Abstract
The organic matter of lake sediment plays an important role in paleolimnological reconstruction. Here, we report a detailed study of organic matter components (Corg%, N%, δ13C, δ15N) in a dated sediment core of Hulun Lake in northern China. Multiple mixing models based on the stoichiometric ratios and stable isotopic compositions were applied to quantify the contributions of organic matter sources in lake sediment. The results show that the organic matter in the sediments from Hulun Lake mainly comes from terrestrial organic matter: the proportion of terrestrial organic matter is more than 80%. The results of the SIAR mixing model further reveal that the proportions of terrestrial C3 plants-derived organic matter, soil organic matter, and lake plankton-derived organic matter were 76.0%, 13.9%, and 10.1%, respectively. The organic matter content of lake sediment from terrestrial sources began to increase significantly from 1980 onward, which is consistent with the growth in overgrazing in the Hulun Lake basin. The content of organic matter from endogenous lake-derived sources began to increase significantly after 2000 due to the nutrients gradually becoming concentrated in lake water, indicating that the reduction in rivers’ discharge and the downgrade of the lake water level were the immediate causes of the lake’s environmental deterioration during this period.
1. Introduction
The organic matter of lake sediment plays an important role in paleolimnological reconstruction. The vertical profiles of organic matter components, including abundance, elemental content, isotopic composition, and molecular ratio, were used to identify and differentiate between the effects of changes in natural conditions and anthropogenic activities on the environment of lake and its surrounding area [,,]. In general, the organic matter in lake sediment is commonly derived from terrestrial (allochthonous) and aquatic organic materials (autochthonous). Over the past century, because of the growth in human activities, the terrestrial sources may be not only be controlled by natural conditions, such as precipitation, surface runoff, and vegetation cover, but also impacted by anthropogenic factors, such as use of agricultural fertilizers, land clearing, and cropping. Studies about sources of organic matter are of high importance for understanding how natural environmental changes and human activities affect the aquatic environment, biological productivity, and the global cycle of carbon [,,].
The stoichiometric ratios and stable isotopic compositions of C (carbon) and N (nitrogen) in organic matter were developed as effective methods to trace the organic matter sources and identify predominant processes [,]. Moreover, the sediment profiles of stoichiometric ratios and stable isotopes of organic matter can reflect the historical changes in aquatic ecosystem productivity and terrigenous organic matter transportation processes, providing important information for the interpretation of paleoenvironmental conditions [,,,].
With the development of the techniques in tracing organic matter sources, the quantitative mathematical models were developed to analyze the proportions of different sources of the organic matter in lake sediment. In particular, the quantitative models based on the stoichiometric ratios and stable isotopic compositions of C and N were widely used to quantify the contributions of organic matter sources, such as the end-member mixing models and Bayesian mixing models [,,,]. The end-member mixing models are linear mixing models based on the mass balance equation that calculate the contributions of different organic matter sources in mixtures [,]. The average values of potential sources and mixture samples were used for the calculation of the end-member mixing models, and these models were only suitable for calculating the contribution ratios of no more than three major pollution sources []. Bayesian mixing models use Bayesian statistical theory to quantify source contributions. The contributions of potential sources in the model were estimated using the probability distribution of the proportional contribution of each source, which is determined via the logistic distribution and posterior distribution []. The models developed include mixing sample-importance resampling (MixSIR, R indicates the R Programming Language), stable isotope analysis in R (SIAR), mixing stable isotope analysis in R (MixSIAR), and compound-specific stable isotopes analysis in R (CSSI) [,,]. Compared to the end-member models, Bayesian mixing models incorporate all sources (i.e., more than three potential sources) and mixture sample values to account for the uncertainties in the sample data. The output of Bayesian mixing models are reported as probability distributions of the source contributions, rather than as a single value in end-member mixing models, which define the uncertainty in the experimental process [].
The Hulun Lake is located in a sparsely populated, mildly farmed, and slightly industrialized steppe area in the northeastern part of Inner Mongolia, China (Figure 1), which has relatively limited anthropogenic factors affecting the lake water ecosystem. Notably, the Hulun Lake is in an active, NE–SW-trending, translithospheric fault zone [,]. However, it has recently experienced severe environmental deterioration due to the high concentrations of nutrients in lake water []. It is important to know the sources and processes of nutrients loading to understand the past environmental evolution of Hulun Lake. Unfortunately, available data about nutrient level of water, pollutant loading, and human activities in Hulun Lake and its basin are rare. Furthermore, since few instrumental and documentary records are detailed, it is difficult to identify whether the changes over a long time-scale are caused by natural condition changes and/or human activities. It is necessary to carry out paleolimnological reconstruction using the paleoenvironmental proxies archived in lake sediment, which were successfully used to trace the changes in sources of nutrients in and environmental evolution of lakes [,].

Figure 1.
Location and geography of study area and sedimentary core sampling site from Hulun Lake (black circle).
In this study, we report detailed studies of organic matter components, including the contents of organic carbon (Corg%), the contents of nitrogen (N%), and the stable isotopic compositions of carbon (δ13C) and nitrogen (δ15N), which were conducted in a dated sediment core. Two end-member mixing models and a Bayesian mixing model based on the stoichiometric ratios and stable isotopic compositions of carbon and nitrogen were used to quantify the contributions of organic matter sources to lake sediment. The objective was to trace the sources of sedimentary organic matter and quantify the contributions of different sources of organic matter within Hulun Lake’s sediment. Furthermore, the proxies of Corg%, N%, δ13C, and δ15N as paleolimnological indicators were used to further trace the historical environmental evolution of Hulun Lake in the past 60 years, as well as infer the environmental effects of climate change and human activities on the recent environmental deterioration in Hulun Lake. Due to its importance for the region, this information can be used to provide baseline data for the environmental management of Hulun Lake basin.
2. Materials and Methods
2.1. Study Area
Hulun Lake (48°31′–49°20′ N, 116°58′–117°48′ E), which is located in a steppe area in the northeastern part of Inner Mongolia, China (Figure 1), is the fifth largest lake in China []. Although the lake is located in China, about 63.7% of the total basin areas of 256,000 km2 are located in Mongolia. In addition, two rivers (Kherlen River and Urshen River) controlling the main input sources of Hulun Lake both originate from Mongolia []. Most areas of the lake basin are covered by the steppe grassland and are used for grazing []. There were relatively large changes in land use type in the Hulun Lake basin in recent years, which indicated that grassland degradation became increasingly serious []. Recent studies indicated that Hulun Lake suffered from eutrophication, and, sometimes, a cyanobacterial bloom occurs in certain areas of the lake []. Monitoring data gathered from Lake Hulun over the past 20 years (1994–2015) show that the TN (Total Nitrogen) and TP (Total Phosphorus) concentrations ranged from 0.80 to 3.30 mg/L and 0.04 to 0.25 mg/L (Figure 2), respectively; these values greatly exceed the National Grade IV Standards for Surface Water [,].

Figure 2.
Changes in aqueous TN (Total Nitrogen) and TP (Total Phosphorus) concentrations in Hulun Lake during 1994–2015 (black lines denote limiting values of TN (Total Nitrogen) and TP (Total Phosphorus) of National Grade IV Standards for Surface Water []).
2.2. Sampling
A 41-centimeter-long sedimentary core was obtained at the deepest site in the center of Hulun Lake (Figure 1), China, in July 2015. Core samples were sliced immediately in 1 cm intervals on board the vessel. Sub-samples were stored in the sealing bags in an ice cooler and then transferred to the refrigerator (<4 °C) after transportation to the laboratory.
2.3. Experiments and Methods
All sediment sub-samples were measured in 1-centimeter intervals. Sediments used in carbon, nitrogen and isotopic analyses were ground in a mortar and homogenized. The Corg and N contents (% of dry weight) and their corresponding stable isotope compositions (δ13Corg and δ15N) were determined using a CN Automatic Elemental Analyzer and an isotope ratio mass spectrometer (DELTA plus Advantage), respectively. Analytical accuracy and precision were compared with known isotopic standards (Vienna Pee Dee Belemnite (VPDB) for carbon and atmospheric N2 for nitrogen). The analytical precision for standards was within ±0.2‰ for δ13Corg and ±0.3% for δ15N. The results are expressed innovatively as deviations in per milliliter (‰) differences relative to standard values of international standards (VPDB), as shown below:
To determine the age of the sediment core, the radioactive elements of 137Cs and 210Pb for 41 sub-samples in one-centimeter intervals were conducted via gamma spectrometry at Nanjing Institute of Geography and Limnology Chinese Academy of Sciences. The profile of 210Pb dating for 41 samples was calculated through the constant initial concentration model (CIC). Combined with the 137Cs activity data, a chronology framework for the whole core was established, which corresponded to a 57-year series from 1958 to 2015. The detailed results were described in a previous study [].
2.4. Calculations
Organic matter in lake sediment is often described as a binary mixture of aquatic and terrestrial end members []. The binary model proposed by Qian, et al. can be employed to quantify the amount and percentage of allochthonous and autochthonous organic matter []. This model is designed as follows for carbon and nitrogen:
where C(i) and N(i) are the measured values of Corg and N in sample (i), respectively; Cal(i) and Nal(i) are the content of Corg and N derived from allochthonous organic matter, respectively; Cau(i) and Nau(i) are the content of Corg and N derived from autochthonous organic matter respectively; and Ral and Rau are Corg/N ratios derived from allochthonous and autochthonous sources, respectively. Thus, the results are as follows:
Therefore, if the values of Ral and Rau are provided, the amounts and relative proportions of allochthonous and autochthonous sources can be calculated via this model. In this study, the Corg/N weight ratios for allochthonous (Ral) and autochthonous (Rau) sources of organic matter are given as 20 and 6, respectively [].
The terrestrial (allochthonous) and lake (autochthonous) organic carbon fractions in sediment can also be estimated using a reliable two-end-member isotope-mixing model based on δ13C []:
where δ13C(i) is the measured value of δ13C in sample (i); fal and fau are the proportions of allochthonous organic matter and autochthonous organic matter, respectively; δ13Cal(i) and δ13Cau(i) are end-members of allochthonous organic matter and autochthonous organic matter, respectively; and Cal(i) and Cau(i) are the content of organic matter derived from autochthonous organic matter and autochthonous organic matter, respectively.
To quantify the relative contributions of organic carbon from multiple sources, the potential sources were considered. Since the low temperatures recorded throughout the year in the study area are not conducive to the growth of aquatic plants, the macrophytes are absent in Lake Hulun, and most of the autochthonous organic matter in Lake Hulun was derived from algae []. Combined with previous research reports, the main plant type in the Hulun Lake basin is C3 plants []. Thus, the allochthonous organic matter of Hulun Lake may mainly come from terrestrial C3 plants. In this study, the end-members δ13C of allochthonous organic matter (–28.11 ± 0.12‰) were obtained from the δ13C values measured in C3 plants around the lake [,]. Since the δ13C values of lake plankton in Hulun Lake were not measured in this study, the end-members δ13C of autochthonous organic matter (–21.37 ± 2.84‰) in Hulun Lake were obtained from Liang’s surveys, which provide an average δ13C value for plankton sourced from 10 lakes in Eastern Yunnan, China []. To assess the uncertainties in differentiating between the contributions of allochthonous organic matter and autochthonous organic matter associated with the range in δ13C values for the different sources, we implemented three sets of calculations for each sample. Our ‘‘best’’ estimates were based on the average δ13C values (−28.11‰ for allochthonous organic matter and −21.37‰ for autochthonous organic matter). The upper limit δ13C for allochthonous organic matter contributions was calculated using δ13C= −27.99‰, while the upper limit for autochthonous organic matter concentrations was calculated using δ13C = −24.21‰.
Finally, a Bayesian mixing model (Stable Isotope Analysis in R, SIAR) based on δ13C and δ15N was run to determine the potential sources of sediment organic matter in more detail []. The SIAR model can be expressed as follows:
where Xij is the observed isotope value j of the mixture i, in which i = 1, 2, 3, etc., I, and j = 1, 2, 3, etc., J; Pk is the proportion of source k, which needs to be estimated via SIAR model; Sjk is the source value k on isotope j (k = 1, 2, 3, etc., K) under normal distribution with mean μjk and variance ωjk2; Cjk is the isotopic fractionation factor for isotope j (k = 1, 2, 3, etc., K) under normal distribution with mean λjk variance τjk2; and εij is the residual error representing the additional unquantified variation between individual mixtures under normal distribution, with mean 0 and standard deviation σj being estimated through the model.
Compared to the two-end-member model, the SIAR model can incorporate more potential sources to account for the contributions for each source. Combined with previous analysis of the possible sources of sediment organic matter in Hulun Lake, the potential four sources, including pasture (C3), soil organic matter, lake phytoplankton, and lake zooplankton, were considered in the model’s calculations. Due to the limitation of sampling conditions, the samples of plankton were not collected for elemental and isotopic determination. The values of δ13C and δ15N as the end-members for the SIAR model were instead cited from the results as being within the typical ranges of previous studies (Table 1). The fractionation factors for all sources were set to zero [Cjk = 0 in Equation (15)] because corresponding experiments for determining enrichment factors were not conducted, and no significant isotope fraction signals were observed in this study.

Table 1.
Data for two-end-member model and SIAR model (‰).
3. Results and Discussion
3.1. The Characteristic of Corg%, N%, Corg/N, δ13C and δ15N Distribution in Sediment Profile
The results of Corg%, N%, Corg/N, δ13C, and δ15N are plotted as profiles with core depth (left y-axis) and sediment ages (right y-axis) in Figure 3. The mean value, maximum value, minimum value, and standard deviation (SD) for values of Corg%, N%, Corg/N, δ13C, and δ15N are shown in Table 2. The content of organic carbon (Corg%) shows a trend of gradual increase, ranging from 3.06 to 5.07%, with an average value of 3.57%, and the maximum value appears at the surface of the sediment core. The vertical variation trend for nitrogen content (N%) is consistent with that of organic carbon, which increases gradually from the bottom to the surface of the sediment profile, ranging from 0.41 to 0.20%, with an average value of 0.25%. The maximum value of N% also appears at the surface of the sediment core. The lake’s organic matter mainly comes from the input by aquatic organisms in the lake itself and land sources in the basin. The changes in Corg% and N% in lake sediments reflect the primary productivity of the lake and its surrounding area, and the higher Corg% and N% indicate the improvement in the primary productivity []. The distribution of Corg% and N% in the sediment profile changed, displaying a rapid growth trend approximately after the year 2000 (corresponding above the depth of 12 cm), indicating that the organic matter in Hulun Lake increased in this period. This outcome may have been caused by either the increased input of terrestrial substances or the increase in the number of endogenous organisms in the lake.

Figure 3.
Profiles of Corg%, N%, Corg/N, δ13C, and δ15N in lake sediment core.

Table 2.
Observed values of Corg%, N%, Corg/N, δ13C, and δ15N in lake sediment core.
Due to the different characteristics of the Corg/N ratios of aquatic plants and land plants, the method of using Corg/N ratio is widely used to determine the source of organic matter in lake sediments. Generally, the Corg/N ratio of aquatic plankton is 4–10, that of aquatic plants ranges from 2.80 to 3.40, and that of terrestrial vascular plants is 20 or greater []. If the Corg/N ratio in the sediment exceeds eight, it is usually considered that the composition of organic matter includes both endogenous and exogenous sources. The increase in Corg/N ratio in the vertical depth of sediment is often considered to represent an increase in the proportion of terrestrial materials received by lakes during this period, while the proportion of aquatic plankton decreased. In contrast, the decreasing Corg/N ratio in the vertical depth of the sediment is often considered to represent an increase in the proportion of aquatic plankton in the lake, while the proportion of terrestrial materials received decreased. The Corg/N ratio increased vertically in Hulun Lake’s sediment profile, ranging from 12.25 to 15.79, with a mean value of 14.25, and there is an obvious turning point at the depth of 12 cm approximately corresponding to the year 2000. The decrease in Corg/N may reflect the increase in the proportion of endogenous organic matter relative to the total organic matter in the lake; thus, the primary productivity of plankton in the lake was relatively high during this period.
The carbon isotopic composition of organic matter in lake sediments is important in identifying organic matter sources and reconstructing the changes in past productivity []. The carbon isotopic composition of organic matter in Hulun Lake sediments (δ13C) had a relatively large fluctuation range, varying from −27.39 to −26.79‰, with an average value of −27.09‰. The δ13C values had a small change range from the bottom to 26 cm of the sediment profile, beyond which there is an obvious decreasing trend from a minimum value at 17 cm, and, finally, a rapid increase from 18 cm to the surface layer of the sediment profile. The shift in δ13C values indicates that the productivity of the lake or the surrounding area of the lake changed during this period.
The nitrogen isotopic compositions (δ15N) can similarly help to identify sources of organic matter in lakes and reconstruct past productivity rates []. However, additional factors besides source discrepancy complicate interpretations of the nitrogen isotopic composition of organic matter in lake sediments, such as denitrification DIN in anoxic bottom water, seasonal changes in phytoplankton, and nitrogen fixation []. Thus, δ15N-assisted δ13C in organic matter tracing will provide more reliable results []. The nitrogen isotopic compositions (δ15N) in the Hulun Lake sediment profile show a large fluctuation range, varying from 5.89 to 7.97‰, with an average value of 7.05‰. The δ15N values change irregularly throughout the depth of the sediment profile, indicating that the processes of nitrogen isotopic fractionation could be affected by complicated factors that compare the carbon isotopes during the transportation and deposition of organic matter.
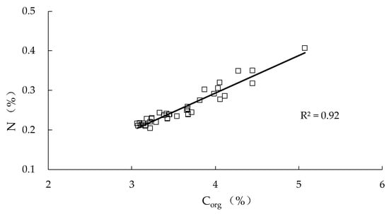
The correlation between Corg% and N% in the sediment core is shown in Figure 4. The changes in Corg% and N% at different depths were extremely consistent and in significant correlation with a correlation coefficient 0.92, indicating that organic carbon and nitrogen in lake sediment cores originated from the same source, while most nitrogen may exist as organic form in sediment.

Figure 4.
Relationships between Corg% values and N% values in lake sediment.
3.2. The Sources of Sedimentary Organic Matter in Hulun Lake
The diagram of the relationship between Corg/N ratios and δ13C values of sediment organic matter was successfully used to distinguish between the different organic matter sources in the sediment, as proposed by Meyers []. In this study, the diagram of the relationship between Corg/N ratios and δ13C values was plotted in Figure 5. Generally, plankton in fresh aquatic have low Corg/N ratios between 4 and 10, whereas vascular land plants with cellulose-rich and protein-poor traits usually have Corg/N ratios of 20 and greater. In contrast, soil organic matter have intermediate Corg/N ratios, ranging from 8 to 15 []. In the lake ecosystem, δ13C is another effective tracer used to identify the autochthonous and allochthonous organic matter sources of sediment. Autochthonous organic matter sources are produced by the biota within aquatic ecosystems, such as aquatic plants (δ13C values range from −20 to −12‰) and plankton (δ13C values range from −32 to −24‰) [], while allochthonous organic matter sources are derived from sources found in areas surrounding the lake, such as C3 terrestrial plants (δ13C values range from −33 and −24‰), C4 terrestrial plants (δ13C values range from −16 to −10‰), and soil organic matter (δ13C values range from −32 to −20‰) [,].

Figure 5.
Distributions of δ13C values and Corg/N values in sediment cores from Hulun Lake (red triangle) and diagram of potential identification of sources of organic matter using δ13C values and Corg/N values for sediment samples. (SOM denotes soil organic matter).
The δ13C values between −27.39 and −26.79‰ in lake sediment fall within a typical range for C3 terrestrial plants, soil organic matter, and plankton, while the δ13C values fall outside of the values for organic matter produced by C4 terrestrial plants. As the previous section described, since the low temperatures are not conducive to the growth of aquatic plants, the macrophytes are absent in Lake Hulun; thus, the Corg/N ratios range from 12.25 to 15.79 and δ13C values range from −27.39‰ to −26.79‰, suggesting that the contribution of organic matter to Hulun Lake sediment may mainly derived from a mixture of C3 terrestrial plants, soil organic matter, and lake plankton. Moreover, the Corg/N ratios and δ13C values were closer to the range for C3 terrestrial plants and soil organic matter, indicating that a greater proportion of organic matter in Hulun Lake sediment was derived from allochthonous sources.
Based on the binary models of Corg/N and δ13C, the relative proportions of allochthonous and autochthonous organic carbon are calculated, as shown in Figure 6 and Figure 7. The results show that the proportions of allochthonous organic carbon in the sediment core calculated via the Corg/N model varied from 72.9 to 88.6%, with an average value of 82.5%, and the proportions of autochthonous organic carbon calculated via the Corg/N model varied from 11.4 to 27.1%, with an average value of 17.5%. The results of δ13C model show that the proportions of allochthonous organic carbon in the sediment core varied from 80.5 to 89.4%, with an average value of 84.7%, and the proportions of autochthonous organic carbon varied from 10.6 to 19.5%, with an average value of 15.3%. Comparing the results calculated via the two models, it can be seen that the proportions of allochthonous and autochthonous organic carbon are relatively consistent. Furthermore, the organic matter in the sediments of Hulun Lake mainly comes from terrestrial organic matter, of which the proportion is more than 80%, while the proportion of endogenous plankton organic matter is less than 20%. The binary models’ results support the findings depicted in the diagram of the relationship between Corg/N ratios and δ13C values shown in Figure 5.

Figure 6.
Proportions of allochthonous (Cal) and autochthonous (Cau) organic carbon in lake sediment calculated via binary models of Corg/N.

Figure 7.
Proportions of allochthonous (Cal) and autochthonous (Cau) organic carbon in lake sediment calculated using δ13C values.
As shown in the vertical profiles of proportions of allochthonous and autochthonous organic carbon based on the binary models of Corg/N and δ13C (Figure 6 and Figure 7), obvious alterations occur in the upper 12 cm (corresponding to the approximate period after the year 2000) of the sediment core. The relative constant proportion of Cau began to increase and reached the maximum, while a continuous increase in proportion of Cal since 2000 was recorded, indicating that the productivity of phytoplankton in the lake increased during this period.
The SIAR mixing model outputs regarding the proportional contributions are presented in Table 3. The results show that terrestrial C3 plants-derived organic matter (average proportion of 76.0%) was the predominant source, while soil organic matter from the lake basin was the second source, with an average proportion of 13.9%. The lake phytoplankton- and lake zooplankton-derived organic matter were the smaller contributors, with average values of 6.9% and 3.2%, respectively. Therefore, the total proportion of allochthonous and autochthonous organic matter in Hulun Lake sediment can be calculated as being 89.9% and 10.1%, respectively. The values are close to the calculated results based on the binary models of Corg/N and δ13C, indicating the reliability of the model results based on δ13C and δ15N. In addition, these results also reveal that allochthonous organic matter input was the predominant source of sediment in Hulun Lake.

Table 3.
Relative contributions of putative sources of sedimentary organic matter in Hulun Lake calculated via SIAR mixing model.
3.3. The Environmental Effects during the Past 60 Years in Hulun Lake
3.3.1. Allochthonous Organic Matter
The concentrations of allochthonous organic matter in Hulun Lake sediment cores calculated via Corg/N ratio and δ13C values are shown in Figure 8. The results calculated via the two different methods are very consistent, which show that the organic matter from terrestrial sources began to increase significantly at the sediment depth of 25 cm (the corresponding year is about 1980). The contents of organic matter from terrestrial sources increased from 25 cm to the top of the sediment core, which range from 2.82 to 3.76% calculated via Corg/N ratio and 2.82 to 4.21% calculated via δ13C values.

Figure 8.
Concentrations of allochthonous (Cal) organic carbon in Hulun Lake sediment calculated via binary models of Corg/N ratio and δ13C values, respectively.
The changes in organic matter content in the lake are mainly controlled through the external input and the internal change in the lake. Generally, the increase in exogenous organic matter may be due to the changes in land use in the basin, as well as the domestic and industrial pollution generated via direct human activities. Hulun Lake is located in Hulunbeier Grassland in the north of China, and is, thus, surrounded by grassland. Human activities mainly include grazing without industrial pollution and large-scale urban domestic sewage discharge, and there is no strong non-point source pollution caused by livestock manure []. In addition, the upstream catchment areas of the lake’s main discharge rivers are located in the sparsely populated mountainous areas, which have no direct discharge of pollutants. Thus, the sources of organic matter in Hulun Lake are mainly plant debris, hay, soil, etc. from the surrounding grassland, which are carried into the lake by rivers and winds.
The vegetation coverage condition is the main factor that controls the loss of surface materials caused by soil erosion or wind erosion. Hulun Lake basin is mainly covered by grassland, and most of the area is used by local herdsmen for grazing. Due to the lack of awareness of grassland environmental protection rules, herdsmen usually adopt the most primitive grazing system. This problematic grazing system may cause serious damage to the grassland and aggravate the water and soil loss. Researchers evaluated the grassland soil loss caused by different grazing intensities, indicating that grassland degradation will occur if the grazing intensity reaches 0.5–0.6 sheep per hectare []. In recent years, some researchers also carried out research on the impact of different grazing systems and grazing amounts on the grassland in the Hulun Lake basin. Onda Y. et al. conducted a survey on the grassland in the Klulan River basin in Mongolia, which is a sub-basin of the Hulun Lake basin, showing that the number of grazing livestock in the region increased from the 1980s, and the number of sheep converted from grazing intensity was 0.8 sheep per hectare in the 2000s []. Furthermore, the grazing intensity in parts of the Hulun Lake basin even reached to 1.7 sheep per hectare in recent years, according to the survey of the grassland in Hulunbeier City []. It can be seen that the grazing intensity in the Hulun Lake basin exceeded the reasonable grazing range (0.5–0.6 sheep per hectare), which could have an impact on its grassland ecosystem. Thus, overgrazing system may be a critical factor affecting the degradation of grassland in Hulun Lake basin, resulting in an increase in soil and water loss as the materials are carried into the lake.
As discussed previously, the organic matter of lake sediment from terrestrial sources began to increase significantly from the year 1980, which is consistent with the time when grazing intensity started to increase in the basin, indicating that the increase in grazing intensity in the lake basin may be the main reason for the increase in organic matter entering the lake.
3.3.2. Autochthonous Organic Matter
The concentrations of autochthonous organic matter in Hulun Lake sediment cores calculated via the Corg/N ratio and δ13C values are shown in Figure 9. The results calculated via the two different methods are also very consistent, which shows that the content of organic matter from endogenous lake-derived sources remained stable below the sediment depth of 12 cm, before beginning to increase significantly at the sediment depth of 12 cm (the corresponding period is about 2000), with a range from 0.65 to 1.31% calculated via the Corg/N ratio and 0.55 to 0.86% calculated via δ13C values. These results show that the nutrients in the lake were sufficient in the period after 2000, which was conducive to the growth of plankton and improved the productivity of the lake.

Figure 9.
Concentrations of autochthonous (Cau) organic carbon in Hulun Lake sediment calculated via binary models of Corg/N ratio and δ13C values, respectively.
For closed lakes in arid and semi-arid regions, their hydrochemistry is very sensitive to climate change and hydrological processes. Due to the reduction in precipitation and possible upstream artificial closure, the water supply from two discharge rivers of Hulun Lake decreased rapidly since 2000, from 17.5 × 108 m3 in 1999 to to 2.5 × 108 m3 in 2011. Due to cold and dry climate conditions, the water level of Hulun Lake dropped sharply since 2000. Compared to the highest water level, the water level dropped by a maximum of 4 m, making it unable to flow out through the outlet; thus, the lake became a closed lake. Furthermore, the substances in the lake could not be exchanged with outside sources, and the amount of water replenished by rivers was far from balanced with the strong evaporation loss experiencd in the lake, which made the substances in the lake become gradually more concentrated. Monitoring data gathered from Lake Hulun over the past 20 years (1994–2015) also show that the nutrient (TN and TP) concentrations increased and the lake experienced eutrophication from the year 2000 (Figure 2). This period of time is very consistent with the results of sediment records. In this period, the high concentration of nutrients in the lake could have benefitted the growth of lake plankton, resulting in increased autochthonous organic matter content being deposited in Hulun Lake sediment. In addition, this finding also reveals that the reduction in rivers’ discharge and the downgrading of lake water level were the immediate causes of the lake’s environmental deterioration during this period.
4. Conclusions
The variation patterns of organic matter components and isotope signatures of C and N were exhibited in a dated sediment core of Hulun Lake in this study. Multiple models based on the stoichiometric ratios and stable isotopic compositions revealed that terrestrial C3 plants-derived organic matter was the predominant source of sediment in Hulun Lake. The variation patterns of organic matter in the sediment were associated with the impact of human activities and climatic changes, especially those related to grazing, inflow discharge, and the lake water level. The organic matter of lake sediment from terrestrial sources began to increase significantly from the year 1980, which is consistent with the time when grazing intensity started to increase in the basin, indicating that overgrazing in the lake basin may be the main reason for the increase in organic matter entering the lake. The content of organic matter from endogenous lake-derived sources began to increase significantly after 2000, indicating that high concentrations of nutrients in the lake could be beneficial to the growth of lake plankton, resulting in increased autochthonous organic matter content being deposited in Hulun Lake sediment. In addition, it also revealed that the reduction in rivers’ discharge and the downgrading of the lake water level was the immediate cause of the lake’s environmental deterioration during this period. These results highlight the need to pay attention to the inputs of terrestrial organic matter in Hulun Lake and take measures to control the decline in the lake’s water level.
Author Contributions
H.G. and Y.F. designed and performed research. H.G., R.Z. and G.W. wrote the paper. Z.Z., L.L., L.W. and S.L. assisted experiment, Z.J., X.Z. and J.W. provided comments. All authors have read and agreed to the published version of the manuscript.
Funding
This research was supported by the Natural Science Foundation of Henan (No. 222300420106), the National College Students’ Innovation and Entrepreneurship Training Program (No. 202211765003), the Henan Provincial Department of Education Key Project (No. 19A210008, 19B570001, 21B610002), the Science and Technology Project of Henan Province (No. 212102310277, No. 232102320132, No. 232102320115), and the Project of Young Core Instructors of Henan University of Urban Construction (No. YCJQNGGJS202103).
Data Availability Statement
The data that support the findings of this study are available from the authors upon reasonable request.
Acknowledgments
Comments from the anonymous reviewers are appreciated.
Conflicts of Interest
The authors declare no conflict of interest.
References
- Liu, C.; Dong, Y.; Li, Z.; Chang, X.; Nie, X.; Liu, L.; Xiao, H.; Bashir, H. Tracing the source of sedimentary organic carbon in the Loess Plateau of China: An integrated elemental ratio, stable carbon signatures, and radioactive isotopes approach. J. Environ. Radioactiv. 2016, 167, 201–210. [Google Scholar] [CrossRef]
- Rumolo, P.; Barra, M.; Gherardi, S.; Marsella, E.; Sprovieri, M. Stable isotopes and C/N ratios in marine sediments as a tool for discriminating anthropogenic impact. J. Environ. Monit. 2011, 13, 3399–3408. [Google Scholar] [CrossRef] [PubMed]
- Feng, W.; Wang, T.; Zhu, Y.; Sun, F.; Giesy, J.P.; Wu, F. Chemical composition, sources, and ecological effect of organic phosphorus in water ecosystems: A review. Carbon Res. 2023, 2, 12. [Google Scholar] [CrossRef]
- Fornace, K.L.; Whitney, B.S.; Galy, V.; Hughen, K.A.; Mayle, F.E. Late quaternary environmental change in the interior South American tropics: New insight from leaf wax stable isotopes. Earth Planet. Sci. Lett. 2016, 438, 75–85. [Google Scholar] [CrossRef]
- Zhuo, Y.; Zeng, W.; Cui, D.; Ma, B.; Xie, Y.; Wang, J. Spatial-temporal variation, sources and driving factors of organic carbon burial in rift lakes on Yunnan-Guizhou plateau since 1850. Environ. Res. 2021, 201, 111458. [Google Scholar] [CrossRef]
- Chen, F.X.; Fang, N.F.; Wang, Y.X.; Tong, L.S.; Shi, Z.H. Biomarkers in sedimentary sequences: Indicators to track sediment sources over decadal timescales. Geomorphology 2017, 278, 1–11. [Google Scholar] [CrossRef]
- Märki, L.; Lupker, M.; Gajurel, A.P.; Gies, H.; Haghipour, N.; Gallen, S. Molecular tracing of riverine soil organic matter from the central Himalaya. Geophys. Res. Lett. 2020, 47, e2020GL087403. [Google Scholar] [CrossRef]
- Chen, J.; Yang, H.; Zeng, Y.; Guo, J.; Song, Y.; Ding, W. Combined use of radiocarbon and stable carbon isotope to constrain the sources and cycling of particulate organic carbon in a large freshwater lake, China. Sci. Total Environ. 2018, 625, 27–38. [Google Scholar] [CrossRef]
- Lu, L.; Cheng, H.G.; Pu, X.; Wang, J.; Cheng, Q.; Liu, X. Identifying organic matter sources using isotopicratios in a watershed impacted by intensive agricultural activities in Northeast China. Agric. Ecosyst. Environ. 2016, 222, 48–59. [Google Scholar] [CrossRef]
- Tue, N.T.; Hamaoka, H.; Sogabe, A.; Quy, T.D.; Nhuan, M.T.; Omori, K. The application of δ13C and C/N ratios as indicators of organic carbon sources and paleoenvironmental change of the mangrove ecosystem from Ba Lat Estuary, Red River, Vietnam. Environ. Earth Sci. 2011, 64, 1475–1486. [Google Scholar] [CrossRef]
- Qian, J.L.; Wang, S.M.; Xue, B.; Chen, R.S.; Ke, S.Z. A method of quantitatively calculating amount of allochthonous organic carbon in lake sediments. Chin. Sci. Bull. 1997, 42, 1821–1823. [Google Scholar] [CrossRef]
- Nosrati, K.; Govers, G.; Semmens, B.X.; Ward, E.J. A mixing model to incorporate uncertainty in sediment fingerprinting. Geoderma 2014, 217–218, 173–180. [Google Scholar] [CrossRef]
- Stock, B.C.; Jackson, A.L.; Ward, E.J.; Parnell, A.C.; Phillips, D.L.; Semmens, B.X. Analyzing mixing systems using a new generation of Bayesian tracer mixing models. PeerJ 2018, 6, e5096. [Google Scholar] [CrossRef] [PubMed]
- Phillips, D.L. Mixing models in analyses of diet using multiple stable isotopes: A critique. Oecologia 2001, 127, 166–170. [Google Scholar] [CrossRef]
- Li, S.; Xia, X.; Zhang, S.; Zhang, L. Source identification of suspended and deposited organic matter in an alpine river with elemental, stable isotopic, and molecular proxies. J. Hydrol. 2020, 590, 125492. [Google Scholar] [CrossRef]
- Li, Z.; Wang, S.; Nie, X.; Sun, Y.; Ran, F. The application and potential non-conservatism of stable isotopes in organic matter source tracing. Sci. Total Environ. 2022, 838, 155946. [Google Scholar] [CrossRef]
- Moore, J.W.; Semmens, B.X. Incorporating uncertainty and prior information into stable isotope mixing models. Ecol. Lett. 2008, 11, 470–480. [Google Scholar] [CrossRef]
- Parnell, A.; Inger, R.; Bearhop, S.; Jackson, A.L. SIAR: Stable Isotope Analysis in R. 2008. Available online: http://cran.rproject.org/web/packages/siar/index.html (accessed on 2 May 2009).
- Zhang, K.J. Genesis of the Late Mesozoic Great Xing’an Range Large Igneous Province: A Mongol–Okhotsk slab window model. Int. Geol. Rev. 2014, 56, 1557–1583. [Google Scholar] [CrossRef]
- Zhang, K.J.; Yan, L.L.; Ji, C. Switch of NE Asia from extension to contraction at the mid-Cretaceous: A tale of the Okhotsk oceanic plateau from initiation by the Perm Anomaly to extrusion in the Mongol–Okhotsk ocean? Earth-Sci. Rev. 2019, 198, 102941. [Google Scholar] [CrossRef]
- Chen, X.; Chuai, X.; Yang, L.; Zhao, H. Climatic warming and overgrazing induced the high concentration of organic matter in Lake Hulun, a large shallow eutrophic steppe lake in northern China. Sci. Total Environ. 2012, 431, 332–338. [Google Scholar] [CrossRef]
- Li, Z.; Li, X.; Wang, X.; Ma, J.; Xu, J.; Xu, X. Isotopic evidence revealing spatial heterogeneity for source and composition of sedimentary organic matters in Taihu Lake, China. Ecol. Indic. 2020, 109, 105854.1–105854.10. [Google Scholar] [CrossRef]
- Fang, J.; Wu, F.; Xiong, Y.; Li, F.; Du, X.; An, D.; Wang, L. Source characterization of sedimentary organic matter using molecular and stable isotopic composition of n-alkanes and fatty acids in sediment core from Lake Dianchi, China. Sci. Total Environ. 2014, 473–474, 410–421. [Google Scholar] [CrossRef] [PubMed]
- Xu, Z.J.; Jiang, F.Y.; Zhao, H.W.; Zhang, Z.B.; Sun, L. Annals of Hulun Lake; Jilin Literature and History Publishing House: Jilin, China, 1989. [Google Scholar]
- Sun, B.; Li, C.Y.; Zhang, S.; Zhao, S.N. Analysis of Hulun digital basin based on spatial information technology. Environ. Pollut. Control. 2010, 32, 5–19. [Google Scholar]
- Onda, Y.; Kato, H.; Tanaka, Y.; Tsujimura, M.; Davaa, G.; Oyunbaatar, D. Analysis of runoff generation and soil erosion processes by using environmental radionuclides in semiarid areas of Mongolia. J. Hydrol. 2007, 333, 124–132. [Google Scholar] [CrossRef]
- Wang, G. Land Use and Land Cover Change of Hulun Lake Nature Reserve in Inner Mongolia, China: A Modeling Analysis. Exp. Parasitol. 2012, 131, 210–214. [Google Scholar] [CrossRef]
- Liang, L.E.; Li, C.Y.; Shi, X.H.; Zhao, S.N.; Tian, Y.; Zhang, L.J. Analysis on the eutrophication trends and affecting factors in Lake Hulun, 2006–2015. J. Lake Sci. 2016, 28, 1265–1273. [Google Scholar]
- Chuai, X.; Chen, X.; Yang, L.; Zeng, J.; Miao, A.; Zhao, H. Effects of climatic changes and anthropogenic activities on lake eutrophication in different ecoregions. Int. J. Environ. Sci. Technol. 2012, 9, 503–514. [Google Scholar] [CrossRef]
- GB3838-2002; Environmental Quality Standard for Surface Water. State Environmental Protection Administration: Beijing, China, 2002.
- Gao, H.; Zhang, R.; Wang, G.; Fan, Y.; Zhu, X.; Wu, J.; Wu, L. A dam construction event recorded by high-resolution sedimentary grain size in an outflow-controlled lake (Hulun Lake, China). Water 2022, 14, 3878. [Google Scholar] [CrossRef]
- Lu, C.; He, J.; Sun, H.; Xue, H. Application of allochthonous organic carbon and phosphorus forms in the interpretation of past environmental conditions. Environ. Geol. 2008, 55, 1279–1289. [Google Scholar] [CrossRef]
- Meyers, P.A. Applications of organic geochemistry to paleolimnological reconstructions: A summary of examples from the Laurentian Great Lakes. Org. Geochem. 2003, 34, 261–289. [Google Scholar] [CrossRef]
- Kiyokazu, K.; Kurosu, M.; Cheng, Y.; Tsendeekhuu, T.; Wu, Y.; Nakamura, T. Floristic composition, grazing effects and above-ground plant biomass in the Hulunbeier Grasslands of Inner Mongolia, China. J. Ecol. Field Biol. 2008, 31, 297–307. [Google Scholar]
- Wang, Y.T.; Wang, X.; Zhu, G.D.; Zhao, T.Q.; Jia, L.X.; Zhao, M.L. Responses of water and nitrogen use efficiency to stocking raters in C3, C4 plants of stipa-breviflora steppe in Inner Mongolia. Chin. J. Grassl. 2017, 39, 59–64. [Google Scholar]
- Liu, X.Z.; Zhang, Y.; Su, Q.; Li, Z.; Feng, T.; Song, Y. Gradient variation of δ15N values in herbs and its indication to environmental information in the agro-pastoral ecotone in the north of China. J. Univ. Chin. Acad. Sci. 2018, 35, 749–760. [Google Scholar]
- Liang, H. Study on Geographical Distribution Characteristics of Carbon and Nitrogen Stable Isotopes and Elemental of Lake Primary Producers and Zooplankton in Eastern Yunnan. Master’s Thesis, Yunnan Normal University, Kunming, China, 2019. [Google Scholar]
- Last, W.M.; Smol, J.P. Tracking Environmental Change Using Lake Sediments: Physical and Geochemical Methods; Springer: Dordrecht, The Netherlands, 2001; pp. 401–439. [Google Scholar]
- Liu, C.; Li, Z.; Berhe, A.A.; Hu, B.X. The isotopes and biomarker approaches for identifying eroded organic matter sources in sediments: A review. Adv. Agron. 2020, 162, 257–303. [Google Scholar]
- Kendall, C.; Silva, S.R.; Kelly, V.J. Carbon and nitrogen isotopic compositions of particulate organic matter in four large river systems across the United States. Hydrol. Process. 2001, 15, 1301–1346. [Google Scholar] [CrossRef]
- Lee, Y.; Hong, S.; Kim, M.S.; Kim, D.; Choi, B.H.; Hur, J. Identification of sources and seasonal variability of organic matter in Lake Sihwa and surrounding inland creeks, South Korea. Chemosphere 2017, 177, 109–119. [Google Scholar] [CrossRef]
- Evans, R. Overgrazing and soil erosion on hill pastures with particular reference to the Peak District. Grass Forage Sci. 1977, 32, 65–76. [Google Scholar] [CrossRef]
Disclaimer/Publisher’s Note: The statements, opinions and data contained in all publications are solely those of the individual author(s) and contributor(s) and not of MDPI and/or the editor(s). MDPI and/or the editor(s) disclaim responsibility for any injury to people or property resulting from any ideas, methods, instructions or products referred to in the content. |
© 2023 by the authors. Licensee MDPI, Basel, Switzerland. This article is an open access article distributed under the terms and conditions of the Creative Commons Attribution (CC BY) license (https://creativecommons.org/licenses/by/4.0/).