Modeling Multi-Objective Optimization with Updating Information on Humanitarian Response to Flood Disasters
Abstract
1. Introduction
2. Literature Review
3. Mathematical Modeling
3.1. Problem Description
3.2. Notations and Assumptions
- The probability () of the certain observed information in the flood.
- Mixing of the same kind of resources is allowed, but the mixing of multiple supplies is unworkable.
- Information regarding the road network in the hardest-hit areas can be done by satellite images, helicopters or drones.
- The number of people in the affected area is known, and the demand at each node has a linear function of its capacity.
- Each crew departing from the rescue nodes must visit at least one trapped node through its route, and each trapped node should be visited by at least a team at the end of the task.
3.3. Model Formulation
3.3.1. The Upper-Level Modeling
3.3.2. The Lower-Level Modeling
4. Methodology
5. Results and Discussion
5.1. Data for Numerical Studies
5.2. Computational Results
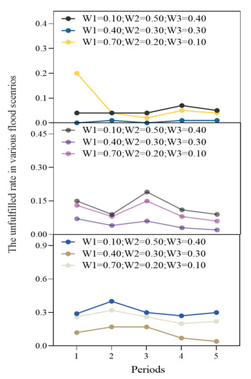
5.2.1. Ideal Weight of Sub-Objectives for Humanitarian Rescue
5.2.2. Humanitarian Scheme Impacted by the Flood Disaster
6. Conclusions and Future Work
Author Contributions
Funding
Institutional Review Board Statement
Informed Consent Statement
Data Availability Statement
Conflicts of Interest
References
- EM-DAT. The International Disaster Database. Available online: http://www.emdat (accessed on 11 July 2021).
- Annis, A.; Nardi, F.; Petroselli, A.; Apollonio, C.; Arcangeletti, E.; Tauro, F.; Belli, C.; Bianconi, R.; Grimaldi, S. UAV-DEM for small-scale flood hazard mapping. Water 2020, 12, 1717. [Google Scholar] [CrossRef]
- Liu, Z.; Yang, Z.; Chen, M.; Xu, H.; Yang, Y.; Zhang, J.; Wu, Q.; Wang, M.; Song, Z.; Ding, F. Research hotspots and frontiers of mountain flood disaster: Bibliometric and visual analysis. Water 2023, 15, 673. [Google Scholar] [CrossRef]
- Syed Muzamil, S.A.H.B.; Zainun, N.Y.; Ajman, N.N.; Sulaiman, N.; Khahro, S.H.; Rohani, M.M.; Mohd, S.M.B.; Ahmad, A. Proposal framework for the flood disaster management cycle in Malaysia. Sustainability 2022, 14, 4088. [Google Scholar] [CrossRef]
- Esposito, A.; Amideo, A.; Scaparra, M.P.; Kotiadis, K. Optimising shelter location and evacuation routing operations: The critical issues. Eur. J. Oper. Res. 2019, 279, 279–295. [Google Scholar] [CrossRef]
- Ukkusuri, S.V.; Hasan, S.; Luong, B.; Doan, K.; Zhan, X.; Murray-Tuite, P.; Yin, W. A-RESCUE: An agent based regional evacuation simulator coupled with user enriched behavior. Netw. Spat. Econ. 2017, 17, 197–223. [Google Scholar] [CrossRef]
- Bayram, V. Optimization models for large scale network evacuation planning and management: A literature review. Surv. Oper. Res. Manag. 2016, 21, 63–84. [Google Scholar] [CrossRef]
- Tofighi, S.; Torabi, S.A.; Mansouri, S.A. Humanitarian logistics network design under mixed uncertainty. Eur. J. Oper. Res. 2016, 250, 239–250. [Google Scholar] [CrossRef]
- Shahparvari, S.; Abbasi, B.; Chhetri, P. Possibilistic scheduling routing for short-notice bushfire emergency evacuation under uncertainties: An Australian case study. Omega 2017, 72, 96–117. [Google Scholar] [CrossRef]
- Elçi, Ö.; Noyan, N. A chance-constrained two-stage stochastic programming model for humanitarian relief network design. Transp. Res. Part B. 2018, 108, 55–83. [Google Scholar] [CrossRef]
- Sharkey, T.C.; Cavdaroglu, B.; Nguyen, H.; Holman, J.; Mitchell, J.E.; Wallace, W.A. Interdependent network restoration: On the value of information-sharing. Eur. J. Oper. Res. 2015, 244, 309–321. [Google Scholar] [CrossRef]
- Iloglu, S.; Albert, L.A. An integrated network design and scheduling problem for network recovery and emergency response. Oper. Res. Perspect. 2018, 5, 218–231. [Google Scholar] [CrossRef]
- Zhang, B.; Li, H.; Li, S.; Peng, J. Sustainable multi-depot emergency facilities location-routing problem with uncertain information. Appl. Math. Comput. 2018, 333, 506–520. [Google Scholar] [CrossRef]
- Vahdani, B.; Veysmoradi, D.; Noori, F.; Mansour, F. Two-stage multi-objective location-routing inventory model for humanitarian logistics network design under uncertainty. Int. J. Disaster Risk Reduct. 2018, 27, 290–306. [Google Scholar] [CrossRef]
- Yáñez-Sandivari, L.; Cortés, C.E.; Rey, P.A. Humanitarian logistics and emergencies management: New perspectives to a sociotechnical problem and its optimization approach management. Int. J. Disaster Risk Reduct. 2021, 52, 101952. [Google Scholar] [CrossRef]
- Ertem, M.A.; Akdogan, M.A.; Kahya, M. Intermodal transportation in humanitarian logistics with an application to a Turkish network using retrospective analysis. Int. J. Disast. Risk Reduct. 2022, 72, 102828. [Google Scholar] [CrossRef]
- Shao, J.; Wang, X.; Liang, C.; Holguín-Veras, J. Research progress on deprivation costs in humanitarian logistics. Int. J. Disaster Risk Reduct. 2020, 42, 101343. [Google Scholar] [CrossRef]
- Liebig, T.; Piatkowski, N.; Bockermann, C.; Morik, K. Dynamic route planning with real-time traffic predictions. Inform. Syst. 2017, 64, 258–265. [Google Scholar] [CrossRef]
- Rodríguez-Espíndola, O.; Gaytán, J. Scenario-based preparedness plan for floods. Nat. Hazards 2015, 76, 1241–1262. [Google Scholar] [CrossRef]
- Akbari, V.; Salman, F.S. Multi-vehicle synchronized arc routing problem to restore post-disaster network connectivity. Eur. J. Oper. Res. 2017, 257, 625–640. [Google Scholar] [CrossRef]
- Li, S.; Ma, Z.; Teo, K.L. A new model for road network repair after natural disasters: Integrating logistics support scheduling with repair crew scheduling and routing activities. Comput. Ind. Eng. 2020, 145, 106–506. [Google Scholar] [CrossRef]
- Alem, D.; Clark, A.; Moreno, A. Stochastic network models for logistics planning in disaster relief. Eur. J. Oper. Res. 2016, 255, 187–206. [Google Scholar] [CrossRef]
- Renkli, Ç.; Duran, S. Pre-Positioning Disaster Response Facilities and Relief Items. Hum. Ecol. Risk. Assess. 2015, 21, 1169–1185. [Google Scholar] [CrossRef]
- Xu, G.; Wang, J.; Huang, G.Q.; Chen, C. Data-driven resilient fleet management for cloud asset-enabled urban flood control. IEEE T. Intell. Transp. Syst. 2018, 19, 1827–1838. [Google Scholar] [CrossRef]
- Rennemo, S.J.; Rø, K.F.; Hvattum, L.M.; Tirado, G. A three-stage stochastic facility routing model for disaster response planning. Transp. Res. Part E. 2014, 62, 116–135. [Google Scholar] [CrossRef]
- Moreno, A.; Alem, D.; Gendreau, M.; Munari, P. The heterogeneous multi-crew scheduling and routing problem in road restoration. Transp. Res. Part B. 2020, 141, 24–58. [Google Scholar] [CrossRef]
- Duque, P.A.M.; Dolinskaya, I.S.; Sörensen, K. Network repair crew scheduling and routing for emergency relief distribution problem. Eur. J. Oper. Res. 2016, 248, 272–285. [Google Scholar] [CrossRef]
- Fiedrich, F.; Gehbauer, F.; Rickers, U. Optimized resource allocation for emergency response after earthquake disaster. Saf. Sci. 2000, 35, 41–57. [Google Scholar] [CrossRef]
- Ajam, M.; Akbari, V.; Salman, F.S. Minimizing latency in post-disaster road clearance operations. Eur. J. Oper. Res. 2019, 277, 1098–1126. [Google Scholar] [CrossRef]
- Ahmadi, M.; Seifi, A.; Tootooni, B. A humanitarian logistics model for disaster relief operation considering network failure and standard relief time: A case study on San Francisco district. Transp. Res. Part E. 2015, 75, 145–163. [Google Scholar] [CrossRef]
- Rajakaruna, S.; Wijeratne, A.W.; Mann, T.S.; Yan, C. Identifying key skill sets in humanitarian logistics: Developing a model for Sri Lanka. Int. J. Disast. Risk Reduct. 2017, 24, 58–65. [Google Scholar] [CrossRef]
- Huang, K.; Jiang, Y.; Yuan, Y.; Zhao, L. Modeling multiple humanitarian objectives in emergency response to large-scale disasters. Transp. Res. Part E 2015, 75, 1–17. [Google Scholar] [CrossRef]
- Peng, M.; Peng, Y.; Chen, H. Post-seismic supply chain risk management: A system dynamics disruption analysis approach for inventory and logistics planning. Comput. Oper. Res. 2014, 42, 14–24. [Google Scholar] [CrossRef]
- Baskaya, S.; Ertem, M.A.; Duran, S. Pre-positioning of relief items in humanitarian logistics considering lateral transhipment opportunities. Socioecon. Plann. Sci. 2017, 57, 50–60. [Google Scholar] [CrossRef]
- Qiu, B.J.; Zhang, J.H.; Qi, Y.T.; Liu, Y. Grey-theory-based optimization model of emergency logistics considering time uncertainty. PLoS ONE 2015, 10, e0139132. [Google Scholar] [CrossRef] [PubMed]
- Akbari, V.; Sadati, M.E.H.; Kian, R. A decomposition-based heuristic for a multicrew coordinated road restoration problem. Transp. Res. Part D. 2021, 95, 102854. [Google Scholar] [CrossRef]
- Chanta, S.; Mayorga, M.E.; McLay, L.A. Improving emergency service in rural areas: A bi-objective covering location model for EMS systems. Ann. Oper. Res. 2014, 221, 133–159. [Google Scholar] [CrossRef]
- Belfiore, P.C.; Yoshida Yoshizaki, H.T. Scatter search for a real-life heterogeneous fleet vehicle routing problem with time windows and split deliveries in Brazil. Eur. J. Oper. Res. 2009, 199, 750–758. [Google Scholar] [CrossRef]
- Moreno, A.; Munari, P.; Alem, D. A branch-and-Benders-cut algorithm for the Crew Scheduling and Routing Problem in road restoration. Eur. J. Oper. Res. 2019, 275, 16–34. [Google Scholar] [CrossRef]
- Zhao, X.; Li, H.; Qi, Y. Are Chinese cities prepared to manage the risks of extreme weather events? Evidence from the 07, 20. Zhengzhou Flood in Henan Province. SSRN Electron. J. 2021, 4, 3303. [Google Scholar]
- Wu, Z.; Shen, Y. Assessing urban areas’ vulnerability to flood disaster based on text data: A case study in Zhengzhou City. Sustainability 2019, 11, 4548. [Google Scholar] [CrossRef]
- Yao, S.; Du, W.; Chen, N.; Wang, C.; Chen, Z. An integrated process-based framework for flood phase segmentation and assessment. Int. J. Geogr. Inf. Sci. 2023, 37, 1315–1337. [Google Scholar] [CrossRef]
- Available online: https://www.henan.gov.cn (accessed on 24 August 2022).
- Duan, Y.; Gao, Y.G.; Zhang, Y.; Li, H.; Li, Z.; Zhou, Z.; Tian, G.; Lei, Y. “The 20 July 2021 major flood event” in greater Zhengzhou, China: A case study of flooding severity and landscape characteristics. Land 2022, 11, 1921. [Google Scholar] [CrossRef]
- Wang, J.; Hu, C.; Ma, B.; Mu, X. Rapid urbanization impact on the hydrological processes in Zhengzhou, China. Water 2020, 12, 1870. [Google Scholar] [CrossRef]














| Sets and Indices | Definitions |
|---|---|
| A set of the rescue nodes of work teams; | |
| A set of the trapped sites in the disaster; | |
| A set of demand nodes; | |
| A set of reliefs centers; | |
| t | The observed time variables; |
| , | The interrupted or damaged road; |
| Categories of reliefs; | |
| Sets of emergency service vehicles; | |
| The possible set of flood scenarios; | |
| Parameters | |
| H | The fixed time between two adjacent observation moments; |
| The distance from the node l to node ; | |
| ε | The critical value of the waterlogged road which meets the traffic condition, 0ε1; |
| γ | The threshold value of whether the road network is passable, γ1; |
| The critical value of the waterlogged road, which is restorative, ε1; | |
| The corrected parameter of deterioration coefficient; | |
| The correction factor of repairability; | |
| , , | Coefficients affected by the connectivity of road network; |
| The survival probability of the trapped node e that was impacted by emergency rescue node j; | |
| Results of the observed information at time t; | |
| The prior probability of flood disaster; | |
| The probability of the flood scenario , which can be understood as the posterior probability of disaster by using the Bayesian theorem; | |
| The occurred probability of observable information under the flood scenario at time t; | |
| The waterlogged degree of road where emergency team k that dispatched from the rescue point j to node e; | |
| The fuzzy demand for reliefs c per capita, dc =; | |
| The fuzzy capacity of emergency crew k, = ; | |
| Number of victims in the trapped node e at time t; | |
| The actual number of people in node at time t; | |
| The upper limit that node w can accommodate victims at time t; | |
| Quantity of relief supplies c distributed by emergency distribution center l to node i, = (). The upper and lower limits of the interval numbers are denoted by , respectively; | |
| The loaded capacity of each type of emergency service vehicle; | |
| Number of the type of vehicles that dispatched by emergency distribution center l; | |
| Rl | The capacity of emergency distribution center () for dealing with reliefs. = (), parameters explain the upper and lower limits of the interval numbers; |
| Mj | Number of emergency rescue teams deployed from the node j; |
| The waterlogged degree of between node l and node ; | |
| Rescuing time of emergency rescue team k from node j to the node e; | |
| Traveling time of the type of vehicle to transport reliefs c from node l and node ; | |
| The actual time of emergency rescue team k that aims to rescue the node e; | |
| The restorative time from node l and node ; | |
| The rehabilitation time of road network from node j and node e; | |
| The time point when the survival probability of victims in the node e is 0.5; | |
| The average speed of the type of vehicle , which contributes to transporting the supplies c from node l to node i; | |
| The remained quality of reliefs supplies c after arriving the node i by the type of vehicle ; | |
| = 1, if emergency work team is responsible for the trapped node ; 0, otherwise; | |
| = 1, if emergency crew k completes humanitarian work for the trapped node e, and still moves to the next node g; 0, otherwise; | |
| = 1, if the trapped node e is processed by emergency rescue crew, which is assigned by the node j; 0 otherwise; | |
| = 1, if a node is visited by the type of vehicle that loading reliefs c, which is assigned by reliefs center l; 0, otherwise; |
| Rainfall (mm) | Scenarios | ||
|---|---|---|---|
| Mild | Moderate | Severe | |
| 300 | 0.48 | 0.22 | 0.3 |
| 420 | 0.28 | 0.4 | 0.32 |
| 450 | 0.3 | 0.25 | 0.45 |
| 500 | 0.36 | 0.2 | 0.44 |
| Parameters | Value | Parameters | Value |
|---|---|---|---|
| r | 0.85 | (10.48, 12.05, 14.93) | |
| μ | 0.85 | (7.13, 7.96, 9.46) | |
| 2.16 | (7.46, 9.34, 11.86) | ||
| τ | 1.50 | (7.58, 9.35, 11.94) | |
| 1.22 | (8.27, 10.14, 12.03) | ||
| 0.56 | (20.00, 19.95, 20.08) | ||
| H | 3600 (s) | (7.95, 11.09, 13.45) | |
| 0.40 | (9.31, 13.27, 15.61) | ||
| 0.60 | (9.63, 14.79, 16.23) | ||
| 0.85 | (8.69, 9.86, 14.17) | ||
| 0.45 | (10.32, 12.84, 14.32) | ||
| (3, 13) | (14.72, 13.46, 13.58) | ||
| (4, 12) | (17.35, 14.68, 13.37) | ||
| 45 (tons) | (0.6, 0.3, 0.1) | ||
| 9 (tons) | (11.56, 13.26, 15.97) | ||
| (2, 12) | (9.93, 12.78, 15.35) | ||
| 50 (km/h) | 60 (km/h) |
| Scenarios | Period | Emergency Distribution Center | |||||
|---|---|---|---|---|---|---|---|
| DL | SD | DG | |||||
| Medical Reliefs | Living Reliefs | Medical Reliefs | Living Reliefs | Medical Reliefs | Living Reliefs | ||
| Light | 1 | [19.00, 22.00] | [400.00, 465.00] | [17.00, 22.50] | [390.00, 430.00] | [21.00, 25.00] | [430.00, 480.00] |
| 2 | [16.00, 19.00] | [350.40, 441.75] | [21.00, 25.00] | [351.00, 412.80] | [15.00, 19.00] | [374.10, 509.00] | |
| 3 | [18.00, 21.00] | [326.00, 419.66] | [16.00, 21.50] | [312.39, 365.00] | [14.00, 18.00] | [325.47, 520.00] | |
| 4 | [19.50, 25.80] | [285.58, 354.00] | [23.50, 28.00] | [306.14, 350.40] | [19.00, 23.00] | [510.41, 685.00] | |
| 5 | [20.00, 26.00] | [367.71, 450.00] | [19.00, 23.00] | [450.00, 600.00] | [18.00, 21.50] | [444.06, 516.00] | |
| Medium | 1 | [16.53, 21.34] | [318.40, 353.40] | [16.32, 21.60] | [374.40, 412.80] | [20.16, 24.00] | [412.80, 460.80] |
| 2 | [22.19, 24.64] | [278.92, 335.73] | [19.00, 23.00] | [336.96, 396.29] | [14.40, 18.24] | [359.14, 450.00] | |
| 3 | [15.66, 20.37] | [312.96, 410.00] | [15.36, 20.64] | [299.89, 400.00] | [20.00, 26.00] | [312.45, 524.00] | |
| 4 | [22.37, 25.03] | [274.15, 300.00] | [20.56, 24.88] | [293.90, 336.38] | [18.24, 22.08] | [489.99, 657.60] | |
| 5 | [17.40, 18.20] | [353.00, 427.00] | [18.24, 22.08] | [432.00, 576.00] | [17.28, 20.64] | [426.29, 495.36] | |
| Heavy | 1 | [13.89, 17.93] | [329.00, 437.00] | [13.71, 18.14] | [356.00, 437.00] | [20.16, 26.00] | [387.00, 465.00] |
| 2 | [18.64, 20.70] | [259.30, 360.00] | [15.96, 19.32] | [283.05, 398.00] | [15.50, 20.80] | [301.67, 378.00] | |
| 3 | [21.00, 27.00] | [260.00, 400.00] | [21.00, 24.70] | [251.91, 436.00] | [18.80, 20.00] | [420.00, 580.00] | |
| 4 | [20.79, 23.22] | [285.00, 370.00] | [17.27, 21.90] | [246.87, 320.00] | [20.00, 21.55] | [411.59, 552.38] | |
| 5 | [14.62, 19.90] | [272.10, 419.00] | [15.32, 22.55] | [483.00, 540.00] | [14.52, 19.55] | [358.09, 510.00] | |
| Emergency Timeliness and Equity | Periods | Scenarios | ||
|---|---|---|---|---|
| Low | Medium | Heavy | ||
| Equity for allocating medical relief | T = 1 | 0.94 | 0.95 | 0.97 |
| T = 2 | 0.87 | 0.94 | 0.96 | |
| T = 3 | 0.81 | 0.94 | 1.00 | |
| T = 4 | 0.99 | 1.00 | 1.00 | |
| T = 5 | 0.95 | 0.88 | 0.93 | |
| Equity for allocating daily supplies | T = 1 | 0.86 | 0.83 | 1.00 |
| T = 2 | 0.90 | 0.84 | 0.86 | |
| T = 3 | 0.87 | 0.90 | 0.97 | |
| T = 4 | 0.88 | 0.88 | 0.94 | |
| T = 5 | 0.99 | 0.99 | 1.00 | |
| Emergency timeliness of medical relief | T = 1 | 191.27 | 227.87 | 238.27 |
| T = 2 | 164.71 | 227.87 | 238.27 | |
| T = 3 | 164.71 | 227.87 | 238.27 | |
| T = 4 | 249.59 | 227.87 | 238.27 | |
| T = 5 | 191.27 | 183.95 | 238.27 | |
| Emergency timeliness of daily supplies | T = 1 | 242.35 | 247.86 | 324.25 |
| T = 2 | 238.83 | 250.43 | 273.32 | |
| T = 3 | 201.44 | 267.80 | 327.76 | |
| T = 4 | 215.01 | 249.70 | 291.03 | |
| T = 5 | 273.60 | 440.60 | 431.10 | |
Disclaimer/Publisher’s Note: The statements, opinions and data contained in all publications are solely those of the individual author(s) and contributor(s) and not of MDPI and/or the editor(s). MDPI and/or the editor(s) disclaim responsibility for any injury to people or property resulting from any ideas, methods, instructions or products referred to in the content. |
© 2023 by the authors. Licensee MDPI, Basel, Switzerland. This article is an open access article distributed under the terms and conditions of the Creative Commons Attribution (CC BY) license (https://creativecommons.org/licenses/by/4.0/).
Share and Cite
Ji, X.; Fu, S. Modeling Multi-Objective Optimization with Updating Information on Humanitarian Response to Flood Disasters. Water 2023, 15, 2122. https://doi.org/10.3390/w15112122
Ji X, Fu S. Modeling Multi-Objective Optimization with Updating Information on Humanitarian Response to Flood Disasters. Water. 2023; 15(11):2122. https://doi.org/10.3390/w15112122
Chicago/Turabian StyleJi, Xuehua, and Shaochuan Fu. 2023. "Modeling Multi-Objective Optimization with Updating Information on Humanitarian Response to Flood Disasters" Water 15, no. 11: 2122. https://doi.org/10.3390/w15112122
APA StyleJi, X., & Fu, S. (2023). Modeling Multi-Objective Optimization with Updating Information on Humanitarian Response to Flood Disasters. Water, 15(11), 2122. https://doi.org/10.3390/w15112122
