Study on Preparation of Rabbit Manure Biochar and Activation of Peroxymonosulfate for Rhodamine B Degradation
Abstract
1. Introduction
2. Materials and Methods
2.1. Reagents and Instruments
2.2. Preparation of Biochar
2.3. Experimental Scheme
2.4. Analysis Method
3. Results and Discussion
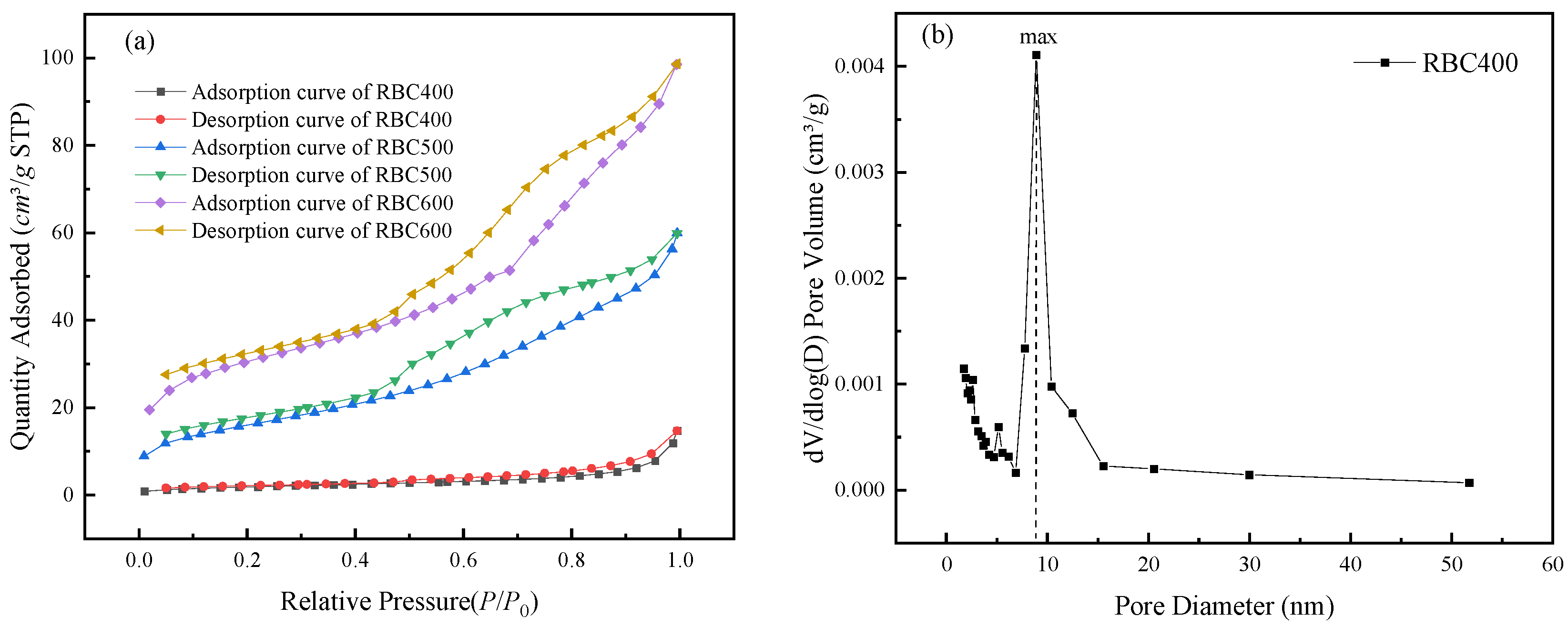
3.1. Structural Characteristics of RBC
3.2. Evaluation of Catalyst Activity
3.3. Analysis of Adsorption Influencing Factors
3.3.1. Effect of Biochar Dosage
3.3.2. Effect of PMS Dosage
3.3.3. Effect of the Initial pH Value of the Solution
3.3.4. Effect of Reaction Temperature
3.3.5. Effect of the Water Background Component
3.4. Exploration of Living Species and Possible Degradation Mechanisms
3.5. Investigation of Catalyst Stability
4. Conclusions
- (1)
- Using rabbit manure as raw material, RBC500 and RBC600 were prepared using pyrolysis and characterized via SEM, BET, FT-IR, XPS, and XRD. The results of characterization and catalytic degradation experiments showed that RBC600 had better catalytic activity than RBC400 and RBC500, which is closely related to its larger specific surface area, highly graphitized structure, and a higher degree of carbonization.
- (2)
- When the RhB concentration was 50 mg/L, the optimum biochar dosage of RBC600-activated PMS for RhB degradation was 0.6 g/L; the optimal dosage of PMS was 0.4 g/L, and the optimum pH was 3. Background components Cl−, HCO3−, NO3−, and HA all exhibited different degrees of inhibition on RhB degradation, with HCO3− exhibiting the strongest inhibitory effect, followed by NO3−, HA, and Cl− having a weak inhibitory effect on RhB degradation.
- (3)
- Free-radical quenching experiment results showed that the degradation rate of RhB decreased by 24.61%, 16.18%, 7.99%, and 69.11% after MeOH, TBA, BQ, and L-His were added, respectively. EPR analysis revealed that there are two free radicals (SO4− and ·OH) and one non-free (1O2) radical pathways for RhB degradation by activating PMS with RBC600, and 1O2 performs a leading role in various active substances.
- (4)
- The experimental results of RBC600 material stability analysis showed that RBC600 still had a good activation effect after five cycles, and the degradation rate of RhB by the RBC600/PMS system could still reach 81.73% after five cycles.
Author Contributions
Funding
Data Availability Statement
Conflicts of Interest
References
- Lan, D.; Zhu, H.; Zhang, J. Adsorptive removal of organic dyes via porous materials for wastewater treatment in recent decades: A review on species, mechanisms and perspectives. Chemosphere 2022, 293, 133464. [Google Scholar] [CrossRef] [PubMed]
- Sarkar, P.; Dey, A. Phycoremediation-An emerging technique for dye abatement: An overview. Process. Saf. Environ. 2021, 147, 214–225. [Google Scholar] [CrossRef]
- Natarajan, S.; Bajaj, H.C.; Tayade, R.J. Recent advances based on the synergetic effect of adsorption for removal of dyes from waste water using photocatalytic process. J. Environ. Sci. 2018, 65, 201–222. [Google Scholar] [CrossRef] [PubMed]
- Pattnaik, P.; Dangayach, G.S. Sustainability of textile waste-water management by using an integrated fuzzy AHP-TOPSIS method: A case study. Int. J. Environ. Sustain. Dev. 2021, 20, 105–128. [Google Scholar] [CrossRef]
- Zhang, Y.; Chen, S. Research on the Advanced Oxidation Technology Based on Dyeing Waste-Water Treatment. Earth Environ. Sci. 2020, 495, 012080. [Google Scholar] [CrossRef]
- Ahmad, M.; Rajapaksha, A.U.; Lim, J.E.; Zhang, M.; Bolan, N.; Mohan, D.; Vithanage, M.; Lee, S.S.; OK, Y.S. Biochar as a sorbent for contaminant management in soil and water: A review. Chemosphere 2014, 99, 19–33. [Google Scholar] [CrossRef]
- Pan, X.Q.; Gu, Z.P.; Chen, W.M.; Li, Q.B. Preparation of biochar and biochar composites and their application in a Fenton-like process for wastewater decontamination: A review. Sci. Total Environ. 2021, 754, 142104. [Google Scholar] [CrossRef]
- Wang, J.L.; Wang, S.Z. Preparation, modification and environmental application of biochar: A review. J. Clean. Prod. 2019, 227, 1002–1022. [Google Scholar] [CrossRef]
- Wu, D.P.; Chen, Q.; Wu, M.; Zhang, P.; He, L.P.; Chen, Y.H.; Pan, B. Heterogeneous compositions of oxygen-containing functional groups on biochars and their different roles in rhodamine B degradation. Chemosphere 2022, 292, 133518. [Google Scholar] [CrossRef]
- Gonçalves, M.G.; Veiga, P.A.D.S.; Fornar, M.R.; Peralta–Zamora, P.; Mangrich, A.S.; Silvestri, S. Relationship of the physicochemical properties of novel ZnO/biochar composites to their efficiencies in the degradation of sulfamethoxazole and methyl orange. Sci. Total Environ. 2020, 748, 141381. [Google Scholar] [CrossRef]
- Yu, J.F.; Feng, H.P.; Tang, L.; Pang, Y.; Wang, J.J.; Zou, J.J.; Xie, Q.Q.; Liu, Y.N.; Feng, C.Y.; Wang, J.J. Insight into the key factors in fast adsorption of organic pollutants by hierarchical porous biochar. J. Hazard. Mater. 2021, 403, 123610. [Google Scholar] [CrossRef] [PubMed]
- Zhang, K.; Chen, B.L.; Mao, J.F.; Zhu, L.Z.; Xing, B.S. Water clusters contributed to molecular interactions of ionizable organic pollutants with aromatized biochar via π-PAHB: Sorption experiments and DFT calculations. Environ. Pollut. 2018, 240, 342–352. [Google Scholar] [CrossRef]
- Chen, G.H.; Zhang, Z.R.; Zhang, Z.Y.; Zhang, R.D. Redox-active reactions in denitrification provided by biochars pyrolyzed at different temperatures. Sci. Total Environ. 2018, 615, 1547–1556. [Google Scholar] [CrossRef]
- Xie, J.L.; Li, L.Y.; Sun, L.X.; Pei, Z.G.; Wen, B.; Xing, B.S. Reduced graphene oxide-catalyzed oxidative coupling reaction of 4-methoxyphenol in aerobic aqueous solution. Carbon 2017, 121, 418–425. [Google Scholar] [CrossRef]
- Qi, C.D.; Liu, X.T.; Lin, C.Y.; Zhang, H.J.; Li, X.W.; Ma, J. Activation of peroxymonosulfate by microwave irradiation for degradation of organic contaminants. Chem. Eng. J. 2017, 315, 201–209. [Google Scholar] [CrossRef]
- Qi, C.D.; Liu, X.T.; Ma, J.; Lin, C.Y.; Li, X.W.; Zhang, H.J. Activation of peroxymonosulfate by base: Implications for the degradation of organic pollutants. Chemosphere 2016, 151, 280–288. [Google Scholar] [CrossRef]
- Qi, C.D.; Wen, Y.N.; Zhao, Y.J.; Dai, Y.H.; Li, J.P.; Xu, C.M.; Yang, S.G.; He, H. Enhanced degradation of organic contaminants by Fe(III)/peroxymonosulfate process with l-cysteine. Chin. Chem. Lett. 2022, 33, 2125–2128. [Google Scholar] [CrossRef]
- Zang, T.C.; Wang, H.; Liu, Y.H.; Dai, L.; Zhou, S.; Ai, S.Y. Fe-doped biochar derived from waste sludge for degradation of rhodamine B via enhancing activation of peroxymonosulfate. Chemosphere 2020, 261, 127616. [Google Scholar] [CrossRef]
- Zhu, B.X.; Yu, Y.; Ding, Y.D.; Ge, S.F. Iron-modified granular sludge biochar-based catalysts for improved Rhodamine B degradation by activating peroxymonosulfate. Biomass Convers. Biorefinery 2022, 2022, 03340. [Google Scholar] [CrossRef]
- Liang, C.J.; Lin, Y.T.; Shin, W.H. Persulfate regeneration of trichloroethylene spent activated carbon. J. Hazard. Mater. 2009, 168, 187–192. [Google Scholar] [CrossRef]
- Sang, Q.Q.; Wang, F.J.; Zhao, Y.T.; Zhou, Q.; Cai, Y.Q.; Deng, Y.; Tian, W.Q.; Chen, Y.Z.; Ma, J. Application of Iron and Sulfate-Modified Biochar in Phosphorus Removal from Water. Huanjing Kexue 2021, 42, 2313–2323. [Google Scholar] [PubMed]
- Huang, W.; Zhang, X.P.; Zhang, J.Q.; Tang, Y.X.; Luo, Z. Preparation of ZVI-biochar derived from magnetically modified sheep manure and its activation of peroxymonosulfate to degrade AO7. Acta Sci. Circumstantiae 2022, 42, 196–208. [Google Scholar]
- Cui, Z.-W.; Ren, Y.-F.; Wang, W.; Zhang, L.-M.; Zhang, L.-Y.; Wang, X.-Y.; He, J.-Y. Adsorption Characteristics and Mechanism of Cadmium in Water by Alkali and Magnetic Composite Modified Wheat Straw Biochar. Huanjing Kexue 2020, 41, 3315–3325. [Google Scholar]
- Song, Y.Y.; Hu, J.W.; Liu, J.Y.; Evrendilek, F.; Buyukada, M. Catalytic effects of CaO, Al2O3, Fe2O3, and red mud on Pteris vittata combustion: Emission, kinetic and ash conversion patterns. J. Clean. Prod. 2020, 252, 119646. [Google Scholar] [CrossRef]
- Li, S.Z.; Zhang, Z.H.; Yi, X.H.; Huang, M.Z. Removal of Rhodamine B by modified pig manure made biochar-activated persulfate (PS). Environ. Chem. 2022, 41, 929–939. [Google Scholar]
- Huong, P.T.; Jitae, K.; Al Tahtamouni, T.M.; Tri, N.L.M.; Kim, H.H.; Cho, K.H.; Lee, C. Novel activation of peroxymonosulfate by biochar derived from rice husk toward oxidation of organic contaminants in wastewater. J. Water Process. Eng. 2020, 33, 101037. [Google Scholar] [CrossRef]
- Chen, L.W.; Yang, S.J.; Zuo, X.; Huang, Y.; Cai, T.M.; Ding, D.H. Biochar modification significantly promotes the activity of Co3O4 towards heterogeneous activation of peroxymonosulfate. Chem. Eng. J. 2018, 354, 856–865. [Google Scholar] [CrossRef]
- Neta, P.; Grodkowski, J.; Ross, A.B. Rate constants for reactions of aliphatic carbon-centered radicals in aqueous solution. J. Phys. Chem. Ref. Data 1996, 25, 709–1050. [Google Scholar] [CrossRef]
- Rani, S.K.; Easwaramoorthy, D.; Bilal, I.M.; Palanichamy, M. Studies on Mn(II)-catalyzed oxidation of alpha-amino acids by peroxomonosulphate in alkaline medium-deamination and decarboxylation: A kinetic approach. Appl. Catal. A-Gen. 2009, 369, 1–7. [Google Scholar] [CrossRef]
- Wang, Y.; Yang, S.; Zhang, M.X.; Li, C.; Yao, Z.Z.; Zhou, L.L. Degradation of Orange II by ZnFe /BC catalyzed persulfate. Environ. Chem. 2018, 37, 2630–2637. [Google Scholar]
- Wang, Z.H.; Guo, H.Y.; Shen, F.; Duan, D.Q. Production of biochar by vermicompost carbonization and its adsorption to Rhodamine-B. Acta Sci. Circumstantiae 2015, 35, 3170–3177. [Google Scholar]
- Shi, C.F.; Jia, S.M.; Li, Y.M.; Xue, R.J.; Song, Q.Q.; Wang, G.X. Degradation of p-nitrophenol using rice straw-based biochar and persulfate. Environ. Prot. Chem. Ind. 2017, 37, 632–637. [Google Scholar]
- Chen, T.M.; Chen, H.M.; Ma, H.Y.; Tang, K.X.; Zhao, Y.W. Biochar-Co3O4 composite activates peroxymonosulfate to degrade atrazine. China Environ. Sci. 2020, 40, 4786–4794. [Google Scholar]
- Shao, Z.C.; Lu, J.; Gao, S.Q.; Xu, J.; Zhang, Z.E. Covalent triazine-based framework activates peroxymonosulfate to degrade sulfamethoxazole. China Environ. Sci. 2020, 40, 135–142. [Google Scholar]
- Wang, Y.; Wei, C.; Huang, T.; Wu, W.; Chen, J. Activation of peroxymonosulfate by nitrogen-doped carbon nanotubes to decolorize acid orange 7. China Environ. Sci. 2017, 37, 2583–2590. [Google Scholar]
- Yuan, R.X.; Ramjaun, S.N.; Wang, Z.H.; Liu, J.S. Effects of chloride ion on degradation of Acid Orange 7 by sulfate radical-based advanced oxidation process: Implications for formation of chlorinated aromatic compounds. J. Hazard. Mater. 2011, 196, 173–179. [Google Scholar] [CrossRef] [PubMed]
- Guan, Y.H.; Ma, J.; Liu, D.K.; Ou, Z.F.; Zhang, W.Q.; Gong, X.L.; Fu, Q.; Crittenden, J.C. Insight into chloride effect on the UV/peroxymonosulfate process. Chem. Eng. J. 2018, 352, 477–489. [Google Scholar] [CrossRef]
- Ghauch, A.; Tuqan, A. Oxidation of bisoprolol in heated persulfate/H2O systems: Kinetics and products. Chem. Eng. J. 2012, 183, 162–171. [Google Scholar] [CrossRef]
- Kang, Y.M.; Kim, M.K.; Zoh, K.D. Effect of nitrate, carbonate/bicarbonate, humic acid, and H2O2 on the kinetics and degradation mechanism of Bisphenol-A during UV photolysis. Chemosphere 2018, 204, 148–155. [Google Scholar] [CrossRef]
- Fu, H.C.; Ma, S.L.; Zhao, P.; Xu, S.J.; Zhan, S.H. Activation of peroxymonosulfate by graphitized hierarchical porous biochar and MnFe2O4 magnetic nanoarchitecture for organic pollutants degradation: Structure dependence and mechanism. Chem. Eng. J. 2019, 360, 157–170. [Google Scholar] [CrossRef]
- Song, H.R.; Yan, L.X.; Ma, J.; Jiang, J.; Cai, G.Q.; Zhang, W.J.; Zhang, Z.X.; Zhang, J.M.; Yang, T. Nonradical oxidation from electrochemical activation of peroxydisulfate at Ti/Pt anode: Efficiency, mechanism and influencing factors. Water Res. 2017, 116, 182–193. [Google Scholar] [CrossRef] [PubMed]
- Guan, Y.H.; Ma, J.; Ren, Y.M.; Liu, Y.L.; Xiao, J.Y.; Lin, L.Q.; Zhang, C. Efficient degradation of atrazine by magnetic porous copper ferrite catalyzed peroxymonosulfate oxidation via the formation of hydroxyl and sulfate radicals. Water Res. 2013, 47, 5431–5438. [Google Scholar] [CrossRef] [PubMed]
- Guan, C.T.; Jiang, J.; Luo, C.W.; Pang, S.Y.; Yang, Y.; Wang, Z.; Ma, J.; Yu, J.; Zhao, X. Oxidation of bromophenols by carbon nanotube activated peroxymonosulfate (PMS) and formation of brominated products: Comparison to peroxydisulfate (PDS). Chem. Eng. J. 2018, 337, 40–50. [Google Scholar] [CrossRef]
- Buxton, G.V.; Greenstock, C.L.; Helman, W.P.; Ross, A.B. Critical review of rate constants for reactions of hydrated electrons, hydrogen atoms and hydroxyl radicals. Phys. Chem. Ref. Data 1998, 17, 513–886. [Google Scholar] [CrossRef]




















| Biochar | Specific Surface Area (m2/g) | Total Pore Volume (cm3/g) | Micropore Volume (cm3/g) | Mean Aperture (nm) |
|---|---|---|---|---|
| RBC400 | 16.887 | 0.023 | 0.0001 | 13.196 |
| RBC500 | 57.095 | 0.084 | 0.0008 | 6.493 |
| RBC600 | 89.027 | 0.136 | 0.0057 | 6.855 |
| Biochar | Surface Element Percentage/% | |||
|---|---|---|---|---|
| O 1 s | C 1 s | N 1 s | Other | |
| RBC400 | 15.78 | 79.24 | 4.55 | 0.43 |
| RBC500 | 14.38 | 79.72 | 5.32 | 0.58 |
| RBC600 | 13.61 | 81.44 | 4.44 | 0.51 |
Disclaimer/Publisher’s Note: The statements, opinions and data contained in all publications are solely those of the individual author(s) and contributor(s) and not of MDPI and/or the editor(s). MDPI and/or the editor(s) disclaim responsibility for any injury to people or property resulting from any ideas, methods, instructions or products referred to in the content. |
© 2023 by the authors. Licensee MDPI, Basel, Switzerland. This article is an open access article distributed under the terms and conditions of the Creative Commons Attribution (CC BY) license (https://creativecommons.org/licenses/by/4.0/).
Share and Cite
Ouyang, F.; Liu, Y.; Chen, J.; Tang, C.; Wang, A.; Lu, Y.; Yuan, Y. Study on Preparation of Rabbit Manure Biochar and Activation of Peroxymonosulfate for Rhodamine B Degradation. Water 2023, 15, 2015. https://doi.org/10.3390/w15112015
Ouyang F, Liu Y, Chen J, Tang C, Wang A, Lu Y, Yuan Y. Study on Preparation of Rabbit Manure Biochar and Activation of Peroxymonosulfate for Rhodamine B Degradation. Water. 2023; 15(11):2015. https://doi.org/10.3390/w15112015
Chicago/Turabian StyleOuyang, Feng, Yujie Liu, Jiao Chen, Chenghan Tang, Aojie Wang, Yixin Lu, and Yiping Yuan. 2023. "Study on Preparation of Rabbit Manure Biochar and Activation of Peroxymonosulfate for Rhodamine B Degradation" Water 15, no. 11: 2015. https://doi.org/10.3390/w15112015
APA StyleOuyang, F., Liu, Y., Chen, J., Tang, C., Wang, A., Lu, Y., & Yuan, Y. (2023). Study on Preparation of Rabbit Manure Biochar and Activation of Peroxymonosulfate for Rhodamine B Degradation. Water, 15(11), 2015. https://doi.org/10.3390/w15112015
