Numerical Study on Deposition Behavior of Micron-Sized Suspended Solids in Broken Rock Mass within a Goaf Based on Coupled CFD-DEM Method
Abstract
1. Introduction
2. Methodology and Theoretical Background
2.1. Control Equations
2.1.1. Fluid Control Equations
2.1.2. Particle–Fluid Interaction Forces
2.1.3. Particle Control Equation
2.2. CFD-DEM Coupling Process
2.3. Model Simplification
2.4. Granular Domain Settings
2.5. Fluid Domain Settings
2.6. Material Parameters
3. Model Validation
3.1. Indoor Test Setup
3.2. Simulation Setup
3.3. Results Validation
4. Results and Discussion
4.1. Microscopic Deposition Behavior of Suspended Solids
4.2. Deposition Process of Suspended Materials in the Broken Rock Mass
4.3. Deposition of Suspended Solids under Different Pore Size Conditions
4.4. Factors Affecting the Number of Suspended Solids Deposited
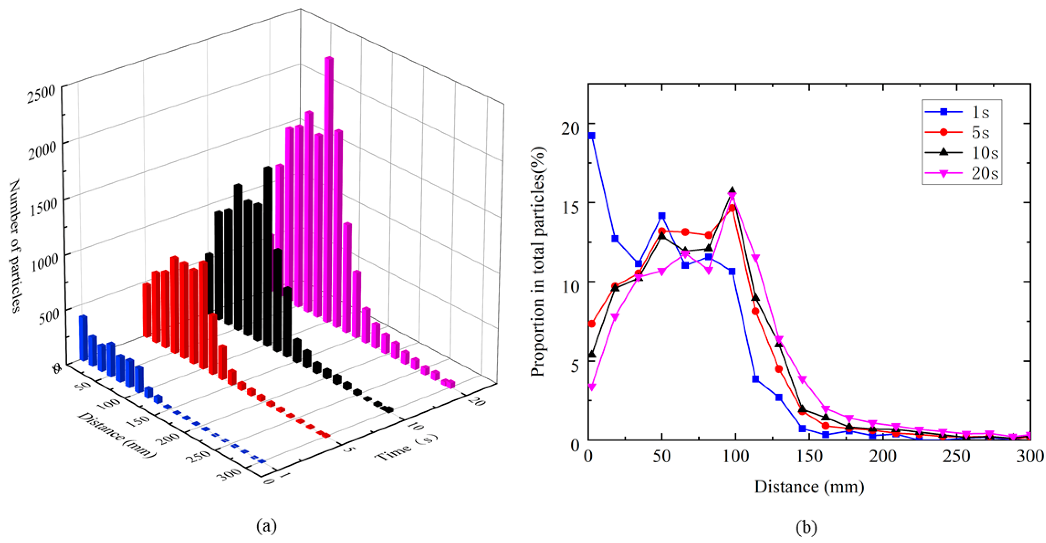
4.4.1. Distance
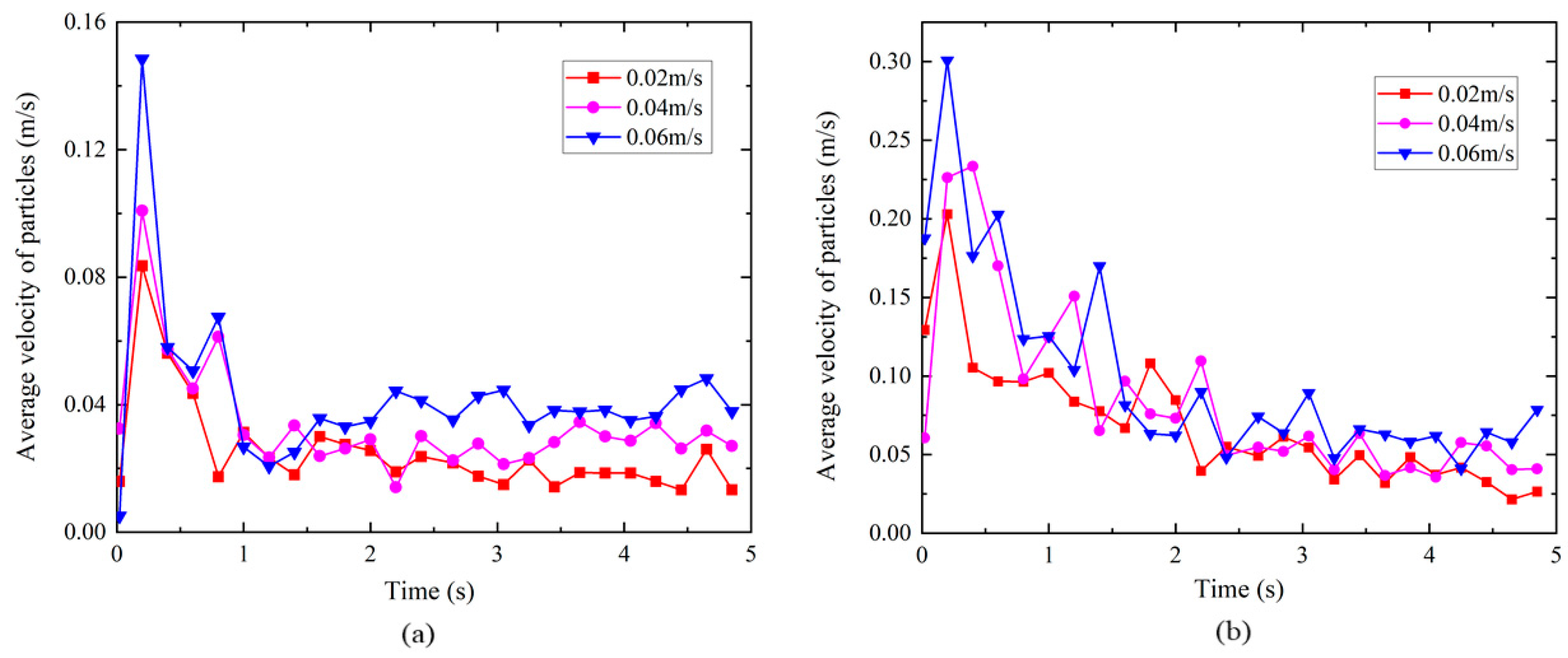
4.4.2. Seepage Velocity
5. Conclusions
- (1)
- The deposition behavior of micron-sized suspended solids varies widely under three broken rock mass pore sizes (0.47 mm, 1.14 mm, and 3 mm). When pore size exceeds 3 mm, adsorption mainly influences suspended solids. The pore size of most broken rock masses in the goaf is much larger than the tested pore size, indicating that adsorption is the dominant deposition behavior of micron-sized suspended solids within the broken rock mass in the groundwater reservoir. Subsequent research should focus on methods and materials that can improve the adsorption capacity of coal rock masses. By improving the adsorption capacity of the coal rock mass, we can improve the purification effect of coal mine wastewater in goafs and increase the service life of the purification space in goafs.
- (2)
- As the pore size of coal rock decreases, the average migration distance of the suspended solids inside the broken rock mass becomes shorter. At the same time, the suspended solids are deposited in the broken rock mass with a small pore size with a large number. The smaller the pore size, the better the purification effect of the broken rock mass on the suspended solids. The pore size can be expressed using the void ratio and coal rock particle size, so the relationship between the microscopic movement behavior of the broken rock mass and the suspended solids can also be expressed using these two parameters.
- (3)
- The more extensive the broken rock mass range, the greater the number of suspended solids trapped. The purification efficiency of suspended solids can be effectively increased by increasing the range of broken rock mass. Moreover, the more significant particle velocity makes the migration distance of the suspended solids within the broken rock mass longer and the number of suspended solids deposited less, which adversely affects the purification effect of the broken rock mass. At the stage of siting the purification space in the goaf, the flow distance of coal mine wastewater in the mining area should be maximized, while a flat terrain area should be selected to avoid excessive water flow velocity.
Author Contributions
Funding
Data Availability Statement
Conflicts of Interest
References
- Fan, L.; Ma, X. A Review on Investigation of Water-Preserved Coal Mining in Western China. Int. J. Coal Sci. Technol. 2018, 5, 411–416. [Google Scholar] [CrossRef]
- Gao, C.; Wang, D.; Liu, K.; Deng, G.; Li, J.; Jie, B. A Multifactor Quantitative Assessment Model for Safe Mining after Roof Drainage in the Liangshuijing Coal Mine. ACS Omega 2022, 7, 26437–26454. [Google Scholar] [CrossRef] [PubMed]
- Wang, Q.; Li, W.; Li, T.; Li, X.; Liu, S. Goaf Water Storage and Utilization in Arid Regions of Northwest China: A Case Study of Shennan Coal Mine District. J. Clean. Prod. 2018, 202, 33–44. [Google Scholar] [CrossRef]
- Zheng, Y.; Sahraei-Ardakani, M. Leveraging Existing Water and Wastewater Infrastructure to Develop Distributed Pumped Storage Hydropower in California. J. Energy Storage 2021, 34, 102204. [Google Scholar] [CrossRef]
- Gu, D.; Zhang, Y.; Cao, Z. Technical progress of water resource protection and utilization by coal mining in China. Coal Sci. Technol. 2016, 44, 1–7. [Google Scholar]
- Song, H.; Xu, J.; Fang, J.; Cao, Z.; Yang, L.; Li, T. Potential for Mine Water Disposal in Coal Seam Goaf: Investigation of Storage Coefficients in the Shendong Mining Area. J. Clean. Prod. 2020, 244, 118646. [Google Scholar] [CrossRef]
- Chen, S.; Huang, Q.; Gang, X. Technology of underground reservoir construction and water resource utilization in Daliuta Coal Mine. Coal Sci. Technol. 2016, 44, 21–28. [Google Scholar]
- Yang, J. Comprehensive Treatment Technology of Ecological Environment above and Underground in Shendong Mining Area. Meitan Kexue Jishu Coal Sci. Technol. 2020, 48, 56–65. [Google Scholar] [CrossRef]
- Ruhela, M.; Sharma, K.; Bhutiani, R.; Chandniha, S.K.; Kumar, V.; Tyagi, K.; Ahamad, F.; Tyagi, I. GIS-Based Impact Assessment and Spatial Distribution of Air and Water Pollutants in Mining Area. Environ. Sci. Pollut. Res. 2022, 29, 31486–31500. [Google Scholar] [CrossRef]
- Jiang, B.; Gao, J.; Du, K.; Deng, X.; Zhang, K. Insight into the Water–Rock Interaction Process and Purification Mechanism of Mine Water in Underground Reservoir of Daliuta Coal Mine in China. Environ. Sci. Pollut. Res. 2022, 29, 28538–28551. [Google Scholar] [CrossRef]
- Zhang, Q.; Luo, S.; Zhao, L.; Zhang, P.; Wang, S.; Sun, C.; Zhang, L. Effect of Darcy Flux on the Release of Dissolved Organic Matter and Nitrogen from Coal Gangue in a Coal Mine Underground Reservoir: Column Experiments. Chem. Geol. 2020, 545, 119652. [Google Scholar] [CrossRef]
- Sonal, S.; Ugale, D.; Mishra, B.K. Combining Surface Water with Mine Water to Improve the Removal of Natural Organic Matter by Enhanced Coagulation. Mine Water Environ. 2021, 40, 701–712. [Google Scholar] [CrossRef]
- Rey, V.; Ríos, C.A.; Vargas, L.Y.; Valente, T.M. Use of Natural Zeolite-Rich Tuff and Siliceous Sand for Mine Water Treatment from Abandoned Gold Mine Tailings. J. Geochem. Explor. 2021, 220, 106660. [Google Scholar] [CrossRef]
- He, X.; Li, F. New technology and development tendency of mine water treatment. Coal Sci. Technol. 2010, 38, 17–22. [Google Scholar]
- Zhang, X.; Liu, Y.; Wei, M.; Tan, J.; Yang, T.; He, X. Influence of Ballasted Material Properties in Enhancing the Separation of High Concentration Suspended Solids in Coal Mining Water. Process Saf. Environ. Prot. 2022, 157, 458–465. [Google Scholar] [CrossRef]
- Pang, M.; Zhang, T.; Li, Y.; Song, S. Experimental Investigation of Water-Gas Mixed Seepage Parameters Characteristics in Broken Coal Medium. Energy Rep. 2022, 8, 281–289. [Google Scholar] [CrossRef]
- Ma, D.; Duan, H.; Liu, J.; Li, X.; Zhou, Z. The Role of Gangue on the Mitigation of Mining-Induced Hazards and Environmental Pollution: An Experimental Investigation. Sci. Total Environ. 2019, 664, 436–448. [Google Scholar] [CrossRef]
- Koohmishi, M.; Azarhoosh, A. Assessment of Permeability of Granular Drainage Layer Considering Particle Size and Air Void Distribution. Constr. Build. Mater. 2021, 270, 121373. [Google Scholar] [CrossRef]
- Ma, L.; Khan, N.M.; Cao, K.; Rehman, H.; Salman, S.; Rehman, F.U. Prediction of Sandstone Dilatancy Point in Different Water Contents Using Infrared Radiation Characteristic: Experimental and Machine Learning Approaches. Lithosphere 2022, 2021, 3243070. [Google Scholar] [CrossRef]
- Ngo, I.; Ma, L.; Zhai, J.; Wang, Y.; Wei, T.; Ni, Y. Experimental Investigation of CO2-Induced Silica Gel as the Water Blocking Grout Effect of Aquifer Ions. ACS Omega 2022, 7, 27090–27101. [Google Scholar] [CrossRef]
- Yang, H.; Balhoff, M.T. Pore-Network Modeling of Particle Retention in Porous Media. AIChE J. 2017, 63, 3118–3131. [Google Scholar] [CrossRef]
- Lei, G.; Gu, S.; Dong, L.; Liao, Q.; Xue, L. Particle Plugging in Porous Media under Stress Dependence by Monte Carlo Simulations. J. Pet. Sci. Eng. 2021, 207, 109144. [Google Scholar] [CrossRef]
- Li, M.; Li, A.; Zhang, J.; Huang, Y.; Li, J. Effects of Particle Sizes on Compressive Deformation and Particle Breakage of Gangue Used for Coal Mine Goaf Backfill. Powder Technol. 2020, 360, 493–502. [Google Scholar] [CrossRef]
- Ma, L.; Xu, Y.; Ngo, I.; Wang, Y.; Zhai, J.; Hou, L. Prediction of Water-Blocking Capability of Water-Seepage-Resistance Strata Based on AHP-Fuzzy Comprehensive Evaluation Method—A Case Study. Water 2022, 14, 2517. [Google Scholar] [CrossRef]
- Xu, Y.; Ma, L.; NGO, I.; Zhai, J. Prediction of the Height of Water-Conductive Fractured Zone under Continuous Extraction and Partial Backfill Mining Method—A Case Study. Sustainability 2022, 14, 6582. [Google Scholar] [CrossRef]
- Xu, Y.; Ma, L.; NGO, I.; Zhai, J. Continuous Extraction and Continuous Backfill Mining Method Using Carbon Dioxide Mineralized Filling Body to Preserve Shallow Water in Northwest China. Energies 2022, 15, 3614. [Google Scholar] [CrossRef]
- Zhao, J.; Shan, T. Coupled CFD–DEM Simulation of Fluid–Particle Interaction in Geomechanics. Powder Technol. 2013, 239, 248–258. [Google Scholar] [CrossRef]
- Khalili, Y.; Mahboubi, A. Discrete Simulation and Micromechanical Analysis of Two-Dimensional Saturated Granular Media. Particuology 2014, 15, 138–150. [Google Scholar] [CrossRef]
- Lin, Y.; Fang, Y.; He, C. Numerical Study on Clogging Mechanism of Slurry Infiltration in Porous Media Based on Coupled CFD-DEM Method. Tunn. Undergr. Space Technol. 2022, 128, 104622. [Google Scholar] [CrossRef]
- Hu, Z.; Zhang, Y.; Yang, Z. Suffusion-Induced Deformation and Microstructural Change of Granular Soils: A Coupled CFD–DEM Study. Acta Geotech. 2019, 14, 795–814. [Google Scholar] [CrossRef]
- Zhang, C.; Jia, S.; Bai, Q.; Zhang, H.; Chen, Y.; Jiao, Y. CFD-DEM Coupled Simulation of Broken Rock Mass Movement During Water Seepage in an Underground Goaf Reservoir. Mine Water Environ. 2021, 40, 1048–1060. [Google Scholar] [CrossRef]
- Azam, S.; Mishra, D.P. Effects of Particle Size, Dust Concentration and Dust-Dispersion-Air Pressure on Rock Dust Inertant Requirement for Coal Dust Explosion Suppression in Underground Coal Mines. Process Saf. Environ. Prot. 2019, 126, 35–43. [Google Scholar] [CrossRef]
- Sarver, E.; Keleş, Ç.; Afrouz, S.G. Particle Size and Mineralogy Distributions in Respirable Dust Samples from 25 US Underground Coal Mines. Int. J. Coal Geol. 2021, 247, 103851. [Google Scholar] [CrossRef]
- Yang, X.; Sasaki, K.; Zhang, X.; Sugai, Y. Permeability Estimate of Underground Long-Wall Goaf from P-Wave Velocity and Attenuation by Lab-Scale Experiment on Crushed Rock Samples. J. Appl. Geophy. 2018, 159, 785–794. [Google Scholar] [CrossRef]
- Ergun, S.; Orning, A.A. Fluid flow through randomly packed columns and fluidized beds. Ind. J. Eng. Chem. 1949, 41, 1179–1184. [Google Scholar]
- Zhang, J.; Meng, B.; Wang, Z.; Xiong, J.; Tang, W.; Tan, Y.; Zhang, Z. Numerical Simulation on Cleaning of Clogged Pervious Concrete Pavement. J. Clean. Prod. 2022, 341, 130878. [Google Scholar] [CrossRef]
- Li, Q.; Zhao, D.; Yin, J.; Zhou, X.; Li, Y.; Chi, P.; Han, Y.; Ansari, U.; Cheng, Y. Sediment Instability Caused by Gas Production from Hydrate-bearing Sediment in Northern South China Sea by Horizontal Wellbore: Evolution and Mechanism. Nat. Resour. Res. 2023. [Google Scholar] [CrossRef]
- Marshall, J.S. Discrete-Element Modeling of Particulate Aerosol Flows. J. Comput. Phys. 2009, 228, 1541–1561. [Google Scholar] [CrossRef]
- Johnson, K.L.; Kendall, K.; Roberts, A. Surface Energy and the Contact of Elastic Solids. Proc. R. Soc. Lond. A Math. Phys. Sci. 1971, 324, 301–313. [Google Scholar] [CrossRef]
- Hertz, H. Ueber Die Berührung Fester Elastischer Körper. J. Reine Angew. Math. 1882, 1882, 156–171. [Google Scholar] [CrossRef]
- Mindlin, R.D.; Deresiewicz, H. Elastic Spheres in Contact Under Varying Oblique Forces. J. Appl. Mech. 1953, 20, 327–344. [Google Scholar] [CrossRef]
- Hobbs, A. Simulation of an Aggregate Dryer Using Coupled CFD and DEM Methods. Int. J. Comput. Fluid Dyn. 2009, 23, 199–207. [Google Scholar] [CrossRef]
- Boccardo, G.; Tosco, T.; Fujisaki, A.; Messina, F.; Raoof, A.; Aguilera, D.R.; Crevacore, E.; Marchisio, D.L.; Sethi, R. A Review of Transport of Nanoparticles in Porous Media. In Nanomaterials for the Detection and Removal of Wastewater Pollutants; Elsevier: Amsterdam, The Netherlands, 2020; pp. 351–381. [Google Scholar]
- Fan, D.; Chapman, E.; Khan, A.; Iacoviello, F.; Mikutis, G.; Pini, R.; Striolo, A. Anomalous Transport of Colloids in Heterogeneous Porous Media: A Multi-Scale Statistical Theory. J. Colloid Interface Sci. 2022, 617, 94–105. [Google Scholar] [CrossRef] [PubMed]
- Wang, C.; Bobba, A.D.; Attinti, R.; Shen, C.; Lazouskaya, V.; Wang, L.-P.; Jin, Y. Retention and Transport of Silica Nanoparticles in Saturated Porous Media: Effect of Concentration and Particle Size. Environ. Sci. Technol. 2012, 46, 7151–7158. [Google Scholar] [CrossRef]
- van Oort, E.; van Velzen, J.F.G.; Leerlooijer, K. Impairment by Suspended Solids Invasion: Testing and Prediction. SPE Prod. Facil. 1993, 8, 178–184. [Google Scholar] [CrossRef]
- Oyeneyin, M.B.; Peden, J.M.; Hosseini, A.; Ren, G. Factors to Consider in the Effective Management and Control of Fines Migration in High Permeability Sands. In Proceedings of the SPE European Formation Damage Conference, The Hague, The Netherlands, 15 May 1995. [Google Scholar]
- Bagrezaie, M.A.; Dabir, B.; Rashidi, F. A Novel Approach for Pore-Scale Study of Fines Migration Mechanism in Porous Media. J. Pet. Sci. Eng. 2022, 216, 110761. [Google Scholar] [CrossRef]
- Wang, G.; Xu, H.; Wu, M.; Wang, Y.; Wang, R.; Zhang, X. Porosity Model and Air Leakage Flow Field Simulation of Goaf Based on DEM-CFD. Arab. J. Geosci. 2018, 11, 148. [Google Scholar] [CrossRef]
- Zhang, Y.; Niu, K.; Du, W.; Zhang, J.; Wang, H.; Zhang, J. A Method to Identify Coal Spontaneous Combustion-Prone Regions Based on Goaf Flow Field under Dynamic Porosity. Fuel 2021, 288, 119690. [Google Scholar] [CrossRef]
- Zhang, C.; Bai, Q.; Zhu, C. A Methodology for Determining the Size Distribution of Broken Rock Masses in Longwall Mining Goaf. Geomech. Geophys. Geo-Energy Geo-Resour. 2022, 8, 113. [Google Scholar] [CrossRef]
- Wang, B.; Liang, B.; Jiang, L.; Li, G.; Li, C. Fractal Calculation and Application of Water Storage in Void of Caving Rock in the Goaf. Yanshilixue Yu Gongcheng Xuebao Chin. J. Rock Mech. Eng. 2015, 34, 1444–1451. [Google Scholar] [CrossRef]
- Zhang, C.; Tu, S.; Zhang, L. Field Measurements of Compaction Seepage Characteristics in Longwall Mining Goaf. Nat. Resour. Res. 2020, 29, 905–917. [Google Scholar] [CrossRef]
- Ajayi, S.A.; Ma, L.; Spearing, A.J.S. Ground Stress Analysis and Automation of Workface in Continuous Mining Continuous Backfill Operation. Minerals 2022, 12, 754. [Google Scholar] [CrossRef]
- Xu, Y.; Ma, L.; Ngo, I.; Wang, Y.; Zhai, J.; Hou, L. Prediction of the Adaptability of Using Continuous Extraction and Continuous Backfill Mining Method to Sequestrate CO2—A Case Study. Minerals 2022, 12, 936. [Google Scholar] [CrossRef]
- He, M.; Wang, Q.; Wu, Q. Innovation and Future of Mining Rock Mechanics. J. Rock Mech. Geotech. Eng. 2021, 13, 1–21. [Google Scholar] [CrossRef]
- Liu, Q.; Lin, B.; Zhou, Y.; Li, Y. Permeability and Inertial Resistance Coefficient Correction Model of Broken Rocks in Coal Mine Goaf. Powder Technol. 2021, 384, 247–257. [Google Scholar] [CrossRef]
- Liang, Y.; Sui, W.; Jiang, T.; Shen, X. Experimental Investigation on the Transport Behavior of a Sand/Mud/Water Mixture Through a Mining-Induced Caving Zone. Mine Water Environ. 2022, 41, 629–639. [Google Scholar] [CrossRef]
- Yang, J.; Li, F.; Shao, L.; Zhang, X.; He, X.; Xu, M. Discussion on the characteristics of SS in mine water and the key technique of purification. J. Liaoning Tech. Univ. Nat. Sci. 2008, 27, 458–460. [Google Scholar]
- Khan, N.M.; Ma, L.; Cao, K.; Spearing, A.J.S.; Liu, W.; Jie, Y.; Yousaf, M. Early Violent Failure Precursor Prediction Based on Infrared Radiation Characteristics for Coal Specimens Under Different Loading Rates. Rock Mech. Rock Eng. 2022, 55, 6939–6961. [Google Scholar] [CrossRef]
- Ma, L.; Sun, H.; Ngo, I.; Han, J. Infrared Radiation Quantification of Rock Damage and Its Constitutive Modeling under Loading. Infrared Phys. Technol. 2022, 121, 104044. [Google Scholar] [CrossRef]
- Bright, C.; Mager, S.; Horton, S. Response of Nephelometric Turbidity to Hydrodynamic Particle Size of Fine Suspended Sediment. Int. J. Sediment Res. 2020, 35, 444–454. [Google Scholar] [CrossRef]
- González-Montellano, C.; Fuentes, J.M.; Ayuga-Téllez, E.; Ayuga, F. Determination of the Mechanical Properties of Maize Grains and Olives Required for Use in DEM Simulations. J. Food Eng. 2012, 111, 553–562. [Google Scholar] [CrossRef]
- Pappas, D.M.; Mark, C. Behavior of Simulated Longwall Gob Material; US Department of the Interior, Bureau of Mines Pittsburgh: Pittsburgh, PA, USA, 1993.
- Bennacer, L.; Ahfir, N.-D.; Alem, A.; Huaqing, W. Influence of Particles Sizes and Flow Velocity on the Transport of Polydisperse Fine Particles in Saturated Porous Media: Laboratory Experiments. Water Air Soil Pollut. 2022, 233, 249. [Google Scholar] [CrossRef]




















| Cases | Rock Particle Diameter (mm) | Model Size (mm) | Number of Rock Particles | Void Ratio | Average Pore Diameter (mm) | Inlet Velocity (m/s) |
|---|---|---|---|---|---|---|
| 1 | 4 | 100 × 100 × 100 | 22,053 | 0.26 | 0.47 | 0.02 |
| 2 | 4 | 300 × 200 × 150 | 198,702 | 0.26 | 0.47 | 0.02 |
| 3 | 8 | 100 × 100 × 100 | 2601 | 0.3 | 1.14 | 0.02 |
| 4 | 8 | 300 × 200 × 150 | 23,530 | 0.3 | 1.14 | 0.02 |
| 5 | 8 | 300 × 200 × 150 | 23,530 | 0.3 | 1.14 | 0.04 |
| 6 | 8 | 300 × 200 × 150 | 23,530 | 0.3 | 1.14 | 0.06 |
| 7 | 8 | 500 × 100 × 100 | 13,034 | 0.3 | 1.14 | 0.02 |
| 8 | 16 | 100 × 100 × 100 | 299 | 0.36 | 3.00 | 0.02 |
| 9 | 16 | 100 × 100 × 100 | 299 | 0.36 | 3.00 | 0.04 |
| 10 | 16 | 300 × 200 × 150 | 2701 | 0.36 | 3.00 | 0.02 |
| 11 | 16 | 300 × 200 × 150 | 2701 | 0.36 | 3.00 | 0.04 |
| 12 | 16 | 500 × 100 × 100 | 1513 | 0.36 | 3.00 | 0.02 |
| 13 | 24 | 100 × 100 × 100 | 83 | 0.4 | 5.33 | 0.02 |
| 14 | 24 | 300 × 200 × 150 | 741 | 0.4 | 5.33 | 0.02 |
| 15 | 24 | 300 × 200 × 150 | 741 | 0.4 | 5.33 | 0.04 |
| 16 | 24 | 300 × 200 × 150 | 741 | 0.4 | 5.33 | 0.06 |
| Materials | Parameter Types (Units) | Values |
|---|---|---|
| Coal rock | Particle density (kg/m3) | 1.44 × 103 |
| Poisson’s ratio | 0.3 | |
| Shear modulus (Pa) | 1.0 × 109 | |
| Coefficient of restitution | 0.5 | |
| Coefficient of static friction | 0.6 | |
| Coefficient of rolling friction | 0.05 | |
| Pulverized | Particle density (kg/m3) | 0.9 × 103 |
| Poisson’s ratio | 0.3 | |
| Shear modulus (Pa) | 1.0 × 108 | |
| Coefficient of restitution | 0.5 | |
| Coefficient of static friction | 0.5 | |
| Coefficient of rolling friction | 0.05 | |
| Water | Density (kg/m3) | 998.2 |
| Viscosity (kg/(m−s)) | 1.003 × 10−3 |
| Parameter Types (Units) | Glass Bead | Pulverized |
|---|---|---|
| Particle density (kg/m3) | 2.53 × 103 | 0.9 × 103 |
| Poisson’s ratio | 0.25 | 0.3 |
| Shear modulus (Pa) | 1.2 × 104 | 1.0 × 108 |
| Coefficient of restitution | 0.75 | 0.5 |
| Coefficient of static friction | 0.45 | 0.5 |
| Coefficient of rolling friction | 0.1 | 0.05 |
Disclaimer/Publisher’s Note: The statements, opinions and data contained in all publications are solely those of the individual author(s) and contributor(s) and not of MDPI and/or the editor(s). MDPI and/or the editor(s) disclaim responsibility for any injury to people or property resulting from any ideas, methods, instructions or products referred to in the content. |
© 2023 by the authors. Licensee MDPI, Basel, Switzerland. This article is an open access article distributed under the terms and conditions of the Creative Commons Attribution (CC BY) license (https://creativecommons.org/licenses/by/4.0/).
Share and Cite
Wang, Y.; Wang, D.; Gao, C.; Xiong, S. Numerical Study on Deposition Behavior of Micron-Sized Suspended Solids in Broken Rock Mass within a Goaf Based on Coupled CFD-DEM Method. Water 2023, 15, 2314. https://doi.org/10.3390/w15132314
Wang Y, Wang D, Gao C, Xiong S. Numerical Study on Deposition Behavior of Micron-Sized Suspended Solids in Broken Rock Mass within a Goaf Based on Coupled CFD-DEM Method. Water. 2023; 15(13):2314. https://doi.org/10.3390/w15132314
Chicago/Turabian StyleWang, Yunqing, Dangliang Wang, Chengyue Gao, and Shijie Xiong. 2023. "Numerical Study on Deposition Behavior of Micron-Sized Suspended Solids in Broken Rock Mass within a Goaf Based on Coupled CFD-DEM Method" Water 15, no. 13: 2314. https://doi.org/10.3390/w15132314
APA StyleWang, Y., Wang, D., Gao, C., & Xiong, S. (2023). Numerical Study on Deposition Behavior of Micron-Sized Suspended Solids in Broken Rock Mass within a Goaf Based on Coupled CFD-DEM Method. Water, 15(13), 2314. https://doi.org/10.3390/w15132314

