Ecological Risk Assessment and Source Analysis of Heavy Metals in the Soils of a Lead-Zinc Mining Watershed Area
Abstract
1. Introduction
2. Materials and Methods
2.1. Study Area
2.2. Collecting, Processing, and Analyzing Samples
2.3. Pollution Analysis and Ecological Risk Assessment
2.3.1. Enrichment Factor (EF)
2.3.2. Potential Ecological Risk Index (PERI)
2.3.3. Ratio of the Secondary to the Primary Phase (RSP)
2.3.4. Risk Assessment Code (RAC)
2.4. Statistical Analysis of Data
3. Results and Analysis
3.1. Spatial Distribution Characteristics of Soil Heavy Metals
3.1.1. Characteristics of the Total Distribution of Heavy Metals in Soils
3.1.2. Morphological Distribution Characteristics of Heavy Metals (HMs) in Soils
3.2. Analysis of the Level of HM Pollution in Soils and Risk Evaluation
3.2.1. Level of Soil HM Pollution
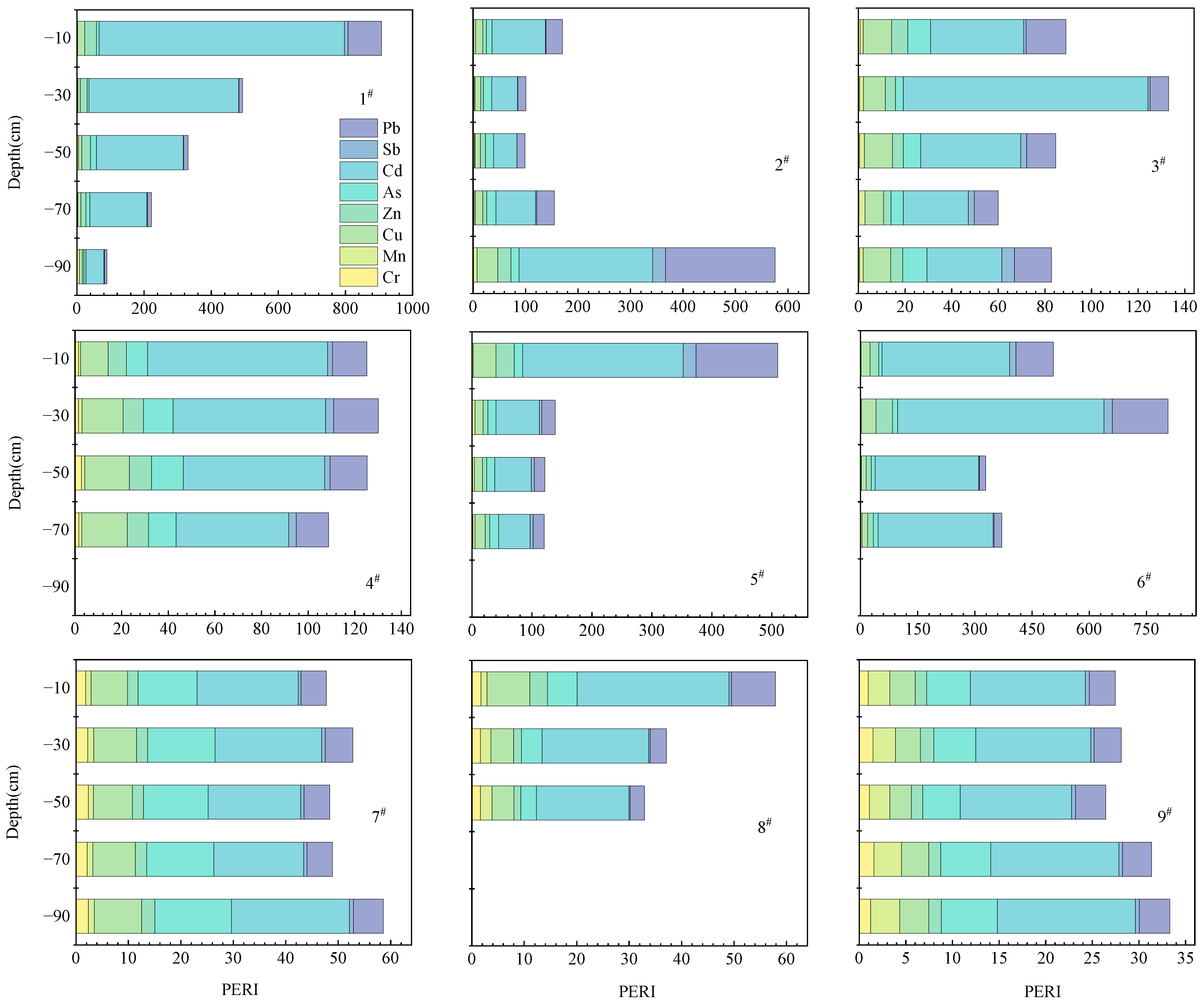
3.2.2. Ecological Risk Assessment of HMs in Soils
3.3. Analysis of Heavy Metal Sources
4. Conclusions
Author Contributions
Funding
Data Availability Statement
Acknowledgments
Conflicts of Interest
References
- Cheng, X.; Drozdova, J.; Danek, T.; Huang, Q.; Qi, W.; Yang, S.; Zou, L.; Xiang, Y.; Zhao, X. Pollution assessment of trace elements in agricultural soils around copper mining area. Sustainability 2018, 10, 4533. [Google Scholar] [CrossRef]
- Wang, P.; Sun, Z.; Hu, Y.; Cheng, H. Leaching of heavy metals from abandoned mine tailings brought by precipitation and the associated environmental impact. Sci. Total Environ. 2019, 695, 133893. [Google Scholar] [CrossRef] [PubMed]
- Li, Z.; Ma, Z.; van der Kuijp, T.J.; Yuan, Z.; Huang, L. A review of soil heavy metal pollution from mines in China: Pollution and health risk assessment. Sci. Total Environ. 2014, 468–469, 843–853. [Google Scholar] [CrossRef] [PubMed]
- Xu, D.; Fu, R.; Liu, H.; Guo, X. Current knowledge from heavy metal pollution in Chinese smelter contaminated soils, health risk implications and associated remediation progress in recent decades: A critical review. J. Clean. Prod. 2021, 286, 124989. [Google Scholar] [CrossRef]
- Du, B.; Zhou, J.; Lu, B.; Zhang, C.; Li, D.; Zhou, J.; Jiao, S.; Zhao, K.; Zhang, H. Environmental and human health risks from cadmium exposure near an active lead-zinc mine and a copper smelter, China. Sci. Total Environ. 2020, 720, 137585. [Google Scholar] [CrossRef]
- Yang, Q.; Li, Z.; Lu, X.; Duan, Q.; Huang, L.; Bi, J. A review of soil heavy metal pollution from industrial and agricultural regions in China: Pollution and risk assessment. Sci. Total Environ. 2018, 642, 690–700. [Google Scholar] [CrossRef]
- Gabarron, M.; Zornoza, R.; Martinez-Martinez, S.; Munoz, V.A.; Faz, A.; Acosta, J.A. Effect of land use and soil properties in the feasibility of two sequential extraction procedures for metals fractionation. Chemosphere 2019, 218, 266–272. [Google Scholar] [CrossRef]
- Hu, B.; Guo, P.; Su, H.; Deng, J.; Zheng, M.; Wang, J.; Wu, Y.; Jin, Y. Fraction distribution and bioavailability of soil heavy metals under different planting patterns in mangrove restoration wetlands in Jinjiang, Fujian, China. Ecol. Eng. 2021, 166, 106242. [Google Scholar] [CrossRef]
- Jayarathne, A.; Egodawatta, P.; Ayoko, G.A.; Goonetilleke, A. Assessment of ecological and human health risks of metals in urban road dust based on geochemical fractionation and potential bioavailability. Sci. Total Environ. 2018, 635, 1609–1619. [Google Scholar] [CrossRef]
- Xiao, L.; Guan, D.; Peart, M.; Chen, Y.; Li, Q.; Dai, J. The influence of bioavailable heavy metals and microbial parameters of soil on the metal accumulation in rice grain. Chemosphere 2017, 185, 868–878. [Google Scholar] [CrossRef]
- Zhong, X.; Zhou, S.; Zhu, Q.; Zhao, Q. Fraction distribution and bioavailability of soil heavy metals in the Yangtze River Delta—A case study of Kunshan City in Jiangsu Province, China. J. Hazard. Mater. 2011, 198, 13–21. [Google Scholar] [CrossRef] [PubMed]
- Gleyzes, C.; Tellier, S.; Astruc, M. Fractionation studies of trace elements in contaminated soils and sediments: A review of sequential extraction procedures. TrAC Trends Anal. Chem. 2002, 21, 451–467. [Google Scholar] [CrossRef]
- Jorfi, S.; Maleki, R.; Jaafarzadeh, N.; Ahmadi, M. Pollution load index for heavy metals in Mian-Ab plain soil, Khuzestan, Iran. Data Brief. 2017, 15, 584–590. [Google Scholar] [CrossRef] [PubMed]
- Tomlinson, D.L.; Wilson, J.G.; Harris, C.R.; Jeffrey, D.W. Problems in the assessment of heavy-metal levels in estuaries and the formation of a pollution index. Helgoländer Meeresunters. 1980, 33, 566–575. [Google Scholar] [CrossRef]
- Muller, G. Index of geoaccumulation in sediments of the Rhine River. Geojournal 1969, 2, 108–118. [Google Scholar]
- Reimann, C.; Caritat, P. Intrinsic flaws of element enrichment factors (EFs) in environmental geochemistry. Environ. Sci. Technol. 2000, 34, 5084–5091. [Google Scholar] [CrossRef]
- Hakanson, L. An ecological risk index for aquatic pollution control. A sedimentological approach. Water Res. 1980, 14, 975–1001. [Google Scholar] [CrossRef]
- Huang, Y.; Chen, Q.; Deng, M.; Japenga, J.; Li, T.; Yang, X.; He, Z. Heavy metal pollution and health risk assessment of agricultural soils in a typical peri-urban area in southeast China. J. Environ. Manag. 2018, 207, 159–168. [Google Scholar] [CrossRef]
- Tang, S.; Liu, X.; Yang, K.; Guo, F.; Yang, Z.; Ma, H.; Liu, F.; Peng, M.; Li, K. Migration, Transformation Characteristics, and Ecological Risk Evaluation of Heavy Metal Fractions in Cultivated Soil Profiles in a Typical Carbonate-Covered Area. Environ. Sci. 2021, 42, 3913–3923. (In Chinese) [Google Scholar]
- Liu, Y.; Tang, Y.; Zhong, G.; Zeng, H. A comparison study on heavy metal/metalloid stabilization in Maozhou River sediment by five types of amendments. J. Soils Sediments 2019, 19, 3922–3933. (In Chinese) [Google Scholar] [CrossRef]
- Perin, G.; Craboledda, L.; Lucchese, M.; Cirillo, R.; Dotta, L.; Zanette, M.; Orio, A. Heavy metal speciation in the sediments of northern Adriatic Sea. A new approach for environmental toxicity determination. Heavy Met. Environ. 1985, 2, 454–456. [Google Scholar]
- Chen, L.; Wang, G.; Wu, S.; Xia, Z.; Cui, Z.; Wang, C.; Zhou, S. Heavy metals in agricultural soils of the Lihe River watershed, East China: Spatial distribution, ecological risk, and pollution source. Int. J. Environ. Res. Public Health 2019, 16, 2094. [Google Scholar] [CrossRef] [PubMed]
- Zeng, X.; Chen, Q.; Tan, Q.; Xu, H.; Li, W.; Yang, S.; Liu, D. Risk assessment of heavy metals in soils contaminated by smelting waste for the perspective of chemical fraction and spatial distribution. J. Environ. Eng. Landsc. Manag. 2021, 29, 101–110. [Google Scholar] [CrossRef]
- Chen, Y.; Shi, Q.; Qu, J.; He, M. A pollution risk assessment and source analysis of heavy metals in sediments: A case study of Lake Gehu, China. Chin. J. Anal. Chem. 2022, 50, 100077. [Google Scholar] [CrossRef]
- Zhang, Y.; Li, T.; Guo, Z.; Xie, H.; Hu, Z.; Ran, H.; Li, C.; Jiang, Z. Spatial heterogeneity and source apportionment of soil metal (loid) s in an abandoned lead/zinc smelter. J. Environ. Sci. 2023, 127, 519–529. [Google Scholar] [CrossRef]
- Mostert, M.M.; Ayoko, G.A.; Kokot, S. Application of chemometrics to analysis of soil pollutants. TrAC Trends Anal. Chem. 2010, 29, 430–445. [Google Scholar] [CrossRef]
- Cheng, W.; Lei, S.; Bian, Z.; Zhao, Y.; Li, Y.; Gan, Y. Geographic distribution of heavy metals and identification of their sources in soils near large, open-pit coal mines using positive matrix factorization. J. Hazard. Mater. 2020, 387, 121666. [Google Scholar] [CrossRef]
- Liao, S.; Jin, G.; Khan, M.; Zhu, Y.; Duan, L.; Luo, W.; Jia, J.; Zhong, B.; Ma, J.; Ye, Z. The quantitative source apportionment of heavy metals in peri-urban agricultural soils with UNMIX and input fluxes analysis. Environ. Technol. Innov. 2021, 21, 101232. [Google Scholar] [CrossRef]
- Luo, S.; Xue, Y.; Wang, L.; Cang, L.; Xu, B.; Ding, J. Source identification and apportionment of heavy metals in urban soil profiles. Chemosphere 2015, 127, 152–157. [Google Scholar] [CrossRef]
- Feng, R.; Zheng, H.; Gao, H.; Zhang, A.; Huang, C.; Zhang, J.; Fan, J. Recurrent Neural Network and random forest for analysis and accurate forecast of atmospheric pollutants: A case study in Hangzhou, China. J. Clean. Prod. 2019, 231, 1005–1015. [Google Scholar] [CrossRef]
- Huang, H.; Zhou, Y.; Liu, Y.J.; Xiao, L.; Li, K.; Li, M.Y.; Wu, F. Source Apportionment and Ecological Risk Assessment of Potentially Toxic Elements in Cultivated Soils of Xiangzhou, China: A Combined Approach of Geographic Information System and Random Forest. Sustainability 2021, 13, 1214. [Google Scholar] [CrossRef]
- Hong, N.; Zhu, P.; Liu, A.; Zhao, X.; Guan, Y. Using an innovative flag element ratio approach to tracking potential sources of heavy metals on urban road surfaces. Environ. Pollut. 2018, 243, 410–417. [Google Scholar] [CrossRef] [PubMed]
- Wang, Y.; Guo, G.; Zhang, D.; Lei, M. An integrated method for source apportionment of heavy metal(loid)s in agricultural soils and model uncertainty analysis. Environ. Pollut. 2021, 276, 116666. [Google Scholar] [CrossRef] [PubMed]
- Lu, J.; Lu, H.; Lei, K.; Wang, W.; Guan, Y. Trace metal element pollution of soil and water resources caused by small-scale metallic ore mining activities: A case study from a sphalerite mine in North China. Environ. Sci. Pollut. Res. Int. 2019, 26, 24630–24644. [Google Scholar] [CrossRef]
- Jiang, S.; Zhai, F.; Zhang, C.; Wang, M.; Shan, B. Speciation Distribution and Risk Assessment of Heavy Metals in Sediments fromthe Yitong River City Area. Environ. Sci. 2020, 41, 2653–2663. (In Chinese) [Google Scholar] [CrossRef]
- Lin, B. Study on cadmium Pollution of Soil—Crop in a Pb-Zn mining area of Guangxi. Chin. J. Soil Sci. 1997, 28, 235–237. (In Chinese) [Google Scholar]
- Qin, C.; Li, Y.; Wei, S.; Huang, G. analysis on present environmental situation and treatment model of tailing waste water in Yangshuo lead–zinc deposit. Min. Resour Geol. 2005, 107, 99–102. (In Chinese) [Google Scholar]
- Hu, Q.; Zhang, C.; Jin, Z.; Cao, J.; Li, Q. CanoIlical Correspondence Analysisfor Soil Properties and Heavy Metal Pollution from Pb-Zn MineTailings in Difkrent Land UseTypes. Rock Miner. Anal. 2014, 33, 714–722. (In Chinese) [Google Scholar]
- Kong, J.; Guo, Q.; Wei, R.; Strauss, H.; Zhu, G.; Li, S.; Song, Z.; Chen, T.; Song, B.; Zhou, T.; et al. Contamination of heavy metals and isotopic tracing of Pb in surface and profile soils in a polluted farmland from a typical karst area in southern China. Sci. Total Environ. 2018, 637–638, 1035–1045. [Google Scholar] [CrossRef]
- Li, Q.; Jin, Z.; Yang, R. Relationship between Soil Properties and Soil Enzyme Activities in Heavy Metal Contaminated Area Based on Canonical Correspondence Analysis: A Case Study of Sidi Village, Yangshuo. Trop. Geogr. 2014, 34, 14–19. (In Chinese) [Google Scholar]
- Song, B.; Tian, M.; Pang, R.; Zhou, L.; Wu, Y.; Zhong, X. Concentrations of Heavy Metal Contents in Soil and Citrus, and Citrus Industry Optimization Near a Lead andZinc Mine in Northern Guangxi. J. Ecol. Rural. Environ. 2019, 35, 1268–1273. (In Chinese) [Google Scholar]
- Zhang, Y.; Song, B.; Yang, Z.; Wang, F.; Zhou, L.; Zhou, Z.; Bin, J. Characteristics and remediation strategy of heavy-metal polluted agricultural soil near a lead and zinc mine in Guangxi. J. Agro-Environ. Sci. 2018, 37, 239–249. (In Chinese) [Google Scholar]
- Chen, M.; Pan, Y.; Huang, Y.; Wang, X.; Zhang, R. Spatial Distribution and Sources of Heavy Metals in Soil of a Typical Lead-Zinc Mining Area, Yangshuo. Environ. Sci. 2022, 43, 4545–4555. (In Chinese) [Google Scholar]
- Zhao, X.; Wei, Z.; Wang, J.; Li, Y.; Zhao, L.; Xia, X.; Jiang, X. Study on determination of As, Se, Sb, Hg and Bi in soil andsediment by ICP-MS with water bath. China Meas. Test 2021, 47, 61–69. (In Chinese) [Google Scholar]
- U.S. EPA. Method 3050B: Acid Digestion of Sediments, Sludges, and Soils; Revision 2; U.S. EPA: Washington, DC, USA, 1996.
- Rauret, G.; López-Sánchez, J.F.; Sahuquillo, A.; Rubio, R.; Davidson, C.; Ure, A.; Quevauviller, P. Improvement of the BCR three step sequential extraction procedure prior to the certification of new sediment and soil reference materials. J. Environ. Monit. 1999, 1, 57–61. [Google Scholar] [CrossRef]
- Liu, W.; Meng, Y.; Jin, B.; Jiang, M.; Lin, Z.; Hu, L.; Zhang, T. Distribution Characteristics and Ecological Risk Assessment of Heavy Metals in Surface Sediments of the North Canal Using ICP-OES. Spectrosc. Spectr. Anal. 2020, 40, 3912–3918. (In Chinese) [Google Scholar]
- Sundaray, S.K.; Nayak, B.B.; Lin, S.; Bhatta, D. Geochemical speciation and risk assessment of heavy metals in the river estuarine sediments—A case study: Mahanadi basin, India. J. Hazard. Mater. 2021, 186, 1837–1846. [Google Scholar] [CrossRef]
- Zhang, C.; Shan, B.; Tang, W.; Dong, L.; Zhang, W.; Pei, Y. Heavy metal concentrations and speciation in riverine sediments and the risks posed in three urban belts in the Haihe Basin. Ecotoxicol. Environ. Saf. 2017, 139, 263–271. [Google Scholar] [CrossRef]
- Islam, S.; Ahmed, K.; Masunaga, S. Potential ecological risk of hazardous elements in different land-use urban soils of Bangladesh. Sci. Total Environ. 2015, 512, 94–102. [Google Scholar] [CrossRef]
- Tang, Z.; Zhang, L.; Huang, Q.; Yang, Y.; Nie, Z.; Cheng, J.; Chai, M. Contamination and risk of heavy metals in soils and sediments from a typical plastic waste recycling area in North China. Ecotoxicol. Environ. Saf. 2015, 122, 343–351. [Google Scholar] [CrossRef]
- Isimekhai, K.A.; Garelick, H.; Watt, J.; Purchase, D. Heavy metals distribution and risk assessment in soil from an informal E-waste recycling site in Lagos State, Nigeria. Environ. Sci. Pollut. Res. 2017, 24, 17206–17219. [Google Scholar] [CrossRef] [PubMed]
- Wang, F.; Song, B.; Zhou, L.; Pang, R.; Zhang, Y.; Chen, T. Redistribution of heavy metal background in soil of Xijiang River Basin in Guangxi. Acta Sci. Circumstantiae 2018, 38, 3695–3702. (In Chinese) [Google Scholar]
- Li, X.; Thornton, L. Chemical partitioning of trace and major elements in soils contaminated by mining and smelting activities. Appl. Geochem. 2001, 16, 1693–1706. [Google Scholar] [CrossRef]
- Tessier, A.; Campbell, P.G.; Bisson, M. Sequential extraction procedure for the speciation of particulate trace metals. Anal. Chem. 1979, 51, 844–851. [Google Scholar] [CrossRef]
- Wang, Y.; Huang, Y.; Wang, S.; Xu, C. Chemical speciation of elements in sediments and soils and their sequential extraction process. Geol. Bull. China 2005, 24, 728–734. (In Chinese) [Google Scholar]
- Hou, D.; O’Connor, D.; Nathanail, P.; Tian, L.; Ma, Y. Integrated GIS and multivariate statistical analysis for regional scale assessment of heavy metal soil contamination: A critical review. Environ. Pollut. 2017, 231, 1188–1200. [Google Scholar] [CrossRef]
- Weissmannová, H.D.; Pavlovský, J. Indices of soil contamination by heavy metals–methodology of calculation for pollution assessment (minireview). Environ. Monit. Assess. 2017, 189, 616. [Google Scholar] [CrossRef]
- Zoller, W.H.; Gladney, E.; Duce, R.A. Atmospheric concentrations and sources of trace metals at the South Pole. Science 1974, 183, 198–200. [Google Scholar] [CrossRef]
- Pan, Y.; Li, H. Investigating Heavy Metal Pollution in Mining Brownfield and Its Policy Implications: A Case Study of the Bayan Obo Rare Earth Mine, Inner Mongolia, China. Environ. Manag. 2016, 57, 879–893. [Google Scholar] [CrossRef]
- Baghaie, A.H.; Aghili, F. Investigation of heavy metals concentration in soil around a PbZn mine and ecological risk assessment. Environ. Health Eng. Manag. J. 2019, 6, 151–156. [Google Scholar] [CrossRef]
- Jiao, W.; Niu, Y.; Niu, Y.; Hu, H.; Li, R. Spatial assessment of anthropogenic impact on trace metal accumulation in farmland soils from a rapid industrializing region, East China. Int. J. Environ. Res. Public Health 2018, 15, 2052. [Google Scholar] [CrossRef] [PubMed]
- Gao, L.; Wang, Z.; Li, S.; Chen, J. Bioavailability and toxicity of trace metals (Cd, Cr, Cu, Ni, and Zn) in sediment cores from the Shima River, South China. Chemosphere 2018, 192, 31–42. [Google Scholar] [CrossRef] [PubMed]










| EF | PERI | RSP | RAC | ||||
|---|---|---|---|---|---|---|---|
| Threshold Interval | Pollution Level | Threshold Interval | Risk Level | Threshold Interval | Pollution Level | Threshold Interval/% | Risk Level |
| ≤1 | no polluting | Er < 40 | minor risks | RSP < 1 | no polluting | RAC < 1 | no risk |
| 1 < EF ≤ 2 | light pollution | 40 ≤ Er < 80 | medium risk | 1 ≤ RSP < 2 | light pollution | 1 ≤ RAC < 10 | low risks |
| 2 < EF ≤ 5 | moderate pollution | 80 ≤ Er < 160 | stronger risk | 2 ≤ RSP < 3 | moderate pollution | 10 ≤ RAC < 30 | medium risk |
| 5 < EF ≤ 20 | severe pollution | 160 ≤ Er <320 | strong risk | 3 ≤ RSP | severe pollution | 30 ≤ RAC < 50 | high risk |
| 20 < EF | significant contamination | Er ≥ 320 | extremely high risk | 50 ≤ RAC | extremely high risk | ||
| PERI < 150 | minor risks | ||||||
| 150 ≤ PERI < 300 | medium risk | ||||||
| 300 ≤ PERI < 600 | strong risk | ||||||
| 600 ≤ PERI | extremely high risk | ||||||
| Cr | Mn | Fe | Cu | Zn | As | Cd | Sb | Pb | |
|---|---|---|---|---|---|---|---|---|---|
| mg/kg | mg/kg | g/kg | mg/kg | mg/kg | mg/kg | mg/kg | mg/kg | mg/kg | |
| Max | 117.34 | 1578.36 | 74.50 | 164.24 | 2958.40 | 29.97 | 13.64 | 17.66 | 2119.58 |
| Min | 15.67 | 235.00 | 40.21 | 9.49 | 82.40 | 4.98 | 0.22 | 0.17 | 27.85 |
| Average | 54.58 | 546.42 | 56.51 | 52.58 | 654.71 | 17.37 | 2.25 | 2.77 | 280.32 |
| Background | 82.66 | 173.65 | 50.20 | 20.79 | 67.34 | 17.04 | 0.56 | 5.08 | 50.72 |
| standard deviation | 28.03 | 313.05 | 9.30 | 37.80 | 688.36 | 7.27 | 3.03 | 4.57 | 458.04 |
| CV | 0.51 | 0.57 | 0.16 | 0.72 | 1.05 | 0.42 | 1.35 | 1.65 | 1.63 |
| Elements | PC1 | PC2 | PC3 |
|---|---|---|---|
| Cr | −0.416 | 0.762 | −0.153 |
| Mn | 0.223 | −0.139 | 0.940 |
| Fe | −0.166 | 0.907 | 0.100 |
| Cu | 0.919 | 0.225 | −0.004 |
| Zn | 0.930 | 0.040 | −0.164 |
| As | 0.339 | 0.839 | 0.137 |
| Cd | 0.801 | −0.160 | −0.284 |
| Sb | 0.941 | 0.032 | 0.025 |
| Pb | 0.938 | 0.073 | 0.061 |
| Eigenvalues | 4.482 | 2.210 | 1.048 |
| Contribution rate/% | 49.801 | 24.558 | 11.645 |
| Cumulative contribution rate/% | 49.801 | 74.359 | 86.004 |
Disclaimer/Publisher’s Note: The statements, opinions and data contained in all publications are solely those of the individual author(s) and contributor(s) and not of MDPI and/or the editor(s). MDPI and/or the editor(s) disclaim responsibility for any injury to people or property resulting from any ideas, methods, instructions or products referred to in the content. |
© 2022 by the authors. Licensee MDPI, Basel, Switzerland. This article is an open access article distributed under the terms and conditions of the Creative Commons Attribution (CC BY) license (https://creativecommons.org/licenses/by/4.0/).
Share and Cite
Pan, Y.; Chen, M.; Wang, X.; Chen, Y.; Dong, K. Ecological Risk Assessment and Source Analysis of Heavy Metals in the Soils of a Lead-Zinc Mining Watershed Area. Water 2023, 15, 113. https://doi.org/10.3390/w15010113
Pan Y, Chen M, Wang X, Chen Y, Dong K. Ecological Risk Assessment and Source Analysis of Heavy Metals in the Soils of a Lead-Zinc Mining Watershed Area. Water. 2023; 15(1):113. https://doi.org/10.3390/w15010113
Chicago/Turabian StylePan, Yongxing, Meng Chen, Xiaotong Wang, Yudao Chen, and Kun Dong. 2023. "Ecological Risk Assessment and Source Analysis of Heavy Metals in the Soils of a Lead-Zinc Mining Watershed Area" Water 15, no. 1: 113. https://doi.org/10.3390/w15010113
APA StylePan, Y., Chen, M., Wang, X., Chen, Y., & Dong, K. (2023). Ecological Risk Assessment and Source Analysis of Heavy Metals in the Soils of a Lead-Zinc Mining Watershed Area. Water, 15(1), 113. https://doi.org/10.3390/w15010113
