Evaluation of the Influence of Upstream Flow on the Energy Characteristics of a Giant Kaplan Turbine
Abstract
:1. Introduction
2. Research Method
2.1. Governing Equation
2.2. Calculation Model and Boundary Conditions
2.3. Mesh Division
3. Results and Analysis
3.1. Impact of Upstream Reservoir Flow on Unit Flow
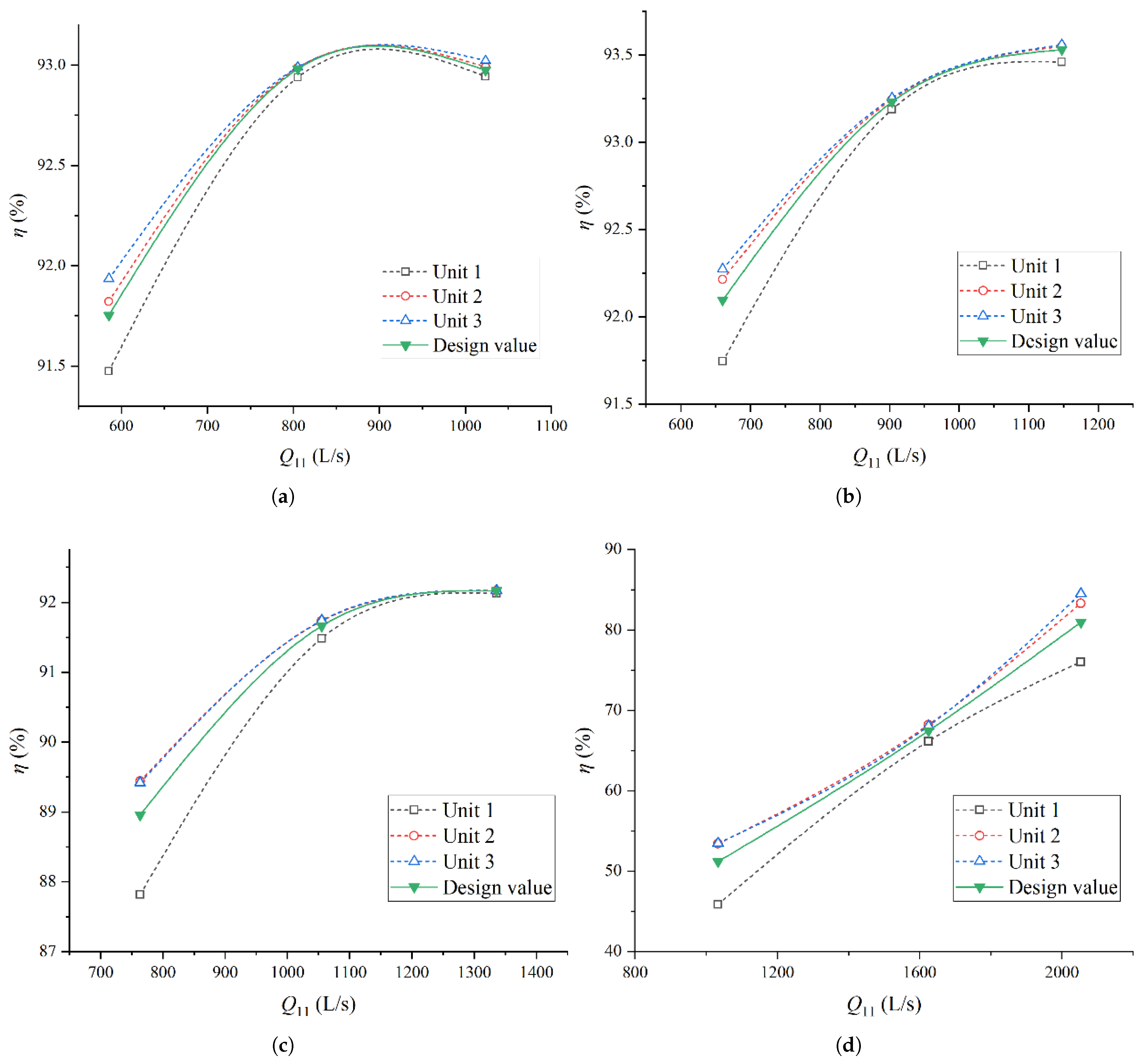
3.2. Impact of Upstream Reservoir Flow on Unit Efficiency
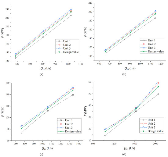
3.3. Impact of Upstream Reservoir Flow on Unit Output
4. Conclusions
- Due to the influence of the layout position of the left bank unit, there is a significant deviation of streamlines near the inlet of Unit 1, which is significantly different from the normal flow at the inlet of Unit 1 under ideal conditions. As a result, the flow rate of Unit 1 under the same water level conditions is significantly lower than that of Unit 2 and Unit 3.
- Based on the relationship curve between unit efficiency and unit flow, the estimated efficiency values of the three units on the left bank under different water level conditions are obtained through interpolation. It can be found that due to the uneven distribution of flow in the upstream reservoir area, the efficiency of Unit 1 is significantly lower than the design value under the same water level and inflow conditions, especially when the efficiency drops by more than 5% under low water level conditions.
- Comparing the output of three units on the left bank under different water level conditions, it is found that the decrease in output of Unit 1 compared to the design value is greater than 3%, and even reaches 20% under low water level conditions. This is consistent with the phenomenon observed during actual operation on site.
Author Contributions
Funding
Data Availability Statement
Acknowledgments
Conflicts of Interest
Abbreviations
| CFD | Computational Fluid Dynamics |
| VOF | Volume of Fluid |
References
- Lichtneger, P. Intake flow problems at low-head hydropower. Dresdner Wasserbauliche Mitteilungen 2009, 39, 259–266. [Google Scholar]
- Suerich-Gulick, F.; Gaskin, S.J.; Marc, V.; Étienne, P. Characteristics of free surface vortices at low-head hydropower intakes. J. Hydraul. Eng. 2014, 140, 291–299. [Google Scholar] [CrossRef]
- Amiri, K.; Mulu, B.; Raisee, M. Effects of upstream flow conditions on runner pressure fluctuations. J. Appl. Fluid Mech. 2017, 10, 1045–1059. [Google Scholar] [CrossRef]
- Ahn, S.H.; Xiao, Y.X.; Wang, Z.W. Numerical prediction on the effect of free surface vortex on intake flow characteristics for tidal power station. Renew. Energy 2017, 101, 617–628. [Google Scholar] [CrossRef]
- Deng, Y.C. Study on the Characteristics and the Critical Submergence of Vortex in Multi-Level Stop-Log Gates Intake of Hydropower Stations; Xi’an University of Technology: Xi’an, China, 2019. [Google Scholar]
- Dang, Y.Y.; Han, C.H. Review of vortexes at intakes. Adv. Sci. Technol. Water Resour. 2009, 29, 90–94. [Google Scholar]
- Hattersley, R.T. Hydraulic design of pump intakes. J. Hydraul. Div. 1965, 91, 223–249. [Google Scholar] [CrossRef]
- Dicmas, J.L. Effect of intake structure modifications on the hydraulic performance of a mixed flow pump. In Proceedings of the IAHR, ASME, and ASCE Joint Symposium on Design and Operation of Fluid Machinery; Colorado State University: Fort Collins, CO, USA, 1978; Volume 1, pp. 403–412. [Google Scholar]
- Vermeyen, T.B. Glen Canyon Dam Multi-Level Intake Structure Hydraulic Model Study; Water Resources Services, Water Resources Research Laboratory, Technical Service Center: Denver, CO, USA, 1999. [Google Scholar]
- Vermeyen, T.B. An overview of the design concept and hydraulic modeling of the Glen Canyon Dam Multi-Level intake structure. In Proceedings of the Waterpower’99 Conference, Las Vegas, NV, USA, 6–9 July 1999. [Google Scholar]
- Forkel, C.; Jokiel, C.; Bergen, O. Model and Numerical Simulations for the intake works of Bakun Reservior. J. Hydropower Dams 1996, 6. [Google Scholar]
- Rettemeier, K.; Demny, G.; Forkel, C. Verification of the simulated 3D flow through intake of a river run power plant. Hydroinformatics 1998, 2, 1433–1439. [Google Scholar]
- Sarkardeh, H.; Reza Zarrati, A.; Jabbari, E. Numerical simulation and analysis of flow in a reservoir in the presence of vortex. Eng. Appl. Comput. Fluid Mech. 2014, 8, 598–608. [Google Scholar] [CrossRef]
- Kim, C.G.; Choi, Y.D.; Choi, J.W. A study on the effectiveness of an anti vortex device in the sump model by experiment and CFD. Iop Conf. Ser. Earth Environ. Sci. 2012, 15, 072004. [Google Scholar] [CrossRef]
- Li, H.; Chen, H.; Ma, Z. Formation and influencing factors of free surface vortex in a barrel with a central orifice at bottom. J. Hydrodyn. 2009, 21, 238–244. [Google Scholar] [CrossRef]
- Okamura, T.; Kamemoto, K.; Matsui, J. CFD prediction and model experiment on suction vortices in pump sump. In Proceedings of the 9th Asian International Conference on Fluid Machinery, Jeju, Republic of Korea, 16–19 October 2007; pp. 16–19. [Google Scholar]
- Suerich-Gulick, F.; Gaskin, S.; Villeneuve, M. Experimental and numerical analysis of free surface vortices at a hydropower intake. In Proceedings of the 7th International Conference on Hydroscience and Engineering, Philadelphia, PA, USA, 10–13 September 2006; pp. 1–11. [Google Scholar]
- Brocard, D.N.; Beauchamp, C.H.; Hecker, G.E. Analytic Predictions of Circulation and Vortices at Intakes; Electric Power Research Institute Project; EPRI: Holden, MA, USA, 1982; pp. 1199–1208. [Google Scholar]
- Constantinescu, G.S.; Patel, V.C. Numerical model for simulation of pump-intake flow and vortices. J. Hydraul. Eng. 1998, 124, 123–134. [Google Scholar] [CrossRef]
- Zhao, Y.Z.; Gu, Z.L.; Yu, Y.Z. Numerical analysis and structure of evolution of free water vortex. J. Xi’an Jiaotong Univ. 2003, 37, 85–88. [Google Scholar]
- Lei, Y. Research on Numerical Simulation of Turbulent Flow for Stratified Intake in Hydropower Staion; Wuhan University: Wuhan, China, 2010. [Google Scholar]
- Hirt, C.W.; Nichols, B.D. Volume of fluid (VOF) method for the dynamics of free boundaries. J. Comput. Phys. 1981, 39, 201–225. [Google Scholar] [CrossRef]
- Rudman, M. Volume-tracking methods for interfacial flow calculations. Int. J. Numer. Methods Fluids 1997, 24, 671–691. [Google Scholar] [CrossRef]
- Menter, F.R. Two-equation eddy-viscosity turbulence models for engineering applications. AIAA J. 1994, 32, 1598–1605. [Google Scholar] [CrossRef]
- Wilcox, D.C. Reassessment of the scale-determining equation for advanced turbulence models. AIAA J. 1988, 26, 1299–1310. [Google Scholar] [CrossRef]
- Launder, B.E.; Sharma, B.I. Application of the energy-dissipation model of turbulence to the calculation of flow near a spinning disc. Lett. Heat Mass Transf. 1974, 1, 131–137. [Google Scholar] [CrossRef]













| Upstream Water Level (m) | Condition | Unit Working Head H (m) | Ideal Unit Specific Discharge (m) |
|---|---|---|---|
| 61 | 1 | 37.79 | 585.34 |
| 2 | 805.12 | ||
| 3 | 1023.56 | ||
| 55.67 | 4 | 31 | 660.17 |
| 5 | 903.43 | ||
| 6 | 1147.51 | ||
| 50.33 | 7 | 23.41 | 763.38 |
| 8 | 1054.91 | ||
| 9 | 1335.78 | ||
| 45 | 10 | 10.07 | 1033.45 |
| 11 | 1624.93 | ||
| 12 | 2053.18 |
| Upstream Water Level (m) | a | b | c | d | e |
|---|---|---|---|---|---|
| 37.79 | - | 4.424 × | −1.196 × | 1.072 × | 0.6111 |
| 31 | −7.733 × | 3.117 × | −4.686 × | 3.126 × | 0.1496 |
| 23.41 | −1.525 × | 8.127 × | −1.67 × | 1.567 × | 0.3568 |
| 10.07 | - | 2.765 × | −1.263 × | 2.143 × | −0.659 |
Disclaimer/Publisher’s Note: The statements, opinions and data contained in all publications are solely those of the individual author(s) and contributor(s) and not of MDPI and/or the editor(s). MDPI and/or the editor(s) disclaim responsibility for any injury to people or property resulting from any ideas, methods, instructions or products referred to in the content. |
© 2023 by the authors. Licensee MDPI, Basel, Switzerland. This article is an open access article distributed under the terms and conditions of the Creative Commons Attribution (CC BY) license (https://creativecommons.org/licenses/by/4.0/).
Share and Cite
Luo, H.; Liu, C.; Luo, H.; Zhou, L.; Wang, Z. Evaluation of the Influence of Upstream Flow on the Energy Characteristics of a Giant Kaplan Turbine. Water 2023, 15, 3920. https://doi.org/10.3390/w15223920
Luo H, Liu C, Luo H, Zhou L, Wang Z. Evaluation of the Influence of Upstream Flow on the Energy Characteristics of a Giant Kaplan Turbine. Water. 2023; 15(22):3920. https://doi.org/10.3390/w15223920
Chicago/Turabian StyleLuo, Hongyun, Chengming Liu, Haiqiang Luo, Lingjiu Zhou, and Zhengwei Wang. 2023. "Evaluation of the Influence of Upstream Flow on the Energy Characteristics of a Giant Kaplan Turbine" Water 15, no. 22: 3920. https://doi.org/10.3390/w15223920
APA StyleLuo, H., Liu, C., Luo, H., Zhou, L., & Wang, Z. (2023). Evaluation of the Influence of Upstream Flow on the Energy Characteristics of a Giant Kaplan Turbine. Water, 15(22), 3920. https://doi.org/10.3390/w15223920

