Reactive Black-5, Congo Red and Methyl Orange: Chemical Degradation of Azo-Dyes by Agrobacterium
Abstract
1. Introduction
2. Materials and Methods
2.1. Bacterial Isolate and Culture Medium
2.2. Dyes and Decolorization Assay
2.3. FTIR Analyses
2.4. Thin Layer Chromatography (TLC)
2.5. Assaying Dye Tolerance and Growth of JAS1 Exclusively on Dyes as Sole C-Source
2.6. Caging of JAS1 and Its Cell-Free Spent Supernatant
2.7. Effect of Dyes and Their Degradation Products on In Vitro Seed Germination and Growth
2.8. In Vitro Effect of Seeds Priming with JAS1
2.9. Plant Physiological Growth Assays
2.10. Decolorization of Dyed Cellulosic Material
2.11. Statistical and Computational Analysis
3. Results
3.1. Azo Dye Decolorization by JAS1
3.2. FTIR Analyses
3.3. TLC Verified Dye Decolorization
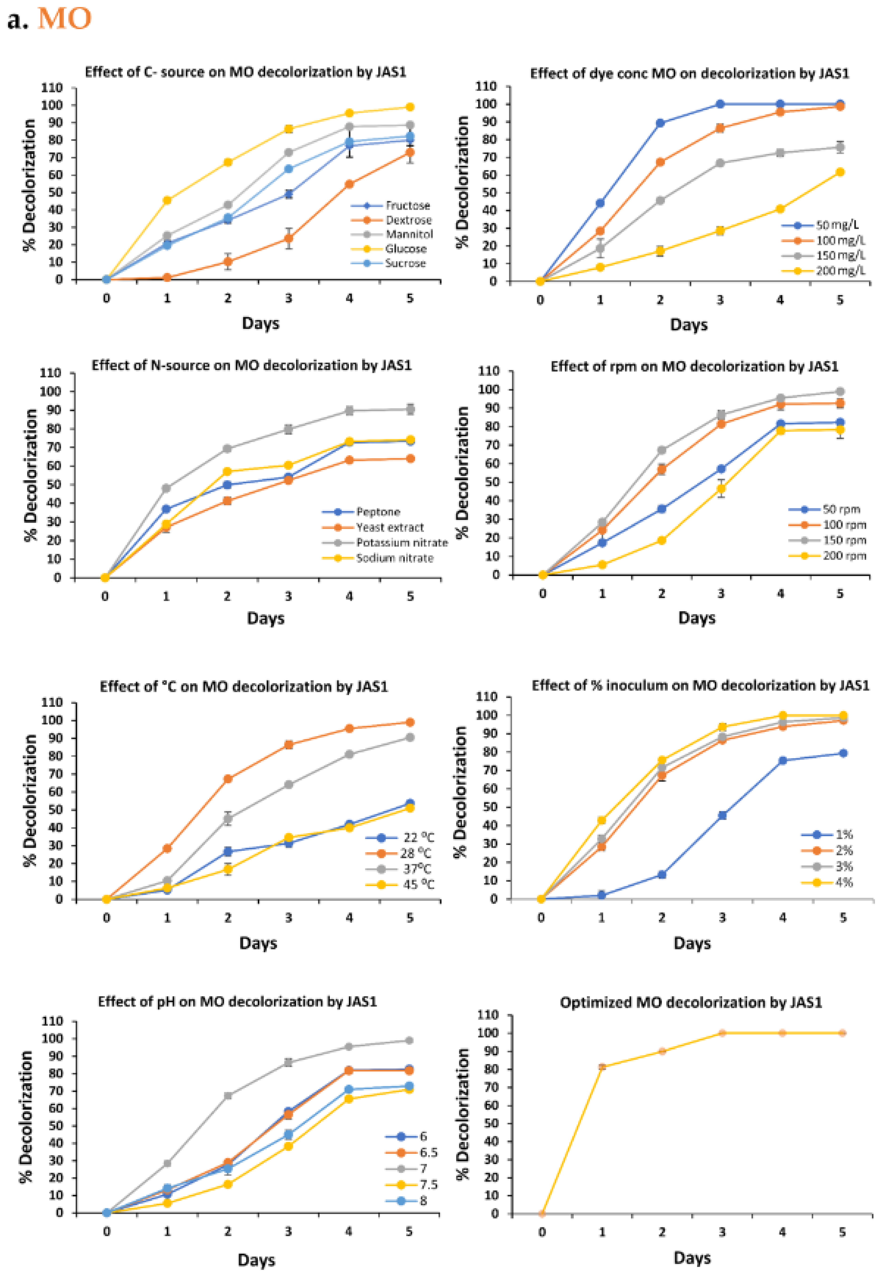
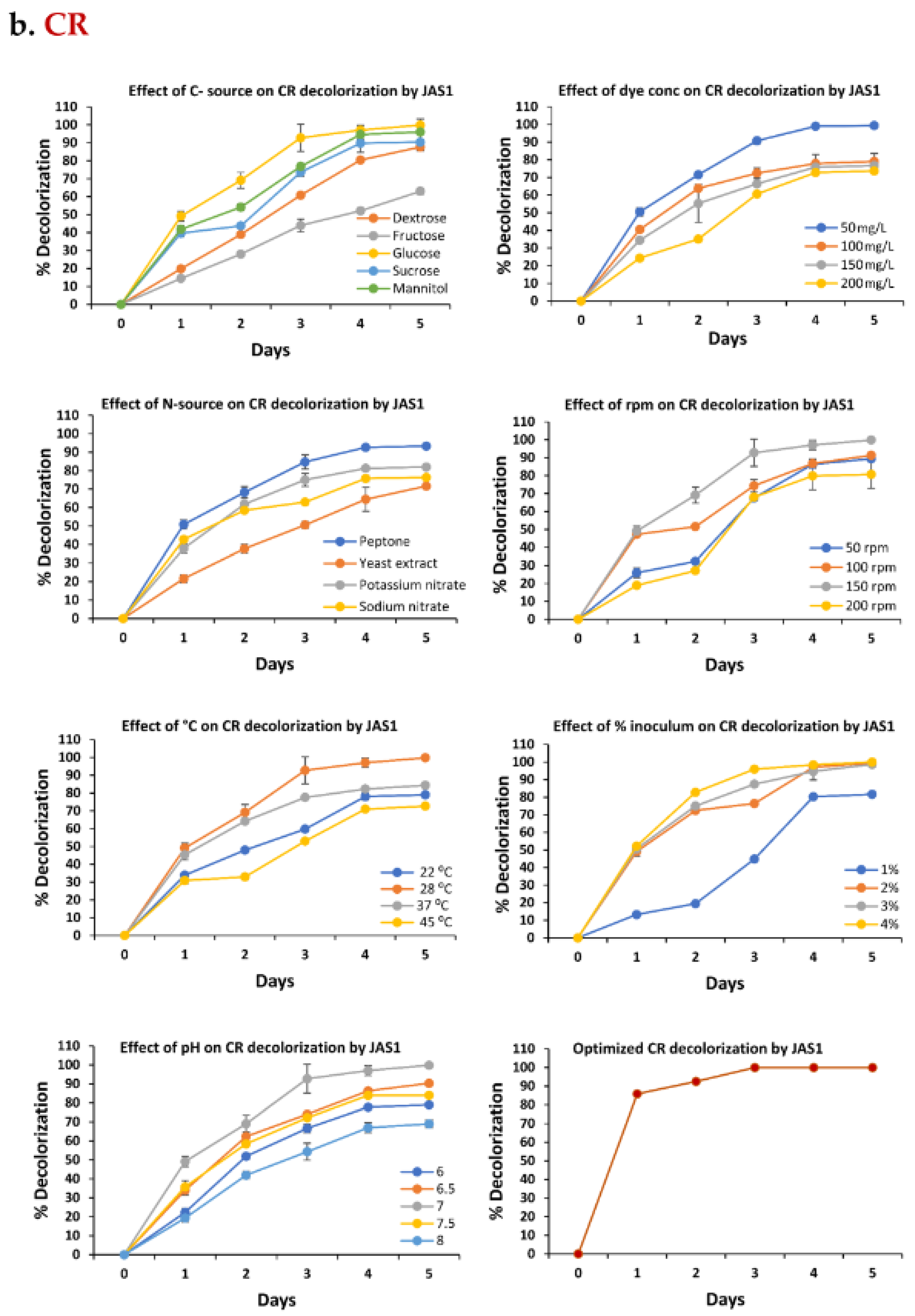
3.4. Optimization of Dye Decolorization by JAS1
3.5. JAS1 Can Tolerate and Decolorize High Azo Dye Concentration
3.6. JAS1 Can Use Azo Dyes as a Sole Carbon Source for Growth but Critically Requires a Co-Substrate for Dye Decolorization
3.7. Azo Dye Decolorization by JAS1 Is Probably Enzyme-Catalyzed
3.8. Congo Red Adsorbs to the JAS1 Surface
3.9. Probable Azo-Dye Dynamics under in solution Treatments with JAS1
3.10. Azo Dyes Dose-Dependently Impose Toxicity over Seed Germination and Plant Growth
3.11. By-Products from JAS1-Degraded Azo Dyes Are Non-Toxic
3.12. JAS1 Priming Rescues Plants from Dye Adversities and Maintains Overall Health
3.13. JAS1 Can Remove Azo Dyes from Different Cellulosic Substrates
3.14. Cellulosic Membrane-Caging of JAS1 and/or Its Spent Supernatant to Treat Azo Dyes
4. Conclusions
Supplementary Materials
Author Contributions
Funding
Data Availability Statement
Acknowledgments
Conflicts of Interest
References
- Negi, A.; Kieffer, C.; Voisin-Chiret, A.S. Azobenzene photoswitches in proteolysis targeting chimeras: Photochemical control strategies and therapeutic benefits. ChemistrySelect 2022, 7, e202200981. [Google Scholar] [CrossRef]
- Crespi, S.; Simeth, N.A.; König, B. Heteroaryl azo dyes as molecular photoswitches. Nat. Rev. Chem. 2019, 3, 133–146. [Google Scholar] [CrossRef]
- Gičević, A.; Hindija, L.; Karačić, A. Toxicity of azo dyes in pharmaceutical industry. In CMBEBIH 2019: Proceedings of the International Conference on Medical and Biological Engineering, Banja Luka, Bosnia and Herzegovina, 16–18 May 2019; Springer: Berlin/Heidelberg, Germany, 2019; pp. 581–587. [Google Scholar]
- Roșu, C.M.; Vochița, G.; Mihășan, M.; Avădanei, M.; Mihai, C.T.; Gherghel, D. Performances of Pichia kudriavzevii in decolorization, biodegradation, and detoxification of C.I. Basic Blue 41 under optimized cultural conditions. Environ. Sci. Pollut. Res. 2019, 26, 431–445. [Google Scholar] [CrossRef]
- Muliadi, F.N.A.; Halmi, M.I.E.; Wahid, S.B.A.; Gani, S.S.A.; Zaidan, U.H.; Mahmud, K.; Abd Shukor, M.Y. Biostimulation of Microbial Communities from Malaysian Agricultural Soil for Detoxification of Metanil Yellow Dye; a Response Surface Methodological Approach. Sustainability 2021, 13, 138. [Google Scholar] [CrossRef]
- Senthilkumar, S.; Perumalsamy, M.; Prabhuy, H.; AhmedBasha, C.; Anantharaman, N. Response surface optimization for efficient dye removal by isolated strain Pseudomonas sp. De Gruyter 2012, 2, 425–434. [Google Scholar] [CrossRef]
- Simelane, L.P.; Fosso-Kankeu, E.; Njobeh, P.; Pandey, S. Response of bacterial biosorbents to chemical treatment as influenced by cell membrane structure and impact on the adsorption behaviour of dyes. Curr. Sci. 2018, 114, 826–834. [Google Scholar] [CrossRef]
- Sudha, M.; Saranya, A.; Selvakumar, G.; Sivakumar, N. Microbial degradation of azo dyes: A review. Int. J. Curr. Microbiol. Appl. Sci. 2014, 3, 670–690. [Google Scholar]
- Chen, K.; Huang, W.; Wu, J.; Houng, J. Microbial decolorization of azo dyes by Proteus mirabilis. J. Ind. Microbiol. Biotechnol. Res. Innov. 1999, 23, 686–690. [Google Scholar] [CrossRef]
- Manogaran, M.; Yasid, N.A.; Othman, A.R.; Gunasekaran, B.; Halmi, M.I.E.; Shukor, M.Y.A. Biodecolourisation of Reactive Red 120 as a sole carbon source by a bacterial consortium—Toxicity assessment and statistical optimisation. Int. J. Environ. Res. Public Health 2021, 18, 2424. [Google Scholar] [CrossRef]
- Sarkar, S.; Echeverría-Vega, A.; Banerjee, A.; Bandopadhyay, R. Decolourisation and Biodegradation of Textile Di-azo Dye Congo Red by Chryseobacterium geocarposphaerae DD3. Sustainability 2021, 13, 10850. [Google Scholar] [CrossRef]
- Parshetti, G.; Parshetti, S.; Telke, A.; Kalyani, D.; Doong, R.; Govindwar, S.P. Biodegradation of crystal violet by Agrobacterium radiobacter. J. Environ. Sci. 2011, 23, 1384–1393. [Google Scholar] [CrossRef]
- Nasrin, T.; Saha, A.; Mohanta, M.; Chaity, A.; Rahman, S.; Ruhi, R.; Sarker, S.; Haque, M. Decolourization of azo dye by indigenous bacteria and its impact on seed germination. Int. J. Biosci. 2019, 14, 197–210. [Google Scholar]
- Fernandes, N.C.; Brito, L.B.; Costa, G.G.; Taveira, S.F.; Cunha–Filho, M.S.S.; Oliveira, G.A.R.; Marreto, R.N. Removal of azo dye using Fenton and Fenton-like processes: Evaluation of process factors by Box–Behnken design and ecotoxicity tests. Chem.-Biol. Interact. 2018, 291, 47–54. [Google Scholar] [CrossRef]
- Jayapal, M.; Jagadeesan, H.; Shanmugam, M.; Murugesan, S. Sequential anaerobic-aerobic treatment using plant microbe integrated system for degradation of azo dyes and their aromatic amines by-products. J. Hazard. Mater. 2018, 354, 231–243. [Google Scholar] [CrossRef]
- Barathi, S.; Karthik, C.; Nadanasabapathi, S.; Padikasan, I.A. Biodegradation of textile dye Reactive Blue 160 by Bacillus firmus (Bacillaceae: Bacillales) and non-target toxicity screening of their degraded products. Toxicol. Rep. 2020, 7, 16–22. [Google Scholar] [CrossRef] [PubMed]
- Anjaneya, O.; Souche, S.Y.; Santoshkumar, M.; Karegoudar, T. Decolorization of sulfonated azo dye Metanil Yellow by newly isolated bacterial strains: Bacillus sp. strain AK1 and Lysinibacillus sp. strain AK2. J. Hazard. Mater. 2011, 190, 351–358. [Google Scholar] [CrossRef] [PubMed]
- Baena-Baldiris, D.; Montes-Robledo, A.; Baldiris-Avila, R. Franconibacter sp., 1MS: A new strain in decolorization and degradation of azo dyes ponceau s red and methyl orange. ACS Omega 2020, 5, 28146–28157. [Google Scholar] [CrossRef] [PubMed]
- Kuźniar, A.; Włodarczyk, K.; Wolińska, A. Agricultural and other biotechnological applications resulting from trophic plant-endophyte interactions. Agronomy 2019, 9, 779. [Google Scholar] [CrossRef]
- Singh, G.B.; Mudgal, G.; Vinayak, A.; Kaur, J.; Chand, K.; Parashar, M.; Verma, A.K.; Goswami, A.; Sharma, S. Molecular Communications between Plants and Microbes. In Plant-Microbial Interactions and Smart Agricultural Biotechnology; CRC Press: Boca Raton, FL, USA, 2021; pp. 147–184. [Google Scholar] [CrossRef]
- Kaur, J.; Mudgal, G.; Chand, K.; Singh, G.B.; Perveen, K.; Bukhari, N.A.; Debnath, S.; Mohan, T.C.; Charukesi, R.; Singh, G. An exopolysaccharide-producing novel Agrobacterium pusense strain JAS1 isolated from snake plant enhances plant growth and soil water retention. Sci. Rep. 2022, 12, 21330. [Google Scholar] [CrossRef]
- Kaur, J.; Mudgal, G. An efficient and quick protocol for in vitro multiplication of snake plant, Sansevieria trifasciata var. Laurentii [Prain]. Plant Cell Tissue Organ Cult. 2021, 147, 405–411. [Google Scholar] [CrossRef]
- Agarwal, T.; Singh, R. Bioremedial potentials of a moderately halophilic soil bacterium. J. Pharm. Biomed. Sci. 2012, 19, 1–6. [Google Scholar]
- Bramhachari, P.V.; Dubey, S.K. Isolation and characterization of exopolysaccharide produced by Vibrio harveyi strain VB23. Lett. Appl. Microbiol. 2006, 43, 571–577. [Google Scholar] [CrossRef] [PubMed]
- Jadhav, J.P.; Phugare, S.S.; Dhanve, R.S.; Jadhav, S.B. Rapid biodegradation and decolorization of Direct Orange 39 (Orange TGLL) by an isolated bacterium Pseudomonas aeruginosa strain BCH. Biodegradation 2010, 21, 453–463. [Google Scholar] [CrossRef] [PubMed]
- Qayyum, A.; Razzaq, A.; Ahmad, M.; Jenks, M.A. Water stress causes differential effects on germination indices, total soluble sugar and proline content in wheat (Triticum aestivum L.) genotypes. Afr. J. Biotechnol. 2011, 10, 14038–14045. [Google Scholar] [CrossRef]
- Wellburn, A.R. The spectral determination of chlorophylls a and b, as well as total carotenoids, using various solvents with spectrophotometers of different resolution. J. Plant Physiol. 1994, 144, 307–313. [Google Scholar] [CrossRef]
- Tariq, U.; Ali, M.; Abbasi, B.H. Morphogenic and biochemical variations under different spectral lights in callus cultures of Artemisia absinthium L. J. Photochem. Photobiol. B Biol. 2014, 130, 264–271. [Google Scholar] [CrossRef] [PubMed]
- Kamtekar, S.; Keer, V.; Patil, V. Estimation of phenolic content, flavonoid content, antioxidant and alpha amylase inhibitory activity of marketed polyherbal formulation. J. Appl. Pharm. Sci. 2014, 4, 061–065. [Google Scholar]
- Dubois, M.; Gilles, K.A.; Hamilton, J.K.; Rebers, P.t.; Smith, F. Colorimetric method for determination of sugars and related substances. Anal. Chem. 1956, 28, 350–356. [Google Scholar] [CrossRef]
- Modi, A.; Singh, S.; Patki, J.; Padmadas, N. Screening and Identification of Azo Dye Decolourizers from Mangrove Rhizospheric soil. Environ. Sci. Pollut. Res. Int. 2022, 29, 83496–83511. [Google Scholar] [CrossRef]
- Akansha, K.; Chakraborty, D.; Sachan, S.G. Decolorization and degradation of methyl orange by Bacillus stratosphericus SCA1007. Biocatal. Agric. Biotechnol. 2019, 18, 101044. [Google Scholar] [CrossRef]
- Asses, N.; Ayed, L.; Hkiri, N.; Hamdi, M. Congo Red Decolorization and Detoxification by Aspergillus niger: Removal Mechanisms and Dye Degradation Pathway. BioMed Res. Int. 2018, 2018, 3049686. [Google Scholar] [CrossRef]
- Babu, S.S.; Mohandass, C.; Vijayaraj, A.; Dhale, M.A. Detoxification and color removal of Congo Red by a novel Dietzia sp.(DTS26)—A microcosm approach. Ecotoxicol. Environ. Saf. 2015, 114, 52–60. [Google Scholar] [CrossRef] [PubMed]
- Telke, A.A.; Joshi, S.M.; Jadhav, S.U.; Tamboli, D.P.; Govindwar, S.P. Decolorization and detoxification of Congo red and textile industry effluent by an isolated bacterium Pseudomonas sp. SU-EBT. Biodegradation 2010, 21, 283–296. [Google Scholar] [CrossRef] [PubMed]
- Hamad, M.T.M.H.; Saied, M.S.S. Kinetic studies of Congo red dye adsorption by immobilized Aspergillus niger on alginate. Appl. Water Sci. 2021, 11, 35. [Google Scholar] [CrossRef]
- El Bouraie, M.; El Din, W.S. Biodegradation of Reactive Black 5 by Aeromonas hydrophila strain isolated from dye-contaminated textile wastewater. Sustain. Environ. Res. 2016, 26, 209–216. [Google Scholar] [CrossRef]
- Neoh, C.H.; Lam, C.Y.; Lim, C.K.; Yahya, A.; Bay, H.H.; Ibrahim, Z.; Noor, Z.Z. Biodecolorization of recalcitrant dye as the sole source of nutrition using Curvularia clavata NZ2 and decolorization ability of its crude enzymes. Environ. Sci. Pollut. Res. 2015, 22, 11669–11678. [Google Scholar] [CrossRef]
- Maniyam, M.N.; Ibrahim, A.L.; Cass, A.E.G. Decolourization and biodegradation of azo dye methyl red by Rhodococcus strain UCC 0016. Environ. Technol. 2020, 41, 71–85. [Google Scholar] [CrossRef]
- Gahlout, M.; Gupte, S.; Gupte, A. Optimization of culture condition for enhanced decolorization and degradation of azo dye reactive violet 1 with concomitant production of ligninolytic enzymes by Ganoderma cupreum AG-1. 3 Biotech 2013, 3, 143–152. [Google Scholar] [CrossRef]
- Al-Tohamy, R.; Sun, J.; Fareed, M.F.; Kenawy, E.-R.; Ali, S.S. Ecofriendly biodegradation of Reactive Black 5 by newly isolated Sterigmatomyces halophilus SSA1575, valued for textile azo dye wastewater processing and detoxification. Sci. Rep. 2020, 10, 12370. [Google Scholar] [CrossRef]
- Kolekar, Y.M.; Kodam, K.M. Decolorization of textile dyes by Alishewanella sp. KMK6. Appl. Microbiol. Biotechnol. 2012, 95, 521–529. [Google Scholar] [CrossRef]
- Bilal, M.; Rasheed, T.; Iqbal, H.M.N.; Hu, H.; Wang, W.; Zhang, X. Toxicological Assessment and UV/TiO2-Based Induced Degradation Profile of Reactive Black 5 Dye. Environ. Manag. 2018, 61, 171–180. [Google Scholar] [CrossRef] [PubMed]
- Aftab, U.; Khan, M.R.; Mahfooz, M.; Ali, M.; Aslam, S.H.; Rehman, A. Decolourization and degradation of textile azo dyes by Corynebacterium sp. isolated from industrial effluent. Pak. J. Zool. 2011, 43, 1–8. [Google Scholar]
- Nanjani, S.; Paul, D.; Keharia, H. Genome analysis to decipher syntrophy in the bacterial consortium ‘SCP’ for azo dye degradation. BMC Microbiol. 2021, 21, 177. [Google Scholar] [CrossRef]
- Dave, S.; Patel, D.T.; Tipre, D. Bacterial Degradation of Azo Dye Containing Wastes. In Microbial Degradation of Synthetic Dyes in Wastewaters; Singh, S.N., Ed.; Springer International Publishing: Cham, Switzerland, 2014; pp. 57–83. [Google Scholar] [CrossRef]
- Mandic, M.; Djokic, L.; Nikolaivits, E.; Prodanovic, R.; O’Connor, K.; Jeremic, S.; Topakas, E.; Nikodinovic-Runic, J. Identification and Characterization of New Laccase Biocatalysts from Pseudomonas Species Suitable for Degradation of Synthetic Textile Dyes. Catalysts 2019, 9, 629. [Google Scholar] [CrossRef]
- Johansson, T.; Nyman, P.O. Isozymes of lignin peroxidase and manganese(II) peroxidase from the white-rot basidiomycete Trametes versicolor: I. Isolation of enzyme forms and characterization of physical and catalytic properties. Arch. Biochem. Biophys. 1993, 300, 49–56. [Google Scholar] [CrossRef] [PubMed]
- Bu, T.; Yang, R.; Zhang, Y.; Cai, Y.; Tang, Z.; Li, C.; Wu, Q.; Chen, H. Improving decolorization of dyes by laccase from Bacillus licheniformis by random and site-directed mutagenesis. PeerJ 2020, 8, e10267. [Google Scholar] [CrossRef] [PubMed]
- Arregui, L.; Ayala, M.; Gómez-Gil, X.; Gutiérrez-Soto, G.; Hernández-Luna, C.E.; Herrera de los Santos, M.; Levin, L.; Rojo-Domínguez, A.; Romero-Martínez, D.; Saparrat, M.C.N.; et al. Laccases: Structure, function, and potential application in water bioremediation. Microb. Cell Factories 2019, 18, 200. [Google Scholar] [CrossRef]
- Jadhav, U.U.; Dawkar, V.V.; Tamboli, D.P.; Govindwar, S.P. Purification and characterization of veratryl alcohol oxidase from Comamonas sp. UVS and its role in decolorization of textile dyes. Biotechnol. Bioprocess Eng. 2009, 14, 369. [Google Scholar] [CrossRef]
- Veismoradi, A.; Mousavi, S.M.; Taherian, M. Decolorization of dye solutions by tyrosinase in enzymatic membrane reactors. J. Chem. Technol. Biotechnol. 2019, 94, 3559–3568. [Google Scholar] [CrossRef]
- Saranraj, P.; Manigandan, M. Enzymes involved in bacterial decolourization and degradation of textile azo dyes. Indo-Asian J. Multidiscip. Res. IAJMR 2018, 4, 1369–1376. [Google Scholar]
- Summers, R.M.; Louie, T.M.; Yu, C.-L.; Gakhar, L.; Louie, K.C.; Subramanian, M. Novel, highly specific N-demethylases enable bacteria to live on caffeine and related purine alkaloids. J Bacteriol. 2012, 194, 2041–2049. [Google Scholar] [CrossRef]
- Hahn, N. The congo red reaction in bacteria and its usefulness in the identification of rhizobia. Can. J. Microbiol. 1966, 12, 725–733. [Google Scholar] [CrossRef] [PubMed]
- Wu, K.; Pan, X.; Zhang, J.; Zhang, X.; Salah zene, A.; Tian, Y. Biosorption of Congo Red from Aqueous Solutions Based on Self-Immobilized Mycelial Pellets: Kinetics, Isotherms, and Thermodynamic Studies. ACS Omega 2020, 5, 24601–24612. [Google Scholar] [CrossRef] [PubMed]
- Wang, A.; Liu, C.; Ge, X.; Meng, W.; Pi, Y.; Liu, C. Enhanced removal of Congo red dye from aqueous solution by surface modified activated carbon with bacteria. J. Appl. Microbiol. 2021, 131, 2270–2279. [Google Scholar] [CrossRef] [PubMed]
- Nakanishi, I.; Kimura, K.; Kusui, S.; Yamazaki, E. Complex formation of gel-forming bacterial (1→3)-β-d-glucans (curdlan-type polysaccharides) with dyes in aqueous solution. Carbohydr. Res. 1974, 32, 47–52. [Google Scholar] [CrossRef]
- Hawkins, J.P.; Geddes, B.A.; Oresnik, I.J. Common dyes used to determine bacterial polysaccharides on agar are affected by medium acidification. Can. J. Microbiol. 2017, 63, 559–562. [Google Scholar] [CrossRef] [PubMed]
- Jamee, R.; Siddique, R. Biodegradation of Synthetic Dyes of Textile Effluent by Microorganisms: An Environmentally and Economically Sustainable Approach. Eur. J. Microbiol. Immunol. 2019, 9, 114–118. [Google Scholar] [CrossRef]
- Jadhav, S.U.; Jadhav, M.U.; Kagalkar, A.N.; Govindwar, S.P. Decolorization of Brilliant Blue G dye mediated by degradation of the microbial consortium of Galactomyces geotrichum and Bacillus sp. J. Chin. Inst. Chem. Eng. 2008, 39, 563–570. [Google Scholar] [CrossRef]
- Sani, R.K.; Banerjee, U.C. Decolorization of triphenylmethane dyes and textile and dye-stuff effluent by Kurthia sp. Enzym. Microb. Technol. 1999, 24, 433–437. [Google Scholar] [CrossRef]
- Saratale, R.G.; Saratale, G.D.; Chang, J.S.; Govindwar, S.P. Ecofriendly degradation of sulfonated diazo dye C.I. Reactive Green 19A using Micrococcus glutamicus NCIM-2168. Bioresour. Technol. 2009, 100, 3897–3905. [Google Scholar] [CrossRef]
- Tony, B.D.; Goyal, D.; Khanna, S. Decolorization of textile azo dyes by aerobic bacterial consortium. Int. Biodeterior. Biodegrad. 2009, 63, 462–469. [Google Scholar] [CrossRef]
- Tony, B.D.; Goyal, D.; Khanna, S. Decolorization of Direct Red 28 by mixed bacterial culture in an up-flow immobilized bioreactor. J. Ind. Microbiol. Biotechnol. 2009, 36, 955–960. [Google Scholar] [CrossRef]
- Zahran, S.A.; Ali-Tammam, M.; Hashem, A.M.; Aziz, R.K.; Ali, A.E. Azoreductase activity of dye-decolorizing bacteria isolated from the human gut microbiota. Sci. Rep. 2019, 9, 5508. [Google Scholar] [CrossRef] [PubMed]
- Punj, S. Characterization of Azo Dye Reduction in Enterococcus Faecalis; Oklahoma State University: Stillwater, OK, USA, 2008. [Google Scholar]
- Guadie, A.; Tizazu, S.; Melese, M.; Guo, W.; Ngo, H.H.; Xia, S. Biodecolorization of textile azo dye using Bacillus sp. strain CH12 isolated from alkaline lake. Biotechnol. Rep. 2017, 15, 92–100. [Google Scholar] [CrossRef]
- Attwood, T.; Lydon, J.; Hall, C.; Tiddy, G. The distinction between chromonic and amphiphilic lyotropic mesophases. Liq. Cryst. 1990, 7, 657–668. [Google Scholar] [CrossRef]
- Jagusiak, A.; Piekarska, B.; Pańczyk, T.; Jemioła-Rzemińska, M.; Bielańska, E.; Stopa, B.; Zemanek, G.; Rybarska, J.; Roterman, I.; Konieczny, L. Dispersion of single-wall carbon nanotubes with supramolecular Congo red—Properties of the complexes and mechanism of the interaction. Beilstein J. Nanotechnol. 2017, 8, 636–648. [Google Scholar] [CrossRef] [PubMed]
- Stopa, B.; Górny, M.; Konieczny, L.; Piekarska, B.; Rybarska, J.; Skowronek, M.; Roterman, I. Supramolecular ligands: Monomer structure and protein ligation capability. Biochimie 1998, 80, 963–968. [Google Scholar] [CrossRef] [PubMed]
- Khurana, R.; Uversky, V.N.; Nielsen, L.; Fink, A.L. Is Congo red an amyloid-specific dye? J. Biol. Chem. 2001, 276, 22715–22721. [Google Scholar] [CrossRef]
- Edwards, R.A.; Woody, R.W.J.B. Spectroscopic studies of Cibacron Blue and Congo Red bound to dehydrogenases and kinases. Biochemistry 1979, 18, 5197–5204. [Google Scholar] [CrossRef] [PubMed]
- Edwards, R.A.; Woody, R.W.J.B.; Communications, B.R. Induced circular dichroism as a probe of Cibacron Blue and Congo Red bound to dehydrogenases. Biochem. Biophys. Res. Commun. 1977, 79, 470–476. [Google Scholar] [CrossRef] [PubMed]
- Kagan, H.M.; Hewitt, N.A.; Franzblau, C. A microenvironmental probe of elastin. Properties of a solubilized Congo red-elastin complex. Biochim. Biophys. Acta 1973, 322, 258–268. [Google Scholar] [CrossRef]
- Woody, A.-Y.M.; Reisbig, R.R.; Woody, R.W. Spectroscopic studies of Congo red binding to RNA polymerase. Biochim. Biophys. Acta 1981, 655, 82–88. [Google Scholar] [CrossRef] [PubMed]
- Kopecká, M.; Gabriel, M. The influence of congo red on the cell wall and (1----3)-beta-D-glucan microfibril biogenesis in Saccharomyces cerevisiae. Arch. Microbiol. 1992, 158, 115–126. [Google Scholar] [CrossRef] [PubMed]
- Roncero, C.; Durán, A. Effect of Calcofluor white and Congo red on fungal cell wall morphogenesis: In vivo activation of chitin polymerization. J. Bacteriol. 1985, 163, 1180–1185. [Google Scholar] [CrossRef]
- Ortiz-Ramírez, J.A.; Cuéllar-Cruz, M.; López-Romero, E. Cell compensatory responses of fungi to damage of the cell wall induced by Calcofluor White and Congo Red with emphasis on Sporothrix schenckii and Sporothrix globosa. A review. Front. Cell. Infect. Microbiol. 2022, 12, 976924. [Google Scholar] [CrossRef]
- Suzuki, T.; Campbell, J.; Kim, Y.; Swoboda, J.G.; Mylonakis, E.; Walker, S.; Gilmore, M.S. Wall teichoic acid protects Staphylococcus aureus from inhibition by Congo red and other dyes. J. Antimicrob. Chemother. 2012, 67, 2143–2151. [Google Scholar] [CrossRef] [PubMed]
- Zevenhuizen, L.P.T.M.; Bertocchi, C.; Van Neerven, A.R.W. Congo red absorption and cellulose synthesis by Rhizobiaceae. Antonie Van Leeuwenhoek 1986, 52, 381–386. [Google Scholar] [CrossRef] [PubMed]
- Hooykaas, P.J.J.; van Brussel, A.A.N.; den Dulk-Ras, H.; van Slogteren, G.M.S.; Schilperoort, R.A. Sym plasmid of Rhizobium trifolii expressed in different rhizobial species and Agrobacterium tumefaciens. Nature 1981, 291, 351–353. [Google Scholar] [CrossRef]
- Kneen, B.E.; Larue, T.A. Congo Red Absorption by Rhizobium leguminosarum. Appl. Environ. Microbiol. 1983, 45, 340–342. [Google Scholar] [CrossRef]
- Gupte, S.; Keharia, H.; Gupte, A. Toxicity analysis of azo Red BS and Methyl Red dye solutions on earthworm (Pheretima phosthuma), micro-organisms, and plants. Desalination Water Treat. 2013, 51, 4556–4565. [Google Scholar] [CrossRef]
- Kapoor, R.T.; Sivamani, S. Exploring the potential of Eucalyptus citriodora biochar against direct red 31 dye and its phytotoxicity assessment. Biomass Convers. Biorefinery 2021, 24, 1–12. [Google Scholar] [CrossRef]
- Moawad, H.; El-Rahim, W.M.; Khalafallah, M. Evaluation of biotoxicity of textile dyes using two bioassays. J. Basic Microbiol. 2003, 43, 218–229. [Google Scholar] [CrossRef]
- Kapoor, R.T.; Rafatullah, M.; Siddiqui, M.R.; Khan, M.A.; Sillanpää, M. Removal of Reactive Black 5 Dye by Banana Peel Biochar and Evaluation of Its Phytotoxicity on Tomato. Sustainability 2022, 14, 4176. [Google Scholar] [CrossRef]
- David, N.; Rajan, M. Phytotoxic Effect of Dyeing Industry Effluent on Seed Germination and Early Growth of Lady’s Finger. J. Pollut. Eff. Control 2015, 3, 1000138. [Google Scholar] [CrossRef]
- Mahawar, P.; Akhtar, A. Impact of Dye Effluent on Seed Germination, Seedling Growth and Chlorophyll Content of Soybean (Glycine max L.). Int. J. Sci. Res. 2019, 8, 1–5. [Google Scholar]
- Mondal, N.K.; Debnath, P. Impact of two commercially available hair dyes on germination, morpho-physiology, and biochemistry of Cicer arietinum L. and cytotoxicity study on Allium cepa L. root tip. Environ. Res. 2022, 208, 112681. [Google Scholar] [CrossRef] [PubMed]
- Sarim, K.M.; Kukreja, K.; Shah, I.; Choudhary, C.K. Biosorption of direct textile dye Congo red by Bacillus subtilis HAU-KK01. Bioremediation J. 2019, 23, 185–195. [Google Scholar] [CrossRef]
- Wen, H.; Huang, W.; Liu, C. Double-barrier forward osmosis membrane for rejection and destruction of bacteria and removal of dyes. Desalination 2022, 529, 115609. [Google Scholar] [CrossRef]
- Parimelazhagan, V.; Jeppu, G.; Rampal, N. Continuous Fixed-Bed Column Studies on Congo Red Dye Adsorption-Desorption Using Free and Immobilized Nelumbo nucifera Leaf Adsorbent. Polymers 2022, 14, 54. [Google Scholar] [CrossRef]















Disclaimer/Publisher’s Note: The statements, opinions and data contained in all publications are solely those of the individual author(s) and contributor(s) and not of MDPI and/or the editor(s). MDPI and/or the editor(s) disclaim responsibility for any injury to people or property resulting from any ideas, methods, instructions or products referred to in the content. |
© 2023 by the authors. Licensee MDPI, Basel, Switzerland. This article is an open access article distributed under the terms and conditions of the Creative Commons Attribution (CC BY) license (https://creativecommons.org/licenses/by/4.0/).
Share and Cite
Kaur, J.; Mudgal, G.; Negi, A.; Tamang, J.; Singh, S.; Singh, G.B.; Bose K., J.C.; Debnath, S.; Wadaan, M.A.; Farooq Khan, M.; et al. Reactive Black-5, Congo Red and Methyl Orange: Chemical Degradation of Azo-Dyes by Agrobacterium. Water 2023, 15, 1664. https://doi.org/10.3390/w15091664
Kaur J, Mudgal G, Negi A, Tamang J, Singh S, Singh GB, Bose K. JC, Debnath S, Wadaan MA, Farooq Khan M, et al. Reactive Black-5, Congo Red and Methyl Orange: Chemical Degradation of Azo-Dyes by Agrobacterium. Water. 2023; 15(9):1664. https://doi.org/10.3390/w15091664
Chicago/Turabian StyleKaur, Jaspreet, Gaurav Mudgal, Arvind Negi, Jeewan Tamang, Shambhawi Singh, Gajendra Bahadur Singh, Jagadeesh Chandra Bose K., Sandip Debnath, Mohammad Ahmad Wadaan, Muhammad Farooq Khan, and et al. 2023. "Reactive Black-5, Congo Red and Methyl Orange: Chemical Degradation of Azo-Dyes by Agrobacterium" Water 15, no. 9: 1664. https://doi.org/10.3390/w15091664
APA StyleKaur, J., Mudgal, G., Negi, A., Tamang, J., Singh, S., Singh, G. B., Bose K., J. C., Debnath, S., Wadaan, M. A., Farooq Khan, M., Ruokolainen, J., & Kesari, K. K. (2023). Reactive Black-5, Congo Red and Methyl Orange: Chemical Degradation of Azo-Dyes by Agrobacterium. Water, 15(9), 1664. https://doi.org/10.3390/w15091664

