Abstract
Wastewater accumulates debris as it moves through sewage systems and must undergo purification at treatment plants, where insoluble debris is screened at the inlet. Previous studies have focused on screening mechanisms using rotating or ascendible sub-screens with vertical bars, and the effects of horizontal bars on structural integrity and fluid flow have not yet been explored. The present study addresses this gap by proposing a novel screening mechanism with horizontal bars and providing insights into flow behaviour and structural performance. The proposed mechanism consists of a main screen, an ascendible sub-screen and a rake system, and its effects on the flow distribution inside the channel and the resulting deformations and stress affecting the mechanism are computationally analysed. The problem is modelled as a fluid–structure interaction and solved using the arbitrary Lagrangian–Eulerian approach. Velocity distribution, structural deformation and stress are analysed for the various inlet flow velocities and critical configurations of the screening mechanism. The sub-screen in the proposed mechanism exhibited reduced deformation (0.9 mm for vertical bars and 0.2 mm for horizontal bars versus 2.2 mm in previous vertical-only designs). The maximum von Mises stress values were well below the 250 MPa yield strength, with peak stresses of 3.8 MPa in the sub-screen and 0.23 MPa in the main screen. Key operating conditions causing flow separation and velocity fluctuations are identified, and design improvements are suggested. The study provides guidelines for manufacturing and operating wastewater-screening mechanisms whilst mitigating undesirable performance and minimising deformation and stress in the mechanism.
1. Introduction
Wastewater is a product of human and industrial waste, which accumulates in urban sewage systems and subsequently flows into wastewater treatment plants. Waste in wastewater is classified as soluble or insoluble. Insoluble waste requires screening before wastewater enters a treatment plant, and this initial process helps to prevent damage due to the clogging of pipelines or the creating of an undesired disturbance in various moving parts of a wastewater treatment plant [1,2]. Fine insoluble waste can be eliminated from water through various processes such as sedimentation [3,4,5]. However, for coarse insoluble waste, installing a wastewater-screening mechanism at the inlet of a wastewater treatment plant is necessary [6]. A wastewater-screening mechanism is typically installed at the inlet of a wastewater treatment plant and used to filter out heavy slugs in debris. This screen is usually installed in a slanted orientation to increase the longitudinal region covered by the screen and to trap optimum waste. The main screen traps floating solid waste such as twigs and plastic. The sub-screen, or trash screen, captures heavier waste such as stones and heavy plastic. A sub-screen also prevents the overloading of the main screen [7].
Insoluble waste may accumulate on the screen, blocking water flow and causing deformation or stress in the mechanism. This situation is undesirable, as suggested by Spellman [8], who concluded that maintaining an adequate flow rate prevents clogging and ensures effective waste trapping. Clogs may result in unnecessary flow separation in downstream regions, causing excessive deformation or stress in a screening mechanism. However, high flow rates can force solid debris to pass through the bar screen without being trapped, thereby reducing trapping efficiency [9]. Therefore, trapping efficiency is influenced by flow dynamics within a channel. Given this circumstance, waste that accumulates on the screen must be removed regularly, for example, with a chain-driven gear rake movement mechanism [7]. A rake may be lowered into the water to collect solid waste from screen bars and lift it for disposal. However, a rake mechanism is only effective for floating waste on the main screen, and thus, a different solution for the sub-screen is required. In this regard, the sub-screen may change its position, as suggested by [10], or its orientation, as suggested by [7], to regulate the flow of water through it.
Accumulated waste affects flow behaviour and induces deformation and stress on the screen. Thus, investigating how accumulated waste affects flow behaviour and screen deformations is critical. In this regard, many studies have been conducted to determine the effects of accumulated waste on fluid behaviour and the solid mechanics characteristics of a screening mechanism. Experimental studies include that of Meeds and Balmforth [9], who discovered that the performance of a screening mechanism primarily depends on sewage water flow rate, spacing between screen bars and the frequency of the raking system. Recent advances in computational methods have enabled researchers to monitor design safety cost-effectively in simulation environments before manufacturing. Lee et al. [11] used computational analysis to predict stress distribution and deformation in rake pins; their findings suggested that ribbed designs improve stress distribution and reduce deformations; they concluded that the mid-region of the rake head is the most prone to rupture under each loading type. Ali et al. [7] considered a 2D model of a screening mechanism with a rake movement system and a rotating sub-screen of vertical bars; owing to computational limitations, the main screen was excluded, and various relative positions of the sub-screen and rake were analysed; they employed the arbitrary Lagrangian–Eulerian (ALE) approach, which is a recognised numerical method for modelling fluid flow and its effects on structural deformations and stresses [12,13,14,15,16]. It was concluded that the mechanism is more vulnerable to flow when the sub-screen and rake are not in contact with each other. Another screening mechanism with a sub-screen was computationally investigated by Akhtar et al. [10]; they considered a screening mechanism with a main screen and sub-screen featuring vertical bars; the sub-screen, equipped with a chain-driven gear system, can be lifted to discard the accumulated waste in bulk; the effects of the screen on flow distribution inside the channel and the resulting deformations and stresses experienced by the screen were investigated.
Although the aforementioned studies have discussed wastewater-screening mechanisms with vertical bars, several limitations associated with vertical bar screens have been highlighted in the literature. For instance, Meeds and Balmforth [9] observed that improper bar spacing increases clogging, thus reducing the efficiency of bar screens. Szabo-Meszaros et al. [17] discovered that bar orientation influences the hydraulic efficacy of screening mechanisms. Vertical bars were found to generate larger shear stresses, causing trapped debris to dislodge back into the flow and limiting the capture efficiency of the screen. Ali et al. [7] emphasised that solid debris frequently accumulates on vertical bars, leading to blockages that restrict flow and increase maintenance requirements.
In consideration of these issues, horizontal bar configurations have emerged as a potential solution. For example, Schalko and Weitbrecht [18] demonstrated that horizontal or inclined bar designs improve sediment transport and waste capture. Thus, the present study explores the potential advantages of horizontal bars in improving waste capture and reducing deformation compared with vertical bar configurations. Studies addressing the flow or structural analysis of wastewater treatment plants are summarised in Table 1. Since the comprehensive experimental study by Meeds and Balmforth [9], many studies had focused on broader topics until the early 2010s. For instance, D’Agostino et al. [19] examined open check dams, which are screens designed for capturing large wood during extreme floods rather than for directly processing wastewater. Schmocker and Hager [20] noted that this limitation in progress is partly due to the lack of computational tools during this period. Significant progress in wastewater screening mechanisms began in the early 2010s with the advent of advanced computational techniques, as reflected in the studies presented in Table 1.
Table 1.
Summary of literature review for wastewater-screening mechanisms.
The incorporation of horizontal bars is motivated by several hypothesised advantages. Firstly, sunken objects in a channel tend to move upright due to pressure differences as the pressure in the higher region of the channel is lower than the pressure in the lower region. The proposed sub-screen design aims to address this issue by introducing horizontal bars to trap more sunken waste. Secondly, horizontal bars coupled with vertical bars may increase structural stiffness and, therefore, considerably reduce deformation compared with previous designs. Thirdly, studying various types of design, such as those that incorporate horizontal bars, may reveal new trends that contribute towards a more effective design. Thus, the present study focuses on a proposed sub-screen design with horizontal bars and aims to thoroughly evaluate how horizontal bars may improve debris capture, reduce deformation and enhance the structural performance of screening mechanisms.
In this study, the main screen is installed at a specific height above the ground while remaining submerged in water. Its primary function is to trap buoyant solid waste floating on the water surface. An ascendable sub-screen is installed below the main screen and traps heavy solid waste. The ability to lift the sub-screen during operation allows debris stuck on it to be strategically directed into the wastewater treatment plant for subsequent disposal within the treatment plant. Thus, the ascendable aspect of the sub-screen simplifies maintenance by minimising any prolonged clogging. While the mechanical lifting mechanism may increase initial installation costs, the long-term reduction in maintenance requirements can offset these expenses, making the ascendable sub-screen a cost-effective solution for wastewater-screening mechanisms. The waste accumulated on the wastewater screening mechanism is periodically removed using a mechanical rake.
In the present study, fluid–structure interaction (FSI) between sewage water and the screen is modelled and solved using the ALE approach. Owing to the computational intensity of FSI simulations and the need to analyse several configurations of the same design, the present study focuses on a single design to allow for a detailed evaluation of the hypothesised benefits of a horizontal-bar sub-screen design within a feasible timeframe. Flow distribution due to such a screening mechanism is predicted, and deformation plots are obtained in this study. Various inlet flow rates and the positions of the sub-screen and rake are used in examining their effects on flow velocity, structural deformation and von Mises stress. Furthermore, structural deformation and von Mises stress are estimated, and the effects of water flow on bar screen components are determined. Velocity distribution inside the channel and the structural deformation and von Mises stress of screen components are reported for a certain range of inlet velocities at different stages of screening. Conditions for considerable flow separation and random velocity fluctuations are identified, and design improvements for the screening mechanism and plant components are suggested.
Objectives of the Study
In light of the aforementioned discussion, the objectives of the present study are as follows:
- i.
- To address the limitations of prior designs in wastewater screens by proposing a novel sub-screen with horizontal bars to improve the structural stiffness, distribute stress more evenly and enhance debris capture.
- ii.
- To provide insights into the flow distribution, separation and velocity fluctuations in the channel where the screening mechanism is installed.
- iii.
- To investigate the effects of fluid flow on the deformation, stress concentrations and structural integrity of the screening mechanism.
- iv.
- To enable engineers to develop a durable wastewater-screening mechanism that can withstand operational stresses with minimal risk of failure.
Engineers rely on rigorous FSI simulations to gain insights into flow patterns and structural resilience of wastewater-screening systems. The simulations in the present study offer improvements over previous designs and serve as a design guideline for engineers to fine-tune wastewater screening.
2. Methodology
The present study considers a wastewater-screening mechanism in an open sewage channel that is located at the inlet of a wastewater treatment plant. The main screen traps insoluble waste that floats near the water surface, whilst the sub-screen traps insoluble solid waste that traverses near the channel floor. Waste materials trapped in the main screen and sub-screen are subsequently lifted using a rake, which operates at specific times throughout the day. The rake only operates when the sub-screen is fully lowered to prevent interference between the rake and rods that support the sub-screen. The following section describes the specifications of the design.
2.1. Model Description
The screening mechanism being considered consists of a fixed main screen, an ascendable sub-screen and a rake (Figure 1). The main screen is secured with the channel bank near the water surface, whilst the sub-screen can slide over the main screen by using a gear-driven chain mechanism. Water flows in the positive x-direction through the screen where insoluble solid waste of appreciable size is barred from flowing into the downstream region and subsequently entering the treatment plant. A rake system is installed to collect waste trapped on the main screen. The rake is equipped with pins designed to move through gaps between the vertical bars of the main screen and sub-screen. During operation, the rake is first lowered along the posterior side of the screen, traverses the base of the rake movement mechanism and then transitions into a vertical ascent along the frontal side of the screen. Through its movement, the rake engages with the waste accumulated onto the main screen and the sub-screen and lifts it to a designated point where this waste is dislodged.
Figure 1.
Three-dimensional representation of the wastewater-screening mechanism.
The screening mechanism is positioned 0.75 m downstream from the inlet and angled at 15° relative to the vertical cross-sectional plane of the channel. This orientation is informed by the prior findings of Raynal et al. [21], who demonstrated that inclinations near this range optimise flow distribution along the screen. Additionally, Meeds and Balmforth [9] noted that such inclinations help prevent excessive velocities, which can reduce the waste-trapping efficiency and increase the risk of bypass. The main screen and the sub-screen consist of an array of 37 vertical bars, each with a thickness of 0.009 m. Each vertical bar of the main screen is aligned with the corresponding vertical bar of the sub-screen, and the spacing between adjacent vertical bars (horizontal aperture) is 0.075 m. The sub-screen additionally includes a horizontal array of 3 bars below the vertical bars (Figure 1) to increase screening ability. These horizontal bars have a thickness of 0.009 m, and the vertical spacing between adjacent horizontal bars (vertical aperture) is 0.075 m. The rake consists of 36 pins, each with a breadth of 0.05 m. The spacing between adjacent rake pins is 0.034 m on either side to accommodate the bars. The geometric parameters of the screening mechanism are shown in Figure 2, and the specific values are provided in Table 2.
Figure 2.
Geometric representation of the main screen, sub-screen and rake in the sewage channel.
Table 2.
Geometric configuration of the wastewater-screening mechanism.
The present study considers the sub-screen in the fully lowered (εss = 0 m) and partially lowered (εss = 0.55 m) positions. These positions of the sub-screen represent the key configurations of the screening mechanism. The configuration with a fully lowered sub-screen is further studied for the rake at the posterior extreme (φ = −75°), vertical extreme (φ = 0°) and frontal extreme (φ = 105°) positions, which correspond to the key stages of the operational cycle of the rake. The posterior extreme corresponds to the position of the rake, where it initially interacts with the fluid. The vertical extreme corresponds to the position of maximum flow obstruction. In this position, the rake experiences the highest fluid forces and is thus critical for evaluating peak drag loads and flow-separation effects. The frontal extreme position captures the operation while the waste is accumulated on the rake. The considered sub-screen and rake positions capture the critical fluid–structure interactions while minimising computational costs.
The material properties incorporated into the model include density (7850 kg/m³), Young’s modulus (200 GPa) and Poisson’s ratio (0.30), which are standard for structural steel [22]. Damping factors, such as Rayleigh damping, were not included as the study primarily models the deformation of the structure under fluid forces rather than dynamic behaviours, such as vibrations and oscillations. Furthermore, Samstag et al. [23] noted that many wastewater treatment processes can handle insoluble waste without considerably affecting flow behaviour. Moreover, Stricker et al. [24] demonstrated that flow dynamics remain stable despite the presence of insoluble waste in well-designed filtration systems. On the basis of these studies, the effects of insoluble waste on flow behaviour are assumed to be negligible. The housing frames of the main screen and sub-screen and the movement mechanism of the rake are disregarded to save computation time, and the scope of the present study is limited to the interaction between the screening mechanism and water flow.
The FSI problem of the screening mechanism and fluid flow is modelled as a two-way coupled system, where the flow affects screen deformation. The deformed screen, in turn, influences fluid flow. The ALE approach with two-way coupling is a robust method for solving FSI problems by capturing the mutual influence between deforming structures and fluid flows. For example, Basting et al. [25] used the ALE approach with two-way coupling to simulate large structural displacements whilst improving mesh alignment under deformation. Similarly, Pei et al. [26] used the ALE approach to analyse FSI effects on axial-flow pump impellers and computed the effect of dynamic interactions on system performance. Thus, the present study uses the ALE approach with two-way coupling to handle the interaction between the deforming screen and flow. The two-way coupled ALE approach combines fluid flow and structural deformation calculations in a sequential manner. In this approach, fluid flow is first solved using the Navier–Stokes equation in the Eulerian framework, where the coordinate system is fixed concerning the computational domain. After the fluid flow solution is obtained, it is used to compute the forces acting on the deforming screen, and the results are then used in solving structural equations that govern the deforming body. At this stage of the solution, the coordinate system moves with the deforming body, using a Lagrangian framework to accurately capture the deformation of the screen because it responds to fluid forces [27,28].
2.1.1. Hydrodynamic Modelling
To solve fluid flow inside the channel, the first step is to identify the flow regime and select an appropriate computational model for the problem. To identify the flow regime, Reynolds number (Re) is computed for the open channel by using the following equation:
where is the water density, is the water viscosity, U is the velocity at the inlet and Rh is the hydraulic radius of the open channel. This radius is given by
where is the width of the channel and is the water height.
For the range of velocities considered in the present study, the Re value falls within a range of 81,000–240,000, indicating that the flow is considered turbulent [29]. Turbulent flows are inherently nonuniform due to variations in velocity, pressure and other flow properties across the channel. However, under certain conditions, such as sufficient distances from the flow disturbance or in regions where the flow is fully developed, the velocity profile may approximate uniformity over the cross-sections of the channel. The Wilcox k–ω turbulence model was employed in this study due to its effectiveness in capturing the overall turbulent characteristics of the flow. The following assumptions are considered whilst applying the model:
- The Wilcox k–ω turbulence model is well-suited for flows with Re values between 81,000 and 240,000 [30,31].
- Water flow in a sewage channel is Newtonian and follows the Navier–Stokes equations [32].
- The no-slip condition of fluid flow is assumed applicable at solid–fluid interfaces, that is, at the channel wall and the surface of the screen.
Based on the given assumptions, flow within a sewage channel is described by the continuity equation
and the momentum equation
where is the velocity vector field, p is the fluid pressure, I is the identity matrix and is the body force applicable to fluid.
The turbulent kinetic energy k of the flow is governed by the following equation:
and the turbulent dissipation rate ω of the flow is governed by the following equation:
where σk is the turbulent Prandtl number for kinetic energy, is the kinematic eddy viscosity and is the turbulent Prandtl number for the dissipation rate. The constant = 0.5, and β* = 0.09. The kinematic eddy viscosity in these equations, as defined by the k–ω turbulence model, is given as
2.1.2. Structural Modelling
Structural modelling is required to determine how the screening mechanism responds to the forces exerted by the fluid. It accounts for material properties, such as Young’s modulus, density and Poisson’s ratio, and computes deformation and stress in the screening mechanism under applied fluid forces [22]. In carrying out the structural analysis of the screening mechanism, the following assumptions are made:
- The screen components follow continuum theory and comprise a linear elastic material, which is a condition suitable for capturing deformation under applied fluid forces [33].
- For sewage flow through the screen, the two-way coupled ALE method is a suitable approach.
Thus, solid displacement for the screening mechanism can be given by the following equation:
where us is the solid displacement, ρs is the solid density and σij is the stress tensor component, which can be evaluated using the constitutive equation of a Newtonian fluid. Furthermore, fs, which is the force exerted by the fluid on the solid boundary, is given by the negative of the force exerted by the screen on water.
where n is the outward normal to the boundary. The deformation energy contained in the screen components can be obtained using the strain energy density function W:
where sij and ϵij are components in the second Piola–Kirchhoff stress and Green–Lagrange strain tensors, respectively [34,35]. The deformation of the screen is calculated by solving these structural equations on the basis of forces exerted by the fluid. These equations are derived from the Navier–Stokes equations in the hydrodynamic model.
Lastly, the solid mechanics equations are defined in the fixed coordinate system, whereas the Navier–Stokes equations are solved in the moving frame. Thus, the ALE method necessitates a coordinate transformation defined by
where and are the total body forces at the interfaces acting on the fluid and solid domains, respectively, and the terms dv and dV′ represent the mesh element scale factors for the moving and stationary reference frames, respectively.
3. Numerical Method
A commercial computational fluid dynamics software, i.e., COMSOL Multiphysics (v5.5), was employed to investigate the screening process for wastewater by modelling FSI between water flow and the screen [27]. A time-dependent solver was used to simulate the FSI interface with the k–ω turbulence model for 300 s and a time step of 0.001 s. Fluid stresses computed from water flow were mapped onto the screening mechanism model, and the corresponding displacements in the screening mechanism were transmitted back to the fluid domain. Uniform inflow velocity and atmospheric boundary conditions were applied at the inlet and outlet of the channel, respectively. A no-slip boundary condition was adopted at the bottom of the channel, whilst an open boundary condition was applied to the sides of the channel.
The model was discretised linearly into a free tetrahedral mesh and a boundary layer mesh along the FSI boundaries to accurately capture flow fields in those regions. For the present 3D fluid FSI problem, COMSOL Multiphysics (v5.5) was used, accounting for the shared FSI nodes within the total node count [27]. Thus, the total degrees of freedom were calculated as
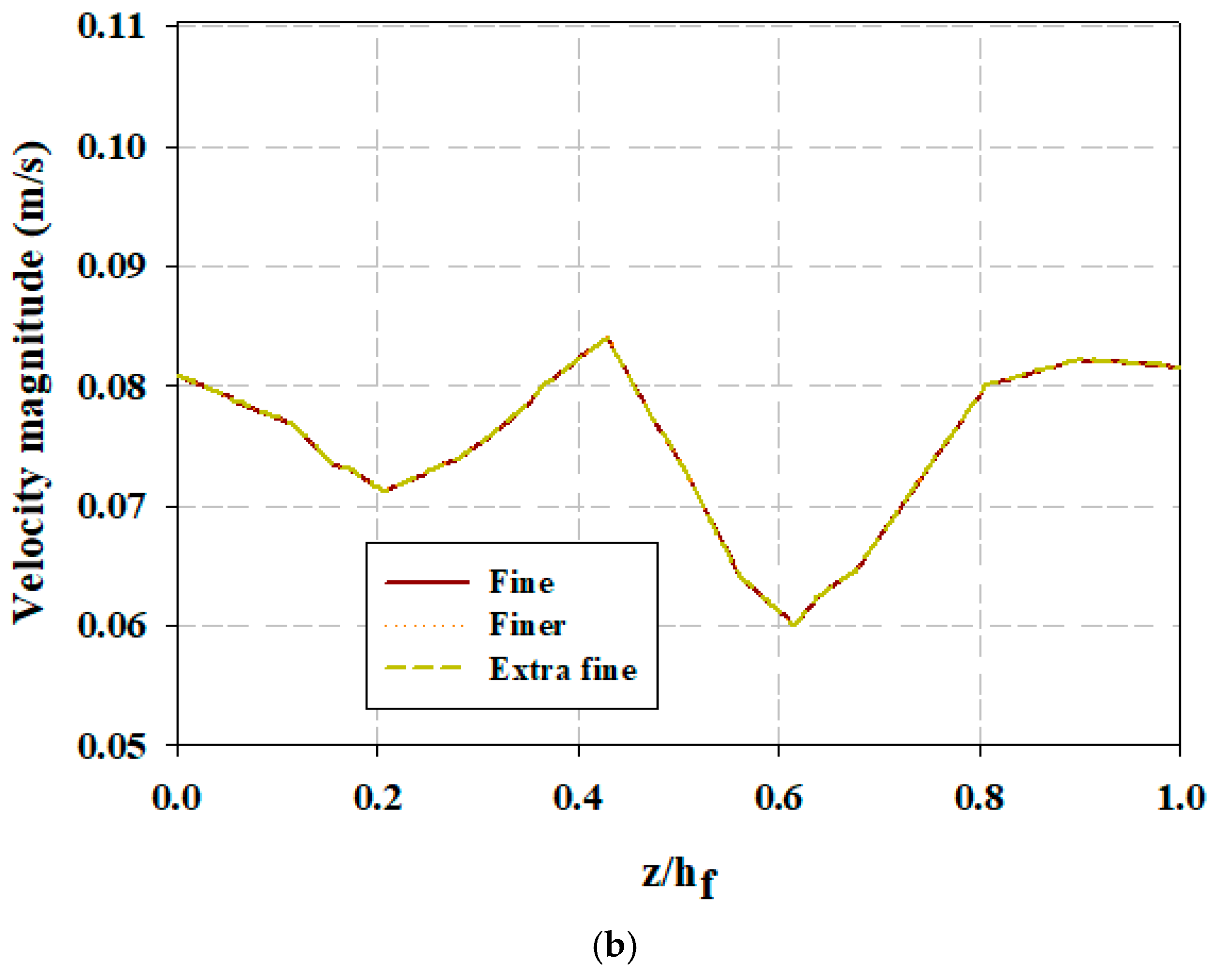
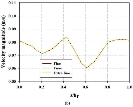
To ensure the high accuracy of results with minimal computational cost, a mesh independence test was conducted by refining the mesh and varying the mesh elements. Three different mesh sizes were adopted: coarse (326,111 elements, 56,622 nodes, with a degree of freedom of 169,866), medium (1,186,554 elements, 200,569 nodes, with a degree of freedom of 601,707) and fine (4,157,915 elements, 697,839 nodes, with a degree of freedom of 2,093,517). Figure 3 shows only a slight difference in the calculated velocity magnitude at a flow velocity of 0.2 m/s. Therefore, the medium mesh (1,186,554 elements, 200,569 nodes, with a degree of freedom of 601,707) was retained for further simulations.

Figure 3.
Mesh independence test at 0.2 m/s for the following regions: (a) Upstream region; (b) Downstream region.
Model Validation
No experimental data specific to the 3D screening mechanism were available in the literature. For instance, the experimental work by Meeds and Balmforth [9] examined the effectiveness of various wastewater screen designs against different types of solid debris. Various correlations were proposed to evaluate the effectiveness of the wastewater screen. However, these correlations were derived solely based on the quantity of solid debris entering the screen versus the solid debris captured. Therefore, these correlations are not applicable in the present context for comparison with the results of Meeds and Balmforth [9]. However, a 2D case was computationally studied by Ali et al. [7]. Thus, the computational approach was validated by Ali et al. [7] for the position of no contact between the rake and sub-screen. An inlet velocity of 0.2 m/s was considered with the no-slip condition implemented, and the velocity was plotted at a distance of 0.5 m away from the screening mechanism in the upstream and downstream regions (Figure 4). The profiles obtained from the current validation closely matched the results reported by Ali et al. [7], with 2.25% deviation across the upstream downstream regions. This indicates that the computational approach presented in this study demonstrates sufficient validity.
Figure 4.
Validation of the present model with the numerical study of Ali et al. [7] in the following regions: (a) Upstream region; (b) Downstream region.
4. Results and Discussion
The feasibility of the proposed screening mechanism was gauged by determining three different results. Firstly, flow distribution due to the screening mechanism inside the channel was analysed. Secondly, screening mechanism deformation due to drag caused by water flow was analysed. Thirdly, the von Mises stress generated at the stress-concentration locations on the screening mechanism was analysed. To perform these analyses, the FSI problem was solved using the ALE approach with two-way coupling. Section 4.1 explores the effect of the wastewater-screening mechanism on flow distribution, whilst Section 4.2 discusses how flow distribution influences the screening mechanism.
4.1. Effect of the Screening Mechanism on Flow Distribution
Velocity distribution for different positions of the sub-screen was considered, and the rake was nonoperational. Thereafter, flow distribution was determined, the sub-screen was fully lowered and the rake was at different positions.
4.1.1. Flow Distribution for Different Positions of the Sub-Screen
This section explains flow distribution in the sewage channel when the sub-screen is fully lowered (εss = 0 m), partially lowered (εss = 0.55 m) and not lowered (εss > ). The effect of the rake is absent from this section because it operates only when the sub-screen is fully lowered. Therefore, this section focuses on the position of the sub-screen, and the next section fixes the sub-screen to a fully lowered position and discusses flow behaviour at different positions of the rake.
Firstly, the case with a fully lowered sub-screen is considered, as shown in Figure 5a. The normalised velocity magnitude along the channel is plotted on the longitudinal vertical plane y = 0.1 m for an inlet velocity of 0.3 m/s. The arrows inside the channel represent the velocity field. Fluid enters the channel in the positive x-direction and passes through the screening mechanism. Drag due to the screening mechanism generates flow separation between the upstream and downstream regions with respect to the screening mechanism.

Figure 5.
Normalised velocity contour plot at y = 0.1 m for an inlet velocity of 0.3 m/s when the sub-screen is as follows: (a) Fully lowered (εss = 0 m); (b) Partially lowered (εss = 0.55 m); (c) Not lowered (εss > ); the arrows indicate velocity magnitude at the trailing points.
As the sub-screen is lifted, as shown in Figure 5b, a large volume of fluid is directed below the screening mechanism, extending flow separation between the upper and lower regions of the channel. Notably, this flow separation exhibits greater intensity than the fully lowered case because of the higher drag experienced by the fluid in the upper region of the channel as it traverses through the two screens. Therefore, this flow separation is lower in the case of the non-submerged sub-screen because the number of successive layers of the screen experienced by the fluid is decreased.
Flow separation resulting from the half-submerged and non-submerged positions of the sub-screen extends over the length of the channel and can exert an effect on the components of the wastewater treatment plant located near the end of the channel. Variations in flow separation and velocity distribution observed at different sub-screen positions can influence the efficiency of trapping solid debris. As the flow separation increases, debris may pass through the screening mechanism without being trapped, potentially reducing the effectiveness of the screen in separating solids. This effect is highlighted in Figure 6, which shows the horizontal component of velocities on the y = 0 plane for an inlet velocity of 0.3 m/s.
Figure 6.
x-component of local velocity at various points on the y = 0 m plane for an inlet velocity of 0.3 m/s when the sub-screen is as follows: (a) Fully lowered (εss = 0 m); (b) Partially lowered (εss = 0.55 m); (c) Not lowered (εss > ); the arrows indicate the horizontal velocity at the trailing points.
In the fully lowered case, as shown in Figure 6a, the horizontal velocity near the end of the channel is fairly uniform over the height of the channel, depicting a uniform load on the plant components located in this region.
However, as the sub-screen is lifted to the partially lowered position, the horizontal velocity at the end of the channel suddenly decreases to one-third of its magnitude midway along the height of the channel, as shown in Figure 6b. This flow behaviour suggests a highly uneven stress distribution on the plant components near the end of the channel when the sub-screen is partially lowered.
Finally, when the sub-screen is fully lifted, as shown in Figure 6c, the horizontal velocity near the end of the channel becomes fairly uniform again at the outlet because drag is only provided by the main screen at this time.
Notably, this fluctuation in the velocity distribution at the outlet will occur again in the same cleaning cycle until the sub-screen reaches a fully lowered position again. Moreover, the same cleaning cycle is expected to repeat itself several times throughout the day. Therefore, the plant components located at the outlet of the channel will experience an unsteady and nonuniform stress distribution throughout the day.
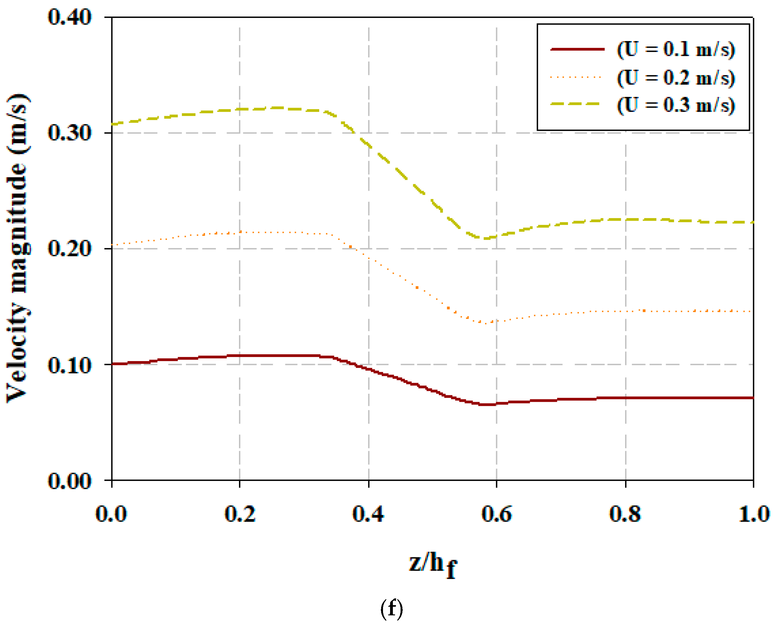
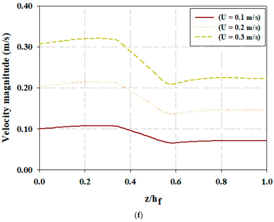
The velocity profile in the downstream region of the channel may vary at different inlet velocities. The range of inlet velocities tested in this study (0.1–0.3 m/s) corresponds to flow rates observed in moderately slow-flowing water systems, such as those described by Kleeberg et al. [36]. Such velocities are typical in river-fed wastewater channels and urban drainage systems. This variation in the downstream velocity relative to the inlet velocity is highlighted in Figure 7a–f. On the horizontal axis of these plots, the height of the channel is normalised. On the vertical axis, the magnitude of local velocity is presented. The different curves in each plot represent inlet velocities of 0.1, 0.2 and 0.3 m/s, which correspond to real-world conditions. The upstream plots in Figure 7a,c,e are plotted at 0.5 m in the upstream region of the screening mechanism (−x-direction), whilst the downstream ones in Figure 7b,d,f are plotted at 0.5 m in the downstream region of the screening mechanism. Notably, velocity not only in the upstream region but also in the downstream region is roughly a measure of the inlet flow rate. In particular, flow separation increases as the inlet velocity increases. This finding implies that at higher inlet velocities, the screening mechanism must be able to handle the effects of greater flow separation, such as greater drag, unsteady loads and potential structural fatigue. The present result also underscores the importance of the screening mechanism in withstanding nonuniform loads resulting from such effects.



Figure 7.
Flow velocity at the y = 0 plane along the channel height when the sub-screen is fully lowerd (εss = 0 m) (a) upstream and (b) downstream, when the sub-screen is partially lowerd (εss = 0.55 m) (c) upstream and (d) downstream and when the sub-screen is not lowered (εss > ) (e) upstream and (f) downstream.
4.1.2. Flow Distribution for Different Positions of the Rake
This section discusses flow distribution when the rake is in operation. For the scope of the present study, three critical positions of the rake are considered during its operation cycle: (1) When the rake is at the posterior extreme position (φr = −75°); (2) When the rake is aligned vertically and facing the flow (φr = 0°); (3) When the rake is at the frontal extreme position (φr = 105°). As discussed earlier, the sub-screen will be fully lowered for all the considered rake positions.
The normalised velocity contour plots for different positions of the rake are shown in Figure 8a–c, where the arrows represent the velocity field. Notably, severe flow separation ensues when the rake is lowered into the sewage channel. This flow separation is particularly pronounced in the wake region of the rake. However, this flow separation dampens channel length. Therefore, the movement of the rake does not generate considerable nonuniformity in the flow near the channel outlet.
Figure 8.
Normalised velocity contour plot at y = 0.1 m for an inlet velocity of 0.3 m/s when the rake is at the following extremes: (a) Posterior extreme (φr = −75°); (b) Vertical extreme (φr = 0°); (c) Frontal extreme (φr = 105°); the arrows indicate velocity magnitude at the trailing points.
However, a difference in velocity magnitude near the outlet is observed for the various positions of the rake. This finding suggests an unsteady load application on plant components near the outlet of the channel whilst the rake is operational. This behaviour is clearly depicted in Figure 9a–c, which shows the horizontal component of the velocities on the y = 0 plane for the three considered rake positions at a water flow velocity of 0.3 m/s. In particular, flow distribution over the height near the outlet of the channel is uniform when the rake is at the posterior extreme position (φr = −75°), as shown in Figure 9 (a). When the rake reaches the vertical position (φr = 0°), as shown in Figure 9b, the velocity at the end of the channel decreases due to the obstruction provided by the rake, which is positioned normally to the direction of water flow. Finally, as the rake reaches the frontal extreme position (φr = 105°), the velocity at the end of the channel increases.

Figure 9.
x-component of local velocity at various points on the y = 0 m plane for an inlet velocity of 0.3 m/s when the rake is at the following positions: (a) Posterior extreme (φr = −75°); (b) Vertical extreme (φr = 0°); (c) Frontal extreme (φr = 105°); the arrows indicate horizontal velocity at the trailing points.
As the rake reaches the vertical position, the velocity profile relative to the channel height assumes a sinusoidal profile with a crest midway in the height of the channel. Thereafter, as the rake traverses to the frontal extreme, the velocity profile at the end of the channel remains sinusoidal with a crest near the bottom. This flow behaviour is due to the waves generated inside the water as the rake traverses inside the water. Although these changes are slight, an extreme load may result on plant components because of the high volume of water in which this wave is generated. These velocity changes caused by the rake movement can influence how effectively the screen traps solid debris. When the rake is at extreme positions, it might cause more or less flow disturbance, potentially allowing debris to either pass through the screen more easily or causing debris to accumulate more effectively depending on flow characteristics. Finally, the wavelike profile is superimposed with the unsteady magnitude of the average velocity near the end of the flow channel.
The flow profile in the vicinity of the screening mechanism whilst the rake is in operation is plotted in Figure 10a at a distance of 0.5 m towards upstream of the screening mechanism and in Figure 10b at a distance of 0.5 m towards downstream of the screening mechanism. The horizontal axis shows the normalised height of the channel, and the vertical axis shows the local velocity magnitude. In the vicinity of the screening mechanism, velocity is mostly affected in the upper half when the rake is in the posterior extreme and is mostly affected in the lower half when the rake is at the vertical position. Finally, velocity is most affected midway in the height of the channel when the rake is at the frontal extreme position.
Figure 10.
Effects of the rake on velocity magnitude for the three positions of the rake in the following regions: (a) Upstream region; (b) Downstream region.
4.2. Effect of Flow Distribution on the Screening Mechanism
After the flow velocities are obtained, they are inputted into the solid mechanics model to solve the FSI problem by using the ALE approach with two-way coupling. This section presents the results of structural deformations and von Mises stresses associated with the main screen, the sub-screen and the rake.
4.2.1. Structural Deformation
This section discusses structural deformations in the screening mechanism. Firstly, structural deformation in the screening mechanism that corresponds to different positions of the sub-screen is computed whilst the rake is nonoperational. Thereafter, structural deformation is plotted for the fully lowered sub-screen whilst the different positions of the rake are considered.
Structural Deformation for Different Positions of the Sub-Screen
Figure 11a–c show the normalised deformation contour on the screening mechanism at U = 0.3 m/s for the fully lowered (εss = 0 m), partially lowered (εss = 0.55 m) and not lowered (εss > ) configurations of the sub-screen.

Figure 11.
Normalised deformation contour plots of the wastewater-screening mechanism at U = 0.3 m/s when the sub-screen is as follows: (a) Fully lowered (εss = 0 m); (b) Partially lowered (εss = 0.55 m); (c) Not lowered (εss > ).
No significant deformation is observed in the main screen relative to the deformation in the sub-screen for the fully and partially lowered configurations. This is evident in Figure 11a, which shows the normalised deformation when the sub-screen is fully lowered. The deformation remains zero across the entire main screen despite partial overlap with the sub-screen. Therefore, in Figure 11b, where the sub-screen fully overlaps the main screen, the main screen experiences negligible deformation as it is fully shielded from direct fluid forces by the sub-screen. The profile of the deformations experienced by the main screen is presented in Figure 11c. The deformation of the main screen is of low value but fluctuates and thus increases fluctuations in stress in the main screen. In addition, the supports of the main screen located near the surface of the water can contribute to the low deformation of the main screen.
With regard to the deformation of the sub-screen, Figure 11a,b show that the vertical bars undergo deformation in the direction of flow whilst the horizontal bars deform by bending downwards. The displacement in the horizontal bars causes them to move apart from one another, resulting in an increased spacing between adjacent horizontal bars. The vertical bars are deformed in the upper middle region of the sub-screen. This concentrated deformation in the upper middle region of the sub-screen can be attributed to the fact that the vertical bars are less constrained in this region, and thus they deform more freely. Similarly, with regard to the horizontal bars in the lower section of the sub-screen, the greatest deformation occurs in the middle region because the lateral support of the vertical bars at the extreme ends of the sub-screen constrain the deformation of the horizontal bars at these extreme regions. This deformation in the screening mechanism, particularly in the spacing between bars, can potentially influence the ability of the mechanism to trap solid debris. For example, excessive deformation can increase the gap between bars, potentially allowing small debris to pass through and thereby reducing trapping efficiency. The structure stays largely undeformed in the region of the sub-screen where horizontal and vertical bars meet.
Deformations in the sub-screen can be evaluated using Figure 12, where deformations are plotted against the normalised length of the vertical FSI boundary for an inlet velocity of 0.3 m/s. The vertical FSI boundary coincides with the length pss of the vertical bars on the sub-screen. The initial point of the vertical FSI boundary is located at the point where the topmost horizontal bar meets the vertical bar. Thus, p represents displacement from this point along the FSI boundary. The different curves represent the different vertical bars on the sub-screen.

Figure 12.
Deformation of the vertical bars of the sub-screen for U = 0.3 m/s when the sub-screen is as follows: (a) Fully lowered (εss = 0 m); (b) Partially lowered (εss = 0.55 m).
When the sub-screen is lifted from the fully lowered position to the partially lowered position, deformations in the vertical bars are not considerably affected, as revealed by the comparison between the plots in Figure 12a,b. However, the case is different for the vertical bars, as shown in Figure 13, which plots deformations against the normalised length of the horizontal FSI boundary at an inlet velocity of 0.3 m/s. The horizontal FSI boundary coincides with the length qss of the horizontal bars on the sub-screen. The initial point of the vertical FSI boundary is located at the leftmost end of the sub-screen when viewed from the front. Thus, q represents displacement from this point along the FSI boundary. The three curves in Figure 13a,b represent the three horizontal bars of the sub-screen.

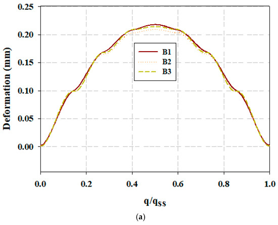
Figure 13.
Deformation of the horizontal bars of the sub-screen for U = 0.3 m/s when the sub-screen is as follows: (a) Fully lowered (εss = 0 m); (b) Partially lowered (εss = 0.55 m).
Notably, the maximum deformation on the horizontal bars decreases as the sub-screen is lifted from the fully lowered position to the partially lowered position, as revealed when the plots in Figure 13 a are compared with those in Figure 13b. This decrease in deformations can be attributed to the following reason: when the sub-screen is lifted to the partially lowered position, a considerable amount of water passes from the unobstructed region below the sub-screen and main screen. Given this phenomenon, less water passes through the cross-section obstructed by the screening mechanism, and thus, less load is placed on the bars. In contrast to the vertical bars, which deform mostly in the direction of flow, the horizontal bars tend to deform in a normal direction relative to flow through the bars. Moreover, these bars are prone to deform because of their great length, as indicated in the comparison between Figure 13a,b.
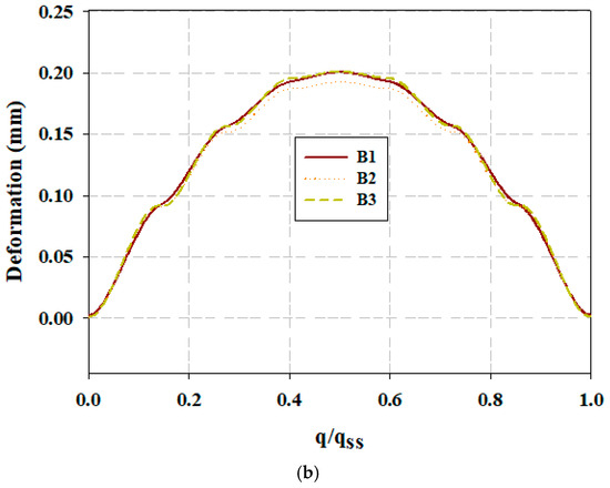
Finally, the deformations of the sub-screen in the present study considerably decreased compared with a similar sub-screen in Akhtar et al. [10]. The sub-screen in the earlier study exhibited a maximum deformation of 2.2 mm. By contrast, the maximum deformation in the present sub-screen is 0.9 mm for the vertical bars and 0.2 mm for the horizontal bars, demonstrating considerable improvement compared with that in Akhtar et al. [10]. This improvement is primarily due to the introduction of horizontal bars in the lower section, which increases the overall stiffness of the screen, reducing deformations. In addition, the horizontal bars in the lower section of the sub-screen are more effective at trapping sunken waste, creating a more uniform flow through the sub-screen and distributing stress efficiently. These factors reduce deformations in the present model.
Structural Deformations for the Main Screen
The deformations of the main screen are plotted in Figure 14 for different bars of the main screen at U = 0.3 m/s against the normalised length of the FSI boundary on the main screen. The FSI boundary coincides with the submerged height hms of the main screen bars, and the initial point of this FSI boundary is located at the tip of the main screen. Thus, in Figure 14, m represents displacement from this point along the main screen FSI boundary. The different curves show the von Mises values obtained at different bars of the main screen.
Figure 14.
Deformation of the main screen bars at U = 0.3 m/s when the sub-screen is not lowered (εss > ).
As expected, the highest deformation in the main screen is located at the bottommost location on the main screen FSI boundary. The deformation here is 0.004 mm, which is miniscule compared with the maximum deformation in the sub-screen, as discussed earlier.
Structural Deformations for Different Positions of the Rake
Figure 15a–c show the normalised contour plots of rake deformation as it traverses from the posterior extreme (φr = −75°) to the vertical extreme (φr = 0) and finally to the frontal extreme (φr = 105°) angular position. These contours are for an inlet velocity of U = 0.3 m/s. Figure 15a–c show that fluid forces considerably deform the middle region of the rake head. In the posterior and frontal extremes, as shown in Figure 15a–c, deformations are due to load from the fluid below the rake. At the vertical extreme position of the rake, deformations are due to load on the front. This finding can be useful in the manufacturing of the rake movement mechanism.
Figure 15.
Normalised deformation contour plots of the rake for U = 0.3 m/s at the following positions: (a) Posterior extreme (φr = −75°); (b) Vertical extreme (φr = 0°); (c) Frontal extreme (φr = 105°).
Deformations in the rake can be assessed using Figure 16, where deformations are plotted against the normalised length of the FSI boundary on the rake at an inlet velocity of 0.3 m/s. The FSI boundary on the rake is set to coincide with the length of the rake. The initial point of the FSI boundary on the rake is located at the tip of the rake pin. The variable ℓ represents displacement from this point along the FSI boundary. The different curves in each plot represent different rake pins.

Figure 16.
Deformation of the different rake pins at U = 0.3 m/s when the rake is at the following positions: (a) Posterior extreme (φr = –75°); (b) Vertical extreme (φr = 0°); (c) Frontal extreme (φr = 105°).
As the rake traverses from the posterior extreme (Figure 16a) to the vertical extreme (Figure 16b) position, deformations in the rake decrease despite the increased flow separation in the vicinity of the rake at the vertical extreme, as shown in Figure 8b.
The increase in deformations at the rear edge of the rake is caused by the flow characteristics in the gap between the main screen and the sub-screen. As fluid moves through the gap, its velocity increases just before it reaches the rake, as shown in Figure 8c. However, when the rake reaches the vertical extreme, the load of the flow that is impinging onto it is reduced by flowing through the sub-screen, which is located directly in front of the rake.
Furthermore, as the rake traverses from the vertical extreme (Figure 16b) to the frontal extreme (Figure 16c), deformations in the rake further decrease. This reduction is partly due to the orientation of the rake at this position and partly to the topmost portion of the sub-screen that is absorbing the load from the water flow.
As discussed in Section 2.1, the bars of the screening mechanism are proposed to be made of structural steel, which exhibits a high yield strength and modulus of elasticity. However, to enhance resistance to corrosion and fouling in the harsh wastewater environment, steel can be treated with protective coatings for corrosion resistance, such as epoxy or galvanised zinc, which prolong the life of steel [37,38]. These methods prevent corrosion-related degradation and facilitate the maintenance of the original mechanical properties of steel over time.
4.2.2. Structural Stress Distribution
In the present section, the von Mises yield criterion is used in determining whether the sub-screen and rake models yield when subjected to different fluid forces. The von Mises stress criterion states that if the value of the von Mises stress exceeds the yield strength of a material used in a structure, then the structure will fail by yielding under the given load conditions [22]. Thus, the von Mises stress in the main screen, sub-screen and rake will lie near the material yield strength of structural steel used for components (250 MPa). Then, the proposed screening mechanism will fail under the given load conditions.
High von Mises stress at a specific location is primarily caused by sudden changes or irregularities in geometry, such as fillets, holes, grooves, keyways, splines, tool marks or manufacturing defects. These features act as stress concentrators, and the model is prone to fracture near these areas because of elevated stress levels [39,40,41].
In the next few sections, the von Mises stress generated in the different components of the proposed screening mechanism is analysed. These components are the sub-screen, main screen and rake. Firstly, von Mises stress is computed in the sub-screen when it is in the fully and partially lowered configurations. Then, von Mises stress is computed in the main screen when the sub-screen is in the not lowered position. Finally, von Mises stress is computed at the different positions of the rake whilst the sub-screen is fully lowered.
Stress Distribution in the Sub-Screen at Different Positions
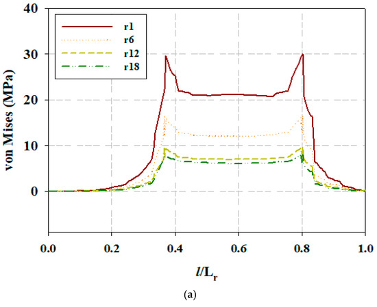
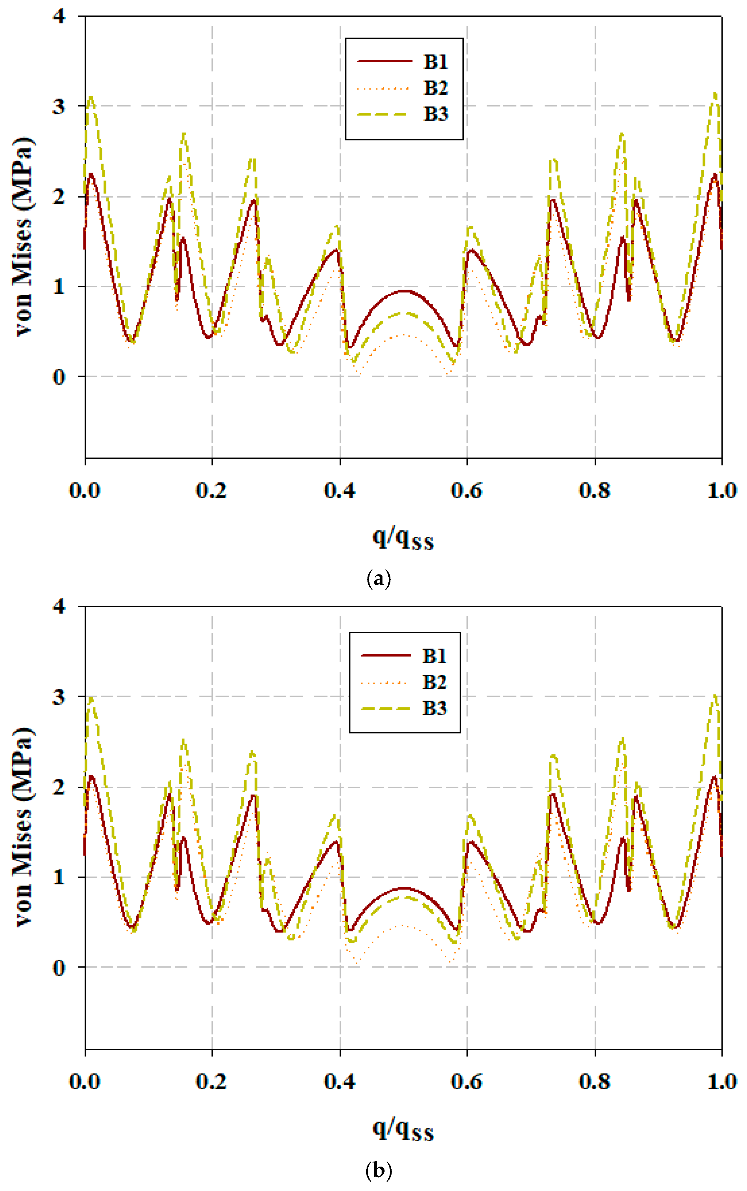
The von Mises stress in the sub-screen is illustrated in Figure 17, where the von Mises stress is plotted against the normalised length of the vertical FSI boundary for an inlet velocity of 0.3 m/s. The vertical FSI boundary coincides with the length pss of the vertical bars on the sub-screen. The initial point of the vertical FSI boundary is located at the point where the topmost horizontal bar meets the vertical bar. Thus, p represents the displacement from this point along the FSI boundary. The different curves show the von Mises values obtained at the different vertical bars on the sub-screen.

Figure 17.
Von Mises stress profile of the vertical bars of the sub-screen for U = 0.3 m/s when the sub-screen is as follows: (a) Fully lowered (εss = 0 m); (b) Partially lowered (εss = 0.55 m).
Notably, the highest von Mises stress values are at the lateral ends of the sub-screen because these locations receive the load from the water flow but resist deformations because of their respective positions on the geometry of the screening mechanism.
The von Mises stress field under the condition in which the sub-screen is fully lowered is shown in Figure 17a. The von Mises stress value in the lateral-most bars (represented by the curve B1) peaks at two locations, with each corresponding to a stress concentration point on the sub-screen. The first peak assumes a value of 3.8 MPa and corresponds to the corner at which the topmost horizontal bar meets the vertical bar. The second peak assumes a value of 3.7 MPa and corresponds to the joint at the location of the horizontal supporting rod. The other vertical bars of the sub-screen exhibit a similar trend, as shown in Figure 17a.
Similarly, in Figure 17b, where the sub-screen is partially lowered, the two peak values in the lateral-most bars are 3.5 and 3.4 MPa, which correspond to the aforementioned corner and joint, respectively. These von Mises stress values are lower than those when the sub-screen is fully lowered. This result shows that stress at these locations on the sub-screen tends to decrease as the sub-screen is lifted.
The von Mises stress values for the horizontal bars are plotted in Figure 18, where the von Mises stresses are shown against the normalised length of the horizontal FSI boundary for an inlet velocity of 0.3 m/s. The horizontal FSI boundary coincides with the length qss of the horizontal bars on the sub-screen. The initial point of the vertical FSI boundary is located at the leftmost end of the sub-screen when viewed from the front. Thus, q represents the displacement from this point along the FSI boundary. The three curves in Figure 18a,b represent the three horizontal bars of the sub-screen, and B1 is the topmost bar, whereas B3 is the bottommost bar.
Figure 18.
Von Mises stress profile of the horizontal bars of the sub-screen for U = 0.3 m/s when the sub-screen is as follows: (a) Fully lowered (εss = 0 m); (b) Partially lowered (εss = 0.55 m).
The peaks on the plots in Figure 17 and Figure 18 that correspond to the locations of the vertical supporting rods (Figure 1) indicate that the von Mises stress is high in the vicinity of these rods. The peaks located midway between the vertical rods represent the von Mises stress due to the bending moment in the bars at these locations. Notably, peak stress is generally the highest at the lateral extremes of the bars. This result indicates a higher concentration of von Mises stress at the lateral extreme of the sub-screen and a low concentration of von Mises stress in the middle region.
Finally, the von Mises stress is the highest in bar B3 and lowest in bar B1. This condition occurs because bar B3, which is the lowest horizontal bar that is in direct contact with the ground, is subjected to a large reactionary force from the ground. This reactionary force causes higher stress in B3 compared with those in the other bars (B1 and B2), which are not in contact with the ground. The effect of this force is observed in the form of increased von Mises stress on bar B3. Furthermore, the aforementioned values of the von Mises stress on the sub-screen are low compared with the von Mises yield criterion of steel (250 MPa). Therefore, the simulations suggest that the sub-screen will not collapse under the given operating conditions.
Stress Distribution in the Main Screen
The von Mises stress inside the main screen is plotted in Figure 19 for different bars of the main screen at U = 0.3 m/s against the normalised length of the FSI boundary on the main screen. The FSI boundary coincides with the submerged height hms of the main screen bars. The initial point of this FSI boundary is located at the tip of the main screen. Thus, in Figure 19, m represents displacement from this point along the main screen FSI boundary. The different curves show the von Mises values obtained at the different bars of the main screen.
Figure 19.
Von Mises stress profile of the main screen bars at U = 0.3 m/s when the sub-screen is not lowered (εss > ).
Notably, the highest von Mises stress is located at the topmost location on the main screen FSI boundary because this region is connected to the wall of the bank and acts as a stress concentrator.
The value of the von Mises stress here is 0.23 MPa, which is extremely small compared with the von Mises yield strength of structural steel (250 MPa). Therefore, the simulations indicate that the main screen will not collapse under the assumed loading conditions.
Stress Distribution in the Rake
The von Mises stress in the rake pins is shown for the posterior extreme (φr = −75°), vertical extreme (φr = 0°) and frontal extreme (φr = 105°) positions in Figure 20a, Figure 20b and Figure 20c, respectively. The von Mises stress values are plotted against the normalised length of the FSI boundary on the rake at an inlet velocity of 0.3 m/s.

Figure 20.
Von Mises stress profile on the rake pins at U = 0.3 m/s when the rake is at the following positions: (a) Posterior extreme (φr = −75°); (b) Vertical extreme (φr = 0°); (c) Frontal extreme (φr = 105°).
The FSI boundary on the rake is set to coincide with the length of the rake. The initial point of the FSI boundary on the rake is located at the tip of the rake pin. ℓ represents displacement from this point along the FSI boundary. The different curves in each plot represent various rake pins.
The peaks in these plots correspond to the stress concentration locations where the rake teeth are attached to the head region of the rake (corners). The von Mises stress in the rake is considerably high when the rake is at the posterior extreme (Figure 20a) position compared with when the rake is at the vertical extreme position (Figure 20b). This behaviour is demonstrated despite the greater flow separation in the vicinity of the rake at the vertical extreme, as shown in Figure 8b. The von Mises stress at the posterior end of the rake is high because of the fluid flow dynamics in the gap between the main screen and the sub-screen. As fluid moves through this gap, its velocity increases just before it reaches the rake, as shown in Figure 8a. However, when the rake reaches the vertical extreme position, the flow load that is impinging onto it is reduced by flowing through the sub-screen located directly in front of the rake. As the rake traverses from the vertical extreme (Figure 20b) to the frontal extreme (Figure 20c), the von Mises stress in the rake further decreases. This decrease is partly due to the orientation of the rake at this position and to the absorption of the load from the water flow by the topmost portion of the sub-screen. Finally, the values of the von Mises stress on the rake are low compared with the yield strength of steel (250 MPa). Therefore, the simulations indicate that the rake head will not collapse under the given operating conditions.
5. Conclusions
The study computationally investigates the interaction involving a wastewater-screening mechanism installed in a sewage channel located at the entrance of a wastewater treatment plant. The screening mechanism proposes a rake movement mechanism for discarding floating waste materials and an ascendable sub-screen for eliminating waste materials that have sunk to the floor of the channel. The flow inside the channel is considered at different heights of the sub-screen and critical orientations of the rake. The FSI problem is solved using the ALE approach, and the associated flow velocity distribution, structural deformation and von Mises stress are computed. The major conclusions drawn from the study are summarised as follows:
- Flow separation traverses to the end of the channel only when the sub-screen is partially lowered. In this case, the sub-screen is positioned directly in front of the main screen, creating a significant resistance to flow and resulting in considerable flow separation near the outlet. In the fully lowered and non-lowered cases of the sub-screen, a uniform load is delivered to the outlet.
- At high velocities, the screening mechanism is subjected to a large load, which results in increased flow separation inside the channel.
- When the rake is in operation, it does not affect the uniformity of the flow, even though its movement generates an unsteady load at the outlet.
- The maximum deformation in the sub-screen considerably decreases to 0.9 mm in the vertical bars and 0.2 mm in the horizontal bars when compared with similar designs in the literature, which consist of vertical bars only. Thus, the inclusion of horizontal bars increases the structural stiffness and resiliency of the screen under operational stress.
- On the sub-screen, the deformations in the vertical bars occur in the direction of flow, whereas those in the horizontal bars occur laterally, outward from the sub-screen. The deformations in the rake decrease as it moves from the posterior extreme to the vertical extreme position and finally to the frontal extreme position.
- The maximum von Mises stress values in this design are well below the yield strength of 250 MPa, peak stress values are 3.8 MPa in the sub-screen and 0.23 MPa in the main screen and reduced stress is observed across various rake positions. This result indicates that the proposed screening mechanism can withstand operational stress without risk of failure in the long term, highlighting the durability of the design.
In the current design, which incorporates vertical and horizontal bars in the sub-screen, the components of the screening mechanism are subjected to unsteady and nonuniform stress distribution throughout the day. However, overall deformation and stress in this design are considerably lower than those in similar screening mechanisms where the sub-screen consists only of vertical bars. Moreover, the range of inlet velocities tested in this study (0.1–0.3 m/s) corresponds to flow rates observed in river-fed wastewater channels and urban drainage systems. The proposed mechanism demonstrates stable operation even at the upper end of this range. This alignment between the tested velocity range and observed real-world conditions in water systems suggests that the design could effectively function under the higher flow rates that might be encountered during heavy rainfall or in channels with significant hydraulic loads.
Author Contributions
Conceptualisation, S.A.M., S.A. and C.-W.P.; methodology, S.A.M. and S.A.; software, S.A.M., S.A. and C.-W.P.; formal analysis, S.A.M. and S.A.; investigation, S.A.M. and S.A.; resources, H.-B.C., D.-W.C. and C.-W.P.; data curation, S.A.M. and S.A.; writing-original draft preparation, S.A.M. and S.A.; writing–review and editing, S.A.M, R.D. and C.-W.P.; visualisation, S.A.M., S.A. and R.D.; supervision, C.-W.P. All authors have read and agreed to the published version of the manuscript.
Funding
This work was supported by the National Research Foundation of Korea grant funded by the Korean government (MSIT, Nos. RS-2023-00208673 and RS-2024-00406223). The authors would like to thank the initiation of the I-ENTEC Co., Ltd.
Data Availability Statement
The data used to support the findings of this study are included within the article.
Conflicts of Interest
Author Hyeon Bae Chae and Du Whan Choi employed by the company 3 I-ENTEC Co., Ltd. The remaining authors declare that the research was conducted in the absence of any commercial or financial relationships that could be construed as a potential conflict of interest.
Nomenclature
| f | body force [N/m3] |
| h | height [m] |
| I | identity matrix |
| K | turbulent kinetic energy [m²/s²] |
| l | length [m] |
| p | pressure [Pa] |
| r | radius [m] |
| Re | Reynolds number |
| Rh | hydraulic radius [m] |
| s | separation [m] |
| t | thickness [m] |
| U | sewage inlet flow velocity [m/s] |
| Umax | maximum fluid velocity [m/s] |
| U | time-averaged velocity field [m/s] |
| u | velocity vector [m/s] |
| u′ | fluctuating component of velocity [m/s] |
| W | strain energy density function |
| w | width [m] |
| Greek symbols | |
| μ | dynamic viscosity [Pa·s] |
| kinematic eddy viscosity [Pa·s] | |
| ρ | density [kg/m³] |
| σij | stress tensor in a solid [N/m²] |
| σk | Prandtl number for kinetic energy |
| Prandtl number for dissipation rate | |
| θ | slant angle of the screening mechanism |
| Subscripts | |
| b | individual bar of the main screen or the sub-screen |
| f | fluid |
| ms | main screen |
| r | rake |
| s | solid |
| ss | sub-screen |
| Coordinates | |
| (x,y,z) | global coordinate system |
| φ | clockwise angular displacement from the −z-direction at the rake rotation axis |
| ε | vertical displacement from the channel floor |
References
- Gupta, V.K.; Ali, I.; Saleh, T.A.; Nayak, A.; Agarwal, S. Chemical Treatment Technologies for Waste-Water Recycling—An Overview. RSC Adv. 2012, 2, 6380–6388. [Google Scholar] [CrossRef]
- Novak, M.; Horvat, P. Mathematical Modelling and Optimisation of a Waste Water Treatment Plant by Combined Oxygen Electrode and Biological Waste Water Treatment Model. Appl. Math. Model. 2012, 36, 3813–3825. [Google Scholar] [CrossRef]
- Newton, C.; Wilson, J.P. Recirculating Gravel Filters: High-Performance Treatment at Low Cost for Two Small Communities. Water Sci. Technol. 2008, 58, 1245–1251. [Google Scholar] [CrossRef] [PubMed]
- Osei, K.; Andoh, R. Optimal Grit Removal and Control in Collection Systems and at Treatment Plants. In World Environmental and Water Resources Congress 2008; American Society of Civil Engineers: Reston, VA, USA, 2008; pp. 1–7. [Google Scholar] [CrossRef]
- Finger, R.E.; Parrick, J. Optimization of Grit Removal at a Wastewater Plant. J. Water Pollut. Control Fed. 1980, 52, 2106–2116. [Google Scholar]
- Sharpe, D.E.; Kirkbride, T.W. Storm-Water Overflows: The Operation and Design of a Stilling Pond. Proc. Inst. Civ. Eng. 1959, 13, 445–466. [Google Scholar] [CrossRef]
- Ali, H.; Kim, K.W.; Bang, S.G.; Chae, H.B.; Shin, S.W.; Park, C.W. Numerical Modeling of Fluid–Structure Interaction Between Sewage Water Flow and Bar Screen to Improve the Screening Process. Water Environ. J. 2019, 33, 560–573. [Google Scholar] [CrossRef]
- Spellman, F.R. Spellman’s Standard Handbook for Wastewater Operators: Volume I, Fundamental Level, Second Edition; CRC Press: Boca Raton, FL, USA, 2010. [Google Scholar] [CrossRef]
- Meeds, B.; Balmforth, D.J. Full-Scale Testing of Mechanically Raked Bar Screens. Water Environ. J. 1995, 9, 614–620. [Google Scholar] [CrossRef]
- Akhtar, S.; Memon, S.A.; Chae, H.B.; Choi, D.W.; Park, C.W. Hydrostructural Phenomena in a Wastewater Screening Channel with an Ascendable Sub-Screen Using the Arbitrary Lagrangian–Eulerian Approach. Appl. Sci. 2024, 14, 76. [Google Scholar] [CrossRef]
- Lee, Y.H.; Lee, W.H.; Kim, K.W.; Ali, H.; Cheema, T.A.; Kwak, M.K.; Park, C.W. Numerical Investigation of Stress–Strain and Deformation Characteristics Imposed upon Automatic Screener Rakes. Mater. Res. Innov. 2014, 18, S5-17–S5-20. [Google Scholar] [CrossRef]
- Anderson, R.W.; Elliott, N.S.; Pember, R.B. An Arbitrary Lagrangian-Eulerian Method with Adaptive Mesh Refinement for the Solution of the Euler Equations. J. Comput. Phys. 2004, 199, 598–617. [Google Scholar] [CrossRef]
- Duarte, F.; Gormaz, R.; Natesan, S. Arbitrary Lagrangian-Eulerian Method for Navier-Stokes Equations with Moving Boundaries. Comput. Methods Appl. Mech. Eng. 2004, 193, 4819–4836. [Google Scholar] [CrossRef]
- Liu, Z.G.; Liu, Y.; Lu, J. Fluid-Structure Interaction of Single Flexible Cylinder in Axial Flow. Comput. Fluids 2012, 56, 143–151. [Google Scholar] [CrossRef]
- Clair, G.; Ghidaglia, J.M.; Perlat, J.P. A Multi-Dimensional Finite Volume Cell-Centered Direct ALE Solver for Hydrodynamics. J. Comput. Phys. 2016, 326, 312–333. [Google Scholar] [CrossRef]
- Zheng, X.; Karniadakis, G.E. A Phase-Field/ALE Method for Simulating Fluid–Structure Interactions in Two-Phase Flow. Comput. Methods Appl. Mech. Eng. 2016, 309, 19–40. [Google Scholar] [CrossRef]
- Szabo-Meszaros, M.; Navaratnam, C.U.; Aberle, J.; Silva, A.T.; Forseth, T.; Calles, O.; Fjeldstad, H.P.; Alfredsen, K. Experimental Hydraulics on Fish-Friendly Trash-Racks: An Ecological Approach. Ecol. Eng. 2018, 113, 11–20. [Google Scholar] [CrossRef]
- Schalko, I.; Weitbrecht, V. Wood Blockage and Sediment Transport at Inclined Bar Screens. J. Hydraul. Res. 2022, 60, 164–172. [Google Scholar] [CrossRef]
- D’Agostino, V.; Degetto, M.; Righetti, M. Experimental Investigation on Open Check Dams for Coarse Woody Debris Control; Dyn. water sediments Mt. basins—Spec. issue; Quaderni di Idronomia Montana: Cosenza, Italy, 2000; pp. 201–212. Available online: https://www.research.unipd.it/handle/11577/1342701 (accessed on 1 January 2024).
- Schmocker, L.; Hager, W.H. Scale Modeling of Wooden Debris Accumulation at a Debris Rack. J. Hydraul. Eng. 2013, 139, 827–836. [Google Scholar] [CrossRef]
- Raynal, S.; Chatellier, L.; Courret, D.; Larinier, M.; David, L. An Experimental Study on Fish-Friendly Trashracks—Part 2. Angled Trashracks. J. Hydraul. Res. 2013, 51, 67–75. [Google Scholar] [CrossRef]
- Beer, F.; Johnston, R.E.; DeWolf, J.; Mazurek, D. Mechanics of Materials; McGraw-Hill: New York, NY, USA, 2011. [Google Scholar]
- Samstag, R.W.; Ducoste, J.J.; Griborio, A.; Nopens, I.; Batstone, D.J.; Wicks, J.D.; Saunders, S.; Wicklein, E.A.; Kenny, G.; Laurent, J. CFD for Wastewater Treatment: An Overview. Water Sci. Technol. 2016, 74, 549–563. [Google Scholar] [CrossRef] [PubMed]
- Stricker, M.; Littfinski, T.; Heinz, E.; Pecher, K.H.; Lübken, M.; Grüning, H.; Wichern, M. Design-Oriented Evaluation of the Hydrodynamics in a Full-Scale Combined Filter-Lamella Separator for Urban Stormwater Treatment. Water Sci. Technol. 2022, 85, 2854–2868. [Google Scholar] [CrossRef] [PubMed]
- Basting, S.; Quaini, A.; Čanić, S.; Glowinski, R. Extended ALE Method for Fluid–Structure Interaction Problems with Large Structural Displacements. J. Comput. Phys. 2017, 331, 312–336. [Google Scholar] [CrossRef]
- Pei, J.; Meng, F.; Li, Y.; Yuan, S.; Chen, J. Fluid-Structure Coupling Analysis of Deformation and Stress in Impeller of an Axial-Flow Pump with Two-Way Passage. Adv. Mech. Eng. 2016, 8, 1687814016646266. [Google Scholar] [CrossRef]
- COMSOL Inc. CFD Documentation. 2020. Available online: https://doc.comsol.com/5.6/docserver (accessed on 25 February 2021).
- Souli, M.; Zolesio, J.P. Arbitrary Lagrangian-Eulerian and Free Surface Methods in Fluid Mechanics. Comput. Methods Appl. Mech. Eng. 2001, 191, 451–466. [Google Scholar] [CrossRef]
- Te Chow, V. Open Channel Hydraulics; McGraw-Hill: New York, NY, USA, 1959. [Google Scholar]
- Wilcox, D.C. Reassessment of the Scale-Determining Equation for Advanced Turbulence Models. AIAA J. 1988, 26, 1299–1310. [Google Scholar] [CrossRef]
- Wilcox, D.C. Simulation of Transition with a Two-Equation Turbulence Model. AIAA J. 1994, 32, 247–255. [Google Scholar] [CrossRef]
- Munson, B.R.; Young, D.F.; Okiishi, T.H. Fundamentals of Fluid Mechanics. Fundamentals of Fluid Mechanics, 2nd ed.; John Wiley and Sons Ltd.: Boca Raton, FL, USA, 1994; Available online: https://www.amazon.com/Fundamentals-Fluid-Mechanics-Bruce-Munson/dp/0471305855 (accessed on 1 January 2024).
- Hintermüller, M.; Kröner, A. Differentiability Properties for Boundary Control of Fluid-Structure Interactions of Linear Elasticity with Navier-Stokes Equations with Mixed-Boundary Conditions in a Channel. Appl. Math. Optim. 2023, 87, 15. [Google Scholar] [CrossRef]
- Ciarlet, P.G. Mathematical Elasticity, Volume I: Three-Dimensional Elasticity; SIAM—Society for Industrial and Applied Mathematics: Philadelphia, PA, USA, 1988. [Google Scholar]
- Zhang, Q.; Song, C. Multiphysics Modeling—Numerical Methods and Engineering Applications. 2016. Available online: https://www.elsevier.com/books/T/A/9780124077096 (accessed on 7 March 2021).
- Kleeberg, A.; Hupfer, M.; Gust, G. Quantification of Phosphorus Entrainment in a Lowland River by In Situ and Laboratory Resuspension Experiments. Aquat. Sci. 2008, 70, 87–99. [Google Scholar] [CrossRef]
- Al-Dulaijan, S.U. A Laboratory and Field Assessment of the Performance of Rebar Coatings. Materials 2023, 16, 4270. [Google Scholar] [CrossRef] [PubMed]
- Jamil, I.; Bano, H.; Castano, J.G.; Zafar, F.; Mahmood, A. Atmospheric Corrosion Kinetics and Dynamics of Electrogalvanized Mild Steel in Southeastern Coastal Area of China–Pakistan Economic Corridor. Mater. Corros. 2020, 71, 1547–1556. [Google Scholar] [CrossRef]
- Frantziskonis, G.; Deymier, P. Surface Effects at the Nanoscale Significantly Reduce the Effects of Stress Concentrators. Probabilistic Eng. Mech. 2006, 21, 277–286. [Google Scholar] [CrossRef]
- Frantziskonis, G.; Deymier, P. The Effects of Stress Concentrators on Strength of Materials at Nanoscale: A Molecular Dynamics Study. Mech. Res. Commun. 2006, 33, 352–358. [Google Scholar] [CrossRef]
- Rosenberg, G.; Sinaiová, I.; Juhar, Ľ. Effect of Microstructure on Mechanical Properties of Dual Phase Steels in the Presence of Stress Concentrators. Mater. Sci. Eng. A 2013, 582, 347–358. [Google Scholar] [CrossRef]
Disclaimer/Publisher’s Note: The statements, opinions and data contained in all publications are solely those of the individual author(s) and contributor(s) and not of MDPI and/or the editor(s). MDPI and/or the editor(s) disclaim responsibility for any injury to people or property resulting from any ideas, methods, instructions or products referred to in the content. |
© 2024 by the authors. Licensee MDPI, Basel, Switzerland. This article is an open access article distributed under the terms and conditions of the Creative Commons Attribution (CC BY) license (https://creativecommons.org/licenses/by/4.0/).































