Geogenic Sources of Arsenic and Fluoride in Groundwater: Examples from the Zagros Basin, the Kurdistan Region of Iraq
Abstract
1. Introduction
2. Study Area
- Sulaimani Area (Sulaimani city, Tanjero, Arbat, Tasluja, Bazian, Piramagroon, Makook)
- Erbil Area (Koysinjaq, Shiwashok, Shaqlawa, Harrir)
2.1. Geologic Setting
2.2. Hydrogeology
2.3. Material and Methods
3. Results and Discussion
3.1. Groundwater Chemistry
3.1.1. Sulaimani Area
3.1.2. Erbil Area
3.2. Statistical Analysis
3.3. Occurrence and Geogenic Sources
3.3.1. Variation of Concentrations with Depth
3.3.2. Speciation of As and F
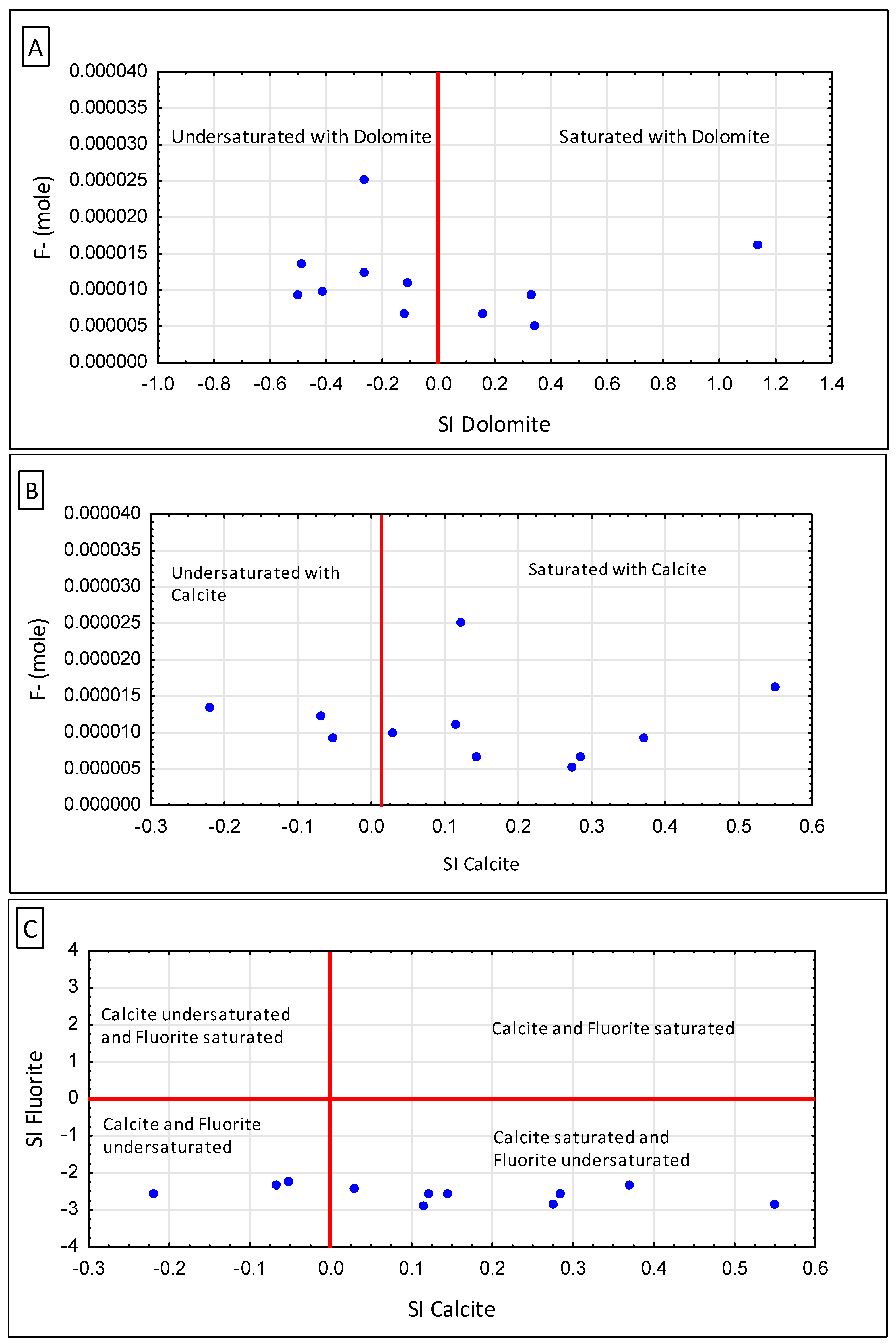
3.3.3. Saturation Indices
3.4. Correlation of As and F with Hydrochemical Parameters
3.5. Health and Environmental Impact
- Spatial Distribution of As and F
4. Conclusions and Recommendations
4.1. Conclusions
4.2. Recommendations
Supplementary Materials
Author Contributions
Funding
Institutional Review Board Statement
Informed Consent Statement
Data Availability Statement
Acknowledgments
Conflicts of Interest
References
- Alarcón-Herrera, M.T.; Bundschuh, J.; Nath, B.; Nicolli, H.B.; Gutierrez, M.; Martín-Dominguez, I.R.; Reyes-Gomez, V.M.; Nuñez, D.; Martín-Domínguez, A.; Sracek, O. Co-occurrence of arsenic and fluoride in groundwater of semiarid regions in Latin America: Genesis, mobility and remediation. J. Hazard. Mater. 2013, 262, 960–969. [Google Scholar] [CrossRef] [PubMed]
- Johnson, C.A.; Bretzler, A. (Eds.) Geogenic Contamination Handbook—Addressing Arsenic and Fluoride in Drinking Water; Eawag: Dübendorf, Switzerland, 2015; 173p. [Google Scholar]
- He, X.; Li, P.; Ji, Y.; Wang, Y.; Su, Z.; Elumalai, V. Groundwater Arsenic and Fluoride and Associated Arsenicosis and Fluorosis in China: Occurrence, Distribution and Management. Expo. Health 2020, 12, 355–368. [Google Scholar] [CrossRef]
- Estrada-Capetillo, B.L.; Ortiz-Perez, M.D.; Salgado-Bustamante, M.; Calderón-Aranda, E.; Rodríguez-Pinala, C.J.; Reynaga-Hernández, E.; Corral-Fernandez, N.E.; González-Amaro, R.; Portales-Perez, D.P. Arsenic and fluoride co-exposure affects the expression of apoptotic and inflammatory genes and proteins in mononuclear cells from children. Mutat. Res. 2014, 731, 27–34. [Google Scholar] [CrossRef] [PubMed]
- Ravenscroft, P.; Brammer, H.; Richards, K. Arsenic Pollution: A Global Synthesis; Wiley-Blackwell: Hoboken, NJ, USA, 2009. [Google Scholar]
- Appelo, T.; Heederik, J.P. Arsenic in Groundwater: A World Problem; IGRAC International Groundwater Resources Assessment Centre: Delft, The Netherlands, 2006; pp. 7–8. [Google Scholar]
- Rajmohan, N.; Prathapar, S. Occurrence and Extent of Arsenic, Fluoride and Iron Contamination in Groundwater in Selected Districts in Eastern Ganges Basin-A Review. J. Appl. Geochem. 2016, 18, 386–407. [Google Scholar]
- Fawell, J.; Bailey, K.; Chilton, J.; Dahi, E.; Fewtrell, L.; Magara, Y. Fluoride in Drinking Water; IWA Publishing: London, UK, 2001; pp. 15–37. [Google Scholar]
- USEPA. Fluorine (Soluble Fluoride) (CASRN 7782-41-4)|IRIS|US EPA. 2012. Available online: https://cfpub.epa.gov/ncea/iris2/chemicalLanding.cfm?substance_nmbr=53 (accessed on 6 February 2022).
- Sung Ahn, J. Geochemical occurrences of arsenic and fluoride in bedrock groundwater: A case study in Geumthesan County, Korea. Environ. Geochem. Health 2012, 34, 43–54. [Google Scholar]
- Blarasin, M.; Bécher Quinodóz, F.; Cabrera, A.; Matteoda, E.; Felizzia, J. Arsenic and Fluoride in Groundwater of a Loessical Unconfined Aquifer, Cordoba, Argentina. J. Appl. Geol. Geophys. 2016, 4, 59–65. [Google Scholar]
- Ozsvath, D.L. Fluoride concentrations in a crystalline bedrock aquifer Marathon County, Wisconsin. Environ. Geol. 2006, 50, 132–138. [Google Scholar] [CrossRef]
- Saxena, V.; Ahmed, S. Inferring the chemical parameters for the dissolution of fluoride in groundwater. Environ. Geol. 2003, 43, 731–736. [Google Scholar] [CrossRef]
- Karro, E.; Uppin, M. The occurrence and hydrochemistry of fluoride and boron in carbonate aquifer system, central and western Estonia. Environ. Monit. Assess. 2013, 185, 3735–3748. [Google Scholar] [CrossRef]
- Narsimha, A.; Sudarshan, V. Hydro-Geochemistry of Ground Water in Basara Area, Adilabad District, Andhra Pradesh, India. J. Appl. Geochem. 2013, 15, 224–237. [Google Scholar]
- Rafique, T.; Naseem, S.; Usmani, T.H.; Bashir, E.; Khan, F.A.; Bhanger, M.I. Geochemical factors controlling the occurrence of high fluoride groundwater in the Nagar Parkar area, Sindh, Pakistan. J. Hazard. Mater. 2009, 171, 424–430. [Google Scholar] [CrossRef] [PubMed]
- Naseem, S.; Hamza, S.; Bashir, E. Groundwater geochemistry of Winder agricultural farms, Balochistan, Pakistan and assessment for irrigation water quality. Eur. Water 2010, 31, 21–32. [Google Scholar]
- Jha, M.K.; Chowdary, V.M.; Chowdhury, A. Groundwater assessment in Salboni Block, West Bengal (India) using remote sensing, geographical information system and multi-criteria decision analysis techniques. Hydrogeol. J. 2010, 18, 1713–1728. [Google Scholar] [CrossRef]
- Carrillo Rivera, J.; Cardona, A.; Edmunds, A. Use of abstraction regime knowledge of hydrogeological conditions to control high-fluoride concentration in abstracted groundwater: The San Luís Potosí basin, México. J. Hydrol. 2022, 261, 24–47. [Google Scholar] [CrossRef]
- Nordstrom, D.K. Fluoride in thermal and non-thermal groundwater: Insights from geochemical modeling. Sci. Total Environ. 2022, 824, 153606. [Google Scholar] [CrossRef]
- Apambire, W.B.; Boyle, D.R.; Michel, F.A. Geochemistry, genesis, and health implications of fluoriferous groundwaters in the upper regions of Ghana. Environ. Geol. 1997, 33, 13–24. [Google Scholar] [CrossRef]
- Brunt, R.; Vathesak, L.; Griffin, J. Fluoride in Groundwater: Probability of Occurrence of Excessive Concentration on Global Scale; IGRAC International Groundwater Resources Assessment Centre: Delft, The Netherlands, 2004; pp. 1–4. [Google Scholar]
- Brunt, R.; Vasak, L.; Griffioen, J. Arsenic in groundwater: Probability of occurrence of excessive. Int. Groundw. Resour. Assess. Cent. 2004, 1, 15. [Google Scholar]
- Daessle, L.W.; Ruiz-Montoya, L.; Tobschall, H.J.; Chandrajith, R.; Camacho-Ibar, V.F.; Mendoza-Espinosa, L.G.; Quintanilla-Montoya, A.L.; Lugo-Ibarra, K.C. Fluoride, nitrate and water hardness in groundwater supplied to the rural communities of Ensenada County, Baja California, Mexico. Environ. Geol. 2009, 58, 419–429. [Google Scholar] [CrossRef]
- Bhattacharya, P.; Claesson, M.; Bundschuh, J.; Sracek, O.; Fagerberg, J.; Jacks, G.; Thir, J.M. Distribution and mobility of arsenic in the Río Dulce alluvial aquifers in Santiago del Estero Province, Argentina. Sci. Total Environ. 2006, 358, 97–120. [Google Scholar] [CrossRef]
- Sracek, O.; Wanke, H.; Ndakunda, N.N.; Mihaljevic, M.; Buzek, F. Geochemistry and fluoride levels of geothermal springs in Namibia. J. Geochem. Explor. 2015, 148, 96–104. [Google Scholar] [CrossRef]
- Appelo CA, J.; Postma, D. Geochemistry, Groundwater and Pollution; CRC press: Boca Raton, FL, USA, 2004. [Google Scholar]
- Rango, T.; Kravchenko, J.; Atlaw, B.; McCornick, P.G.; Jeuland, M.; Merola, B.; Vengosh, A. Groundwater quality and its health impact: An assessment of dental fluorosis in rural inhabitants of the Main Ethiopian Rift. Environ. Int. 2012, 43, 37–47. [Google Scholar] [CrossRef] [PubMed]
- Smith, A.H.; Marshall, G.; Roh, T.; Ferreccio, C.; Liaw, J.; Steinmaus, C. Lung, Bladder, and Kidney Cancer Mortality 40 Years After Arsenic Exposure Reduction. J. Natl. Cancer Inst. 2017, 110, 5576. [Google Scholar] [CrossRef]
- Susheela, A.; Kumar, A.; Bhatnagar, M.; Bahudur, R. Prevalence of endemic fluorosis with gastro-intestinal manifestations in people living in some North-Indian villages. Fluoride 1993, 26, 97–104. [Google Scholar]
- Murray, K.S. Hydrology and geochemistry of thermal waters in the Upper Napa Valley, California. Groundwater 1996, 34, 1115–1124. [Google Scholar] [CrossRef]
- Jacks, G.; Rajagopalan, K.; Alveteg, T.; Jönsson, M. Genesis of high-F groundwaters, southern India. Appl. Geochem. 1993, 8, 241–244. [Google Scholar] [CrossRef]
- Mahmmud, R.; Sracek, O.; Mustafa, O.; Čejková, B.; Jačková, I.; Vondrovicová, L. Groundwater geochemistry evolution and geogenic contaminants in the Sulaimani-Warmawa Sub-basin, Sulaimani, Kurdistan Region, Iraq. Environ. Monit. Assess. 2022, 194, 352. [Google Scholar] [CrossRef]
- Seeyan, S.; Merkel, B. Determination of Recharge by Means of Isotopes and Water Chemistry in Shaqlawa-Harrir Basin, Kurdistan Region, Iraq. Hydrol. Curr. Res. 2014, 5, 179. [Google Scholar] [CrossRef]
- Buday, T. Regional Geology of Iraq: Vol. 1, Stratigraphy; Kassab, I.I., Jassim, S.Z., Eds.; Publications of Geological Survey of Iraq: Baghdad, Iraq, 1980; 445p. [Google Scholar]
- Jassim, S.Z.; Goff, J.C. Geology of Iraq; Jassim, S.Z., Ed.; GEOSURV: Baghdad, Iraq, 2006; 445p. [Google Scholar]
- Mustafa, O. Impact of sewage wastewater on the environment of Tanjero River and its basin with Sulaimani City/NE-Iraq. Master Thesis, University of Sulaimani, Sulaymaniyah, Irak, 2006. [Google Scholar]
- Kareem, A.; Mustafa, O.; Merkel, B. Geochemical and environmental investigation of the water resources of the Tanjero area, Kurdistan region, Iraq. Arab. J. Geosci. 2018, 11, 461. [Google Scholar] [CrossRef]
- Stevanovic, Z.; Markovic, M. Hydrogeology of Northern Iraq, General Hydrogeology and Aquifer System; FAO: Rome, Italy, 2004; Volume 2. [Google Scholar]
- Mustafa, O.; Merkel, B. Classification of karst springs based on discharge and water chemistry in Makook karst system, Kurdistan Region, Iraq. Freib. Online Geosci. 2015, 39, 1–24. [Google Scholar]
- APHA; AWWA; WPCF. Standard Methods for the Examination of Water and Wastewater, 20th ed.; APHA American Public Health Association: Washington, DC, USA, 2006. [Google Scholar]
- Landau, S.; Everitt, B. A Handbook of Statistical Analyses Using SPSS; Chapman & Hall/CRC: Boca Raton, FL, USA, 2004. [Google Scholar]
- Parkhurst, D.; Appelo, C. Description of Input and Examples for PHREEQC (Version 3)—A Computer Program for Speciation, Batch-Reaction, One-Dimensional transport, and Inverse Geochemical Calculations; Chapter 43 of section A, Groundwater Books, Modeling Techniques; United States Geological Survey: Washington, DC, USA, 2013. [Google Scholar]
- Bhattacharya, P.; Ahmed, K.M.; Hasan, M.A.; Broms, S.; Fogelström, J.; Jacks, G.; Sracek, O.; von Brömssen, M.; Routh, J. Mobility of Arsenic in Groundwater in a Part of Brahmanbaria District, N.E. Bangladesh. Managing Arsenic in the Environment: From Soil to Human Health; CSIRO Publishing: Melbourne, Australia, 2006; pp. 95–115. [Google Scholar]
- Parrone, D.; Ghergo, S.; Frollini, E.; Rossi, D.; Preziosi, E. Arsenic-fluoride co-contamination in groundwater: Background and anomalies in a volcanic-sedimentary aquifer in central Italy. J. Geochem. Explor. 2020, 217, 106590. [Google Scholar] [CrossRef]
- Dixit, S.; Hering, J.G. Comparison of arsenic (V) and arsenic (III) sorption onto iron oxide minerals: Implications for arsenic mobility. Environ. Sci. Technol. 2003, 37, 4182–4189. [Google Scholar] [CrossRef] [PubMed]
- Pi, K.; Wang, Y.; Xie, X.; Su, C.; Ma, T.; Li, J.; Liu, Y. Hydrogeochemistry of co-occurring geogenic arsenic, fluoride and iodine in groundwater at Datong Basin, northern China. J. Hazard Mater. 2015, 300, 652–661. [Google Scholar] [CrossRef] [PubMed]
- Mustafa, O. Speciation of U, Se, As and Sr in Karst waters of Makook System, Kurdistan Region, Iraq. J. Zankoy Sulaimani 2016.
- Guo, Q.; Wang, Y.; Ma, T.; Ma, R. Geochemical processes controlling the elevated fluoride concentrations in groundwaters of the Taiyuan Basin, Northern China. J. Geochem. Explor. 2007, 93, 1–12. [Google Scholar] [CrossRef]
- Mustafa, O.; Tichomirowa, M.; Kummer, N.A.; Merkel, B. Assessment of water-rock interaction processes in the karst springs of Makook anticline (Kurdistan Region, Iraq) using Sr-isotopes, rare earth, and trace elements. Arab. J. Geosci. 2016, 9, 368. [Google Scholar] [CrossRef]
- Gomez, M.L.; Blarasin, M.T.; Martínez, D.E. Arsenic and fluoride in a loess aquifer in the central area of Argentina. Environ. Geol. 2009, 57, 143–155. [Google Scholar] [CrossRef]
- Li, C.; Gao, X.; Wang, Y. Hydrogeochemistry of high-fluoride groundwater at Yuncheng Basin, northern China. Sci. Total Environ. 2015, 508, 155–165. [Google Scholar] [CrossRef]
- Seeyan, S. Hydrochemical assessment and groundwater quality of Koysinjaq area in Kurdistan Region-Iraq. Arab. J. Geosci. 2020, 13, 491. [Google Scholar] [CrossRef]
- WHO. Guideline for Drinking-Water Quality, 4th ed.; World Health Organization: Geneva, Switzerland, 2011. [Google Scholar]
- Kumar, M.; Puri, A. A review of permissible limits of drinking water. Indian. J. Occup. Environ. Med. 2012, 16, 40–44. [Google Scholar]
- Khursheed, D.A.; Abdulateeef, D.S.; Fatah, A.O.; Rauf, A.M. Fluoride concentration of well water in different areas of Sulaimani province. Sulaimani Dent. J. 2015, 2, 67–71. [Google Scholar] [CrossRef]









| Stratigraphic Unit | Age | Lithology | Location | ![]() |
| Recent alluvial deposits and River Terraces | Quaternary | Clastic sediments, clay, sand, pebbles, and boulders | Sulaimani, Koysinjaq | |
| Bai Hassan and Muqdadiya Formation | Pliocene | Sandstone, siltstone, and conglomerate | Sulaimani, Koysinjaq | |
| Injana Formation | Late Miocene | Claystone, siltstone, and sandstone | Sulaimani, Koysinjaq | |
| Fatha Formation | Middle Miocene | Alternation of sandstone, claystone, limestone, gypsum, rock salt, and anhydrite | Sulaimani, Koysinjaq, | |
| Pila Spi Formation | Middle-Late Eocene | Bituminous, chalky, and crystalline limestone with chert nodules | Sulaimani, Koysinjaq | |
| Sinjar, Khurmala and Gercus Formation | Early Eocene | Red mudstone, sandstone, shale, and conglomerate | Sulaimani, Koysinjaq | |
| Kolosh Formation | Paleocene | Clastic, shale, limestone, marl, and mudstone | Koysinjaq, Shaqlawa, Harrir, Erbil Area | |
| Tanjero and Shiranish Formations | Late Cretaceous | Blue marl overlaying limestone and marly limestone | Sulaimani, Koysinjaq, Makook | |
| Aqra-Bekhme, Kometan and Qamchuqa Formations | Late Cretaceous | Bituminous dolomitic limestone and massive organic limestone | Sulaimani, Koysinjaq, Makook | |
| Sarki and Sehkaniyan Formation, Naokelekan and Barsarin Formation and Chia Gara Formation | Jurassic | Limestone, dark dolomite, bituminous limestone, marl, and shale | Sulaimani, Koysinjaq and Makook |
| Area | Zone | Depth | Aquifer | Statistics | Tem. | pH | pE | EC | TDS | Ca2+ | Mg2+ | K+ | Na+ | HCO3− | SO42− | Cl− | NO3− | F− | As |
|---|---|---|---|---|---|---|---|---|---|---|---|---|---|---|---|---|---|---|---|
| Sulaimani area | Zone 1 Sulaimani Tanjero | 45–145 | Intergranular, Karst, Fissured | Min. | 20.1 | 6.8 | 5 | NA | NA | 6.9 | 1 | 0.4 | 20.7 | 214.5 | 28.2 | 13.8 | 2.4 | 0.1 | 0.0002 |
| Max. | 25.5 | 8.8 | 6.2 | NA | NA | 138 | 29.8 | 3.9 | 222 | 424 | 144 | 110.0 | 25.9 | 1.65 | 0.0078 | ||||
| Mean | 22.1 | 7.5 | 5.6 | NA | NA | 68.3 | 15.0 | 1.4 | 100.1 | 329.1 | 82.9 | 51.9 | 7 | 0.34 | 0.0020 | ||||
| Zone 2 Sulaimani Bazian | 6–190 | Intergranular, Karst, Fissured | Min. | 5.8 | 5.8 | NA | 16 | 1.6 | 8 | 0.2 | 0.9 | 25.6 | NA | 46 | 2.5 | 0.1 | NA | NA | |
| Max. | 9.3 | 9.3 | NA | 1177 | 80 | 68 | 2.9 | 164.9 | 145 | NA | 220 | 50.5 | 1.7 | NA | NA | ||||
| Mean | 7.1 | 7.1 | NA | 360 | 23.1 | 37.8 | 1.2 | 31.8 | 212.2 | NA | 205.8 | 30.3 | 0.3 | NA | NA | ||||
| Zone 3 Sarwchawa-Diyana | Springs | Karst | Min. | 9.5 | 7.3 | 21.7 | 310 | NA | 42.7 | 10.7 | 0.3 | 0.9 | 172.2 | 10 | 1.4 | 2.6 | 0.04 | 0.0002 | |
| Max. | 17.4 | 7.8 | 23.5 | 602 | NA | 76.1 | 21.6 | 1.8 | 4.4 | 340.4 | 70.4 | 8.3 | 21 | 0.13 | 0.0003 | ||||
| Mean | 13.4 | 7.5 | 22.7 | 460 | NA | 58.2 | 17.5 | 0.7 | 1.8 | 253.3 | 20.3 | 2.7 | 6.3 | 0.07 | 0.0003 | ||||
| Zone 4 Sulaimani-Warmawa | 71–450 | Intergranular, Karst, Fissured | Min. | 21.8 | 7.0 | NA | 328 | NA | 6.1 | 2.3 | 0.3 | 2.7 | 140 | 7.4 | 1.9 | 0.2 | 0.2 | 0.0001 | |
| Max. | 26.8 | 8.8 | NA | 2460 | NA | 113 | 40.4 | 2.7 | 480 | 320 | 200.7 | 462.4 | 36 | 0.54 | 0.0043 | ||||
| Mean | 24.3 | 7.7 | NA | 663 | NA | 51.2 | 11.9 | 0.9 | 55.6 | 215.3 | 47.3 | 43.4 | 15.4 | 0.23 | 0.0011 | ||||
| Erbil area | Zone 5 Shiwashok | 80–210 | Intergranular, Karst, Fissured | Min. | 7.3 | NA | NA | 500 | 11.7 | 6.3 | 1.2 | 25.7 | 198 | 59 | 23.3 | 4.6 | 0.3 | NA | 0.0002 |
| Max. | 8.5 | NA | NA | 1193 | 164 | 77.7 | 19.2 | 320.2 | 293 | 790.7 | 223 | 209.3 | 1.3 | NA | 0.0012 | ||||
| Mean | 7.8 | NA | NA | 793 | 72.3 | 32 | 5.1 | 117.4 | 237.5 | 253.8 | 91.3 | 49.3 | 0.5 | NA | 0.0005 | ||||
| Zone 6 Koysinjaq | 96–281 | Intergranular, Karst, Fissured | Min. | 24.1 | 7.3 | 9.6 | 462 | 300.3 | 64.2 | 7.1 | 0.5 | 0.9 | 258.7 | 14 | 4.7 | 1.4 | 0.04 | 0.0002 | |
| Max. | 24.9 | 7.6 | 12.7 | 751 | 488.2 | 89.4 | 30.7 | 1.2 | 9.5 | 382.7 | 31.7 | 12.2 | 8.7 | 0.64 | 0.0012 | ||||
| Mean | 24.5 | 7.4 | 11.0 | 572 | 372 | 75.2 | 23.5 | 0.7 | 2.9 | 322 | 20 | 6.4 | 4.5 | 0.14 | 0.0005 | ||||
| Zone 7 Shaqlawa–Harrir | 68–239, Springs | Intergranular, Karst, Fissured | Min. | 21.2 | 7.2 | 6.4 | 297 | 193 | 4 | 4.1 | 0.3 | 1.1 | 168.9 | 10.6 | 4.3 | 0.1 | 0.04 | 0.0002 | |
| Max. | 22.5 | 8.3 | 13.2 | 1355 | 880.8 | 118 | 74.7 | 8.3 | 117.6 | 532.1 | 272.2 | 114.1 | 41.5 | 2.12 | 0.0020 | ||||
| Mean | 21.8 | 7.6 | 10.1 | 612 | 397.6 | 67.1 | 27.3 | 1.2 | 16.5 | 322.7 | 38.8 | 15.5 | 10.1 | 0.33 | 0.0007 |
| pH | EC | Ca2+ | Mg2+ | K+ | Na+ | HCO3− | SO42− | Cl− | NO3− | F− | As | |
| pH | 1 | |||||||||||
| EC | 0.16 | 1 | ||||||||||
| Ca2+ | −0.8 | 0.1 | 1 | |||||||||
| Mg2+ | −0.63 | 0.03 | 0.76 | 1 | ||||||||
| K+ | −0.17 | 0.44 | 0.46 | 0.14 | 1 | |||||||
| Na+ | 0.54 | 0.79 | −0.44 | −0.45 | 0.16 | 1 | ||||||
| HCO3− | −0.39 | 0.24 | 0.56 | 0.5 | 0.45 | −0.07 | 1 | |||||
| SO42− | 0.25 | 0.77 | −0.02 | −0.05 | 0.34 | 0.8 | 0.19 | 1 | ||||
| Cl− | 0.31 | 0.93 | −0.12 | −0.19 | 0.28 | 0.85 | −0.05 | 0.67 | 1 | |||
| NO3− | −0.36 | −0.22 | 0.27 | 0.1 | −0.13 | −0.42 | −0.22 | −0.29 | −0.21 | 1 | ||
| F− | 0.27 | 0.27 | −0.31 | −0.33 | −0.07 | 0.45 | −0.01 | 0.12 | 0.38 | −0.15 | 1 | |
| As | 0.42 | 0.46 | −0.27 | −0.29 | 0.07 | 0.6 | 0.08 | 0.41 | 0.51 | −0.28 | 0.63 | 1 |
| A—Sulaimani area | ||||||||||||
| pH | EC | Ca2+ | Mg2+ | K+ | Na+ | HCO3− | SO42− | Cl− | NO3− | F− | As | |
| pH | 1 | |||||||||||
| EC | −0.28 | 1 | ||||||||||
| Ca2+ | −0.61 | 0.56 | 1 | |||||||||
| Mg2+ | −0.3 | 0.86 | 0.52 | 1 | ||||||||
| K+ | −0.09 | 0.27 | 0.1 | 0.09 | 1 | |||||||
| Na+ | 0.35 | 0.48 | −0.23 | 0.29 | 0.28 | 1 | ||||||
| HCO3− | −0.5 | 0.75 | 0.74 | 0.74 | 0.09 | 0.19 | 1 | |||||
| SO42− | −0.13 | 0.87 | 0.49 | 0.73 | 0.29 | 0.59 | 0.54 | 1 | ||||
| Cl− | −0.04 | 0.89 | 0.36 | 0.79 | 0.34 | 0.66 | 0.56 | 0.89 | 1 | |||
| NO3− | 0.34 | −0.07 | −0.05 | −0.13 | 0.22 | −0.11 | −0.36 | −0.06 | −0.03 | 1 | ||
| F− | −0.06 | 0.65 | 0.32 | 0.5 | 0.32 | 0.47 | 0.4 | 0.74 | 0.65 | 0.08 | 1 | |
| As | 0.05 | 0.34 | 0.36 | 0.33 | 0.07 | 0.16 | 0.25 | 0.44 | 0.37 | 0.19 | 0.59 | 1 |
| B—Erbil area | ||||||||||||
Disclaimer/Publisher’s Note: The statements, opinions and data contained in all publications are solely those of the individual author(s) and contributor(s) and not of MDPI and/or the editor(s). MDPI and/or the editor(s) disclaim responsibility for any injury to people or property resulting from any ideas, methods, instructions or products referred to in the content. |
© 2023 by the authors. Licensee MDPI, Basel, Switzerland. This article is an open access article distributed under the terms and conditions of the Creative Commons Attribution (CC BY) license (https://creativecommons.org/licenses/by/4.0/).
Share and Cite
Mustafa, O.; Mahmmud, R.; Sracek, O.; Seeyan, S. Geogenic Sources of Arsenic and Fluoride in Groundwater: Examples from the Zagros Basin, the Kurdistan Region of Iraq. Water 2023, 15, 1981. https://doi.org/10.3390/w15111981
Mustafa O, Mahmmud R, Sracek O, Seeyan S. Geogenic Sources of Arsenic and Fluoride in Groundwater: Examples from the Zagros Basin, the Kurdistan Region of Iraq. Water. 2023; 15(11):1981. https://doi.org/10.3390/w15111981
Chicago/Turabian StyleMustafa, Omed, Rebar Mahmmud, Ondra Sracek, and Shwan Seeyan. 2023. "Geogenic Sources of Arsenic and Fluoride in Groundwater: Examples from the Zagros Basin, the Kurdistan Region of Iraq" Water 15, no. 11: 1981. https://doi.org/10.3390/w15111981
APA StyleMustafa, O., Mahmmud, R., Sracek, O., & Seeyan, S. (2023). Geogenic Sources of Arsenic and Fluoride in Groundwater: Examples from the Zagros Basin, the Kurdistan Region of Iraq. Water, 15(11), 1981. https://doi.org/10.3390/w15111981


