Phylogenetic Analysis of Attached Microbial Communities in Aerobic and Anoxic Media for the Removal of Wastewater Nitrogen
Abstract
1. Introduction
2. Materials and Methods
2.1. Reactor Design and Immobilization of Microorganisms
2.2. Microbiological Community Analysis
3. Results and Discussion
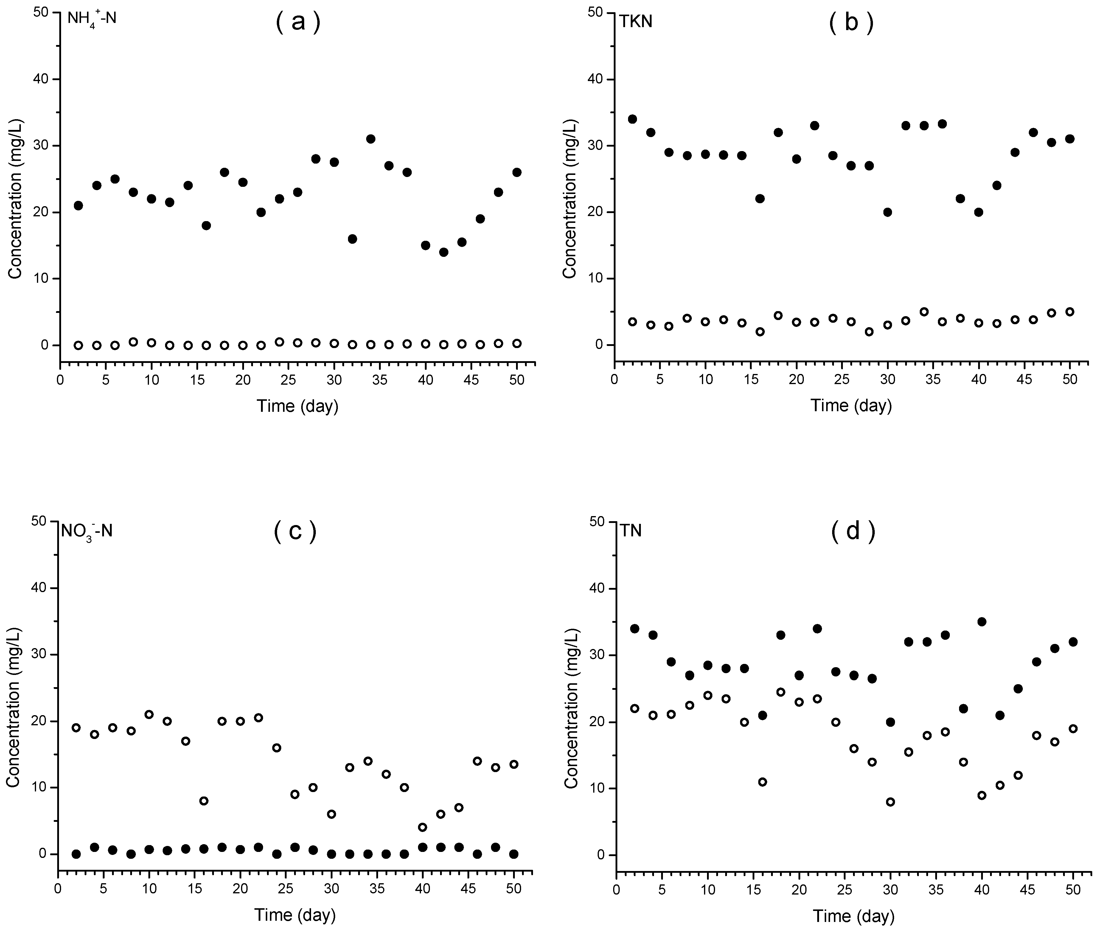
3.1. Nitrogen Removal Efficiency of the MLE Process
3.2. Microbial Communities in the Immobilized Media
3.3. Microbial Community Analysis Using NGS
3.4. Diversity of Microorganisms Immobilized in Media
4. Conclusions
Author Contributions
Funding
Data Availability Statement
Conflicts of Interest
References
- Van Loosdercht, M.C.M.; Bradjanovic, D. Anticipating the next century of wastewater treatment. Science 2014, 344, 1452–1453. [Google Scholar] [CrossRef]
- Jetten, M.S.M.; Horn, S.J.; van Loosdrecht, M.C.M. Towards a more sustainable municipal wastewater treatment system. Water Sci. Technol. 1997, 35, 171–180. [Google Scholar] [CrossRef]
- Oleszkiewicz, J.A.; Barnard, J.L. Nutrient removal technology in North America and the European Union: A review. Water Qual. Res. J. Can. 2006, 41, 449–462. [Google Scholar] [CrossRef]
- Daims, H.; Lücker, S.; Wagner, M. A New Perspective on Microbes Formerly Known as Nitrite-Oxidizing Bacteria. Trends Microbiol. 2016, 24, 699–712. [Google Scholar] [CrossRef] [PubMed]
- Galloway, J.N.; Dentener, F.J.; Capone, D.G.; Boyer, E.W.; Howarth, R.W.; Seitzinger, S.P.; Asner, G.P.; Cleveland, C.C.; Green, P.A.; Holland, E.A.; et al. Nitrogen cycles: Past, present, and future. Biogeochemistry 2004, 70, 153–226. [Google Scholar] [CrossRef]
- Sutton, M.A.; Oenema, O.; Erisman, J.W.; Leip, A.; Van Grinsven, H.; Winiwarter, W. Too much of a good thing. Nature 2011, 472, 159–161. [Google Scholar] [CrossRef]
- Wu, H.; Li, A.; Gao, S.; Xing, Z.; Zhao, P. The performance, mechanism and greenhouse gas emission potential of nitrogen removal technology for low carbon source wastewater. Sci. Total Environ. 2023, 903, 166491. [Google Scholar] [CrossRef]
- Prasse, C.; Stalter, D.; Schulte-Oehlmann, U.; Oehlmann, J.; Ternes, T.A. Spoilt for choice: A critical review on the chemical and biological assessment of current wastewater treatment technologies. Water Res. 2015, 87, 237–270. [Google Scholar] [CrossRef]
- Omar, A.; Almomani, F.; Qiblawey, H.; Rasool, K. Advances in Nitrogen-Rich Wastewater Treatment: A Comprehensive Review of Modern Technologies. Sustainability 2024, 16, 2112. [Google Scholar] [CrossRef]
- Kabuba, J.; Lephallo, J.; Rutto, H. Comparison of various technologies used to eliminate nitrogen from wastewater: A review. J. Water Process Eng. 2022, 48, 102885. [Google Scholar] [CrossRef]
- Hu, K.; Li, W.; Wang, Y.; Wang, B.; Mu, H.; Ren, S.; Zeng, K.; Zhu, H.; Liang, J.; Wang, Y.; et al. Novel biological nitrogen removal process for the treatment of wastewater with low carbon to nitrogen ratio: A review. J. Water Process Eng. 2023, 53, 103673. [Google Scholar] [CrossRef]
- Mishra, S.; Singh, V.; Cheng, L.; Hussain, A.; Ormeci, B. Nitrogen removal from wastewater: A comprehensive review of biological nitrogen removal processes, critical operation parameters and bioreactor design. J. Environ. Chem. Eng. 2022, 10, 107387. [Google Scholar] [CrossRef]
- Wang, J.-F.; An, Z.-H.; Zhang, X.-Y.; Angelotti, B.; Brooks, M.; Wang, Z.-W. Effects of Nitrate Recycle on the Sludge Densification in Plug-Flow Bioreactors Fed with Real Domestic Wastewater. Processes 2023, 11, 1876. [Google Scholar] [CrossRef]
- Hollas, C.E.; Chini, A.; Antes, F.G.; do Pardo, N.V.; Bortoli, M.; Kunz, A. Modified Ludzack-Ettinger system role in efficient nitrogen removal from swine manure under high total suspended solids concentration. Int. J. Environ. Sci. Technol. 2019, 16, 7715–7726. [Google Scholar] [CrossRef]
- Ghosh, S.; LaPara, T.M. Removal of carbonaceous and nitrogenous pollutants from a synthetic wastewater using a membrane-coupled bioreactor. J. Ind. Microbiol. Biotechnol. 2004, 31, 353–361. [Google Scholar] [CrossRef] [PubMed]
- Shin, D.-C.; Yoon, S.-C.; Park, C.-H. Biological Characteristics of microorganisms immobilization media for nitrogen removal. J. Water Process Eng. 2019, 32, 100979. [Google Scholar] [CrossRef]
- Gao, Y.; Lou, L.; Liao, Y.; Yao, H.; Fang, J.; Liu, G. Simultaneous nitrogen and phosphorus removal by immobilized bacterial particles of denitrifying phosphorus accumulating microorganisms and its application. Biochem. Eng. J. 2024, 212, 109495. [Google Scholar] [CrossRef]
- Jen, A.C.; Wake, M.C.; Mikos, A.G. Hydrogels for cell immobilization. Biotechnol. Bioeng. 1996, 50, 357–364. [Google Scholar] [CrossRef]
- Chowdhury, M.M.I.; George, N. Enhanced mainstream nitrogen removal from synthetic wastewater using gel-immobilized anammox in fluidized bed bioreactors: Process performance and disintegration mechanisms. Sci. Total Environ. 2022, 811, 151373. [Google Scholar] [CrossRef]
- Min, Y.; Xu, L.; Su, J.; Ma, J.; Ali, A.; Li, X. Enhanced ammonia nitrogen and phenol removal by immobilized bacteria through composite mycelium pellet-driven quinone redox cycle. J. Environ. Manag. 2023, 345, 118893. [Google Scholar] [CrossRef]
- Kowalchuk, G.A.; Stephen, J.R. Ammonia-oxidizing bacteria: A model for molecular microbial ecology. Annu. Rev. Microbiol. 2001, 55, 485–529. [Google Scholar] [CrossRef] [PubMed]
- Zhang, D.; Yu, H.; Yu, X.; Yang, Y.; Wang, C.; Wu, K.; Yan, Q. Mechanisms underlying the interactions and adaptability of nitrogen removal microorganisms in freshwater sediments. Adv. Biotechnol. 2024, 2, 21. [Google Scholar] [CrossRef]
- Yan, Y.; Lu, H.; Zhang, J.; Zhu, S.; Wang, Y.; Lei, Y.; Song, L. Simultaneous heterotrophic nitrification and aerobic denitrification (SND) for nitrogen removal: A review and future perspectives. Environ. Adv. 2022, 9, 100254. [Google Scholar] [CrossRef]
- James, S.N.; Vijayanandan, A. Recent advances in simultaneous nitrification and denitrification for nitrogen and micropollutant removal: A review. Biodegradation 2023, 34, 103–123. [Google Scholar] [CrossRef]
- Endrullat, C.; Glökler, J.; Franke, P.; Frohme, M. Standardization and quality management in next-generation sequencing. Appl. Transl. Genom. 2016, 10, 2–9. [Google Scholar] [CrossRef]
- Vincent, A.T.; Derome, N.; Boyle, B.; Culley, A.I.; Charette, S.J. Next-generation sequencing (NGS) in the microbiological world: How to make the most of your money. J. Microbiol. Methods 2017, 131, 60–71. [Google Scholar] [CrossRef]
- Haynes, E.; Jimenez, E.; Pardo, M.A.; Helyar, S.J. The future of NGS (Next Generation Sequencing) analysis in testing food authenticity. Food Control 2019, 101, 134–143. [Google Scholar] [CrossRef]
- Yin, Y.; Butler, C.; Zhang, Q. Challenges in the application of NGS in the clinical laboratory. Hum. Immunol. 2021, 82, 812–819. [Google Scholar] [CrossRef]
- Kim, S.-S. Prediction of Type 2 Diabetes Patients Using Alpha-Diversity Score of Gut Microbiota. Master’s Thesis, Graduate School of Soongsil University, Seoul, Republic of Korea, 2020. [Google Scholar]
- Nisaa, A.A.; Oon, C.E.; Sreenivasan, S.; Balakrishnan, V.; Rajendran, D.; Tan, J.J.; Liong, M.T. Vaginal Infections during Pregnancy Increase Breast Milk Microbiome Alpha Diversity and Alter Taxonomic Composition. Prev. Nutr. Food. Sci. 2023, 28, 1–9. [Google Scholar] [CrossRef] [PubMed]
- Marungruang, N.; Tovar, J.; Björck, I.; Hållenius, F.F. Improvement in cardiometabolic risk markers following a multifunctional diet is associated with gut microbial taxa in healthy overweight and obese subjects. Eur. J. Nutr. 2018, 57, 2927–2936. [Google Scholar] [CrossRef]
- Bolyen, E.; Rideout, J.R.; Dillon, M.R.; Bokulich, N.A.; Abnet, C.C.; Al-Ghalith, G.A.; Alexander, H.; Alm, E.J.; Arumugam, M.; Asnicar, F.; et al. Reproducible, interactive, scalable and extensible microbiome data science using QIIME 2. Nat. Biotechnol. 2019, 37, 852–857. [Google Scholar] [CrossRef] [PubMed]
- Shin, D.-C. A Study on Characteristics of Advanced Sewage Treatment of Microorganisms Immobilized Media for Nitrogen Removal. Master’s Thesis, Department of Environmental Engineering Graduate School of University of Seoul, Seoul, Republic of Korea, 2018. [Google Scholar]
- Xu, X.; Lv, C.; You, X.; Wang, B.; Ji, F.; Hu, B. Nitrogen removal and microbial diversity of activated sludge entrapped in modified poly (vinyl alcohol)-sodium alginate gel. Int. Biodeterior. Biodegrad. 2017, 125, 243–250. [Google Scholar] [CrossRef]
- Zhao, W.; Bi, X.; Bai, M.; Wang, Y. Research advances of ammonia oxidation microorganisms in wastewater: Metabolic characteristics, microbial community, influencing factors and process applications. Bioprocess Biosyst. Eng. 2023, 46, 621–633. [Google Scholar] [CrossRef] [PubMed]
- Zhang, Y.; Ji, Z.; Pei, Y. Nutrient removal and microbial community structures in an artificial-natural coupled wetland system. Process Saf. Environ. Prot. 2021, 147, 1160–1170. [Google Scholar] [CrossRef]
- Guo, Y.; Chen, X.; Wu, Y.; Zhang, L.; Cheng, J.; Wei, G.; Lin, Y. Natural revegetation of a semiarid habitat alters taxonomic and functional diversity of soil microbial communities. Sci. Total Environ. 2018, 653, 598–606. [Google Scholar] [CrossRef]
- Soliman, M.; Eldyasti, A. Ammonia-Oxidizing Bacteria (AOB): Opportunities and applications-a review. Rev. Environ. Sci. Biotechnol. 2018, 17, 285–321. [Google Scholar] [CrossRef]
- Ge, Z.; Wei, D.; Zhang, J.; Hu, J.; Liu, Z.; Li, R. Natural pyrite to enhance simultaneous long-term nitrogen and phosphorus removal in constructed wetland: Three years of pilot study. Water Res. 2019, 148, 153–161. [Google Scholar] [CrossRef]
- Zhou, H.; Li, X.; Chu, Z.; Zhang, J. Effect of temperature downshifts on a bench-scale hybrid A/O system: Process performance and microbial community dynamics. Chemosphere 2016, 153, 500–507. [Google Scholar] [CrossRef]
- Fitzgerald, C.M.; Camejo, P.; Oshlag, J.Z.; Noguera, D.R. Ammonia-oxidizing microbial communities in reactors with efficient nitrification at low-dissolved oxygen. Water Res. 2015, 70, 38–51. [Google Scholar] [CrossRef]
- Chen, J.; Han, Y.; Wang, Y.; Gong, B.; Zhou, J.; Qing, X. Start-up and microbial communities of a simultaneous nitrogen removal system for high salinity and high nitrogen organic wastewater via heterotrophic nitrification. Bioresour. Technol. 2016, 216, 196–202. [Google Scholar] [CrossRef]
- Sun, Y.; Wang, H.; Wu, G.; Guan, Y. Nitrogen removal and nitrous oxide emission from a step-feeding multiple anoxic and aerobic process. Environ. Technol. 2018, 39, 814–823. [Google Scholar] [CrossRef] [PubMed]
- Xu, Z.; Dai, X.; Chai, X. Effect of different carbon sources on denitrification performance, microbial community structure and denitrification genes. Sci. Total Environ. 2018, 634, 195–204. [Google Scholar] [CrossRef] [PubMed]
- Che, R.; Deng, Y.; Wang, F.; Wang, W.; Xu, Z.; Hao, Y.; Xue, K.; Zhang, B.; Tang, L.; Zhou, H.; et al. Autotrophic and symbiotic diazotrophs dominate nitrogen-fixing communities in Tibetan grassland soils. Sci. Total Environ. 2018, 639, 997–1006. [Google Scholar] [CrossRef] [PubMed]
- Meng, H.; Zhou, Z.; Wu, R.; Wang, Y.; Gu, J.D. Diazotrophic microbial community and abundance in acidic subtropical natural and re-vegetated forest soils revealed by high-throughput sequencing of nifH gene. Appl. Microbiol. Biotechnol. 2018, 103, 995–1005. [Google Scholar] [CrossRef] [PubMed]
- Jeon, G.S.; Byeong, S.P.; Byeong, C.B. A study on the Denitrification and Reduction Path of Nitrate ion by Sulfate Reduction Microorganisms. J. Korean Soc. Environ. Eng. 2001, 23, 39–49. [Google Scholar]
- Bucci, P.; Coppotelli, B.; Morelli, I.; Zaritzky, N.; Caravelli, A. Heterotrophic nitrification-aerobic denitrification performance in a granular sequencing batch reactor supported by next generation sequencing. Int. Biodeterior. Biodegrad. 2021, 160, 105210. [Google Scholar] [CrossRef]
- Giraldo, E.; Jjemba, P.; Liu, Y.; Muthukrishnan, S. Presence and Significance of Anammox spcs and Ammonia Oxidizing Archea, AOA, in Full Scale Membrane Bioreactors for Total Nitrogen Removal. Water Environ. Fed. 2011, 2011, 510–519. [Google Scholar] [CrossRef]
- Giraldo, E.; Jjemba, P.; Liu, Y.; Muthukrishnan, S. Ammonia Oxidizing Archaea, AOA, Population and Kinetic Changes in a Full Scale Simultaneous Nitrogen and Phosphorous Removal MBR. Water Environ. Fed. 2011, 2011, 3156–3168. [Google Scholar] [CrossRef]
- Mady, E.; Oleszkiewicz, J.; Yuan, Q. Simultaneous biological nutrients removal from wastewater with high ammonium and phosphorous loading using aerobic granular sludge. J. Water Process Eng. 2024, 64, 105650. [Google Scholar] [CrossRef]
- Pérez-Prieto, I.; Plaza-Florido, A.; Ubago-Guisado, E.; Ortega, F.B.; Altmäe, S. Physical activity, sedentary behavior and microbiome: A systematic review and meta-analysis. J. Sci. Med. Sport 2024, 27, 793–804. [Google Scholar] [CrossRef]





| Components | Range (mg/L) | Mean (mg/L) |
|---|---|---|
| Chemical Oxygen Demand (Cr) | 67.0–201.0 | 129.1 |
| Total Organic Carbon | 7.8–26.1 | 15.7 |
| Ammonium (NH4+-N) | 15.0–31.6 | 24.8 |
| Nitrate (NO3−-N) | 0.0–1.0 | 0.2 |
| Total Kjeldahl Nitrogen | 21.0–40.9 | 31.2 |
| Total Nitrogen | 21.0–40.9 | 31.4 |
| Total Phosphorus | 1.85–5.35 | 3.40 |
| Suspended Solids | 9.5–158.6 | 64.1 |
| Process | Method |
|---|---|
| Media preparation | Polyvinyl alcohol (20%, v/v) + Polyethylene glycol (15%, v/v) |
| Activated sludge mix | Centrifugation of activated sludge from aeration reactor (10%, v/v) |
| Formation of media | Addition of mixtures into Teflon mold (Φ 7 mm, H 1 mm) |
| Drying | 30 °C, 2 h |
| Cross-linking | Stirring 1 h in 40~50 30 °C, of saturated boric acid with 2% of CaCl2 |
| Stabilization | Stirring 1 h in 0.5 M of KH2PO4 solution |
| Washing | With distilled water |
| Activation | Incubation sequentially in LB broth and synthetic wastewater |
Disclaimer/Publisher’s Note: The statements, opinions and data contained in all publications are solely those of the individual author(s) and contributor(s) and not of MDPI and/or the editor(s). MDPI and/or the editor(s) disclaim responsibility for any injury to people or property resulting from any ideas, methods, instructions or products referred to in the content. |
© 2024 by the authors. Licensee MDPI, Basel, Switzerland. This article is an open access article distributed under the terms and conditions of the Creative Commons Attribution (CC BY) license (https://creativecommons.org/licenses/by/4.0/).
Share and Cite
Song, C.-H.; Shin, D.-C.; Kim, M.-W. Phylogenetic Analysis of Attached Microbial Communities in Aerobic and Anoxic Media for the Removal of Wastewater Nitrogen. Water 2024, 16, 3563. https://doi.org/10.3390/w16243563
Song C-H, Shin D-C, Kim M-W. Phylogenetic Analysis of Attached Microbial Communities in Aerobic and Anoxic Media for the Removal of Wastewater Nitrogen. Water. 2024; 16(24):3563. https://doi.org/10.3390/w16243563
Chicago/Turabian StyleSong, Chang-Hoon, Dong-Chul Shin, and Myeong-Woon Kim. 2024. "Phylogenetic Analysis of Attached Microbial Communities in Aerobic and Anoxic Media for the Removal of Wastewater Nitrogen" Water 16, no. 24: 3563. https://doi.org/10.3390/w16243563
APA StyleSong, C.-H., Shin, D.-C., & Kim, M.-W. (2024). Phylogenetic Analysis of Attached Microbial Communities in Aerobic and Anoxic Media for the Removal of Wastewater Nitrogen. Water, 16(24), 3563. https://doi.org/10.3390/w16243563

