The Impact of Solar Intermittency on the Concentration Polarization Factor, Water Quality and Specific Energy Consumption in the Reverse Osmosis Process
Abstract
:1. Introduction
2. Materials and Methods
2.1. Description of Desalination Plant
Desalination Performance of Membranes
2.2. Equations Inherent in the RO Process
Determination of the Specific Energy Consumption of the Desalination Plant
2.3. AC and DC Electrical Equipment Used in RO Process
2.4. Experimental Design
2.4.1. Evaluation of β, SEC and Water Quality in a Batch RO Process
2.4.2. Evaluation of β, SEC and Water Quality in a Continuous RO Process
3. Results and Discussion
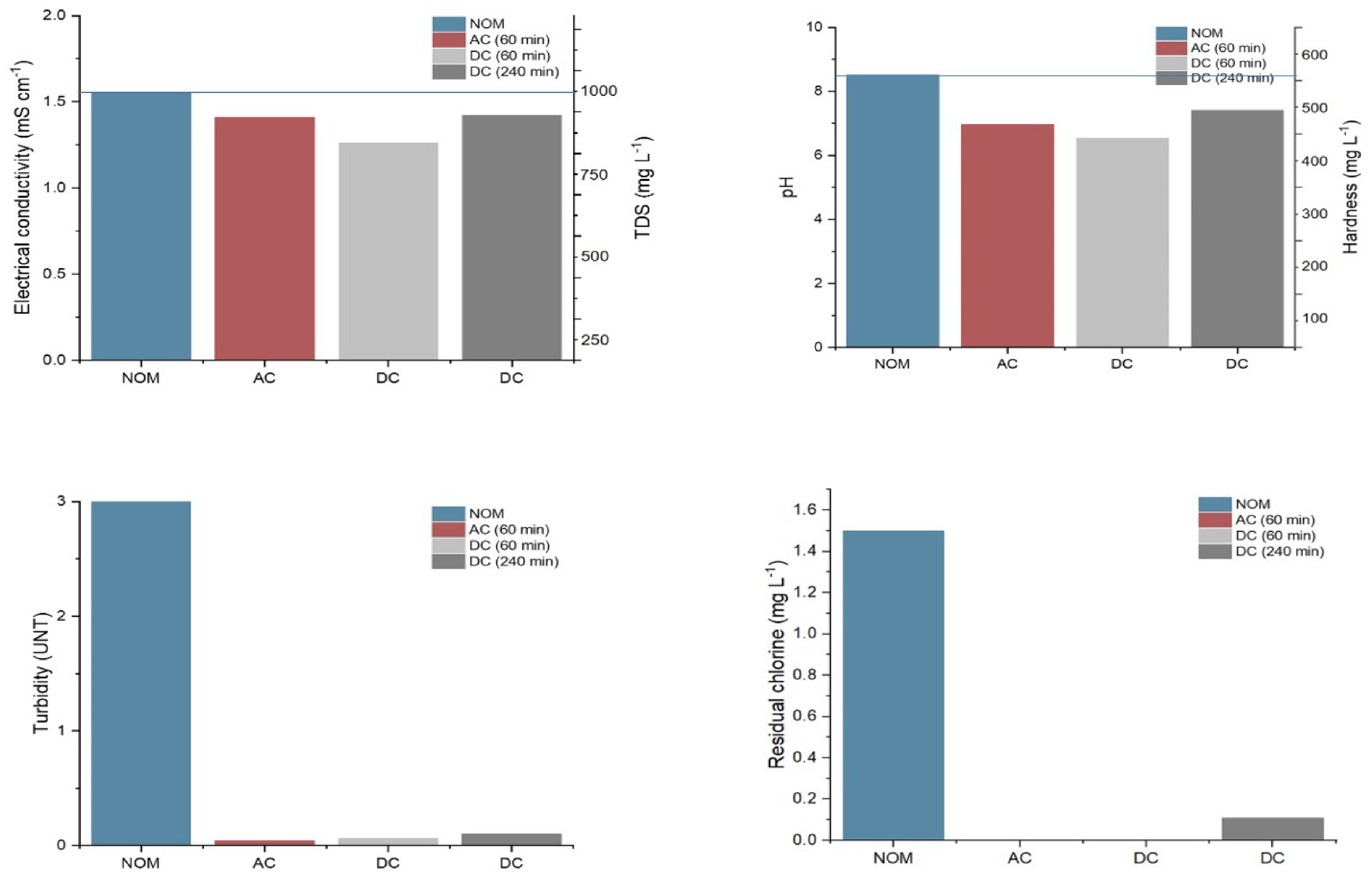
3.1. Permeate Water Quality vs. Official Mexican Standard


3.2. Specific Energy Consumption (SEC)

3.3. Concentration Polarization Factor (β)

4. Conclusions
Author Contributions
Funding
Data Availability Statement
Acknowledgments
Conflicts of Interest
Nomenclature
| EC | Electrical conductivity | mS cm−1 |
| Cl | Residual chlorine | mg L−1 |
| Permeate flux | m s−1 | |
| Transmembrane pressure | Pa s | |
| Osmotic pressure feed water | Pa s | |
| Osmotic pressure permeate water | Pa s | |
| Viscosity feed water | Pa s | |
| Membrane resistance | m−1 | |
| Recovery | % | |
| Feed water flow rate | m3 s−1 | |
| Permeate water flow rate | m3 s−1 | |
| Salt rejection | % | |
| Feed water concentration | mg L−1 | |
| Permeate water concentration | mg L−1 | |
| Energy consumption of high-pressure pump | kWh | |
| Energy consumption of low-pressure pump | kWh | |
| Operation time | minutes | |
| T | Turbidity | NTU |
| H | Hardness | mg L−1 |
| RO | Reverse osmosis | |
| RE | Renewable energies | |
| CP | Concentration polarization | |
| AC | Alternating current | |
| DC | Direct current | |
| SEC | Specific energy consumption | |
| TDS | Total dissolved solids | |
| PV | Photovoltaic | |
| pH | Potential hydrogen | |
| Permeance | ||
| Concentration polarization factor | ||
| Mass transfer coefficient | ||
| MSF | Multi-stage flash | |
| MED | Multiple-effect distillation | |
| MVC | Mechanical vapor compression | |
| DI | Deionization | |
| ED | Electrodialysis | |
| CEFRL | Chemical Engineering and Food Research Laboratory |
References
- Dévora-Isiordia, G.E.; López-Mercado, M.E.; Fimbres-Weihs, G.A.; Álvarez-Sánchez, J.; Astorga-Trejo, S. Desalación Por Ósmosis Inversa y Su Aprovechamiento En Agricultura En El Valle Del Yaqui, Sonora, México. Tecnol. Cienc. Del Agua 2016, 7, 155–169. [Google Scholar]
- Ríos-Arriola, J.; Velázquez, N.; Aguilar-Jiménez, J.A.; Dévora-Isiordia, G.E.; Cásares de la Torre, C.A.; Corona-Sánchez, J.A.; Islas, S. State of the Art of Desalination in Mexico. Energies 2022, 15, 8434. [Google Scholar] [CrossRef]
- Salehi, M. Global Water Shortage and Potable Water Safety; Today’s Concern and Tomorrow’s Crisis. Env. Int. 2022, 158, 106936. [Google Scholar] [CrossRef] [PubMed]
- Mishra, B.K.; Kumar, P.; Saraswat, C.; Chakraborty, S.; Gautam, A.; Smardon, C. Water Security in a Changing Environment: Concept, Challenges and Solutions. Water 2021, 13, 490. [Google Scholar] [CrossRef]
- Ghaffour, N.; Bundschuh, J.; Mahmoudi, H.; Goosen, M. Renewable Energy-Driven Desalination Technologies: A Comprehensive Review on Challenges and Potential Applications of Integrated Systems. Desalination 2015, 356, 94–114. [Google Scholar] [CrossRef]
- Shokri, A.; Sanavi Fard, M. A Sustainable Approach in Water Desalination with the Integration of Renewable Energy Sources: Environmental Engineering Challenges and Perspectives. Environ. Adv. 2022, 9, 100281. [Google Scholar] [CrossRef]
- Shemer, H.; Semiat, R. Sustainable RO Desalination—Energy Demand and Environmental Impact. Desalination 2017, 424, 10–16. [Google Scholar] [CrossRef]
- Kasaeian, A.; Rajaee, F.; Yan, W.-M. Osmotic Desalination by Solar Energy: A Critical Review. Renew Energy 2019, 134, 1473–1490. [Google Scholar] [CrossRef]
- Uppu, A.; Chaudhuri, A.; Prasad Das, S. Numerical Modeling of Particulate Fouling and Cake-Enhanced Concentration Polarization in Roto-Dynamic Reverse Osmosis Filtration Systems. Desalination 2019, 468, 114053. [Google Scholar] [CrossRef]
- Kucera, J. Reverse Osmosis, 2nd ed.; Wiley: Hoboken, NJ, USA, 2015. [Google Scholar]
- Jang, E.S.; Mickols, W.; Sujanani, R.; Helenic, A.; Dilenschneider, T.J.; Kamcev, J.; Paul, D.R.; Freeman, B.D. Influence of Concentration Polarization and Thermodynamic Non-Ideality on Salt Transport in Reverse Osmosis Membranes. J. Memb. Sci. 2019, 572, 668–675. [Google Scholar] [CrossRef]
- Razeghi, M.; Hajinezhad, A.; Naseri, A.; Noorollahi, Y.; Farhan Moosavian, S. Multi-Criteria Decision-Making for Selecting a Solar Farm Location to Supply Energy to Reverse Osmosis Devices and Produce Freshwater Using GIS in Iran. Sol. Energy 2023, 253, 501–514. [Google Scholar] [CrossRef]
- Al-Karaghouli, A.; Kazmerski, L.L. Energy Consumption and Water Production Cost of Conventional and Renewable-Energy-Powered Desalination Processes. Renew. Sustain. Energy Rev. 2013, 24, 343–356. [Google Scholar] [CrossRef]
- Kumarasamy, S.; Narasimhan, S.; Narasimhan, S. Optimal Operation of Battery-Less Solar Powered Reverse Osmosis Plant for Desalination. Desalination 2015, 375, 89–99. [Google Scholar] [CrossRef]
- Boussouga, Y.A.; Richards, B.S.; Schäfer, A.I. Renewable Energy Powered Membrane Technology: System Resilience under Solar Irradiance Fluctuations during the Treatment of Fluoride-Rich Natural Waters by Different Nanofiltration/Reverse Osmosis Membranes. J. Memb. Sci. 2021, 617, 118452. [Google Scholar] [CrossRef]
- Su, X.; Li, W.; Palazzolo, A.; Ahmed, S. Concentration Polarization and Permeate Flux Variation in a Vibration Enhanced Reverse Osmosis Membrane Module. Desalination 2018, 433, 75–88. [Google Scholar] [CrossRef]
- Jack, G.; Eliyahu, K. Method and System for Increasing Recovery and Preventing Precipitation Fouling in Pressure Driven Membrane Processes. U.S. Patent 8,137,539, 20 March 2012. [Google Scholar]
- Yu, W.; Song, D.; Chen, W.; Yang, H. Antiscalants in RO Membrane Scaling Control. Water Res. 2020, 183, 115985. [Google Scholar] [CrossRef] [PubMed]
- Eltawil, M.A.; Alamri, A.M.; Azam, M.M. Design a Novel Air to Water Pressure Amplifier Powered by PV System for Reverse Osmosis Desalination. Renew. Sustain. Energy Rev. 2022, 160, 112295. [Google Scholar] [CrossRef]
- Mito, M.T.; Ma, X.; Albuflasa, H.; Davies, P.A. Reverse Osmosis (RO) Membrane Desalination Driven by Wind and Solar Photovoltaic (PV) Energy: State of the Art and Challenges for Large-Scale Implementation. Renew. Sustain. Energy Rev. 2019, 112, 669–685. [Google Scholar] [CrossRef]
- Generous, M.M.; Qasem, N.A.A.; Zubair, S.M. An Innovative Hybridization of Electrodialysis with Reverse Osmosis for Brackish Water Desalination. Energy Convers. Manag. 2021, 245, 114589. [Google Scholar] [CrossRef]
- Secretaría de Salud. Norma Oficial Mexicana NOM-127-SSA1-2021. Salud Ambiental, Agua Para Consumo Humano- Límites Permisibles de Calidad y Tratamiento Que Debe Someterse el Agua Para su Potabilización. Available online: https://www.dof.gob.mx/nota_detalle.php?codigo=5650705&fecha=02/05/2022#gsc.tab=0 (accessed on 20 July 2023).
- Rodríguez-López, J.; Robles-Lizárraga, A.; Encinas-Guzmán, M.I.; Correa-Díaz, F.; Dévora-Isiordia, G.E. Assessment of Fixed, Single-Axis, and Dual-Axis Photovoltaic Systems Applied to a Reverse Osmosis Desalination Process in Northwest Mexico. Desalination Water Treat. 2021, 234, 399–407. [Google Scholar] [CrossRef]
- Armendáriz-Ontiveros, M.M.; Dévora-Isiordia, G.E.; Rodríguez-López, J.; Sánchez-Duarte, R.G.; Álvarez-Sánchez, J.; Villegas-Peralta, Y.; Martínez-Macias, M.d.R. Effect of Temperature on Energy Consumption and Polarization in Reverse Osmosis Desalination Using a Spray-Cooled Photovoltaic System. Energies 2022, 15, 7787. [Google Scholar] [CrossRef]
- Freire, G.M.; Bilton, A.M. Experimental Quantification of the Effect of Intermittent Operation on Membrane Performance of Solar Powered Reverse Osmosis Desalination Systems. Desalination 2018, 435, 188–197. [Google Scholar] [CrossRef]
- Greenlee, L.F.; Testa, F.; Lawler, D.F.; Freeman, B.D.; Moulin, P. The Effect of Antiscalant Addition on Calcium Carbonate Precipitation for a Simplified Synthetic Brackish Water Reverse Osmosis Concentrate. Water Res. 2010, 44, 2957–2969. [Google Scholar] [CrossRef] [PubMed]
- Liberman, B.; Eshed, L.; Greenberg, G. Pulse Flow RO—The New RO Technology for Waste and Brackish Water Applications. Desalination 2020, 479, 114336. [Google Scholar] [CrossRef]
- Voutchkov, N. Energy Use for Membrane Seawater Desalination—Current Status and Trends. Desalination 2018, 431, 2–14. [Google Scholar] [CrossRef]
- Dévora-Isiordia, G.E.; Cásares De la Torre, C.A.; Morales-Mendívil, D.P.; Montoya-Pizeno, R.; Velázquez-Limón, N.; Aguilar-Jiménez, J.A.; Ríos-Arriola, J. Evaluation of Concentration Polarization Due to the Effect of Feed Water Temperature Change on Reverse Osmosis Membranes. Membranes 2023, 13, 3. [Google Scholar] [CrossRef]
- Sanz-Vargas, F.J. Sistemas de Energía Térmica Desalación de Agua de Mar Mediante Energías Renovables: Dimensionado En Canarias; Universidad de Sevilla: Sevilla, Spain, 2019. [Google Scholar]
- Freire Gormaly, M.; Bilton, A.M. Impact of Intermittent Operation on Reverse Osmosis Membrane Fouling for Brackish Groundwater Desalination Systems. J. Memb. Sci. 2019, 583, 220–230. [Google Scholar] [CrossRef]
- Sitterley, K.A.; Cath, T.J.; Jenne, D.S.; Yu, Y.-H.; Cath, T.Y. Performance of Reverse Osmosis Membrane with Large Feed Pressure Fluctuations from a Wave-Driven Desalination System. Desalination 2022, 527, 115546. [Google Scholar] [CrossRef]
- Richards, B.S.; Capão, D.P.S.; Früh, W.G.; Schäfer, A.I. Renewable Energy Powered Membrane Technology: Impact of Solar Irradiance Fluctuations on Performance of a Brackish Water Reverse Osmosis System. Sep. Purif. Technol. 2015, 156, 379–390. [Google Scholar] [CrossRef]
- Warsinger, D.M.; Tow, E.W.; Nayar, K.G.; Maswadeh, L.A.; Lienhard, V.J.H. Energy Efficiency of Batch and Semi-Batch (CCRO) Reverse Osmosis Desalination. Water Res. 2016, 106, 272–282. [Google Scholar] [CrossRef]
- Dévora-Isiordia, G.E.; Robles Lizárraga, A.; Fimbres Weihs, G.A.; Álvarez Sánchez, J. Comparación de métodos de descarga para vertidos de salmueras provenientes de planta desalinizadora en Sonora, México. Rev. Int. Contam. Ambient. 2016, 33, 45–54. [Google Scholar] [CrossRef]
- Liu, T.; Zhou, K.; Ma, R.; Zhang, L.; Huang, C.; Luo, Z.; Zhu, H.; Yao, S.; Yang, C.; Zou, B.; et al. Multifunctional all-polymer photovoltaic blend with simultaneously improved efficiency (18.04%), stability and mechanical durability. Aggregate 2023, 4, e308. [Google Scholar] [CrossRef]
- Yao, S.; Yang, L.; Shi, S.; Zhou, Y.; Long, M.; Zhang, W.; Cai, S.; Huang, C.; Liu, T.; Zou, B. A Two-in-One Annealing Enables Dopant Free Block Copolymer Based Organic Solar Cells with over 16% Efficiency. Chin. J. Chem. 2022, 41, 672–678. [Google Scholar] [CrossRef]
- Robles-Lizárraga, A.; Martínez-Macías, M.R.; Encinas-Guzmán, M.I.; Larraguibel-Aganza, O.J.; Rodríguez-López, J.; Dévora-Isiordia, G.E. Design of reverse osmosis desalination plant in Puerto Peñasco, Sonora, México. Desalination Water Treat. 2020, 175, 1–10. [Google Scholar] [CrossRef]




| Evaluation of (β) in Batch Process | |||
|---|---|---|---|
| AC | DC | ||
| Time (min) | Power (W) | Time (min) | Power (W) |
| 8 | 382.04 | 8 | 551.67 |
| 12 | 382.04 | 12 | 567.83 |
| 16 | 382.04 | 16 | 550.50 |
| 20 | 382.04 | 20 | 582.00 |
| 24 | 382.04 | 24 | 591.33 |
| Evaluation of (β) in Continuous Process | |||||
|---|---|---|---|---|---|
| AC | DC | DC | |||
| Time (min) | Power (W) | Time (min) | Power (W) | Time (min) | Power (W) |
| 5 | 405 | 5 | 489 | 20 | 206 |
| 10 | 405 | 10 | 513 | 40 | 313 |
| 15 | 405 | 15 | 522 | 60 | 421 |
| 20 | 405 | 20 | 530 | 80 | 530 |
| 25 | 405 | 25 | 542 | 100 | 140 |
| 30 | 405 | 30 | 513 | 120 | 260 |
| 35 | 405 | 35 | 534 | 140 | 560 |
| 40 | 405 | 40 | 523 | 160 | 229 |
| 45 | 405 | 45 | 555 | 180 | 555 |
| 50 | 405 | 50 | 534 | 200 | 180 |
| 55 | 405 | 55 | 554 | 220 | 230 |
| 60 | 405 | 60 | 548 | 240 | 548 |
Disclaimer/Publisher’s Note: The statements, opinions and data contained in all publications are solely those of the individual author(s) and contributor(s) and not of MDPI and/or the editor(s). MDPI and/or the editor(s) disclaim responsibility for any injury to people or property resulting from any ideas, methods, instructions or products referred to in the content. |
© 2023 by the authors. Licensee MDPI, Basel, Switzerland. This article is an open access article distributed under the terms and conditions of the Creative Commons Attribution (CC BY) license (https://creativecommons.org/licenses/by/4.0/).
Share and Cite
Montoya-Pizeno, R.; Morales-Mendivil, D.P.; Cabanillas-López, R.E.; Dévora-Isiordia, G.E. The Impact of Solar Intermittency on the Concentration Polarization Factor, Water Quality and Specific Energy Consumption in the Reverse Osmosis Process. Water 2023, 15, 3022. https://doi.org/10.3390/w15173022
Montoya-Pizeno R, Morales-Mendivil DP, Cabanillas-López RE, Dévora-Isiordia GE. The Impact of Solar Intermittency on the Concentration Polarization Factor, Water Quality and Specific Energy Consumption in the Reverse Osmosis Process. Water. 2023; 15(17):3022. https://doi.org/10.3390/w15173022
Chicago/Turabian StyleMontoya-Pizeno, Rosario, Deemi Paola Morales-Mendivil, Rafael Enrique Cabanillas-López, and Germán Eduardo Dévora-Isiordia. 2023. "The Impact of Solar Intermittency on the Concentration Polarization Factor, Water Quality and Specific Energy Consumption in the Reverse Osmosis Process" Water 15, no. 17: 3022. https://doi.org/10.3390/w15173022
APA StyleMontoya-Pizeno, R., Morales-Mendivil, D. P., Cabanillas-López, R. E., & Dévora-Isiordia, G. E. (2023). The Impact of Solar Intermittency on the Concentration Polarization Factor, Water Quality and Specific Energy Consumption in the Reverse Osmosis Process. Water, 15(17), 3022. https://doi.org/10.3390/w15173022

