Abstract
A procedure is proposed to assess the impact of various relationships found in the literature and is used to convert acoustic target strengths (TS) to fishes’ total length (TL) with respect to the compatibility of fish length data obtained from vertical hydroacoustics and gillnets. The study used one set of data collected with a 120 kHz echosounder across the mesotrophic, dimictic Lake Dejguny. Four general multi-species TS–TL relationships were tested for the maximum dorsoventral characteristic: (1) a relationship developed using mainly West Atlantic marine and brackish water fish for various frequencies, (2) a relationship developed using fish from the Salmonidae, Percidae, and Cyprinidae families at 120 kHz, as well as the relationship shown by two generalized equations for representatives of (3) the Cyprinidae family (200 kHz) and (4) the Percidae family (200 kHz). In addition, two other equations were developed for (5) perch (Perca fluviatilis) and (6) roach (Rutilus rutilus). The procedure for selecting the most appropriate TS–TL ratio began by determining the TS threshold that would eliminate small fish that were ineffectively caught with gillnets. Depending on the TS–TL relation, the threshold ranged from −48.5 dB to −45.5 dB, and the corresponding TL was in the range of 62.3–93.0 mm. Then, using linear regression, the relationship between the percentage of caught fish organized in length classes (TL), whose boundaries were determined using the tested TS–TL relationships, and the share of fish recorded acoustically in the corresponding TS classes (with a 1.5 dB interval) was examined. The fit of the regression model to the data (percentage) was assessed using the coefficient of determination r2, the mean absolute error (MAE), the Nash–Sutcliffe model efficiency coefficient (NSE), and root mean square error (RMSE). For the data from Lake Dejguny, the most similar distribution of fish echo proportions and the corresponding distribution of total length (TL) for fish larger than 62 mm were obtained using the TS–TL relation developed using fish from the Salmonidae, Percidae, and Cyprinidae families (2), and for fish larger than 74 mm, the relation was developed for the family Pericidae (4). No evidence was found to unambiguously verify the meanings of different sound frequencies (120 and 200 kHz) for which the TS–TL relationships used in the analysis were derived. The proposed procedure can be used to select the optimal regression equation.
1. Introduction
Reliable estimates of fish abundance in freshwaters are important prerequisites for quantitative ecological investigations and ecosystem quality [1]. However, unbiased conversion from acoustic parameters, such as target strength (TS), to parameters such as fish total length (TL) or fish wet weight is still not a routine procedure. The relationship between TS and the real size of particular fish species, especially commercially important ones, has been the subject of many studies [2]. As a result, different TS–TL equations to estimate TL have been proposed for each fish species [2,3,4,5,6] and generalized for fish communities [2,7,8]. Studies by Mehner and Schulz [9] and Mehner et al. [10] showed that one general formula does not fully reliably predict the target strength for different age groups of a given species (Coregonus albula L.). Moreover, the target strength of a given fish depends on many morphological parameters of its body (length, weight, fat content, development and presence of gonads, size, and type of swim bladder) [11,12]. At least as important as these morphological parameters is the orientation of the fish’s body axis in relation to the sound beam [2].
The correspondence between catches in benthic multi-mesh gillnets and fish biomass estimates obtained by vertical hydroacoustics in 18 European lakes with strongly varying morphometry nutrition has already been the subject of studies by Emmrich et al. [13]. This study showed a significant correlation between catches and hydroacoustic estimates of fish biomass, with the strength of the correlation independent of the fish length thresholds used, but varying across lake depth layers, with the strongest correlations found in the shallow strata. Achleitner et al. [14] compared the standardized gillnet, electric, and hydroacoustic fishing methods to estimate species composition, abundance, biomass, and size distribution in 14 alpine lakes and found that biomass data generated by standardized gillnetting and hydroacoustic surveys were not fully comparable, but they were positively correlated. However, size distributions obtained from gillnet and hydroacoustic surveys differed statistically for large fish (>40 cm).
A literature review by Tušer et al. [15] found that most studies agree with the view that each method provides a different representation of the fish population. The application of a novel method (in which the fish length data were analyzed by the maximum-likelihood estimate method)—i.e., a comparison of fish size spectra obtained by the simultaneous application of gillnet fishing and hydroacoustics in seven lakes—showed good overall agreement but also remarkably strong differences in single lakes (relatively weak correlation). The authors therefore suggested the need to research “some specific methodological details” [15].
Among the previously mentioned studies for the estimation of fish body parameters such as length and weight from acoustic data, some selected (without special justification) the use of a regression equation (e.g., [15,16,17,18,19]). In a few studies, the selection of a regression model was preceded by analyses related to the assessment of the compliance of catch data with the selected regression model. For example, DuFour et al. [17] evaluated the correspondence between the catch-per-unit-effort (CPUE) of gillnets and hydroacoustic abundance estimates and pointed out that previous studies (DuFour et al. [20]) showed “that back calculated TL histograms from in situ TS measurements, using Love [7], matched well with length frequency histograms from paired gillnet sampling”.
Meanwhile, a comparison of even a few dorsal-aspect multi-species TS–TL equations commonly used to estimate the TL of acoustically observed fish indicates that the estimated values may differ significantly. For example, for TS = −30.5 dB, the value of the estimated total length (TLE) according to the equation developed for perch (120 kHz) [2] is 264 mm, according to the equation (200 kHz) for the Percidae family [21] it is 318 mm, and according to the commonly used TS–TL conversion formula from Love [7], TLE = 559 mm (Figure 1). Additionally, for lower target strength values, these differences can be relatively large, e.g., for TS = −50 dB, TLE values can range from 35 to 68 mm (according to various equations developed by Frouzová et al. [2] for perch and carp). On the other hand, the differences in the target strengths for the same total length of fish according to different regression models can reach up to 3 dB [22]. It can therefore be assumed that the use of only one regression equation, without first checking its adequacy, may be one of the “specific methodological details” mentioned by Tušer et al. [15].
Figure 1.
Comparison of some TS–TL relationships (dorsal aspect) from the literature [2,7,21].
Therefore, the purpose of this article was to indicate the methods and tools that can be used to select the most optimal TS–TL relationship, which would allow a realistic correspondence between acoustic data and direct catch to be obtained.
2. Materials and Methods
The study was carried out in mesotrophic, dimictic Lake Dejguny, a medium-sized (765.3 ha), deep (Zmean = 12.0 m, Zmax = 45.0 m), coregonid lake (length max. = 6.5 km, width max. = 2.4 km) located in northeastern Poland (54.0383° N, 21.6067° E). The contours of the lake and the survey design are shown in Figure 2.
Figure 2.
Location map of hydroacoustic survey transects (solid light blue line) in Lake Dejguny (Poland) during September/October 2021. The solid orange line marks the initial fragments of 1000 pings, from which the catch and hydroacoustics data were used in the cross-compliance analysis; detailed explanations can be found in the text (Section 2.2.1).
The fish community was investigated over the course of three nights—27–30 September 2021 and 7/8 October 2021—with similar stratification conditions during sampling nights (Supplementary Materials: Figure S1). A thermocline occurred between 11 and 14 m at the end of September and between 15 and 16 m at the beginning of October. Oxygen values were in the range of 12 to 7 mg L−1 between 0 and 10 m in September and 0 and 15 m in October, decreasing to <2 mg L−1 at a depth of 26/27 m.
2.1. Gillnet Sampling
Data on the number and size of fish in Lake Dejguny were obtained from State Environmental Monitoring. The fish were caught on 27–30 September 2021 using Nordic multimesh gillnets (benthic gillnets: mesh size 5–55 mm and net length 30.0 m; pelagic gillnets: 6.25–55 mm and 27.5 m, respectively) according to the European Standard protocol EN 14757 [23]. In accordance with the requirements of the Polish LFI-EN method for the classification of the state/ecological potential of lakes based on ichthyofauna, a total of 43 benthic and 4 pelagic gillnets were used. The network exposure time was 12 h (between 6:00 p.m. and 6:00 a.m.). Ten benthic nets were placed at each of the depths of 0–3 m, 3–6 m, and 6–12 m, and eight and five gillnets were placed, respectively, at the depths of 12–20 m and 20–35 m. Pelagic nets were suspended at a depth of 0–6 m, 6–12 m, 12–18 m, and 18–24 m from the water table.
According to the LFI-CEN method (i.e., the system for assessing the state/ecological potential of lakes based on catches with the use of Nordic multimesh gillnets developed in Poland [24]), the caught fish were identified by species, divided into size assortments, counted and weighed in these groups, with an accuracy of 1 g. In addition, 8% of the caught individuals were measured for total length (TL) and fresh mass (FM) with accuracies of 1.0 mm and 0.1 g, respectively. The total length of unmeasured fish was estimated based on a curve showing the relationship between these parameters (TL and FM).
2.2. Hydroacoustic
2.2.1. Data Collection
Hydroacoustic surveys were carried out on 7/8 October 2021 between 20 and 24 h at night, using Simrad EY500 120 kHz split-bean sonar equipped with a 4 × 10° elliptical transducer oriented vertically downwards. A transducer was mounted onto a custom-made frame to stabilize its position. Pulse duration was set to 0.3 ms, and pulse interval was set to be as fast as possible within the options of the system’s controlling software. Hydroacoustic studies were carried out along closely separated zigzag transects covering the entire area of the lake, at a constant speed of 2 km h−1 (Figure 2). The cutoff value for TS was set to −56 dB to avoid very small fish and other small, unwanted echoes from sources such as noise, air bubbles, and invertebrates [25,26].
2.2.2. Data Post-Processing
All datagram files were converted into a format compatible with Simrad EP 500 software (version 5.3) [27]. The standard data analysis procedure enables the estimation of the number of fish in the TS range of −50 dB to −17 dB, with a resolution of 3 dB TS class [27], which allowed for the hydroacoustic data from Lake Dejguny to create only up to 8 non-empty classes. In addition, as previous studies have shown that small fish are not effectively caught with multi-mesh gillnets [28,29], it was necessary to take into account the need to use TS thresholds that would eliminate fish smaller than approx. 5 cm. Therefore, the analysis used the possibility of reading the so-called “interval results” (reading the log interval results calculated by EY 500) (Menu “Echogram”/Command “Interval results to ASCII”; see: Simrad EP 500 Instruction Manual [27] p. 27). ASCII files created in this way contain target strength distributions (TS) in 1.5 dB classes for the 36 dB range. This allowed us to determine up to 18 classes of target strength (TS) for hydroacoustic data from Lake Dejguny. The limitation of the Simrad EP 500 software is that it is only able to read interval results from the initial segment of the echogram with a maximum of 1000 pings. For this reason, data-consistency analysis was performed based on a subset of transects (marked in orange in Figure 1). However, this created a risk that a significant part of the included transects covered only the zones unavailable for echo sounding, i.e., the surface blind zone, bottom dead zone, and shallows. This may have significantly influenced the estimation of the fish population [30,31]. Therefore, the depth structure along the transects included in the subset was determined by analyzing the average depth in 10 ping sections of the transects (Figure 2). Only 4.8% of such sections of the examined transects were up to 3 m deep. Almost half of the length of these transects (49.7%) covered the depth of 6–12 m, and more than 35% from 12 to 35 m. It was assumed that to compare the fish structure (from gillnet catch and hydroacoustically derived size spectra) the data must be sufficiently representative (Figure 3).
Figure 3.
Water depth along selected fragments of transects (marked in orange in Figure 2) from the subset of acoustic data adopted for the analysis (Dejguny Lake, 7/8 October 2021).
The analysis covered the entire volume of water. To include the structure of the depth from which the acoustic data were obtained (presented in Figure 3), a system of weights was adopted. It was modeled on the principles of determining the so-called “basket of goods and services” in microeconomics [32]. The share of acoustically scanned water (%) with a depth according to the gillnet standard [23] (i.e., 6–12 m, 12–20 m, and 20–35 m referring to the depth of 0–6 m) determined the % of the number of fish from the gillnets from the depth data included in the subset of catch data (“catch basket”). For example, in the acoustic dataset, the share of scanned water from a depth of 6–12 m was 85.5% in relation to the scanned waters at a depth of 0–6 m (100%).
To convert the maximum TS (in dB) to the fishes’ total length (TLE in cm), two general multi-species regressions were used, i.e., one (adjusted to the different sound frequencies of 70, 120, and 200 kHz) from Love [7]:
and, adjusted based on sound frequencies of 120 kHz, one from Frouzová et al. [2]:
In addition, two equations, based on sound frequencies of 200 kHz and multi-species regression, were used for the family Cyprinidae:
and for the family Percidae from Borisenko et al. [21]:
Finally, two equations, based on sound frequencies of 120 kHz, regressions of individual species, were used for roaches:
and for perch from Frouzová et al. [2]:
where TS is the maximum target strength in dB.
In accordance with the above TS–TL equations, the boundaries of the total length classes (estimated total length, TLE) in the range of target strength (TS) from the ASCII files were determined in classes of 1.5 dB width created from −56 to −30.5 dB. For each equation, 6 distribution series were created, which contained data from gillnet catches arranged based on the designated TLE classes, i.e., the number of fish (NE) in the estimated length classes and the corresponding number of fish recorded acoustically (NH), giving a target-strength (TS) class.
In connection with the literature reports of lower efficiency in catching small fish by gillnets [13,28], a range of total TL lengths of fish was assessed, in which the number of fish caught and recorded with hydroacoustic methods was similar. Kendall’s Tau rank correlation coefficient (τ) was used, which is based on the difference between the number of matching (in the same order) and discordant pairs within the observed data, and it allows the expression of the interdependence between two variables in the data strings [33]. The coefficient τn (where n = 4, 5, …, 16) was calculated for n-pairs for NH and NE in the TS range of −30.5 to −51.5 dB of hydroacoustic and catch data, starting from the number of fish assigned to four classes, for TS −30.5 to −35 dB. It was assumed that a statistically significant change in the value of τn against τn-1 determines the values for the discontinuity and indicates the limits of the range (TL1, TL2) in which the number of fish caught and recorded with hydroacoustic methods changed similarly. Further calculations were carried out only in these six ranges, separately for each equation. For each distribution series, the percentage share of acoustically identified fish (SFH) (identical in each distribution series) and the percentage share of fish caught (SF) were calculated (and vary depending on the equation being evaluated).
2.2.3. Statistics
To determine the impact of TLE estimation methods on the consistency between the structure of caught fish and acoustically identified fish, the relative numbers of fish in the total length classes were compared using the same set of data. The class boundaries of the total length of the caught fish were determined using various TS–TL conversion equations in steps of 1.5 dB. It was assumed, following Białokoz and Chybowski [34], that the ichthyofauna structure expressed as a percentage provides a better picture of the lake’s ichthyofauna than the number or biomass of caught fish. A similar method of comparing hydroacoustic and catch data was used by Mehner et al. [10].
To compare the size structure of the fish caught and obtained from hydroacoustic surveys, simple least squares regression was used. It was assumed that the distribution of the relative number of fish (%) in the TS classes (and the corresponding TLE) would be the explanatory variable (O). The response variable (projected—P) was the distribution of the relative number of fish (%) caught and ordered within the limits of TLE classes determined according to the tested TS–TL regressions. The consistency of these distributions was tested by comparing the slope (coefficient a) of the equation y = ax + b and the coefficient of determination (r2). The coefficient of determination r2 is a measure of the goodness of fit of the linear model, and it allowed us to assess the accuracy of the reconstruction of the relative number of fish caught based on the results obtained with hydroacoustic methods. R2 ranges from 0 to 1, with larger values indicating a lower error variance. Values greater than 0.5 are considered acceptable [35]. This statistic is insensitive to additive and proportional differences between the model predictions and the measurement data [36], so when all predictions are wrong, r2 may also obtain values close to 1.0 [37].
The Nash–Sutcliffe coefficient of efficiency (NSE) was also used to evaluate the accuracy and efficiency of the regression. According to Julien et al. [38], it is defined as
the mean absolute error (MAE) is defined as
and the root-mean-square error (RMSE) is defined as
where Oj (j = 1, 2, …, n) is the share of the number of fish identified hydroacoustically and Pj (j = 1, 2, …, n) is the share of the number of fish caught in the jth class determined by TLE limits.
The NSE is a normalized statistic that measures the relative magnitude of the residual variance compared to the variance of the measured data [39] and indicates how well the plot of the observed and simulated data fits the 1:1 line. A Nash–Sutcliffe coefficient of efficiency of 1 indicates a perfect fit of the model to the observed data, and NSE = 0 indicates that the model’s predictions are as accurate as the average of the observed data. An NSE < 0 indicates that the observed mean is a better predictor than the model. In this study, for NSE > 0.75, the agreement of both types of data (hydroacoustic and fishing) was found to be good, while for NSE values between 0.75 and 0.36 the agreement was satisfactory [40,41].
The MAE is the mean of absolute errors; i.e., it measures the average size of errors in a set of forecasts without taking into account their direction. The RMSE is a measure of the difference between the values predicted by the model and the values actually observed. The MAE and RMSE express the model’s average prediction error in units of a variable. From the definition of both errors, it follows that large errors have a greater impact on the RMSE than smaller errors because each error contributes to the sum in proportion to its square, not its magnitude. When n is constant, the spread between the MAE and the RMSE is only due to the different error size variances associated with these sets of errors, and the RMSE is always larger than the MAE [42,43].
Finally, the agreement of the approximation of the fish TL distribution to the TLE based on hydroacoustic data can be considered higher when the values of NSE and r2 are close to 1 and the lowest values of MAE and RMSE are close to 0 [44].
2.2.4. Meta-Analysis
It was verified whether the procedure described in Section 2.2.2 made it possible to identify data subsets that guarantee a perfect fit of the model to the observed data. Therefore, it was checked whether the elimination of subsequent pairs of data would improve the predictive capabilities of regression equations, estimated on the basis of new subsets of data. For this purpose, the NSE value was calculated step by step for n data pairs, when n decreased from the maximum in the optimized subset of data until NSE < 0. It was assumed that the TS threshold (to which a given data subset should be limited) is indicated by the maximum, and simultaneously greater than 0.75, the NSE value. The MAE and RMSE values were also calculated.
3. Results
3.1. Gillnet Catches
In Lake Dejguny, 5912 fish belonging to fourteen species were caught. The most numerous species (between 18% and 36%) were perch (Perca fluviatilus L.), European smelt (Osmerus eperlanus L.), and roach (Rutilus rutilus L.). Less frequent (from 1% to 10%) were white bream (Blicca bjoerkna L.), freshwater bream (Abramis brama L.), ruffe (Gymnocephalus cernuus L.), vendance (Coregonus albula L.), and bleak (Alburnus alburnus L.) (Table 1). There were no fish found below 24 m depth, where the water was deprived of oxygen.
Table 1.
List of species and abundance of fish in benthic gillnet fisheries on 27–30 September 2021, in Lake Dejguny.
The total length (TL) varied in the range of 25–390 cm (Figure 4). Fish with body lengths of 70 to 80 mm (25%) and 90 to 100 mm (22%) were very numerous. Less numerous were fish with TL between 100 and 110 mm and between 110 and 120 mm, which accounted for 12% and 9% of the total number, respectively, while fish with other body lengths accounted for less than 5% in each class.
Figure 4.
Fish body length (TL) distribution in Lake Dejguny (<0.1% in the range of 330–390 mm), based on catches made with Nordic multimesh gillnets on 27–30 September 2021.
3.2. Hydroacoustics
Hydroacoustic studies on 26 profiles with a length of 1000 pings showed the presence of a total of 10,982 fish. The number of fish (NH) recorded in the 18 TS classes is presented in Table 2.
Table 2.
Size structure of registered echoes (number of fish—NH), by target strength (TS in dB) on 7/8 October 2021, and the number of fish caught with gillnets on 27–30 September 2021, in TS classes (with a spread of 1.5 dB) based on various TS–TL relationships (Equations (1)–(6)). Subsets of data after removal of fish smaller than the TS for the small fish threshold (defined for each TS–TL relationship) are marked in plain font, and deleted data are in italics (explanations in the text).
3.3. Analysis
Variation in the number of fish caught (NE) in the TLE classes determined from the TS, according to various TS–TL relationships, is presented in Table 2. Different class boundaries of TLE classes at a given target strength (TS) caused the number of fish caught in individual classes to differ. The smallest relative differences (expressed as multiples of the arithmetic mean NE in a given class) were recorded in the class from −39.5 to >−38 dB (1.2), and the largest in the classes −50 to −51.5 dB (4.5) and −30.5 to −32 dB (4.2).
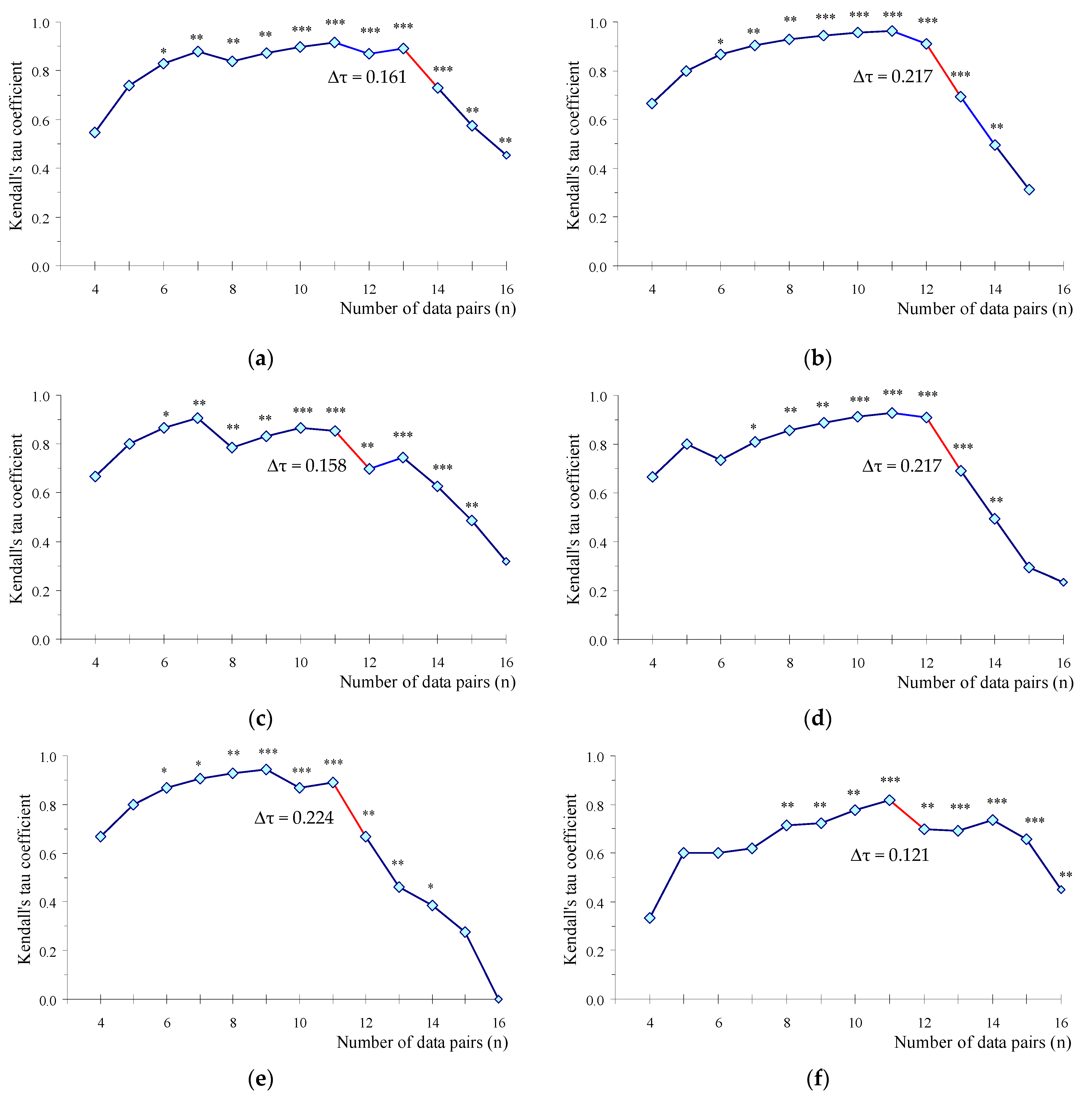
The analysis of pairwise correspondence within the observed NH and NE data (in the same order) showed that changes in both variables (NH and NE) were similar in the range for n = 7(8) to n = 12 (τn values ranged from 0.857 to 0.964, with p < 0.05) when TLE class boundaries were determined from Equation (2) and Equation (4) (Figure 5b,d). Therefore, the range (TL1, TL2) within which further calculations were carried out included fish with total body length ≥62.3 mm and ≥64.0 mm, respectively. According to the respective TS–TL relations, they correspond to a threshold of −47 dB. Therefore, the number of fish from catches in the subsets of data for further analysis for each relationship is 4365 and 4356, respectively, while the number recorded acoustically was 2591.
Figure 5.
Changes in the value of the Kendall coefficient (τ) for the series of n data pairs (n = 4 to 16) of the number of fish caught using Nordic multimesh gillnets (NE) in TLE classes determined based on various TS–TL relationships and the corresponding number of fish determined hydroacoustically (NH). The change in the value of the Kendall coefficient (Δτ) is marked in red, indicating the incompatibility of pairs within the observed data. (a) Equation (1), (b) Equation (2), (c) Equation (3), (d) Equation (4), (e) Equation (5), and (f) Equation (6); *—p < 0.1; **—p < 0.05; ***—p < 0.01.
A very similar lower limit value of this range (TL1, TL2) was obtained for the multi-species TS–TL relation (Equation (1)), i.e., ≥63.8 mm, although the similarity of NH and NE pairs was observed in the range for n = 7 to n = 13, for which the values of τn were from 0.837 to 0.917, with p < 0.05 (Figure 5a), and the relation for roach from Equation (5) was ≥62.0 mm, although pairwise similarity was observed in a narrower range n = 7–11 (Figure 5e). However, in this case, the values of τn were also within a similar range of 0.867–0.944. According to the relevant TS–TL relationships, the lower limits of the range (TL1, TL2) corresponded to the thresholds of −48.5 dB and −45.5 dB, respectively. However, the number of fish from catches and acoustic recordings included in these subsets varied widely. For Equation (1), they were (NL=) 4356 and (NH=) 3387, and for Equation (5) they were (NF-R=) 3387 and (NH=) 1979.
The estimation of class boundaries for NE using the other two equations, Equation (6) (for perch; Figure 5f) and Equation (3) (for the family Cyprinidae; Figure 5c) resulted in a narrowing of the range (TL1, TL2); the lower limits in the estimation of these equations were ≥93.0 mm and ≥90.5 mm, respectively. In these two cases, the values of τn were slightly smaller at 0.697–0.818 and 0.786–0.905. Since, for these equations, the lower limits of the range (TL1, TL2) according to the TS–TL reports also corresponded to the TS threshold of −45.5 dB, the number of fish recorded acoustically NH included in the subsets was 1979, but the number of fish caught was lower than in the case of other equations, i.e., NF-C = 2621 and NC = 2691.
The comparison of the linear relationship between the share of acoustically identified (SFH) and caught (SF) fish in body length classes showed that a slope close to 1:1 (a = 1.0073) was obtained by ordering fish caught according to TL using Equation (5). The coefficient a close to unity allowed us to obtain the ordering of fish caught using Equation (2) (a = 0.9315) and Equation (6) (a = 0.9078). The coefficient a in the remaining equations differed from unity by at least 0.117 (Figure 6).
Figure 6.
Regression between the relative proportion of fish caught with Nordic multimesh gillnets (SF) assigned to total length (TL) classes (marked with an orange line) according to various TS–TL regressions from the literature, and the relative proportion of hydroacoustically identified fish (SFH). (a–f) as in Figure 4.
The best fit was obtained for the linear model built on the basis of Equation (4) (r2 = 0.91). Among the TS–TL relations, the use of which allowed a slope close to unity to be obtained, the highest accuracy of the estimation of the percentage of fish caught based on acoustic data was provided by Equations (2) (r2 = 0.90) and (5) (r2 = 0.85).
The MAE and RMSE, which express the error value in variable units (in %), indicated that Equations (2) and (4) allowed for such an ordering of fish caught in TLE classes that the regression, describing the relationship between the percentage share of caught and acoustically recorded fish, had the smallest error (Figure 6). The mean absolute error (MAE) based on these relationships was almost identical and amounted to 1.7% (share of fish abundance). The MAE in the case of using Equation (5) was greater than 2.2%, and for other equations it was less than 3%. The RMSE, which allows us to assess the importance of large errors, for Equations (2) and (4) (2.5 and 2.3, respectively) was at least twice as low as it was for Equations (1) and (6) (4.9 to 6.4).
The NSE varied from 0.444 to 0.893 (Figure 6). The minimum NSE value was found for the TLE classes determined using Equation (3). This value indicated that this equation should not be used to predict the TL structure of fish based on acoustic data. The NSE in the case of Equations (1) and (6) was <0.75, which indicated that the prediction based on them can only bring satisfactory results. The NSE in the case of Equations (2) and (4) reached a value close to 0.9, which indicated a good agreement between hydroacoustic and fishing data.
3.4. Meta-Analysis
Since none of the measures used indicated a perfect fit of the model to the observed data, it was verified whether data reduction (by eliminating data pairs for fish with a lower TL) would improve the predictive capabilities of the new regression equations. To indicate the optimal range of data, a stepwise analysis was used to find subsets of variables that would allow for the best fit of the models. Since the NSE turned out to be the best measure for evaluating the fit of the regression equations, the NSE value was calculated for n data pairs, when n tended from the maximum, i.e., from 13, 12, or 11 for various equations, until NSE < 0. The maximum NSE value indicated the TS boundary to which the data subset had to be constrained (Table 3). In the case of three equations, (1), (3), and (5), it was possible to indicate a subset for which the slope coefficient a did not differ from 1 by more than 0.04 (Figure 7). The two TS–TL relationships enabled the identification of several more optimal regressions. Estimation according to Equation (2) made it possible to indicate three boundaries of the data subset, i.e., ≥73.2 mm, ≥86.3 mm, and ≥101.6 mm, for which the slope coefficient a differed from 1 by 0.13–0.05, and the coefficient of determination r2 ranged from 0.97 to 0.94. The same was true for the estimation according to Equation (4); there were two subset boundaries ≥ 74.0 mm and ≥85.6 mm, for which a was 1.0135 and 0.9805 and r2 was 0.948 and 0.925, respectively.
Table 3.
Nash–Sutcliffe efficiency coefficient (NSE) for n-pairs of the relative share of fish caught with multi-mesh Nordic gillnets and hydroacoustic data in TS classes (with a range of 1.5 dB) determined on the basis of the TS–TL relationship according to Equations (1)–(6). Values in bold with an underline indicate the TS (and TLE) threshold for which a best-fit linear regression can be created.
Figure 7.
Opportunities to optimize the regression (marked with a green line) between the relative proportion of fish caught with Nordic multimesh gillnets (SF) that have been assigned to overall length (TL) classes according to various TS–TL relationships and the relative proportion of hydroacoustically identified fish (SFH). The optimization consisted in narrowing down the data subsets by removing classes based on the stepwise NSE analysis (search for the maximum NSE; cf. Table 3). (a–e) as in Figure 4.
4. Discussion
This study investigated the accuracy of estimating the total lengths (TLs) of fish based on target strength (TS). Six relationships developed for different species combinations were tested. It was assumed that the assessment is possible by comparing the percentage of fish examined acoustically in the target strength classes (TS) and the percentage of fish caught in total length classes (TL), the limits of which were determined based on TS using various TS–TL relationships. Therefore, the reference frame was a straight line with a slope of 1:1.
One dataset was used in the study. However, various reservations can be made about the quality of the data that came from the monitoring studies, and consequently, the relatively small numbers of fish that were accurately measured, and much of the TL value was the result of estimations from the weight and number of fish in the sub-samples. However, it must be emphasized that this method was used only for groups of small fish of similar size. The limitation of the data set used for the analyses was also the location in the shallow (coastal) zones of the lake, due to the availability of only the initial (up to 1000 pings) fragments of the transects.
Another limitation was the use of catch data mainly from gillnets. It was therefore to be expected that the catches would be representative of the fish communities in these layers [13], whereas previous studies have shown that vertical hydroacoustics directed downwards underestimate the abundance of fish in shallow waters [45,46]. Therefore, the benthic nets may not have captured the same fish community that was studied by hydroacoustics, which was a logical requirement of this study. It can also be expected that the acoustically assessed number of fish in the shallow layers might have been underestimated. Earlier research by Emmrich et al. [13], however, showed that for larger fish abundances, vertical hydroacoustics can generate fish biomass estimates that strongly correspond to benthic gillnet fishing, even in layers with a shallow lake depth. In 18 lakes studied at that time, 152 to 3534 fish (average number of fish: 1170; SD: 1093) were caught, whose biomass was calculated by converting the target’s strength into the total length of the fish and then converting the length of the fish into the biomass of the fish from the length–biomass relationship [13]. It can therefore be assumed that the number of fish identified acoustically did not differ significantly from the number of fish caught. This study caught more fish than the upper limit given by Emmrich et al. [13]. The catch data subset included 4544 fish (Table 2). Therefore, the data from Lake Dejguny allowed us to determine relationships that were at least not worse than those obtained by Emerlich et al. [13].
The consequence of underestimating the number of fish by the vertical hydroacoustics method in shallow water layers is that the free point of regression of fish biomass estimates for these layers is significantly different from zero [13]. In this study, after removing fish <76 mm from the data set, the regression free point for the TS–TL relationship was close to zero (coefficient b = 1.1%, when on both axes the sum of the share of individual fish in individual size classes was 100%). In addition, when creating a subset of data for analysis, a weighting system was used to ensure a comparable share of acoustic and fishing data from individual depth zones. Therefore, the necessary requirement for these studies that they included the same fish communities (similar in many details at worst) can be considered as met, while, due to the purpose of this study, the representativeness of the data for the entire lake did not have to be met.
The procedure for the acoustic data and catch data compliance assessment was preceded by setting a threshold (TS level) that was used to filter out small targets, in this case, fish that are not very effectively caught with gillnets [13,28]. It was shown that Scandinavian multi-mesh gillnets (regardless of the equations used) were much less likely to catch fish with a TL less than 62.3–64.0 mm. A similar total length of fish, less than 5 cm, was indicated by Tušer et al. [15]. Prchalová et al. [28], based on a direct comparison of the size distribution of gillnet fish (Nordic type, mesh size range 5–135 mm, knot-to-knot; ratio between adjacent mesh sizes, 1.25) using beach seines, found that the gillnets were unable to catch roach (Rutilus rutilus (L.)), perch (Perca fluviatilis L.) or rudd (Scardinius erythrophthalmus (L.)) smaller than approximately 40 mm, i.e., standard length.
The choice of the equation had a significant impact on the indication of the threshold (TS level) that should be used to filter out small targets, considering that fish larger than 62.3–64.0 mm in the calculations required a threshold of −47 dB for Equation (2) [2] and Equation (4) [21], a threshold of −48.5 dB for Equations (5) [2], (3) [21], and (6) [2], and −45.5 dB for fish with a TL of 62.0 mm, 74 mm, and 93.0 mm (Table 4). This is due to the different course of the curves depicting the TS–TL relationship, presented in Figure 1, and thus the analytical form of these equations. This was undoubtedly the reason for the large variation in the total number of fish making up the data subsets used for the calculations: 2621 to 4356 fish from catches and 1979 to 3387 fish recorded acoustically (Table 2). This was due to the different assignments of caught fish with a specific TL to different TLE total length classes, estimated on the basis of the analyzed TS–TL relationships (Figure S2). For example, for fish with a TL > 120 mm, the limit according to various equations for TS was from −42.5 dB (Equation (1)) to −39.5 dB (Equations (3), (4), and (5)). The limit values determined according to these equations (the lower limit of the range) were in the range of 127.2–140.9 mm. The range of designated classes changed more than twice—from 14 mm for Equation (6) to 27.9 mm for Equation (5). Finally, the share of fish caught in such classes ranged from 5.2% (Equation (2)) to 11.2% (Equation (6)) against the corresponding share of fish recorded acoustically, 7.6% and 13.3%, respectively (Figure S2).
Table 4.
Ranges of total length (TL), number of fish, number of investigated species, and their environment in the study of the relationship between target strength (TS) and total length (TL) of fish.
All differences in the slope of the regression line and the distribution of deviations from the regression line resulted only from the properties of the TS–TL equations, which were used to estimate the boundaries of the TLE classes, according to which the caught fish were ordered. Thus, the differences resulted from the limited number and size of fish that were used to create these equations. This aspect is usually overlooked in acoustic and catch data match considerations (e.g., [13,15]).
Meanwhile, in the case of extrapolating the relationship beyond the area determined by the training data, there is a risk that changes in the value of the variable under study will not have the same regularity, or that the data range taken as a basis is not representative of fish species or families. Of the six compared relationships that represent multi-species, family, or species trends, only Equations (2) and (3) were based on a similar data range as this study (25–390 mm) (Table 4). The narrowest range of fishes’ total length was the basis of Equation (6) for perch from Frouzová et al. [2] and Equation (1) from Love [7]. In addition, Love [7] conducted analyses mainly on marine and saltwater fish (69%), and Frouzová et al. [2] analyzed a very small number of fish. It can be assumed that this was the reason that Equation (6) only satisfactorily estimated the total length classes of fish (NSE < 0.75) and that these estimations had a relatively large average error (RSME > 4.8%, MAE > 3.8%). In turn, the estimation of size class boundaries based on Equation (1) (Love [7]) also had a similar error (RSME > 4.8%, MAE > 3.8%) and only satisfactorily determined classes of the total length of fish (NSE < 0.75). This relation from −42.5 dB overestimated the TL, which consequently caused the slope of the regression line for the data from this subset to be 0.71, although with a large coefficient of determination r2 = 0.94 (Figure S2). Therefore, it was not possible to show the fish caught in the two classes with the highest TL, corresponding to TS > −33.4 dB, although such individuals were present in the hydroacoustic data (Table 2). On the other hand, only one fish was assigned to three classes, limited by TS in the range of −34.9 to −30.5 dB, while in the case of total length estimation using Equations (2), (3), and (5), it was 25 to 39 fish (Table 3). Similar observations (“the contribution of large individuals (usually predators) to the size structure was greatly underestimated”), were also made by Tušer et al. [15], who used the TS regression based on Love [7]. Similar results were obtained for fish with a TL > 120 mm using Equations (2) and (4)–(6) (Figure S2). The coefficient a of the regression was between 0.52 and 0.79. Only the TS–TL relationship according to Borysenko et al. [21] for the Cyprinidae family allowed us to obtain a coefficient a close to unity (0.96) with the coefficient of determination r2 = 0.99.
The analyses of the compliance of acoustic and catch data confirmed the effectiveness of the proposed method of evaluating the equations; they allowed us to rank them in terms of the consistency of the reconstruction of the relative number of fish caught based on the results obtained with hydroacoustic methods. Thus, it turned out to be possible to indicate the optimal TS–TL relation, i.e., the relation that allowed us to assign the data in such a way that the slope of the regression was close to 1:1 (coefficient a was close to one, and coefficient b was close to zero). The coefficient of determination r2, as well as NSE, MAE, and RSME, made it possible to assess the dispersion of the compared values of the percentage share of fish from catches and those identified acoustically.
The analysis shows that in relation to the analyzed data set, the most appropriate TS–TL relationship for fish with a TL greater than 62 mm is the relationship according to Frozuzová et al. [2], due to the slight deviation of the regression from the 1:1 line and, at the same time, the best fit of the model to the data (r2 = 0.9, NSE = 0.9). The estimation of size class boundaries also generated the smallest errors (RSME > 2.5%, MAE > 1.7%). However, by restricting the test to fish larger than 74 mm, greater accuracy can be obtained by using the relationship of Borysenko et al. [21].
However, no results were obtained that would unequivocally verify the meaning of the various sound frequencies that were used for data collection (120 kHz) and for which the relationships between the actual total length and TS were derived in Equations (3) and (4) (200 kHz). The comparison of several relationships between the total length and TS from the literature, presented in Figure 1, did not clearly indicate a different course of the curves; i.e., it did not illustrate a definitely different analytical form of these equations. The curves developed for 200 kHz did not go beyond the area limited by the graphs of functions derived for 120 kHz. In addition, both relationships developed for 200 kHz were indicated in these studies as the best describing the TS–TL relationships for fish larger than 74 mm or 132.5 mm.
Of course, when using TS–TL relationships to reconstruct the actual total length of fish in lakes, it should be remembered that these are only estimations with errors, and the proposed procedure is only aimed at minimizing them. Therefore, in future studies, an effort should be made to estimate the uncertainty resulting from the use of such a method of assessing the structure of fish communities. However, due to the undoubted benefits of using acoustic methods in ichthyofauna research (non-invasiveness, speed of research, and low labor required), it seems that, when indicating this uncertainty, they can be used as a supplementary method in monitoring studies.
Supplementary Materials
The following supporting information can be downloaded at: https://www.mdpi.com/article/10.3390/w15061117/s1, Figure S1: Vertical profiles of dissolved oxygen and temperature measured during each sampling period. Dashed black lines indicate 27–30 September 2021, and solid dark grey lines indicate 7/8 October 2021. Figure S2: Regression between the share of the number (SF) of medium and long fish (for TS values > −42.5 dB) caught using Nordic multimesh gillnets in total length (TL) classes whose boundaries are determined (a) using the equation from Love (1971) [7] and (b) according to the multi-species regression from Frouzová et al. (2005) [2] (c) equations for representatives of the Cyprinidae family and (d) the Percidae family from Borisenko et al. (2006) [21], (e) for perch (Perca fluviatilis) and (f) roach (Rutilus rutilus) from Frouzová et al. (2005) [2]. Explanations: SFH—relative share of hydroacoustic identified fish.
Author Contributions
Conceptualization, A.H.; methodology, A.H. and D.U.; formal analysis, A.H.; investigation, A.H., J.T. and D.U.; data curation, A.H. and D.U.; writing—original draft preparation, A.H.; writing—review and editing, J.T. and D.U.; visualization, A.H.; funding acquisition, A.H. and D.U. All authors have read and agreed to the published version of the manuscript.
Funding
This research was funded by the National Inland Fisheries Research Institute in Olsztyn as part of statutory research activity (topic no. Z-017). Publication cost was co-financed by the scholarship fund of the National Inland Fisheries Research Institute.
Institutional Review Board Statement
Ethical review and approval were waived for this study, because catch data from the State Monitoring was used and the consent of the Chief Inspector of Environmental Protection for the use of this data was obtained.
Data Availability Statement
The data analyzed in this study are presented in Table 2. The catch data was obtained from the Chief Inspector of Environmental Protection in Poland and are available from the authors with the permission.
Acknowledgments
We acknowledge the Chief Inspector of Environmental Protection for permission to use the data on the number of fish in Lake Dejguny collected as part of State Environmental Monitoring for the preparation of this work. The authors would like to thank those involved in the collection and processing of hydroacoustic and gillnet data including Bronisław Długoszewski, Lech Doroszczyk, Piotr Traczuk, Waldemar Kozłowski, and Stefan Marciniak. We thank the anonymous reviewers for their valuable comments and helpful suggestions.
Conflicts of Interest
The authors declare no conflict of interest.
References
- Godlewska, M.; Długoszewski, B.; Doroszczyk, L.; Jóźwik, A. The relationship between sampling intensity and sampling error—Empirical results from acoustic surveys in Polish vendace lakes. Fish. Res. 2009, 96, 17–22. [Google Scholar] [CrossRef]
- Frouzová, J.; Kubečka, J.; Balk, H.; Frouz, J. Target strength of some European fish species and its dependence on fish body parameters. Fish. Res. 2005, 75, 86–96. [Google Scholar] [CrossRef]
- Foote, K.G. Fish target strengths for use in echo integrator surveys. J. Acoust. Soc. Am. 1987, 82, 981–987. [Google Scholar] [CrossRef]
- Horppila, J.; Malinen, T.; Peltonen, H. Density and habitat shifts of a roach (Rutilus rutilus) stock assessed within one season with cohort analysis, depletion methods and echosounding. Fish. Res. 1996, 28, 151–161. [Google Scholar] [CrossRef]
- Świerzowski, A.; Doroszczyk, L. Seasonal differences in situ measurements of the target strength of vendace (Coregonus albula L.) in lake Pluszne. Hydroacoustics 2004, 7, 217–226. [Google Scholar]
- Mehner, T. Prediction of hydroacoustic target strength of vendace (Coregonus albula) from concurrent trawl catches. Fish. Res. 2006, 79, 162–169. [Google Scholar] [CrossRef]
- Love, R.H. Dorsal-Aspect target strength of an individual fish. J. Acoust. Soc. Am. 1971, 49, 816–823. [Google Scholar] [CrossRef]
- Love, R.H. Target strength of an individual fish at any aspect. J. Acoust. Soc. Am. 1977, 62, 1397–1403. [Google Scholar] [CrossRef]
- Mehner, T.; Schulz, M. Monthly variability of hydroacoustic fish stock estimates in a deep lake and its correlation to gillnet catches. J. Fish Biol. 2002, 61, 1109–1121. [Google Scholar] [CrossRef]
- Mehner, T.; Gassner, H.; Schulz, M. Comparative fish stock estimates in Lake Stechlin by parallel split-beam echosounding with 120 kHz. Arch. Hydrobiol. Spec. Issues Advanc. Limnol. 2003, 68, 227–236. [Google Scholar]
- Ona, E. Physiological factors causing natural variations in acoustic target strength of fish. J. Mar. Biol. Assoc. United Kingd. 1990, 70, 107–127. [Google Scholar] [CrossRef]
- Hazen, E.L.; Horne, J.K. A method for evaluating the effects of biological factors on fish target strength. J. Mar. Sci. 2003, 60, 555–562. [Google Scholar] [CrossRef]
- Emmrich, M.; Winfield, I.J.; Guillard, J.; Rustadbakken, A.; Vergès, C.; Volta, P.; Jeppesen, E.; Lauridsen, T.L.; Brucet, S.; Holmgren, K.; et al. Strong correspondence between gillnet catch per unit effort and hydroacoustically derived fish biomass in stratified lakes. Freshw. Biol. 2012, 57, 2436–2448. [Google Scholar] [CrossRef]
- Achleitner, D.; Gassner, H.; Luger, M. Comparison of three standardised fish sampling methods in 14 alpine lakes in Austria. Fish. Manag. Ecol. 2012, 19, 352–361. [Google Scholar] [CrossRef]
- Tušer, M.; Guillard, J.; Rustadbakken, A.; Mehner, T. Comparison of fish size spectra obtained from hydroacoustics and gillnets across seven European natural lakes. Can. J. Fish. Aquat. Sci. 2022, 79, 2179–2190. [Google Scholar] [CrossRef]
- Tátrai, I.; Specziár, A.; György, A.I.; Bíró, P. Comparison of fish size distribution and fish abundance estimates obtained with hydroacoustics and gill netting in the open water of a large shallow Lake. Ann. Limnol.-Int. J. Lim. 2008, 44, 231–240. [Google Scholar] [CrossRef]
- DuFour, M.R.; Qian, S.S.; Mayer, C.M.; Vandergoot, C.S. Evaluating catchability in a large-scale gillnet survey using hydroacoustics: Making the case for coupled surveys. Fish. Res. 2019, 211, 309–318. [Google Scholar] [CrossRef]
- Baran, R.; Blabolil, P.; Čech, M.; Draštík, V.; Frouzová, J.; Holubová, M.; Jůza, T.; Koliada, I.; Muška, M.; Peterka, J.; et al. New way to investigate fish density and distribution in the shallowest layers of the open water. Fish. Res. 2021, 238, 105907. [Google Scholar] [CrossRef]
- Braun, L.-M.; Mehner, T. Size Spectra of Pelagic Fish Populations in a Deep Lake—Methodological Comparison between Hydroacoustics and Midwater Trawling. Water 2021, 13, 1559. [Google Scholar] [CrossRef]
- DuFour, M.R.; Mayer, C.M.; Kocovsky, P.M.; Qian, S.S.; Warner, D.M.; Kraus, R.T.; Vandergoot, C.S. Sparse targets in hydroacoustic surveys: Balancing quantity and quality of in situ target strength data. Fish. Res. 2017, 188, 173–182. [Google Scholar] [CrossRef]
- Borisenko, E.S.; Degtev, A.I.; Mochek, A.D.; Pavlov, D.S. Hydroacoustic characteristics of mass fhishes of the Ob–Irtysh Basin. J. Ichthyol. 2006, 46 (Suppl. 2), S227–S234. [Google Scholar] [CrossRef]
- Doroszczyk, L. Wykorzystanie Metod Hydroakustycznych do Oceny Populacji Sielawy na Przykładzie Jeziora Pluszne. Ph.D. Thesis, Instytut Rybactwa Śródlądowego, Olsztyn, Poland, 2011. [Google Scholar]
- CEN. Water Quality—Sampling of Fish with Multi-Mesh Gillnets (EN 14757); CEN: Brussels, Belgium, 2015. [Google Scholar]
- Chybowski, Ł.; Białokoz, W.; Wołos, A.; Draszkiewicz-Mioduszewska, H.; Szlakowski, J. Przewodnik Metodyczny do Monitoringu Ichtiofauny w Jeziorach; Biblioteka Monitoringu Środowiska: Warszawa, Poland, 2016; pp. 1–52. [Google Scholar]
- Malinen, T.; Tuomaala, A.; Peltonen, H. Hydroacoustic fish stock assessment in the presence of dense aggregations of Chaoborus lartvae. Can. J. Fish. Aquat. Sci. 2005, 62, 245–249. [Google Scholar] [CrossRef]
- Jurvelius, J.; Knudsen, F.R.; Balk, H.; Maejomäki, T.J.; Peltonen, H.; Taskinen, J.; Tuomaala, A.; Viljanen, M. Echo-sounding can discriminate between fish and macroinvertebrates in freshwater. Freshwat. Biol. 2008, 53, 912–923. [Google Scholar] [CrossRef]
- Simrad EP 500, Echo processing system, 1997. Instruction Manual. To jest instrukcja dołączona do sonaru EY 500. Została wydana w 1997 roku. Obecnie nie jest dostępna online.
- Prchalová, M.; Kubečka, J.; Říha, M.; Mrkvička, T.; Vašeka, M.; Jůza, T.; Kratochvíl, M.; Peterka, J.; Draštíka, V.; Křížekd, J. Size selectivity of standardized multimesh gillnets in sampling coarse European species. Fish. Res. 2009, 96, 51–57. [Google Scholar] [CrossRef]
- Olin, M.; Malinen, T.; Ruuhijärvi, J. Gillnet catch in estimating the density and structure of fish community—Comparison of gillnet and trawl samples in a eutrophic lake. Fish. Res. 2009, 96, 88–94. [Google Scholar] [CrossRef]
- Malinen, T. Hydroacoustic Fish Stock Assessment in Southern and Northern Boreal Lakes–Potential and Constraints. Ph.D. Thesis, Faculty of Biological and Environmental Sciences, University of Helsinki, Hansaprint Oy, Turenki, 2018. Available online: https://helda.helsinki.fi/bitstream/handle/10138/239247/hydroaco.pdf?sequence=2 (accessed on 24 February 2023).
- Probst, W.N.; Thomas, G.; Eckmann, R. Hydroacoustic observations of surface shoaling behaviour of young-of-the-year perch Perca fluviatilis (Linnaeus, 1758) with a towed upward-facing transducer. Fish. Res. 2009, 96, 133–138. [Google Scholar] [CrossRef]
- Gooding, P. Consumer Price Inflation Basket of Goods and Services: 2021. Available online: https://backup.ons.gov.uk/wp-content/uploads/sites/3/2021/03/Consumer-price-inflation-basket-of-goods-and-services-2021.pdf (accessed on 18 November 2022).
- Maksymiuk, A.; Furmańczyk, K.; Ignar, S.; Krupa, J.; Okruszko, T. Analiza zmienności parametrów klimatycznych i hydrologicznych w dolinie rzeki Biebrzy [Analysis of climatic and hydrologic parameters variability in the Biebrza River basin]. Przegląd Nauk. Inżynieria I Kształtowanie Sr. 2008, 3, 59–68. [Google Scholar]
- Białokoz, W.; Chybowski, Ł. Ichtiofauna. In Ecological Status Assessment of the Waters in the Wel River Catchment. Guidelines for Integrated Assessment of Ecological Status of River and Lakes to Support River Basin Management Plans; Soszka, H., Ed.; Wydawnictwo Instytutu Rybactwa Śródlądowego: Olsztyn, Poland, 2011; pp. 217–234. [Google Scholar]
- Moriasi, D.N.; Arnold, J.G.; Van Liew, M.W.; Bingner, R.L.; Harmel, R.D.; Veith, T.L. Model evaluation guidelines for systematic quantification of accuracy in watershed simulations. Trans. ASABE 2007, 50, 885–900. [Google Scholar] [CrossRef]
- Legates, D.R.; McCabe, G.J., Jr. Evaluating the use of “goodness-of-fit”measures in hydrologic and hydroclimatic model validation. Water Resour. Res. 1999, 35, 233–241. [Google Scholar] [CrossRef]
- Krause, P.; Boyle, D.P.; Bäse, F. Comparison of different efficiency criteria for hydrological model assessment. Adv. Geosci. 2005, 5, 89–97. [Google Scholar] [CrossRef]
- Julien, G.A.; Emmanuel, L.; Clement, A.; Akiyo, R.O.L.; Sinsin, B.A. Modelling of solar energy transfer through roof material in Africa Sub-Saharan regions. Renew. Energy 2013, 34, 632–645. [Google Scholar]
- Nash, J.E.; Sutcliffe, J.V. River flow forecasting through conceptual models part I—A discussion of principles. J. Hydrol. 1970, 10, 282–290. [Google Scholar] [CrossRef]
- Motovilov, Y.G.; Gottschalk, L.; Engeland, K.; Rodhe, A. Validation of a distributed hydrological model against spatial observations. Agric. For. Meteorol. 1999, 98–99, 257–277. [Google Scholar] [CrossRef]
- Van Liew, M.W.; Arnold, J.G.; Bosc, D.D. Problems and potential of autocalibrating a hydrologic model. Trans. ASAE Am. Soc. Agric. Eng. 2005, 48, 1025–1040. [Google Scholar] [CrossRef]
- Willmott, C.J.; Matsuura, K. Advantages of the mean absolute error (MAE) over the root mean square error (RMSE) in as sessing average model performance. Clim. Res. 2005, 30, 79–82. [Google Scholar] [CrossRef]
- Chai1, T.; Draxler, R.R. Root mean square error (RMSE) or mean absolute error (MAE)? Geosci. Model Dev. Discuss. 2014, 7, 1525–1534. [Google Scholar] [CrossRef]
- Kushwaha, N.L.; Rajput, J.; Elbeltagi, A.; Elnaggar, A.Y.; Sena, D.R.; Vishwakarma, D.K.; Mani, I.; Hussein, E.E. Data Intelligence Model and Meta-Heuristic Algorithms-Based Pan Evaporation Modelling in Two Different Agro-Climatic Zones: A Case Study from Northern India. Atmosphere 2021, 12, 1654. [Google Scholar] [CrossRef]
- Knudsena, F.R.; Sægrovb, H. Benefits from horizontal beaming during acoustic survey: Application to three Norwegian lakes. Fish. Res. 2002, 56, 205–211. [Google Scholar] [CrossRef]
- Draštík, V.; Kubečka, J.; Čech, M.; Frouzová, J.; Říha, M.; Jůza, T.; Tušer, M.; Jarolím, O.; Prchalová, M.; Peterka, J.; et al. Hydroacoustic estimates of fish stocks in temperate reservoirs: Day or night surveys? Aquat. Living Resour. 2009, 22, 69–77. [Google Scholar] [CrossRef]
Disclaimer/Publisher’s Note: The statements, opinions and data contained in all publications are solely those of the individual author(s) and contributor(s) and not of MDPI and/or the editor(s). MDPI and/or the editor(s) disclaim responsibility for any injury to people or property resulting from any ideas, methods, instructions or products referred to in the content. |
© 2023 by the authors. Licensee MDPI, Basel, Switzerland. This article is an open access article distributed under the terms and conditions of the Creative Commons Attribution (CC BY) license (https://creativecommons.org/licenses/by/4.0/).






