google Scholar] [CrossRef]
- Berrellez-Reyes, F.; Alvarez-Garcia, S. Insights into the Interaction of Graphene Oxide and Adsorbed RhB by Raman Spectral Deconvoluted Scanning. J. Phys. Chem. C 2019, 123, 30021–30027. [Google Scholar] [CrossRef]
- Ma, S.; Reish, M.E.; Zhang, Z.; Harrison, I.; Yates, J.T., Jr. Anatase-Selective Photoluminescence Spectroscopy of P25 TiO2 Nanoparticles: Different Effects of Oxygen Adsorption on the Band Bending of Anatase. J. Phys. Chem. C 2017, 121, 1263–1271. [Google Scholar] [CrossRef]
- Cui, Z.Q.; Zhou, H.J.; Wang, G.Z.; Zhang, Y.X.; Zhang, H.M.; Zhao, H.J. Enhancement of the visible-light photocatalytic activity of CeO2 by chemisorbed oxygen in the selective oxidation of benzyl alcohol. New J. Chem. 2019, 43, 7355–7362. [Google Scholar] [CrossRef]
- Wang, D.; Xue, J.; Ding, X.; Wei, J.; Feng, C.; Wang, R.; Ma, P.; Wang, S.; Cao, H.; Wang, J.; et al. Neighboring Cationic Vacancy Assisted Adsorption Optimization on Single-Atom Sites for Improved Oxygen Evolution. ACS Catal. 2022, 12, 12458–12468. [Google Scholar] [CrossRef]
- Sun, Y.; Sun, W.; Li, Y.; Dong, N.; Yu, H.; Yin, W.; Zhu, F.; Gao, B.; Xu, S. Effective inhibition of chloride ion interference in photocatalytic process by negatively charged molecularly imprinted photocatalyst: Behavior and mechanism. Water Res. 2024, 262, 122040. [Google Scholar] [CrossRef] [PubMed]
- Daimon, T.; Nosaka, Y. Formation and Behavior of Singlet Molecular Oxygen in TiO2 Photocatalysis Studied by Detection of Near-Infrared Phosphorescence. J. Phys. Chem. C 2007, 111, 4420–4424. [Google Scholar] [CrossRef]
- Buchalska, M.; Labuz, P.; Bujak, L.; Szewczyk, G.; Sarna, T.; Mackowski, S.; Macyk, W. New insight into singlet oxygen generation at surface modified nanocrystalline TiO2—The effect of near-infrared irradiation. Dalton Trans. 2013, 42, 9468–9475. [Google Scholar] [CrossRef] [PubMed]
- Nosaka, Y.; Nosaka, A.Y. Identification and Roles of the Active Species Generated on Various Photocatalysts, in Photocatalysis and Water Purification. In Photocatalysis and Water Purification: From Fundamentals to Recent Applications; John Wiley & Sons: Hoboken, NJ, USA, 2013; pp. 1–24. [Google Scholar]
- Stengl, V.; Bakardjieva, S.; Grygar, T.M.; Bludská, J.; Kormunda, M. TiO2-graphene oxide nanocomposite as advanced photocatalytic materials. Chem. Cent. J. 2013, 7, 41. [Google Scholar] [CrossRef]
- Sukarman; Kristiawan, B.; Khoirudin; Abdulah, A.; Enoki, K.; Wijayanta, A.T. Characterization of TiO2 nanoparticles for nanomaterial applications: Crystallite size, microstrain and phase analysis using multiple techniques. Nano-Struct. Nano-Objects 2024, 38, 101168. [Google Scholar] [CrossRef]
- Trapalis, A.; Todorova, N.; Giannakopoulou, T.; Boukos, N.; Speliotis, T.; Dimotikali, D.; Yu, J. TiO2/graphene composite photocatalysts for NOx removal: A comparison of surfactant-stabilized graphene and reduced graphene oxide. Appl. Catal. B Environ. 2016, 180, 637–647. [Google Scholar] [CrossRef]
- Yu, J.; Yu, H.; Cheng, B.; Zhou, M.; Zhao, X. Enhanced photocatalytic activity of TiO2 powder (P25) by hydrothermal treatment. J. Mol. Catal. A Chem. 2006, 253, 112–118. [Google Scholar] [CrossRef]
- Lin, C.P.; Chen, H.; Nakaruk, A.; Koshy, P.; Sorrell, C.C. Effect of Annealing Temperature on the Photocatalytic Activity of TiO2 Thin Films. Energy Procedia 2013, 34, 627–636. [Google Scholar] [CrossRef]
- Velardi, L.; Scrimieri, L.; Serra, A.; Manno, D.; Calcagnile, L. Effect of temperature on the physical, optical and photocatalytic properties of TiO2 nanoparticles. SN Appl. Sci. 2020, 2, 707. [Google Scholar] [CrossRef]
- Zhang, Q.; Gao, L.; Guo, J. Effects of calcination on the photocatalytic properties of nanosized TiO2 powders prepared by TiCl4 hydrolysis. Appl. Catal. B Environ. 2000, 26, 207–215. [Google Scholar] [CrossRef]
- Ohsaka, T.; Izumi, F.; Fujiki, Y. Raman spectrum of anatase, TiO2. J. Raman Spectrosc. 1978, 7, 321–324. [Google Scholar] [CrossRef]
- Lee, E.; Lee, D.; Yoon, J.; Yin, Y.; Lee, Y.N.; Uprety, S.; Yoon, Y.S.; Kim, D.J. Enhanced Gas-Sensing Performance of GO/TiO2 Composite by Photocatalysis. Sensors 2018, 18, 3334. [Google Scholar] [CrossRef]
- Ullah, I.; Haider, A.; Khalid, N.; Ali, S.; Ahmed, S.; Khan, Y.; Ahmed, N.; Zubair, M. Tuning the band gap of TiO2 by tungsten doping for efficient UV and visible photodegradation of Congo red dye. Spectrochim. Acta A Mol. Biomol. Spectrosc. 2018, 204, 150–157. [Google Scholar] [CrossRef]
- Isik, M.; Delice, S.; Gasanly, N. Temperature-dependent optical properties of TiO2 nanoparticles: A study of band gap evolution. Opt. Quantum Electron. 2023, 55, 905. [Google Scholar] [CrossRef]
- Wang, G.Y.; Guo, W.J.; Xu, D.P.; Liu, D.; Qin, M.T. Graphene Oxide Hybridised TiO2 for Visible Light Photocatalytic Degradation of Phenol. Symmetry 2020, 12, 1420. [Google Scholar] [CrossRef]
- Zhang, P.; Tachikawa, T.; Fujitsuka, M.; Majima, T. Atomic Layer Deposition-Confined Nonstoichiometric TiO2 Nanocrystals with Tunneling Effects for Solar Driven Hydrogen Evolution. J. Phys. Chem. Lett. 2016, 7, 1173–1179. [Google Scholar] [CrossRef]
- Cui, Z.P.; Zhao, M.; Que, X.Y.; Wang, J.J.; Xu, Y.; Ghazzal, M.N.; Colbeau-Justin, C.; Pan, D.Q.; Wu, W.S. Facile Vacuum Annealing-Induced Modification of TiO2 with an Enhanced Photocatalytic Performance. ACS Omega 2021, 6, 27121–27128. [Google Scholar] [CrossRef] [PubMed]
- Cui, Z.; Zhao, M.; Li, S.; Wang, J.; Xu, Y.; Ghazzal, M.N.; Colbeau-Justin, C.; Pan, D.; Wu, W. Facile Vacuum Annealing of TiO2 with Ethanol-Induced Enhancement of Its Photocatalytic Performance under Visible Light. Ind. Eng. Chem. Res. 2022, 61, 14455–14461. [Google Scholar] [CrossRef]
- Zheng, P.; Liu, T.; Su, Y.; Zhang, L.F.; Guo, S.W. TiO2 nanotubes wrapped with reduced graphene oxide as a high-performance anode material for lithium-ion batteries. Sci. Rep. 2016, 6, 36580. [Google Scholar] [CrossRef]
- Ran, P.; Jiang, L.; Li, X.; Zuo, P.; Li, B.; Li, X.J.; Cheng, X.Y.; Zhang, J.T.; Lu, Y.F. Redox shuttle enhances nonthermal femtosecond two-photon self-doping of rGO-TiO2-x photocatalysts under visible light. J. Mater. Chem. A 2018, 6, 16430–16438. [Google Scholar] [CrossRef]
- Song, X.; Li, W.; He, D.; Wu, H.; Ke, Z.; Jiang, C.; Wang, G.; Xiao, X. The “Midas Touch” Transformation of TiO2 Nanowire Arrays during Visible Light Photoelectrochemical Performance by Carbon/Nitrogen Coimplantation. Adv. Energy Mater. 2018, 8, 1800165. [Google Scholar] [CrossRef]









| Sample | SBET (m2/g) | Pore Volume (cm3/g) | Pore Size (nm) |
|---|---|---|---|
| TiO₂ | 45.91 | 0.1152 | 10.27 |
| 4% GO-TiO2 | 66.44 | 0.2405 | 13.96 |
| 4% rGO-TiO2 | 58.28 | 0.2483 | 15.85 |
Disclaimer/Publisher’s Note: The statements, opinions and data contained in all publications are solely those of the individual author(s) and contributor(s) and not of MDPI and/or the editor(s). MDPI and/or the editor(s) disclaim responsibility for any injury to people or property resulting from any ideas, methods, instructions or products referred to in the content. |
© 2025 by the authors. Licensee MDPI, Basel, Switzerland. This article is an open access article distributed under the terms and conditions of the Creative Commons Attribution (CC BY) license (https://creativecommons.org/licenses/by/4.0/).
Share and Cite
Xiong, N.; Guo, Y.; Nie, Y.; Yao, Y.; Ying, Z.; Zhang, W.; Liu, R.; Wu, X.; Zhou, H.; Zhou, L.; et al. An Efficient Photocatalytic Material, rGO-TiO2, That Can Be Industrially Produced: Fabrication and Structural Characterization. Water 2025, 17, 161. https://doi.org/10.3390/w17020161
Xiong N, Guo Y, Nie Y, Yao Y, Ying Z, Zhang W, Liu R, Wu X, Zhou H, Zhou L, et al. An Efficient Photocatalytic Material, rGO-TiO2, That Can Be Industrially Produced: Fabrication and Structural Characterization. Water. 2025; 17(2):161. https://doi.org/10.3390/w17020161
Chicago/Turabian StyleXiong, Nan, Yansen Guo, Yanyan Nie, Yuqing Yao, Zhemian Ying, Wei Zhang, Renduo Liu, Xiaoling Wu, He Zhou, Limin Zhou, and et al. 2025. "An Efficient Photocatalytic Material, rGO-TiO2, That Can Be Industrially Produced: Fabrication and Structural Characterization" Water 17, no. 2: 161. https://doi.org/10.3390/w17020161
APA StyleXiong, N., Guo, Y., Nie, Y., Yao, Y., Ying, Z., Zhang, W., Liu, R., Wu, X., Zhou, H., Zhou, L., Wang, Y., He, J., & Yan, L. (2025). An Efficient Photocatalytic Material, rGO-TiO2, That Can Be Industrially Produced: Fabrication and Structural Characterization. Water, 17(2), 161. https://doi.org/10.3390/w17020161
