A Monographic Experimental Investigation into Flood Discharge Atomized Raindrop Size Distributions Under Low Ambient Pressure Conditions
Abstract
1. Introduction
2. Experimental Setup and Measurements
2.1. Design and Regulation of the Experimental Platform
2.2. Design and Optimization of the Test Conditions
3. Experimental Results and Discussion
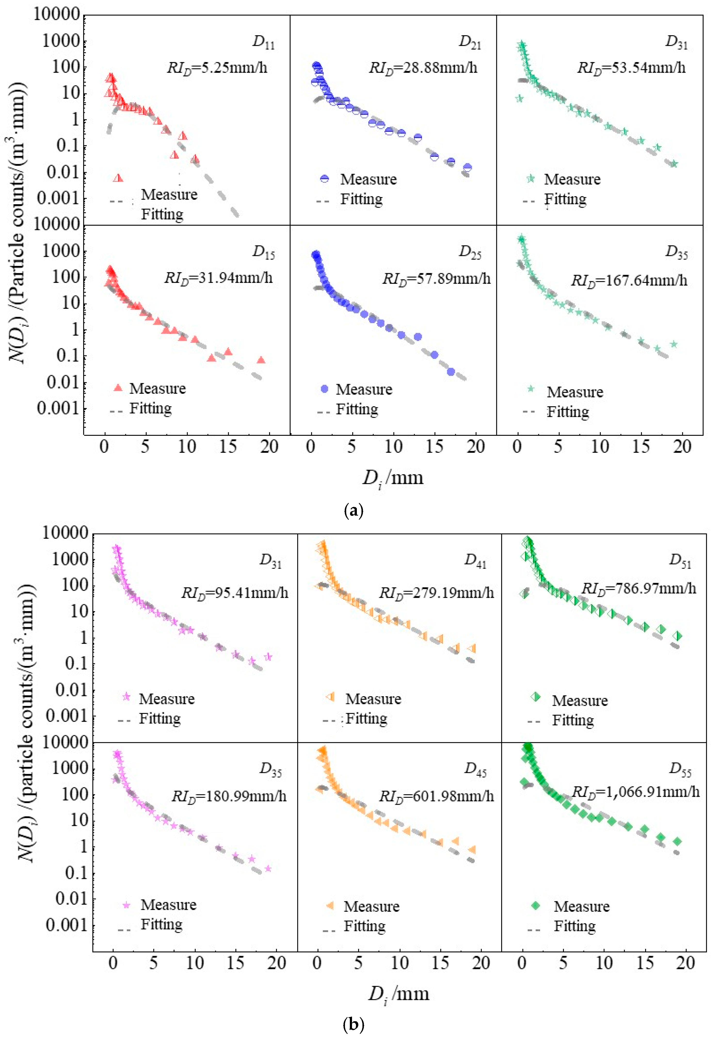
3.1. Effects of Low Ambient Pressure on the Two-Dimensional Atomized Raindrop Spectrum
3.2. Effects of Low Ambient Pressure on Three-Dimensional Atomized Raindrop Spectra
3.3. Effects of Low Ambient Pressure on the Statistical Characteristics of the Atomized Raindrop Spectrum
4. Numerical Model Application Optimization
5. Conclusions
- (1)
- The two-dimensional atomized raindrop spectra reveal that the intensity of atomized rain increases with the increasing total number concentration of two-dimensional raindrop spectra at low ambient pressure. Notably, the diameter of the small particles within the subchannels significantly increases. In terms of the rain intensity components, the proportion of the number-dominated isovolumetric diameter of the rain intensity and the mass-dominated isovolumetric diameter of rain intensity remains relatively stable and is not influenced by variations in ambient pressure;
- (2)
- According to the three-dimensional raindrop spectra, the increase in atomized rain intensity under low pressure is reflected in both the quantity and concentration of atomized rain, with the most pronounced effects occurring at peak levels. The maximum particle size and range are influenced by the intensity of atomized rain; however, the impact of low pressure appears to be less significant. The relationship between the atomized raindrop number concentration and characteristic particle size exhibits a unimodal distribution that skews toward smaller particles, which can be effectively modelled using the gamma distribution;
- (3)
- Under the same atomized rain intensity, the atomized raindrops undergo a dynamic evolution characterized by collision and fragmentation, with their quantity increasing in response to heightened atomized rain intensity. Notably, there is no significant correlation between the statistical characteristics of three-dimensional raindrop spectra and low ambient pressure, although the relationships among the arithmetic mean diameter of atomized raindrops, the mass-weighted mean diameter of atomized raindrops, and the generalized intercept parameter concerning the atomized rain intensity exhibit a clear trend;
- (4)
- Combined with the experimental results, this study provides a substantial reference for establishing random splash simulation models characterized by low pressure. It is advisable to appropriately increase the amount of the atomization source to accurately reflect the impact of low pressure on the atomized rain intensity within existing empirical formulas for the distribution of atomized raindrop diameters. When atomized protection is categorized into zones, enhancing the area adjacent to the characteristic rain intensity line is crucial, as its protection level may need to be elevated by one grade in accordance with current industry standards.
Author Contributions
Funding
Data Availability Statement
Acknowledgments
Conflicts of Interest
Correction Statement
Appendix A
| Classes Number | Raindrop Diameter Sizes | Raindrop Fall Velocities | ||
|---|---|---|---|---|
| Mid-Value of Class (mm) | Class Width (mm) | Mid-Value of Class (m/s) | Class Width (m/s) | |
| 1 | 0.062 * | 0.125 | 0.050 | 0.100 |
| 2 | 0.187 * | 0.125 | 0.150 | 0.100 |
| 3 | 0.312 | 0.125 | 0.250 | 0.100 |
| 4 | 0.437 | 0.125 | 0.350 | 0.100 |
| 5 | 0.562 | 0.125 | 0.450 | 0.100 |
| 6 | 0.687 | 0.125 | 0.550 | 0.100 |
| 7 | 0.812 | 0.125 | 0.650 | 0.100 |
| 8 | 0.937 | 0.125 | 0.750 | 0.100 |
| 9 | 1.062 | 0.125 | 0.850 | 0.100 |
| 10 | 1.187 | 0.125 | 0.950 | 0.100 |
| 11 | 1.375 | 0.250 | 1.100 | 0.200 |
| 12 | 1.625 | 0.250 | 1.300 | 0.200 |
| 13 | 1.875 | 0.250 | 1.500 | 0.200 |
| 14 | 2.215 | 0.250 | 1.700 | 0.200 |
| 15 | 2.375 | 0.250 | 1.900 | 0.200 |
| 16 | 2.750 | 0.500 | 2.200 | 0.400 |
| 17 | 3.250 | 0.500 | 2.600 | 0.400 |
| 18 | 3.750 | 0.500 | 3.000 | 0.400 |
| 19 | 4.250 | 0.500 | 3.400 | 0.400 |
| 20 | 4.750 | 0.500 | 3.800 | 0.400 |
| 21 | 5.500 | 1.000 | 4.400 | 0.800 |
| 22 | 6.500 | 1.000 | 5.200 | 0.800 |
| 23 | 7.500 | 1.000 | 6.000 | 0.800 |
| 24 | 8.500 | 1.000 | 6.800 | 0.800 |
| 25 | 9.500 | 1.000 | 7.600 | 0.800 |
| 26 | 11.000 | 2.000 | 8.800 | 1.600 |
| 27 | 13.000 | 2.000 | 10.400 | 1.600 |
| 28 | 15.000 | 2.000 | 12.000 | 1.600 |
| 29 | 17.000 | 2.000 | 13.600 | 1.600 |
| 30 | 19.000 | 2.000 | 15.200 | 1.600 |
| 31 | 21.500 | 3.000 | 17.600 | 3.200 |
| 32 | 24.500 | 3.000 | 20.800 | 3.200 |
References
- Ward, P.J.; Jongman, B.; Aerts, J.C.J.H.; Bates, P.D.; Botzen, W.J.W.; Diaz Loaiza, A.; Hallegatte, S.; Kind, J.M.; Kwadijk, J.; Scussolini, P.; et al. A global framework for future costs and benefits of river-flood protection in urban areas. Nat. Clim. Change 2017, 7, 642–646. [Google Scholar] [CrossRef]
- Ballesteros-Canovas, J.A.; Czajka, B.; Janecka, K.; Lempa, M.; Kaczka, R.J.; Stoffel, M. Flash floods in the Tatra Mountain streams: Frequency and triggers. Sci. Total Environ. 2015, 511, 639–648. [Google Scholar] [CrossRef]
- Angulo-Martínez, M.; Beguería, S. Trends in rainfall erosivity in NE Spain at annual, seasonal and daily scales, 1955–2006. Hydrol. Earth Syst. Sci. Discuss. 2012, 9, 6285–6309. [Google Scholar] [CrossRef]
- Blocken, B.; Carmeliet, J. A review of wind-driven rain research in building science. J. Wind Eng. Ind. Aerodyn. 2004, 92, 1079–1130. [Google Scholar] [CrossRef]
- Dave, N.; Mittelstet, A.; Korus, J.; Waszgis, M. Impact of an extreme flood event on streambank retreat: Cedar River, Nebraska, USA. J Am Water Resour Assoc. 2020, 56, 528–541. [Google Scholar] [CrossRef]
- Vahedifard, F.; AghaKouchak, A.; Ragno, E.; Shahrokhabadi, S.; Mallakpour, I. Lessons from the Oroville dam. Science 2017, 355, 1139–1140. [Google Scholar] [CrossRef]
- Liu, G.; Tong, F.; Tian, B.; Gong, J. Finite element analysis of flood discharge atomization based on water–air two-phase flow. Appl. Math. Model. 2020, 81, 473–486. [Google Scholar] [CrossRef]
- Gong, J.B.; Pi, J.H. Reflection and countermeasures of “7·19” flood event of Shuibuya dam. Dam Saf. 2018, 2, 20–26. [Google Scholar]
- Lian, J.J.; He, J.L.; Liu, F.; Ran, D.J.; Wang, X.Q.; Wang, C. An improved empirical model for flood discharge atomization and its application to optimize the flip bucket of the Nazixia Project. Int. J. Environ. Res. Public Health 2019, 16, 316. [Google Scholar] [CrossRef]
- Wang, F.H. Influence of discharging foggy and its protection at Ertan hydropower station. Dam Saf. 2011, 5, 42–46. [Google Scholar]
- Wu, W.Y.; Yang, Y.H.; Min, S.H. Analysis on collapse and sliding control of high slope in atomized area of right bank of Ertan hydropower station. Dam Saf. 2018, 4, 49–52. [Google Scholar]
- Li, Z. On landslide induced by water-fog from ski-jump energy dissipation of Longyangxia Hydropower Station. Dam Saf. 2001, 3, 17–20+29–56. [Google Scholar]
- Lian, J.J. Hydraulic Prototype Observation Test at Jinping Hydropower Station and Its Early Warning System Development with Real-Time Monitoring for Flood Discharge Security; Research report; Tianjin University: Tianjin, China, 2016. [Google Scholar]
- Lian, J.J.; Liu, D.; Liu, F. Research progress and frontiers on flood discharge atomization of Chinese high dam projects. J. Hydraul. Eng. 2019, 50, 283–293. [Google Scholar]
- Zeng, S.Y.; Zhang, Y.T.; Zhang, B.C.; Gu, L.; Dai, X.B.; Miao, B.G.; Wang, L.J. Discharge atomization and its affection analysis of Xiangjiaba Hydropower Station. Water Power 2019, 45, 54–58. [Google Scholar]
- Zhou, H.; Wu, S.Q.; Chen, H.L.; Zhou, J.; Wu, X.F. Similarity criterion of flood discharge atomization. Water Sci. Eng. 2008, 1, 59–65. [Google Scholar]
- Liu, H.T.; Sun, S.K.; Wang, X.S.; Xia, Q.F. Study on the distribution of splash intensity during nappe impingement. J. Hydrodyn. 2009, 24, 217–223. [Google Scholar]
- Yuan, H.; Xu, W.L.; Li, R.; Feng, Y.Z.; Hao, Y.F. Spatial distribution characteristics of rainfall for two-jet collisions in air. Water 2018, 10, 1600. [Google Scholar] [CrossRef]
- Duan, H.D.; Liu, S.H.; Luo, Q.S.; Huang, W. Rain intensity distribution in the splash region of atomized flow. J. Hydrodyn. Ser. 2006, 18, 362–366. [Google Scholar] [CrossRef]
- Liu, F.; Lian, J.J.; Zhang, X.J.; Li, C.Y. Experimental study of atomization and splashing caused by a ski-jump jet into scour pool. J. Hydroelectr. Eng. 2010, 29, 113–117. [Google Scholar]
- Liu, D.; Lian, J.J.; Liu, F.; Liu, D.; Ma, B.; Shi, J. An experimental study on the effects of atomized rain of a high velocity waterjet to downstream area in low ambient pressure environment. Water 2020, 12, 397. [Google Scholar] [CrossRef]
- Wu, X.F.; Wu, S.Q.; Zhou, H.; Chen, H.L. Atomization measurement for Wantang Hydroplant. Hydro Sci. Eng. 2001, 4, 71–74. [Google Scholar]
- Chen, D.; Jin, F.; Li, J. Study on model law for intensity of rainfall from atomization of flood discharging flow for high dam. Water Resour. Hydr. Eng. 2005, 36, 47–49. [Google Scholar]
- Liu, S.H.; Ran, Q.S.; Luo, Q.S.; Tai, W.; Fan, M. An in-depth study of partical size of atomization rainfall and generated flow on a slope. Eng. J. Wuhan Univ. 2013, 46, 1–5. [Google Scholar]
- Schwendner, P.; Schuerger, A.C. Exploring microbial activity in low-pressure environments. Curr. Issues Mol. Biol. 2020, 38, 163–196. [Google Scholar] [CrossRef]
- Rengel, B.; Àgueda, A.; Pastor, E.; Casal, J.; Planas, E.; Hu, L.; Palacios, A. Experimental and computational analysis of vertical jet fires of methane in normal and sub-atmospheric pressures. Fuel 2020, 265, 116878. [Google Scholar] [CrossRef]
- Cai, X.; Wang, X.S.; Liao, G.X. Experimental study on the effects of ambient pressure on spray characteristics of water mist. J. Disas. Prev. Mitig. Eng. 2012, 32, 235–241. [Google Scholar]
- Ersoy, N.E.; Eslamian, M. Phenomenological study and comparison of droplet impact dynamics on a dry surface, thin liquid film, liquid film and shallow pool. Exp. Therm. Fluid Sci. 2020, 112, 109977. [Google Scholar] [CrossRef]
- Ge, X.; Ge, Y.; Li, Q.; Cai, X.; Yang, W.; Du, Y. Effect of low air pressure on the durability of concrete. Constr. Build. Mater. 2018, 187, 830–838. [Google Scholar] [CrossRef]
- Lian, J.J.; Dong, Z.; Liu, F.; Liu, D. Experimental study on the influence of low atmospheric pressure on the dynamic pressure. J. Hydroelectr. Eng. 2019, 38, 1–13. [Google Scholar]
- Liu, X.L.; An, G.; Yao, Z.D. The investigation on the mechabism and sphere of influence of atomization by discharge flow. J. Tianjin Univ. 1991, 24, 30–36. [Google Scholar]
- Liang, Z.C. A analysis and computation for droplets-splashing region of atomization water flow. J. Yangtze River Sci. Res. Inst. 1996, 13, 9–13. [Google Scholar]
- Lian, J.J.; Li, C.Y.; Liu, F.; Wu, S.Q. A prediction method of flood discharge atomization for high dams. J. Hydraul. Res. 2014, 52, 274–282. [Google Scholar] [CrossRef]
- Liu, H.T.; Liu, Z.P.; Xia, Q.F.; Sun, S.K. Computational model of flood discharge splash in large hydropower stations. J. Hydraul. Res. 2015, 53, 576–687. [Google Scholar] [CrossRef]
- Xu, L.; Barcos, L.; Nagel, S.R. Splashing of Liquids: Interplay of surface roughness with surrounding gas. Phys. Rev. Stat. Nonlin. Soft Matter Phys. 2007, 76, 066311. [Google Scholar] [CrossRef]
- Latka, A.; Strandburg-Peshkin, A.; Driscoll, M.M.; Stevens, C.S.; Nagel, S.R. Creation of prompt and thin-sheet splashing by varying surface roughness or increasing air pressure. Phys. Rev. Lett. 2012, 109, 054501. [Google Scholar] [CrossRef]
- Song, C.; Zhou, Y.Q.; Wu, Z.H. Vertical profils of raindrop size distribution observed by Micro Rain Radar. J. Appl. Meteor. Sci. 2019, 30, 479–490. [Google Scholar]
- Li, H.; Yin, Y.; San, Y.P.; Jin, Q. Statistical characteristics of raindrop size distribution for stratiform and convective precipitation at different altitudes in Mt. Huangshan. Chin. J. Atmos. Sci. 2018, 42, 268–280. [Google Scholar]
- Sumesh, R.K.; Resmi, E.A.; Unnikrishnan, C.K.; Jash, D.; Sreekanth, T.S.; Resmi, M.C.M.; Rajeevan, K.; Nita, S.; Ramachandran, K.K. Microphysical aspects of tropical rainfall during Bright Band events at mid and high-altitude regions over Southern Western Ghats, India. Atmos. Res. 2019, 227, 178–197. [Google Scholar] [CrossRef]
- Wu, Y.; Liu, L. Statistical characteristics of raindrop size distribution in the Tibetan Plateau and southern China. Adv. Atmos. Sci. 2017, 34, 727–736. [Google Scholar] [CrossRef]
- Deegan, R.D.; Brunet, P.; Eggers, J. Complexities of splashing. Nonlinearity 2008, 21, C1–C11. [Google Scholar] [CrossRef]
- Chen, H.L. Study of flood discharge atomization for Xiaowan Hydropower Project. Yunnan Water Power 1998, 14, 51–55. [Google Scholar]
- Alessandro, B.; Elke, R.; Ali, T.; Ulrich, B.; Clemens, S. PARSIVEL snow observations: A critical assessment. J. Atmos. Ocean. Technol. 2010, 27, 333–344. [Google Scholar]
- Jaffrain, J.; Berne, A. Experimental quantification of the sampling uncertainty associated with measurements from Parsivel disdrometers. J. Hydrometeorol. 2011, 12, 352–370. [Google Scholar] [CrossRef]
- Serio, M.A.; Carollo, F.G.; Ferro, V. Raindrop size distribution and terminal velocity for rainfall erosivity studies. A review. J. Hydrol. 2019, 576, 210–228. [Google Scholar] [CrossRef]
- Qiu, H.J. Hydraulic Characteristics of Splash of Aerated Jet. Master’s Thesis, Hohai University, Nanjing, China, 2011. [Google Scholar]
- Löffler-Mang, M.; Joss, J. An optical disdrometer for measuring size and velocity of hydrometeors. J. Atmos. Ocean. Technol. 2000, 17, 130–139. [Google Scholar] [CrossRef]
- Luo, L.; Xiao, H.; Yang, H.L.; Chen, H.N.; Guo, J.; Sun, Y.; Feng, L. Raindrop size distribution and microphysical characteristics of a great rainstorm in 2016 in Beijing, China. Atmos. Res. 2020, 239, 104895. [Google Scholar] [CrossRef]
- Hill, M.; Grieser, J. How to express hail intensity-modeling the hailstone size distribution. J. Appl. Meteorol. Climatol. 2019, 58, 2329–2345. [Google Scholar]
- Huang, G.J.; Kleinkort, C.; Bringi, V.N.; Notaros, B.M. Winter precipitation particle size distribution measurement by Multi-Angle Snowflake Camera. Atmos. Res. 2017, 198, 81–96. [Google Scholar] [CrossRef]
- Zhang, A.; Hu, J.; Chen, S.; Hu, D.; Li, H. Statistical characteristics of raindrop size distribution in the monsoon season observed in southern China. Remote Sens. 2019, 11, 432. [Google Scholar] [CrossRef]
- Islam, T.; Rico-Ramirez, M.A.; Thurai, M.; Han, D. Characteristics of raindrop spectra as normalized gamma distribution from a Joss–Waldvogel disdrometer. Atmos. Res. 2012, 108, 57–73. [Google Scholar] [CrossRef]










| Dmn | Qm | Vm | Pn/P0 | ||||
|---|---|---|---|---|---|---|---|
| m3/h | m/s | P0 = 101.325 kPa | |||||
| D1(1–5) | 150.00 | 13.89 | 1.02 | 0.94 | 0.86 | 0.76 | 0.66 |
| D2(1–5) | 155.00 | 14.35 | 1.02 | 0.94 | 0.86 | 0.76 | 0.66 |
| D3(1–5) | 160.00 | 14.81 | 1.02 | 0.94 | 0.86 | 0.76 | 0.66 |
| D4(1–5) | 165.00 | 15.28 | 1.02 | 0.94 | 0.86 | 0.76 | 0.66 |
| D5(1–5) | 170.00 | 15.74 | 1.02 | 0.94 | 0.86 | 0.76 | 0.66 |
| Test Condition | 6# | 5# | ||||||||||
|---|---|---|---|---|---|---|---|---|---|---|---|---|
| Atomized Rain Intensity (mm/h) | D11 | D15 | D21 | D25 | D31 | D35 | D31 | D35 | D41 | D45 | D51 | D55 |
| RID | 5.25 | 31.94 | 28.88 | 57.89 | 53.54 | 167.64 | 95.41 | 180.99 | 279.19 | 601.98 | 786.97 | 1066.91 |
| (RID)nd | 1.71 | 5.36 | 3.37 | 11.01 | 7.92 | 22.91 | 13.68 | 31.09 | 30.54 | 61.15 | 74.97 | 108.66 |
| (RID)md | 3.54 | 26.59 | 25.51 | 46.88 | 45.62 | 144.73 | 81.73 | 149.9 | 248.65 | 540.83 | 712 | 958.24 |
| (RID)nd/RID | 0.33 | 0.17 | 0.12 | 0.19 | 0.15 | 0.14 | 0.14 | 0.17 | 0.11 | 0.10 | 0.10 | 0.10 |
| (RID)md/RID | 0.67 | 0.83 | 0.88 | 0.81 | 0.85 | 0.86 | 0.86 | 0.83 | 0.89 | 0.90 | 0.90 | 0.90 |
Disclaimer/Publisher’s Note: The statements, opinions and data contained in all publications are solely those of the individual author(s) and contributor(s) and not of MDPI and/or the editor(s). MDPI and/or the editor(s) disclaim responsibility for any injury to people or property resulting from any ideas, methods, instructions or products referred to in the content. |
© 2025 by the authors. Licensee MDPI, Basel, Switzerland. This article is an open access article distributed under the terms and conditions of the Creative Commons Attribution (CC BY) license (https://creativecommons.org/licenses/by/4.0/).
Share and Cite
Liu, D.; Lian, J.; Liu, D.; Liu, F.; Ma, B.; Shi, J.; Yan, L.; Zheng, Y.; Xu, C.; Zhang, J. A Monographic Experimental Investigation into Flood Discharge Atomized Raindrop Size Distributions Under Low Ambient Pressure Conditions. Water 2025, 17, 1721. https://doi.org/10.3390/w17121721
Liu D, Lian J, Liu D, Liu F, Ma B, Shi J, Yan L, Zheng Y, Xu C, Zhang J. A Monographic Experimental Investigation into Flood Discharge Atomized Raindrop Size Distributions Under Low Ambient Pressure Conditions. Water. 2025; 17(12):1721. https://doi.org/10.3390/w17121721
Chicago/Turabian StyleLiu, Dan, Jijian Lian, Dongming Liu, Fang Liu, Bin Ma, Jizhong Shi, Linlin Yan, Yongsheng Zheng, Cundong Xu, and Jinxin Zhang. 2025. "A Monographic Experimental Investigation into Flood Discharge Atomized Raindrop Size Distributions Under Low Ambient Pressure Conditions" Water 17, no. 12: 1721. https://doi.org/10.3390/w17121721
APA StyleLiu, D., Lian, J., Liu, D., Liu, F., Ma, B., Shi, J., Yan, L., Zheng, Y., Xu, C., & Zhang, J. (2025). A Monographic Experimental Investigation into Flood Discharge Atomized Raindrop Size Distributions Under Low Ambient Pressure Conditions. Water, 17(12), 1721. https://doi.org/10.3390/w17121721

