A Decade-Long Comparison of Heavy Metal(loid)s in the River and Children’s Health Risk Assessment of an E-Waste Recycling Area
Abstract
1. Introduction
2. Materials and Methods
2.1. Study Area and Questionnaire Survey
2.2. Sample Collection and Analysis
2.3. Quality Assurance and Assessment
2.4. Water Metal(loid) Exposure and Health Risk Assessment
2.4.1. Exposure Parameters for Health Risk Assessment
2.4.2. Health Risk Assessment Model
2.5. Statistical Analysis
3. Results and Discussion
3.1. Heavy Metal(loid)s Concentrations
3.2. Heavy Metal(loid)s Distribution Pattern and Correlation Analysis
3.3. Characteristics of Children Exposed to Environmental Heavy Metal(loid)s
3.4. Average Intake of Heavy Metal(loid)s in Children Through Water Exposure
3.5. Risk Characteristics of Children Exposed to Heavy Metal(loid)s in Water
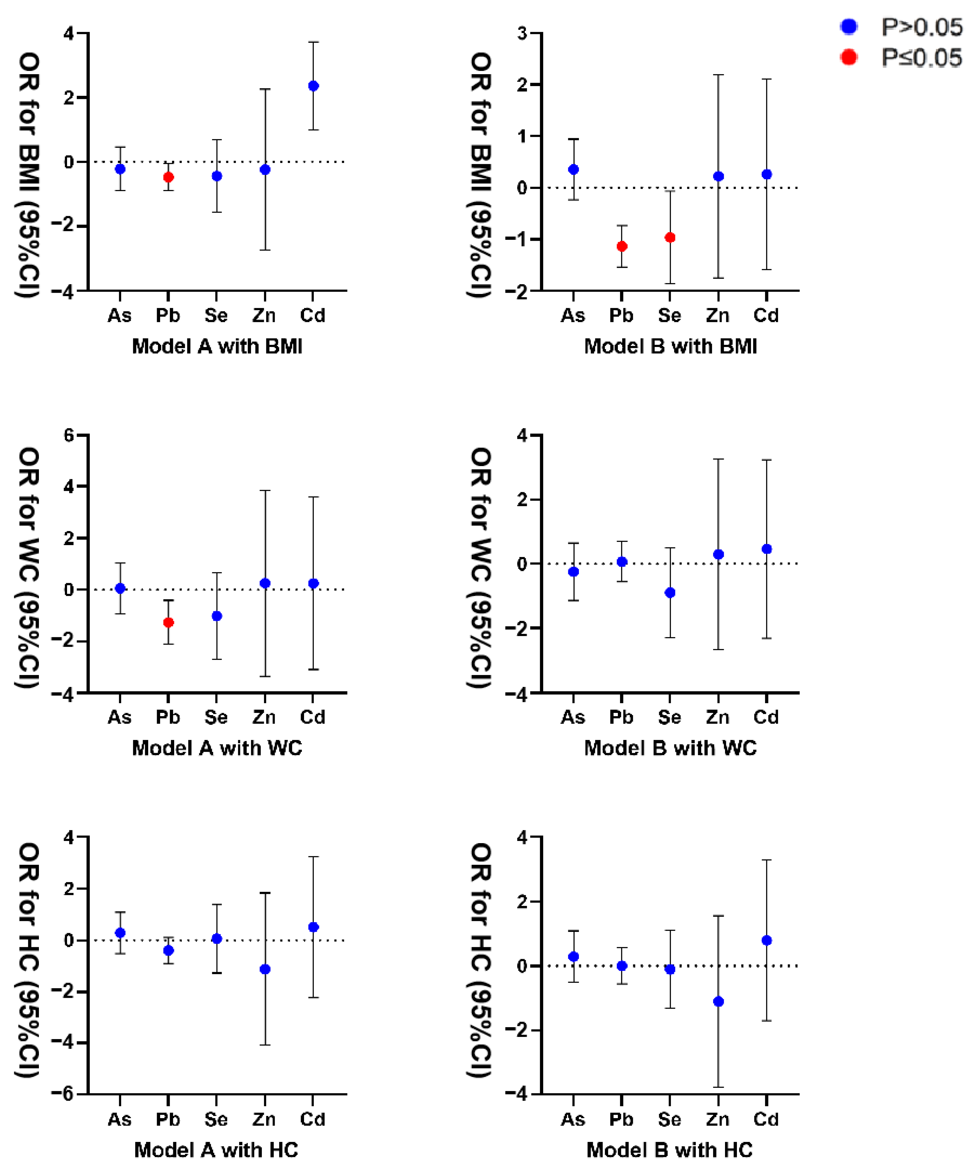
3.6. Association Between Heavy Metal(loid) Exposure from Water and Child Growth and Development
3.7. BKMR Model of 12 Heavy Metal(loid)s and Child Growth and Development
4. Conclusions
Supplementary Materials
Author Contributions
Funding
Data Availability Statement
Acknowledgments
Conflicts of Interest
References
- Wang, K.; Qian, J.; Liu, L. Understanding Environmental Pollutions of Informal E-Waste Clustering in Global South via Multi-Scalar Regulatory Frameworks: A Case Study of Guiyu Town, China. Int. J. Environ. Res. Public Health 2020, 17, 2802. [Google Scholar] [CrossRef] [PubMed]
- Heacock, M.; Kelly, C.B.; Asante, K.A.; Birnbaum, L.S.; Bergman, A.L.; Brune, M.N.; Buka, I.; Carpenter, D.O.; Chen, A.; Huo, X.; et al. E-Waste and Harm to Vulnerable Populations: A Growing Global Problem. Environ. Health Perspect. 2016, 124, 550–555. [Google Scholar] [CrossRef] [PubMed]
- Zheng, J.; Chen, K.H.; Yan, X.; Chen, S.J.; Hu, G.C.; Peng, X.W.; Yuan, J.G.; Mai, B.X.; Yang, Z.Y. Heavy metals in food, house dust, and water from an e-waste recycling area in South China and the potential risk to human health. Ecotoxicol. Environ. Saf. 2013, 96, 205–212. [Google Scholar] [CrossRef] [PubMed]
- Cui, J.L.; Luo, C.L.; Tang, C.W.; Chan, T.S.; Li, X.D. Speciation and leaching of trace metal contaminants from e-waste contaminated soils. J. Hazard. Mater. 2017, 329, 150–158. [Google Scholar] [CrossRef]
- Liu, F.; Chen, X.; Liu, Y.; Niu, Z.; Tang, H.; Mao, S.; Li, N.; Chen, G.; Xiang, H. Serum cardiovascular-related metabolites disturbance exposed to different heavy metal exposure scenarios. J. Hazard. Mater. 2021, 415, 125590. [Google Scholar] [CrossRef]
- Shahjahan, M.; Taslima, K.; Rahman, M.S.; Al-Emran, M.; Alam, S.I.; Faggio, C. Effects of heavy metals on fish physiology—A review. Chemosphere 2022, 300, 134519. [Google Scholar] [CrossRef]
- Zhang, Y.M.; Lin, C.Y.; Li, B.Z.; Cheng, Y.X.; Xu, W.B.; Xiao, Y.; Chen, D.Y.; Dong, W.R.; Shu, M.A. The health risk for consumers under heavy metal scenarios: Reduce bioaccumulation of Cd in estuary mud crab (Scylla paramamosain) through the antagonism of Se. Sci. Total Environ. 2022, 844, 157149. [Google Scholar] [CrossRef]
- Afzal, A.; Mahreen, N. Emerging insights into the impacts of heavy metals exposure on health, reproductive and productive performance of livestock. Front. Pharmacol. 2024, 15, 1375137. [Google Scholar] [CrossRef]
- Ismael, D.S.; Goran, S.M.A. Health risk assessment of heavy metals in some vegetables-Erbil City-Kurdistan Region of Iraq. Environ. Monit. Assess. 2024, 196, 417. [Google Scholar] [CrossRef]
- Bjørklund, G.; Dadar, M.; Chirumbolo, S.; Aaseth, J.; Peana, M. Metals, autoimmunity, and neuroendocrinology: Is there a connection? Environ. Res. 2020, 187, 109541. [Google Scholar] [CrossRef]
- Kim, K.; Argos, M.; Persky, V.W.; Freels, S.; Sargis, R.M.; Turyk, M.E. Associations of exposure to metal and metal mixtures with thyroid hormones: Results from the NHANES 2007–2012. Environ. Res. 2022, 212, 113413. [Google Scholar] [CrossRef] [PubMed]
- Cicero, C.E.; Mostile, G.; Vasta, R.; Rapisarda, V.; Signorelli, S.S.; Ferrante, M.; Zappia, M.; Nicoletti, A. Metals and neurodegenerative diseases. A systematic review. Environ. Res. 2017, 159, 82–94. [Google Scholar] [CrossRef]
- Cao, J.; Xu, X.; Zhang, Y.; Zeng, Z.; Hylkema, M.N.; Huo, X. Increased memory T cell populations in Pb-exposed children from an e-waste-recycling area. Sci. Total Environ. 2018, 616–617, 988–995. [Google Scholar] [CrossRef] [PubMed]
- Zeng, Z.; Huo, X.; Zhang, Y.; Xiao, Z.; Zhang, Y.; Xu, X. Lead exposure is associated with risk of impaired coagulation in preschool children from an e-waste recycling area. Environ. Sci. Pollut. Res. Int. 2018, 25, 20670–20679. [Google Scholar] [CrossRef] [PubMed]
- Cai, H.; Xu, X.; Zhang, Y.; Cong, X.; Lu, X.; Huo, X. Elevated lead levels from e-waste exposure are linked to sensory integration difficulties in preschool children. Neurotoxicology 2019, 71, 150–158. [Google Scholar] [CrossRef]
- Hou, R.; Huo, X.; Zhang, S.; Xu, C.; Huang, Y.; Xu, X. Elevated levels of lead exposure and impact on the anti-inflammatory ability of oral sialic acids among preschool children in e-waste areas. Sci. Total Environ. 2020, 699, 134380. [Google Scholar] [CrossRef]
- Zhang, Y.; Huo, X.; Lu, X.; Zeng, Z.; Faas, M.M.; Xu, X. Exposure to multiple heavy metals associate with aberrant immune homeostasis and inflammatory activation in preschool children. Chemosphere 2020, 257, 127257. [Google Scholar] [CrossRef] [PubMed]
- Zeng, X.; Zeng, Z.; Wang, Q.; Liang, W.; Guo, Y.; Huo, X. Alterations of the gut microbiota and metabolomics in children with e-waste lead exposure. J. Hazard. Mater. 2022, 434, 128842. [Google Scholar] [CrossRef] [PubMed]
- Liu, Y.; Huo, X.; Xu, L.; Wei, X.; Wu, W.; Wu, X.; Xu, X. Hearing loss in children with e-waste lead and cadmium exposure. Sci. Total Environ. 2018, 624, 621–627. [Google Scholar] [CrossRef]
- Li, X.; Brejnrod, A.D.; Ernst, M.; Rykaer, M.; Herschend, J.; Olsen, N.M.C.; Dorrestein, P.C.; Rensing, C.; Sorensen, S.J. Heavy metal exposure causes changes in the metabolic health-associated gut microbiome and metabolites. Environ. Int. 2019, 126, 454–467. [Google Scholar] [CrossRef]
- Xu, L.; Huo, X.; Liu, Y.; Zhang, Y.; Qin, Q.; Xu, X. Hearing loss risk and DNA methylation signatures in preschool children following lead and cadmium exposure from an electronic waste recycling area. Chemosphere 2020, 246, 125829. [Google Scholar] [CrossRef] [PubMed]
- Gangwar, C.; Choudhari, R.; Chauhan, A.; Kumar, A.; Singh, A.; Tripathi, A. Assessment of air pollution caused by illegal e-waste burning to evaluate the human health risk. Environ. Int. 2019, 125, 191–199. [Google Scholar] [CrossRef] [PubMed]
- Villaescusa, I.; Bollinger, J.-C. Arsenic in drinking water: Sources, occurrence and health effects (a review). Rev. Environ. Sci. Bio/Technol. 2008, 7, 307–323. [Google Scholar] [CrossRef]
- Wang, X.; Mukherjee, B.; Park, S.K. Associations of cumulative exposure to heavy metal mixtures with obesity and its comorbidities among U.S. adults in NHANES 2003-2014. Environ. Int 2018, 121, 683–694. [Google Scholar] [CrossRef] [PubMed]
- Ravindra, K.; Mor, S. Distribution and health risk assessment of arsenic and selected heavy metals in Groundwater of Chandigarh, India. Environ. Pollut. 2019, 250, 820–830. [Google Scholar] [CrossRef]
- Takyi, S.A.; Basu, N.; Arko-Mensah, J.; Dwomoh, D.; Houessionon, K.G.; Fobil, J.N. Biomonitoring of metals in blood and urine of electronic waste (E-waste) recyclers at Agbogbloshie, Ghana. Chemosphere 2021, 280, 130677. [Google Scholar] [CrossRef]
- Asante, K.A.; Agusa, T.; Subramanian, A.; Ansa-Asare, O.D.; Biney, C.A.; Tanabe, S. Contamination status of arsenic and other trace elements in drinking water and residents from Tarkwa, a historic mining township in Ghana. Chemosphere 2007, 66, 1513–1522. [Google Scholar] [CrossRef]
- Wu, L.; Qiu, X.-W.; Wang, T.; Tao, K.; Bao, L.-J.; Zeng, E.Y. Water Quality and Organic Pollution with Health Risk Assessment in China: A Short Review. ACS EST Water 2022, 2, 1279–1288. [Google Scholar] [CrossRef]
- Lepesteur, M.; McComb, A.J.; Moore, S.A. Do we all face the same risk when bathing in the estuary? Water Res. 2006, 40, 2787–2795. [Google Scholar] [CrossRef]
- Upadhyay, V.; Kumari, A.; Kumar, S. From soil to health hazards: Heavy metals contamination in northern India and health risk assessment. Chemosphere 2024, 354, 141697. [Google Scholar] [CrossRef]
- Standaert, M. China’s Notorious E-Waste Village of Guiyu Virtually Disappears After Crackdown. Int. Environ. Rep. 2016, 39, 71–73. [Google Scholar]
- Carmona, E.; Andreu, V.; Picó, Y. Occurrence of acidic pharmaceuticals and personal care products in Turia River Basin: From waste to drinking water. Sci. Total Environ. 2014, 484, 53–63. [Google Scholar] [CrossRef] [PubMed]
- Masiá, A.; Campo, J.; Vázquez-Roig, P.; Blasco, C.; Picó, Y. Screening of currently used pesticides in water, sediments and biota of the Guadalquivir River Basin (Spain). J. Hazard. Mater. 2013, 263, 95–104. [Google Scholar] [CrossRef] [PubMed]
- Ort, C.; van Nuijs, A.L.; Berset, J.D.; Bijlsma, L.; Castiglioni, S.; Covaci, A.; de Voogt, P.; Emke, E.; Fatta-Kassinos, D.; Griffiths, P.; et al. Spatial differences and temporal changes in illicit drug use in Europe quantified by wastewater analysis. Addiction 2014, 109, 1338–1352. [Google Scholar] [CrossRef]
- Sainz, A.; Grande, J.A.; de la Torre, M.L. Characterisation of heavy metal discharge into the Ria of Huelva. Environ. Int. 2004, 30, 557–566. [Google Scholar] [CrossRef] [PubMed]
- Vicente-Martorell, J.J.; Galindo-Riano, M.D.; Garcia-Vargas, M.; Granado-Castro, M.D. Bioavailability of heavy metals monitoring water, sediments and fish species from a polluted estuary. J. Hazard. Mater. 2009, 162, 823–836. [Google Scholar] [CrossRef]
- Yi, Y.; Yang, Z.; Zhang, S. Ecological risk assessment of heavy metals in sediment and human health risk assessment of heavy metals in fishes in the middle and lower reaches of the Yangtze River basin. Environ. Pollut. 2011, 159, 2575–2585. [Google Scholar] [CrossRef]
- Gupta, S.K.; Chabukdhara, M.; Kumar, P.; Singh, J.; Bux, F. Evaluation of ecological risk of metal contamination in river Gomti, India: A biomonitoring approach. Ecotoxicol. Environ. Saf. 2014, 110, 49–55. [Google Scholar] [CrossRef]
- Yang, H.; Xie, P.; Ni, L.; Flower, R.J. Pollution in the Yangtze. Science 2012, 337, 411. [Google Scholar] [CrossRef]
- Bing, H.; Liu, Y.; Huang, J.; Tian, X.; Zhu, H.; Wu, Y. Dam construction attenuates trace metal contamination in water through increased sedimentation in the Three Gorges Reservoir. Water Res. 2022, 217, 118419. [Google Scholar] [CrossRef]
- Phan, K.; Sthiannopkao, S.; Kim, K.W.; Wong, M.H.; Sao, V.; Hashim, J.H.; Mohamed Yasin, M.S.; Aljunid, S.M. Health risk assessment of inorganic arsenic intake of Cambodia residents through groundwater drinking pathway. Water Res. 2010, 44, 5777–5788. [Google Scholar] [CrossRef] [PubMed]
- HJ 495-2009; Water Quality—Technical Regulation on the Design of Sampling Programmes. Ministry of Ecology and Environment of People’s Republic of China: Beijing, China, 2009.
- HJ/T 52-1999; Water Quality—Guidance on Sampling Techniques of Rivers. Ministry of Ecology and Environment of People’s Republic of China: Beijing, China, 1999.
- HJ 677-2013; Water Quality—Digestion of Total Metals-Microwave Assisted Acid Digestion Method. Ministry of Ecology and Environment of People’s Republic of China: Beijing, China, 2014.
- USEPA. Exposure Factors Handbook; Final Report, 1997; USEPA: Washington, DC, USA, 1997. [Google Scholar]
- Schets, F.M.; Schijven, J.F.; de Roda Husman, A.M. Exposure assessment for swimmers in bathing waters and swimming pools. Water Res. 2011, 45, 2392–2400. [Google Scholar] [CrossRef] [PubMed]
- Dorevitch, S.; Panthi, S.; Huang, Y.; Li, H.; Michalek, A.M.; Pratap, P.; Wroblewski, M.; Liu, L.; Scheff, P.A.; Li, A. Water ingestion during water recreation. Water Res. 2011, 45, 2020–2028. [Google Scholar] [CrossRef] [PubMed]
- Wang, B.; Duan, X. Exposure Factors Handbook of Chinese Population (Children 0–5 Years); China Environmental Press: Beijing, China, 2016. [Google Scholar]
- EPA/540/1-89/002; Risk Assessment Guidance for Superfund Volume I Human Health Evaluation Manual (Part A). USEPA: Washington, DC, USA, 1989.
- USEPA. Risk assessment guidance for superfund. In Part A: Human Health Evaluation Manual; Part E, Supplemental Guidance for Dermal Risk Assessment; Part F, Supplemental Guidance for Inhalation Risk Assessment Vol. I; EPA/540/1e89/002; USEPA: Washington, DC, USA, 2004. [Google Scholar]
- USEPA. Risk Assessment Guidance for Superfund Volume I: Human Health Evaluation Manual (Part F, Supplemental Guidance for Inhalation Risk Assessment); USEPA: Washington, DC, USA, 2009. [Google Scholar]
- GB 5749-2022; Standards for Drinking Water Quality. Chinese National Standards: Beijing, China, 2022.
- GB 3838-2002; Environmental Quality Standards for Surface Water. Chinese National Standards: Beijing, China, 2002.
- Guo, Y.; Huang, C.; Zhang, H.; Dong, Q. Heavy metal contamination from electronic waste recycling at Guiyu, Southeastern China. J. Environ. Qual. 2009, 38, 1617–1626. [Google Scholar] [CrossRef] [PubMed]
- Wong, C.S.; Duzgoren-Aydin, N.S.; Aydin, A.; Wong, M.H. Evidence of excessive releases of metals from primitive e-waste processing in Guiyu, China. Environ. Pollut. 2007, 148, 62–72. [Google Scholar] [CrossRef]
- Wu, Q.; Leung, J.Y.S.; Du, Y.; Kong, D.; Shi, Y.; Wang, Y.; Xiao, T. Trace metals in e-waste lead to serious health risk through consumption of rice growing near an abandoned e-waste recycling site: Comparisons with PBDEs and AHFRs. Environ. Pollut. 2019, 247, 46–54. [Google Scholar] [CrossRef]
- Standaert, M. China’s Notorious E-Waste Village Disappears Almost Overnight; Bloomberg: New York, NY, USA, 2015. [Google Scholar]
- Fujimori, T.; Itai, T.; Goto, A.; Asante, K.A.; Otsuka, M.; Takahashi, S.; Tanabe, S. Interplay of metals and bromine with dioxin-related compounds concentrated in e-waste open burning soil from Agbogbloshie in Accra, Ghana. Environ. Pollut. 2016, 209, 155–163. [Google Scholar] [CrossRef]
- Chen, H.G.; Lu, Q.; Tu, Z.Z.; Chen, Y.J.; Sun, B.; Hou, J.; Xiong, C.L.; Wang, Y.X.; Meng, T.Q.; Pan, A. Identifying windows of susceptibility to essential elements for semen quality among 1428 healthy men screened as potential sperm donors. Environ. Int 2021, 155, 106586. [Google Scholar] [CrossRef]
- Leasure, J.L.; Giddabasappa, A.; Chaney, S.; Johnson, J.E., Jr.; Pothakos, K.; Lau, Y.S.; Fox, D.A. Low-level human equivalent gestational lead exposure produces sex-specific motor and coordination abnormalities and late-onset obesity in year-old mice. Environ. Health Perspect. 2008, 116, 355–361. [Google Scholar] [CrossRef]
- Padilla, M.A.; Elobeid, M.; Ruden, D.M.; Allison, D.B. An examination of the association of selected toxic metals with total and central obesity indices: NHANES 99-02. Int. J. Environ. Res. Public Health 2010, 7, 3332–3347. [Google Scholar] [CrossRef]
- Tinkov, A.A.; Filippini, T.; Ajsuvakova, O.P.; Aaseth, J.; Gluhcheva, Y.G.; Ivanova, J.M.; Bjorklund, G.; Skalnaya, M.G.; Gatiatulina, E.R.; Popova, E.V.; et al. The role of cadmium in obesity and diabetes. Sci. Total Environ. 2017, 601–602, 741–755. [Google Scholar] [CrossRef] [PubMed]
- Grant, K.; Goldizen, F.C.; Sly, P.D.; Brune, M.-N.; Neira, M.; van den Berg, M.; Norman, R.E. Health consequences of exposure to e-waste: A systematic review. Lancet Glob. Health 2013, 1, e350–e361. [Google Scholar] [CrossRef]
- Needleman, H. Low Level Lead Exposure: History and Discovery. Ann. Epidemiol. 2009, 19, 235–238. [Google Scholar] [CrossRef] [PubMed]
- Wong, C.S.C.; Wu, S.C.; Duzgoren-Aydin, N.S.; Aydin, A.; Wong, M.H. Trace metal contamination of sediments in an e-waste processing village in China. Environ. Pollut. 2007, 145, 434–442. [Google Scholar] [CrossRef] [PubMed]
- Perkins, D.N.; Brune Drisse, M.-N.; Nxele, T.; Sly, P.D. E-Waste: A Global Hazard. Ann. Glob. Health 2014, 80, 286–295. [Google Scholar] [CrossRef] [PubMed]
- Kumar, U.; Singh, D.N. Electronic waste: Concerns & hazardous threats. Int. J. Curr. Eng. Technol. 2014, 4, 802. [Google Scholar]
- Shamim, A.; Mursheda, A.K.; Rafiq, I. E-waste trading impact on public health and ecosystem services in developing countries. J. Waste Resour. 2015, 5, 4. [Google Scholar] [CrossRef]
- USEPA. Human Health Evaluation Manual, Supplemental Guidance: Update of Standard Default Exposure Factors. 2014. [Google Scholar]
- USEPA. Department of Energy The Risk Assessment Information System. 2010. [Google Scholar]
- USEPA. Regional screening levels (RSLs)—generic tables. 2016. [Google Scholar]
- USEPA. Regional screening level (RSL) summary table (TR=1E-06, HQ=1) May 2020 (corrected). 2020. [Google Scholar]



| Heavy Metal(loid)s | 2020-SY (n = 9) | 2020-JZ (n = 9) | 2020-XY (n = 9) | 2009 (n = 10) |
|---|---|---|---|---|
| (Mean ± SD) | ||||
| Water (μg/L) | ||||
| As | 0.473 ± 0.185 | 0.574 ± 0.254 | 0.599 ± 0.103 | 0.779 ± 0.606 |
| Ba | 48.696 ± 15.763 | 40.695 ± 12.540 | 55.523 ± 18.859 | 46.252 ± 46.266 |
| Cr | 1.912 ± 1.015 | 1.922 ± 0.558 | 2.301 ± 0.788 | 1.953 ± 1.581 |
| Cu | 0.575 ± 0.339 | 0.754 ± 0.486 | 0.733 ± 0.269 | 0.753 ± 0.635 |
| Mn | 0.032 ± 0.082 ** | 0.063 ± 0.103 ** | 0.108 ± 0.135 ** | 2.140 ± 3.049 |
| Ni | 2.63 ± 1.07 ** | 3.021 ± 0.79 ** | 3.813 ± 1.049 ** | 4.771 ± 2.093 |
| Pb | <LOD | 0.102 ± 0.305 ** | <LOD | 0.325 ± 0.704 |
| Se | 0.298 ± 0.150 | 0.320 ± 0.042 | 0.376 ± 0.085 | 0.367 ± 0.176 |
| Sr | 526.996 ± 185.772 | 621.594 ± 198.735 | 751.587 ± 169.996 | 871.278 ± 353.11 |
| V | 0.687 ± 0.276 | 0.777 ± 0.211 | 0.833 ± 0.233 | 1.123 ± 0.988 |
| Zn | 1.894 ± 2.392 | 1.165 ± 1.324 | 0.870 ± 0.621 | 1.505 ± 1.164 |
| Cd | 0.007 ± 0.008 ** | 0.013 ± 0.013 ** | 0.010 ± 0.003 ** | 0.017 ± 0.004 |
| Heavy Metal(loid)s | 2020-SY (n = 91) | 2020-JZ (n = 91) | 2020-XY (n = 91) | 2009 (n = 118) | ||||
|---|---|---|---|---|---|---|---|---|
| ADIw | ADIds | ADIw | ADIds | ADIw | ADIds | ADIw | ADIds | |
| As | 7.44 × 10−5 | 4.77 × 10−6 | 9.03 × 10−5 | 5.79 × 10−6 | 8.35 × 10−5 | 5.35 × 10−6 | 1.23 × 10−4 | 7.85 × 10−6 |
| Ba | 7.67 × 10−3 | 4.91 × 10−4 | 6.41 × 10−3 | 4.10 × 10−4 | 8.74 × 10−3 | 5.60 × 10−4 | 1.03 × 10−2 | 6.62 × 10−4 |
| Cr | 3.01 × 10−4 | 1.93 × 10−5 | 3.03 × 10−4 | 1.94 × 10−5 | 3.62 × 10−4 | 2.32 × 10−5 | 3.08 × 10−4 | 1.97 × 10−5 |
| Cu | 9.05 × 10−5 | 5.80 × 10−6 | 1.19 × 10−4 | 7.60 × 10−6 | 1.15 × 10−4 | 7.39 × 10−6 | 1.19 × 10−4 | 7.62 × 10−6 |
| Mn | 1.56 × 10−6 ** | 9.99 × 10−8 ** | 5.33 × 10−6 ** | 3.41 × 10−7 ** | 1.51 × 10−5 ** | 9.65 × 10−7 ** | 3.37 × 10−4 | 2.16 × 10−5 |
| Ni | 4.14 × 10−4 ** | 2.65 × 10−5 ** | 4.76 × 10−4 * | 3.05 × 10−5 * | 6.00 × 10−4 | 3.84 × 10−5 | 7.51 × 10−4 | 4.81 × 10−5 |
| Pb | 2.69 × 10−6 | 1.72 × 10−7 | 6.42 × 10−6 | 4.11 × 10−7 | 2.21 × 10−6 | 1.42 × 10−7 | 4.05 × 10−5 | 2.59 × 10−6 |
| Se | 4.69 × 10−5 | 3.00 × 10−6 | 5.04 × 10−5 | 3.22 × 10−6 | 5.92 × 10−5 | 3.79 × 10−6 | 5.78 × 10−5 | 3.70 × 10−6 |
| Sr | 8.30 × 10−2 * | 5.31 × 10−3 * | 9.79 × 10−2 | 6.27 × 10−3 | 1.18 × 10−1 | 7.58 × 10−3 | 1.37 × 10−1 | 8.78 × 10−3 |
| V | 1.08 × 10−4 | 6.93 × 10−6 | 1.22 × 10−4 | 7.83 × 10−6 | 1.31 × 10−4 | 8.40 × 10−6 | 1.77 × 10−4 | 1.13 × 10−5 |
| Zn | 2.98 × 10−4 | 1.91 × 10−5 | 1.83 × 10−4 | 1.17 × 10−5 | 1.37 × 10−4 | 8.77 × 10−6 | 2.37 × 10−4 | 1.52 × 10−5 |
| Cd | 1.14 × 10−6 ** | 7.32 × 10−8 ** | 1.99 × 10−6 | 1.27 × 10−7 | 1.55 × 10−6 ** | 9.94 × 10−8 ** | 2.64 × 10−6 | 1.69 × 10−7 |
| Total | 8.59 × 10−3 | 5.50 × 10−4 | 1.05 × 10−1 | 6.74 × 10−3 | 1.28 × 10−1 | 8.24 × 10−3 | 1.49 × 10−1 | 9.58 × 10−3 |
| Heavy Metal(loid)s | Non-Carcinogenic Risks (HQi, HI) | Carcinogenic Risks (ILCRi) | ||||
|---|---|---|---|---|---|---|
| HQw | HQds | HI | ILCRw | ILCRds | ILCRsum | |
| As | 3.12 × 10−1 | 4.87 × 10−2 | 3.61 × 10−1 | 1.40 × 10−4 | 8.98 × 10−6 | 1.49 × 10−4 |
| Cr | 9.54 × 10−7 | 6.11 × 10−8 | 1.02 × 10−6 | 1.59 × 10−4 | 1.02 × 10−5 | 1.69 × 10−4 |
| Ni | 2.83 × 10−2 | 6.71 × 10−3 | 3.50 × 10−2 | 3.30 × 10−5 | 2.57 × 10−2 | 2.57 × 10−2 |
| Pb | 5.40 × 10−3 | 3.46 × 10−4 | 5.75 × 10−3 | 1.03 × 10−8 | 4.59 × 10−5 | 4.59 × 10−5 |
| Cd | 6.17 × 10−3 | 3.95 × 10−4 | 6.57 × 10−3 | 7.23 × 10−7 | 3.76 × 10−2 | 3.76 × 10−2 |
| Total | 3.52 × 10−1 | 5.62 × 10−2 | 4.08 × 10−1 | 3.33 × 10−4 | 6.34 × 10−2 | 6.37 × 10−2 |
Disclaimer/Publisher’s Note: The statements, opinions and data contained in all publications are solely those of the individual author(s) and contributor(s) and not of MDPI and/or the editor(s). MDPI and/or the editor(s) disclaim responsibility for any injury to people or property resulting from any ideas, methods, instructions or products referred to in the content. |
© 2024 by the authors. Licensee MDPI, Basel, Switzerland. This article is an open access article distributed under the terms and conditions of the Creative Commons Attribution (CC BY) license (https://creativecommons.org/licenses/by/4.0/).
Share and Cite
Hu, H.; Zeng, X.; Dai, C.; Xie, B.; Zhang, J.; Xu, X.; Huo, X. A Decade-Long Comparison of Heavy Metal(loid)s in the River and Children’s Health Risk Assessment of an E-Waste Recycling Area. Water 2024, 16, 3226. https://doi.org/10.3390/w16223226
Hu H, Zeng X, Dai C, Xie B, Zhang J, Xu X, Huo X. A Decade-Long Comparison of Heavy Metal(loid)s in the River and Children’s Health Risk Assessment of an E-Waste Recycling Area. Water. 2024; 16(22):3226. https://doi.org/10.3390/w16223226
Chicago/Turabian StyleHu, Hongfei, Xiang Zeng, Chenxu Dai, Bo Xie, Jian Zhang, Xijin Xu, and Xia Huo. 2024. "A Decade-Long Comparison of Heavy Metal(loid)s in the River and Children’s Health Risk Assessment of an E-Waste Recycling Area" Water 16, no. 22: 3226. https://doi.org/10.3390/w16223226
APA StyleHu, H., Zeng, X., Dai, C., Xie, B., Zhang, J., Xu, X., & Huo, X. (2024). A Decade-Long Comparison of Heavy Metal(loid)s in the River and Children’s Health Risk Assessment of an E-Waste Recycling Area. Water, 16(22), 3226. https://doi.org/10.3390/w16223226

