Change in Hydrological Regimes and Extremes from the Impact of Climate Change in the Largest Tributary of the Tonle Sap Lake Basin
Abstract
:1. Introduction
2. Materials and Methods
2.1. Sen River Basin, the Largest Sub-Basin of Tonle Sap Lake
2.2. Methods
2.2.1. SWAT Model Set-up
2.2.2. Selected Climate Change Scenarios and GCMs
2.2.3. Change in Flow Regime Evaluation
3. Results
3.1. SWAT Model Performance
3.2. Assessment of Basin-Wide Water Balance
3.3. Climate Change Effect on Water Balance Components
3.3.1. Annual Change of Basin-Wide Water Balance Components
3.3.2. Intra-Annual Change of Basin-Wide Water Balance Components
3.4. Climate Change on Flow Regimes
3.4.1. Changes in Intra-Annual Flow
3.4.2. Changes in Extreme Flow
3.4.3. Changes in Multiple Temporal Scales of Flow under Different Climate Scenarios
3.4.4. Change in Frequency Analysis of Flow
4. Discussion
4.1. Correlation between the Variation of Precipitation and Water Budget
4.2. Change in Water Balance and Flow Regime across the Timescale, RCPs, GCMs, and Regional Scale
4.3. The Perspectives for Further Investigation
5. Conclusions
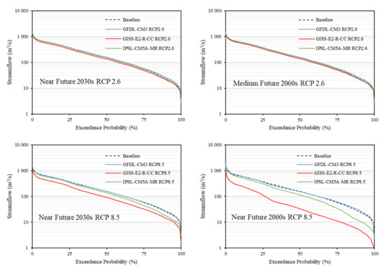
- Between 2000 and 2019, the annual distribution pattern of streamflow changed. Climate change profoundly affecting the flow regime would be positively altered (an increase compared to baseline) with the GFDL-CM3 model under both RCPs in all future periods; at the same time, GISS-E2-R-CC and IPSL-CM5A-MR models would be negatively altered (decrease compared to baseline) in the Sen River Basin. Generally, the annual peak and the range of monthly discharges declined, while the number of reversals in discharge expanded. Moreover, they altered the timing of high and low flows and varied the timing of the annual maximum and minimum flows.
- Compared to the baseline period, hydrologic characteristics illustrated significant changes in the future under climate change. The magnitude of flow (GISS-E2-R-CC and IPSL-CM5A-MR models) was lesser compared to baseline, and the frequency of low flow events decreased throughout the year; the maximum flows and minimum flows (from 1-, 3-, 7-, 30-, and 90-day) were reduced. Another model (GFDL-CM3) discussed the different tendencies, so the prediction results depend on the model used.
- Indicators of hydrologic alteration in accordance with the components of the hydrologic regime can be utilized to measure the level of change induced by climate change and are further related to ecological responses of the fluvial ecosystem.
Author Contributions
Funding
Institutional Review Board Statement
Informed Consent Statement
Data Availability Statement
Acknowledgments
Conflicts of Interest
References
- Tamm, O.; Maasikamäe, S.; Padari, A.; Tamm, T. Modelling the effects of land use and climate change on the water resources in the eastern Baltic Sea region using the SWAT model. Catena 2018, 167, 78–89. [Google Scholar] [CrossRef]
- Kodra, E.; Ghosh, S.; Ganguly, A.R. Evaluation of global climate models for Indian monsoon climatology. Environ. Res. Lett. 2012, 7, 014012. [Google Scholar] [CrossRef]
- Johnston, R.; Smakhtin, V. Hydrological modeling of large river basins: How much is enough? Water Resour. Manag. 2014, 28, 2695–2730. [Google Scholar] [CrossRef] [Green Version]
- Delgado, J.M.; Apel, H.; Merz, B. Flood trends and variability in the Mekong river. Hydrol. Earth Syst. Sci. Discuss. 2009, 14, 407–418. [Google Scholar] [CrossRef] [Green Version]
- Holman, I.P. Climate change impacts on groundwater recharge-uncertainty, shortcomings, and the way forward? Hydrogeol. J. 2006, 14, 637–647. [Google Scholar] [CrossRef] [Green Version]
- Zhu, J. Impact of climate change on extreme rainfall across the United States. J. Hydrol. Eng. 2013, 18, 1301–1309. [Google Scholar] [CrossRef]
- Muhammad, M.K.I.; Nashwan, M.S.; Shahid, S.; Ismail, T.B.; Song, Y.H.; Chung, E.-S. Evaluation of empirical reference evapotranspiration models using compromise programming: A case study of Peninsular Malaysia. Sustainability 2019, 11, 4267. [Google Scholar] [CrossRef] [Green Version]
- Kadkhodazadeh, M.; Anaraki, M.V.; Morshed-Bozorgdel, A.; Farzin, S. A new methodology for reference evapotranspiration prediction and uncertainty analysis under climate change conditions based on machine learning, multi criteria decision making and Monte Carlo methods. Sustainability 2022, 14, 2601. [Google Scholar] [CrossRef]
- Trisurat, Y.; Aekakkararungroj, A.; Ma, H.-O.; Johnston, J.M. Basin-wide impacts of climate change on ecosystem services in the Lower Mekong Basin. Ecol. Res. 2018, 33, 73–86. [Google Scholar] [CrossRef]
- Arnell, N.W. Climate change and global water resources. Glob. Environ. Chang. 1999, 9, S31–S49. [Google Scholar] [CrossRef]
- Bolch, T.; Kulkarni, A.; Kääb, A.; Huggel, C.; Paul, F.; Cogley, J.G.; Frey, H.; Kargel, J.S.; Fujita, K.; Scheel, M. The state and fate of Himalayan glaciers. Science 2012, 336, 310–314. [Google Scholar] [CrossRef] [PubMed] [Green Version]
- Wang, G.; Zhang, J.; Xuan, Y.; Liu, J.; Jin, J.; Bao, Z.; He, R.; Liu, C.; Liu, Y.; Yan, X. Simulating the impact of climate change on runoff in a typical river catchment of the Loess Plateau, China. J. Hydrometeorol. 2013, 14, 1553–1561. [Google Scholar] [CrossRef]
- Intergovernmental Panel On Climate Change. Climat Change; Intergovernmental Panel On Climate Change: Geneva, Switzerland, 2014. [Google Scholar]
- Pierce, D.W.; Barnett, T.P.; Santer, B.D.; Gleckler, P.J. Selecting global climate models for regional climate change studies. Proc. Natl. Acad. Sci. USA 2009, 106, 8441–8446. [Google Scholar] [CrossRef] [PubMed] [Green Version]
- Arnell, N.W. Effects of IPCC SRES* emissions scenarios on river runoff: A global perspective. Hydrol. Earth Syst. Sci. 2003, 7, 619–641. [Google Scholar] [CrossRef] [Green Version]
- Arnell, N.W.; Gosling, S.N. The impacts of climate change on river flow regimes at the global scale. J. Hydrol. 2013, 486, 351–364. [Google Scholar] [CrossRef]
- Nohara, D.; Kitoh, A.; Hosaka, M.; Oki, T. Impact of climate change on river discharge projected by multimodel ensemble. J. Hydrometeorol. 2006, 7, 1076–1089. [Google Scholar] [CrossRef] [Green Version]
- Gosling, S.; Taylor, R.G.; Arnell, N.; Todd, M. A comparative analysis of projected impacts of climate change on river runoff from global and catchment-scale hydrological models. Hydrol. Earth Syst. Sci. 2011, 15, 279–294. [Google Scholar] [CrossRef] [Green Version]
- Gosling, S.N.; Bretherton, D.; Haines, K.; Arnell, N.W. Global hydrology modelling and uncertainty: Running multiple ensembles with a campus grid. Philos. Trans. R. Soc. A Math. Phys. Eng. Sci. 2010, 368, 4005–4021. [Google Scholar] [CrossRef]
- Andréasson, J.; Bergström, S.; Carlsson, B.; Graham, L.P.; Lindström, G. Hydrological change–climate change impact simulations for Sweden. AMBIO J. Hum. Environ. 2004, 33, 228–234. [Google Scholar] [CrossRef]
- Conway, D. The impacts of climate variability and future climate change in the Nile Basin on water resources in Egypt. Int. J. Water Resour. Dev. 1996, 12, 277–296. [Google Scholar] [CrossRef]
- Nijssen, B.; O’Donnell, G.M.; Hamlet, A.F.; Lettenmaier, D.P. Hydrologic sensitivity of global rivers to climate change. Clim. Chang. 2001, 50, 143–175. [Google Scholar] [CrossRef]
- Thompson, J. Modelling the impacts of climate change on upland catchments in southwest Scotland using MIKE SHE and the UKCP09 probabilistic projections. Hydrol. Res. 2012, 43, 507–530. [Google Scholar] [CrossRef]
- Thompson, J.; Gavin, H.; Refsgaard, A.; Sørenson, H.R.; Gowing, D. Modelling the hydrological impacts of climate change on UK lowland wet grassland. Wetl. Ecol. Manag. 2009, 17, 503–523. [Google Scholar] [CrossRef] [Green Version]
- Chun, K.; Wheater, H.; Onof, C. Streamflow estimation for six UK catchments under future climate scenarios. Hydrol. Res. 2009, 40, 96–112. [Google Scholar] [CrossRef]
- Gosling, S.N. The likelihood and potential impact of future change in the large-scale climate-earth system on ecosystem services. Environ. Sci. Policy 2013, 27, S15–S31. [Google Scholar] [CrossRef]
- Thompson, J.; Green, A.; Kingston, D. Potential evapotranspiration-related uncertainty in climate change impacts on river flow: An assessment for the Mekong River basin. J. Hydrol. 2014, 510, 259–279. [Google Scholar] [CrossRef] [Green Version]
- Bhatta, B.; Shrestha, S.; Shrestha, P.K.; Talchabhadel, R. Evaluation and application of a SWAT model to assess the climate change impact on the hydrology of the Himalayan River Basin. Catena 2019, 181, 104082. [Google Scholar] [CrossRef]
- Taylor, K.E.; Stouffer, R.J.; Meehl, G.A. An overview of CMIP5 and the experiment design. Bull. Am. Meteorol. Soc. 2012, 93, 485–498. [Google Scholar] [CrossRef] [Green Version]
- Yang, J.; Yang, Y.E.; Chang, J.; Zhang, J.; Yao, J. Impact of dam development and climate change on hydroecological conditions and natural hazard risk in the Mekong River Basin. J. Hydrol. 2019, 579, 124177. [Google Scholar] [CrossRef]
- Shrestha, S.; Bhatta, B.; Shrestha, M.; Shrestha, P.K. Integrated assessment of the climate and landuse change impact on hydrology and water quality in the Songkhram River Basin, Thailand. Sci. Total Environ. 2018, 643, 1610–1622. [Google Scholar] [CrossRef]
- Mekong River Commission (MRC). Summary of the Basin-Wide Assessments of Climate Change Impacts on Water and Waterrelated Resources in the Lower Mekong Basin; MRC: Vientiane, Laos, 2017. [Google Scholar]
- Li, C.; Fang, H. Assessment of climate change impacts on the streamflow for the Mun River in the Mekong Basin, Southeast Asia: Using SWAT model. Catena 2021, 201, 105199. [Google Scholar] [CrossRef]
- Oeurng, C.; Cochrane, T.A.; Chung, S.; Kondolf, M.G.; Piman, T.; Arias, M.E. Assessing climate change impacts on river flows in the Tonle Sap Lake Basin, Cambodia. Water 2019, 11, 618. [Google Scholar] [CrossRef] [Green Version]
- Oeurng, C.; Cochrane, T.A.; Arias, M.E.; Shrestha, B.; Piman, T. Assessment of changes in riverine nitrate in the Sesan, Srepok and Sekong tributaries of the Lower Mekong River Basin. J. Hydrol. Reg. Stud. 2016, 8, 95–111. [Google Scholar] [CrossRef] [Green Version]
- Sok, T.; Oeurng, C.; Ich, I.; Sauvage, S.; Sánchez-Pérez, J.M. Assessment of Hydrology and Sediment Yield in the Mekong River Basin Using SWAT Model. Water 2020, 12, 3503. [Google Scholar] [CrossRef]
- Touch, T.; Oeurng, C.; Jiang, Y.; Mokhtar, A. Integrated Modeling of Water Supply and Demand Under Climate Change Impacts and Management Options in Tributary Basin of Tonle Sap Lake, Cambodia. Water 2020, 12, 2462. [Google Scholar] [CrossRef]
- Ang, R.; Oeurng, C. Simulating streamflow in an ungauged catchment of Tonlesap Lake Basin in Cambodia using Soil and Water Assessment Tool (SWAT) model. Water Sci. 2018, 32, 89–101. [Google Scholar] [CrossRef] [Green Version]
- Tan, M.L.; Gassman, P.W.; Srinivasan, R.; Arnold, J.G.; Yang, X. A review of SWAT studies in Southeast Asia: Applications, challenges and future directions. Water 2019, 11, 914. [Google Scholar] [CrossRef] [Green Version]
- Arnold, J.G.; Moriasi, D.N.; Gassman, P.W.; Abbaspour, K.C.; White, M.J.; Srinivasan, R.; Santhi, C.; Harmel, R.; van Griensven, A.; van Liew, M.W. SWAT: Model use, calibration, and validation. Trans. ASABE 2012, 55, 1491–1508. [Google Scholar] [CrossRef]
- Huffman, G.J.; Bolvin, D.T.; Nelkin, E.J.; Wolff, D.B.; Adler, R.F.; Gu, G.; Hong, Y.; Bowman, K.P.; Stocker, E.F. The TRMM Multisatellite Precipitation Analysis (TMPA): Quasi-global, multiyear, combined-sensor precipitation estimates at fine scales. J. Hydrometeorol. 2007, 8, 38–55. [Google Scholar] [CrossRef]
- Shrestha, M.; Acharya, S.C.; Shrestha, P.K. Bias correction of climate models for hydrological modelling–are simple methods still useful? Meteorol. Appl. 2017, 24, 531–539. [Google Scholar] [CrossRef] [Green Version]
- Teutschbein, C.; Seibert, J. Bias correction of regional climate model simulations for hydrological climate-change impact studies: Review and evaluation of different methods. J. Hydrol. 2012, 456, 12–29. [Google Scholar] [CrossRef]
- Shrestha, S.; Shrestha, M.; Babel, M. Modelling the potential impacts of climate change on hydrology and water resources in the Indrawati River Basin, Nepal. Environ. Earth Sci. 2016, 75, 1–13. [Google Scholar] [CrossRef]
- Nash, J.E.; Sutcliffe, J.V. River flow forecasting through conceptual models part I—A discussion of principles. J. Hydrol. 1970, 10, 282–290. [Google Scholar] [CrossRef]
- Gupta, H.V.; Kling, H.; Yilmaz, K.K.; Martinez, G.F. Decomposition of the mean squared error and NSE performance criteria: Implications for improving hydrological modelling. J. Hydrol. 2009, 377, 80–91. [Google Scholar] [CrossRef] [Green Version]
- Moriasi, D.N.; Arnold, J.G.; van Liew, M.W.; Bingner, R.L.; Harmel, R.D.; Veith, T.L. Model evaluation guidelines for systematic quantification of accuracy in watershed simulations. Trans. ASABE 2007, 50, 885–900. [Google Scholar] [CrossRef]
- Moriasi, D.N.; Gitau, M.W.; Pai, N.; Daggupati, P. Hydrologic and water quality models: Performance measures and evaluation criteria. Trans. ASABE 2015, 58, 1763–1785. [Google Scholar]
- Garbrecht, J.; Fernandez, G.P. Visualization of Trends and Fluctuations in Climatic Records 1. JAWRA J. Am. Water Resour. Assoc. 1994, 30, 297–306. [Google Scholar] [CrossRef]
- Lauri, H.; de Moel, H.; Ward, P.J.; Räsänen, T.A.; Keskinen, M.; Kummu, M. Future changes in Mekong River hydrology: Impact of climate change and reservoir operation on discharge. Hydrol. Earth Syst. Sci. 2012, 16, 4603–4619. [Google Scholar] [CrossRef]
- MRC. 1st Draft Report on Defining Basin-Wide Climate Change Scenarios for the Lower Mekong Basin; Mekong River Commission (MRC): Vientiane, Laos, 2015. [Google Scholar]
- Richter, B.D.; Baumgartner, J.V.; Braun, D.P.; Powell, J. A spatial assessment of hydrologic alteration within a river network. Regul. Rivers Res. Manag. Int. J. Devoted River Res. Manag. 1998, 14, 329–340. [Google Scholar] [CrossRef]
- Tan, M.L.; Gassman, P.W.; Yang, X.; Haywood, J. A review of SWAT applications, performance and future needs for simulation of hydro-climatic extremes. Adv. Water Resour. 2020, 143, 103662. [Google Scholar] [CrossRef]
- Te Chow, V. Applied Hydrology; Tata McGraw-Hill Education: New Delhi, India, 2010. [Google Scholar]
- Devkota, L.P.; Gyawali, D.R. Impacts of climate change on hydrological regime and water resources management of the Koshi River Basin, Nepal. J. Hydrol. Reg. Stud. 2015, 4, 502–515. [Google Scholar] [CrossRef] [Green Version]
- Devkota, R.; Bhattarai, U.; Devkota, L.; Maraseni, T.N. Assessing the past and adapting to future floods: A hydro-social analysis. Clim. Change 2020, 163, 1065–1082. [Google Scholar] [CrossRef]
- Shrestha, B.; Cochrane, T.A.; Caruso, B.S.; Arias, M.E.; Piman, T. Uncertainty in flow and sediment projections due to future climate scenarios for the 3S Rivers in the Mekong Basin. J. Hydrol. 2016, 540, 1088–1104. [Google Scholar] [CrossRef]
- Kingston, D.; Thompson, J.R.; Kite, G. Uncertainty in climate change projections of discharge for the Mekong River Basin. Hydrol. Earth Syst. Sci. 2011, 15, 1459–1471. [Google Scholar] [CrossRef] [Green Version]
- Hansen, J.; Sato, M.; Ruedy, R.; Kharecha, P.; Lacis, A.; Miller, R.; Nazarenko, L.; Lo, K.; Schmidt, G.; Russell, G. Climate simulations for 1880–2003 with GISS modelE. Clim. Dyn. 2007, 29, 661–696. [Google Scholar] [CrossRef] [Green Version]
- Shindell, D.; Schulz, M.; Ming, Y.; Takemura, T.; Faluvegi, G.; Ramaswamy, V. Spatial scales of climate response to inhomogeneous radiative forcing. J. Geophys. Res. Atmos. 2010, 115, 115. [Google Scholar] [CrossRef] [Green Version]
- Piman, T.; Cochrane, T.A.; Arias, M.E.; Dat, N.D.; Vonnarart, O. Managing hydropower under climate change in the Mekong tributaries. In Managing Water Resources under Climate Uncertainty; Springer: Berlin, Germany, 2015; pp. 223–248. [Google Scholar]
- MRC. State of the Basin Report; MRC: Vientiane, Laos, 2010. [Google Scholar]
- Chiew, F.; Kirono, D.; Kent, D.; Frost, A.; Charles, S.; Timbal, B.; Nguyen, K.; Fu, G. Comparison of runoff modelled using rainfall from different downscaling methods for historical and future climates. J. Hydrol. 2010, 387, 10–23. [Google Scholar] [CrossRef]
- Wilby, R.L.; Harris, I. A framework for assessing uncertainties in climate change impacts: Low-flow scenarios for the River Thames, UK. Water Resour. Res. 2006, 42, 42. [Google Scholar] [CrossRef]
- Chen, H.; Xu, C.-Y.; Guo, S. Comparison and evaluation of multiple GCMs, statistical downscaling and hydrological models in the study of climate change impacts on runoff. J. Hydrol. 2012, 434, 36–45. [Google Scholar] [CrossRef]
- Shen, M.; Chen, J.; Zhuan, M.; Chen, H.; Xu, C.-Y.; Xiong, L. Estimating uncertainty and its temporal variation related to global climate models in quantifying climate change impacts on hydrology. J. Hydrol. 2018, 556, 10–24. [Google Scholar] [CrossRef]
- Teng, J.; Chiew, F.; Timbal, B.; Wang, Y.; Vaze, J.; Wang, B. Assessment of an analogue downscaling method for modelling climate change impacts on runoff. J. Hydrol. 2012, 472, 111–125. [Google Scholar] [CrossRef]
- Tan, M.L.; Yusop, Z.; Chua, V.P.; Chan, N.W. Climate change impacts under CMIP5 RCP scenarios on water resources of the Kelantan River Basin, Malaysia. Atmos. Res. 2017, 189, 1–10. [Google Scholar] [CrossRef]
- Wilby, R.L.; Dawson, C.W.; Barrow, E.M. SDSM—a decision support tool for the assessment of regional climate change impacts. Environ. Model. Softw. 2002, 17, 145–157. [Google Scholar] [CrossRef]
- Ouyang, F.; Zhu, Y.; Fu, G.; Lü, H.; Zhang, A.; Yu, Z.; Chen, X. Impacts of climate change under CMIP5 RCP scenarios on streamflow in the Huangnizhuang catchment. Stoch. Environ. Res. Risk Assess. 2015, 29, 1781–1795. [Google Scholar] [CrossRef]









| Data Types | Description | Spatial Resolution | Temporal Resolution | Data Sources |
|---|---|---|---|---|
| Topography | Digital elevation model (DEM) | 30 m | Shuttle Radar Topography Mission (SRTM) (http://srtm.csi.cgiar.org, accessed on 1 June 2021) | |
| Land use/land-cover (LULC) | Land use classification | 250 m × 250 m | 2002 | MoWRAM and MRC |
| Soil type | Soil types | 250 m × 250 m | 2002 | MoWRAM and MRC |
| Precipitation | Observed rainfall TRMM | 3 stations 18 stations | Daily, 1995–2019 | DHRW of MOWRAM |
| Streamflow | Observed Streamflow | 1 station | Daily, 2000–2019 | DHRW of MOWRAM |
| Climate data | Gridded climate data | 0.25° | Daily, 1997–2011 | Global Weather Data for SWAT (globalweather.tamu.edu, accessed on 1 June 2021) |
| General Circulation Models (GCMs) | Climate Change Scenarios RCP2.6&8.5 | Change factor in the subbasin | Monthly, 2030s and 2060s | MRC |
| Emission Scenarios | Emission Rate | Time Horizon | GCMs Model |
|---|---|---|---|
| RCP 2.6 | Low | Near future: 2030s (2021–2040) Medium Future: 2060s (2051–2070) | IPSL-CM5A-MR GISS-E2_CC GFDL-CM3 |
| RCP 8.5 | High | Near future: 2030s (2021–2040) Medium Future: 2060s (2051–2070) |
| General Group | Group 1: Magnitude of Monthly Water Condition | Group 2: Magnitude and Duration of Annual Extreme Condition | ||||
|---|---|---|---|---|---|---|
| Regime features | Magnitude, Timing | Magnitude, Duration | ||||
| Streamflow parameters | Mean value for each calendar month | Annual minimum 1-day means | Annual maximum 1-day means | Annual minimum 3-day means | Annual maximum 3-day means | Annual minimum 7-day means |
| Annual maximum 7-day means | Annual minimum 30-day means | Annual maximum 30-day means | Annual minimum 90-day means | Annual maximum 90-day means | ||
| Period | Statistical Performance Measures | |||||
|---|---|---|---|---|---|---|
| NSE | Performance Evaluation | Pbias | Performance Evaluation | R2 | Performance Evaluation | |
| Calibration (2000–2008) | 0.72 | Good | −1.81 | Very Good | 0.75 | Good |
| Validation (2009–2019) | 0.64 | Satisfactory | 8.9 | Good | 0.65 | Satisfactory |
| Monthly | PRECIP | AET | SURQ | LATQ | GWQ | WYLD |
|---|---|---|---|---|---|---|
| (mm/Month) | ||||||
| January | 7.0 | 23.1 | 0.2 | 0.5 | 15 | 16.0 |
| February | 16.4 | 21.0 | 1.4 | 0.4 | 7 | 8.8 |
| March | 54.7 | 40.8 | 2.4 | 1.5 | 2 | 5.9 |
| April | 90.8 | 63.9 | 3.3 | 3.7 | 1 | 8.2 |
| May | 171.8 | 86.4 | 12.2 | 9.7 | 1 | 23.4 |
| June | 188.4 | 103.6 | 19.9 | 15.1 | 3 | 38.0 |
| July | 273.0 | 112.7 | 50.7 | 22.1 | 7 | 80.1 |
| August | 271.8 | 109.1 | 55.7 | 26.7 | 19 | 101.4 |
| September | 261.8 | 82.9 | 59.9 | 29.6 | 35 | 124.2 |
| October | 161.5 | 88.9 | 31.3 | 24.8 | 45 | 101.3 |
| November | 25.7 | 60.8 | 0.9 | 7.3 | 34 | 41.9 |
| December | 12.5 | 33.5 | 0.6 | 1.7 | 24 | 26.0 |
| Water Balance Term | Time | RCP 2.6 | RCP 8.5 | ||||
|---|---|---|---|---|---|---|---|
| GFDL | GISS | IPSL | GFDL | GISS | IPSL | ||
| % | |||||||
| PRECIP | Near | 2 | −4 | 0 | 5 | −11 | −1 |
| Medium | 1 | −3 | 0 | 11 | −23 | −2 | |
| AET | Near | 3 | 1 | 1 | 8 | 4 | 3 |
| Medium | 2 | 1 | 1 | 18 | 5 | 5 | |
| Surface Runoff | Near | 2 | −10 | −1 | 7 | −29 | −3 |
| Medium | 2 | −8 | −1 | 16 | −58 | −4 | |
| Lateral flow | Near | 1 | −6 | −1 | 2 | −18 | −3 |
| Medium | 1 | −5 | −1 | 4 | −36 | −5 | |
| Groundwater flow | Near | −3 | −19 | −6 | −8 | −53 | −18 |
| Medium | −2 | −14 | −5 | −18 | −96 | −38 | |
| Water yield | Near | 0 | −12 | −3 | 1 | −34 | −8 |
| Medium | 0 | −9 | −2 | 2 | −64 | −15 | |
| RCPs | RCP 2.6 | RCP 8.5 | ||||||||||||
|---|---|---|---|---|---|---|---|---|---|---|---|---|---|---|
| Time Horizons | Baseline | Near | Mid | Near | Mid | |||||||||
| GCMs | (mm) | GFDL | GISS | IPSL | GFDL | GISS | IPSL | GFDL | GISS | IPSL | GFDL | GISS | IPSL | |
| Rainfall | January | 7 | 14 | −4 | −2 | 11 | −3 | −2 | 41 | −11 | −6 | 88 | −24 | −13 |
| February | 16 | 1 | −5 | −8 | 0 | −4 | −6 | 2 | −15 | −22 | 3 | −31 | −47 | |
| March | 55 | 12 | −13 | −14 | 9 | −10 | −10 | 35 | −38 | −40 | 76 | −82 | −86 | |
| Aprilil | 91 | −2 | −3 | −7 | −2 | −3 | −6 | −6 | −10 | −22 | −13 | −21 | −47 | |
| May | 172 | 2 | −6 | −1 | 1 | −4 | −1 | 5 | −17 | −2 | 10 | −37 | −5 | |
| June | 188 | 1 | −3 | 1 | 1 | −2 | 1 | 3 | −9 | 3 | 7 | −19 | 7 | |
| July | 273 | −1 | −7 | −3 | −1 | −5 | −2 | −4 | −20 | −8 | −9 | −42 | −19 | |
| August | 272 | 1 | −3 | 0 | 1 | −2 | 0 | 4 | −9 | 1 | 9 | −19 | 3 | |
| September | 262 | 4 | 0 | 1 | 3 | 0 | 0 | 13 | −1 | 2 | 27 | −1 | 4 | |
| October | 161 | 2 | −2 | 8 | 1 | −1 | 6 | 5 | −6 | 23 | 10 | −13 | 49 | |
| November | 26 | 10 | 6 | 3 | 7 | 5 | 3 | 29 | 19 | 10 | 62 | 39 | 21 | |
| December | 12 | 5 | −2 | 18 | 4 | −1 | 14 | 15 | −4 | 53 | 32 | −10 | 113 | |
| Evapotranspiration | January | 23 | 3 | 2 | 3 | 2 | 2 | 2 | 8 | 7 | 9 | 16 | 15 | 17 |
| February | 21 | 3 | −2 | 2 | 2 | −1 | 1 | 9 | −5 | 4 | 18 | −12 | 5 | |
| March | 41 | 4 | −3 | −2 | 3 | −2 | −1 | 12 | −9 | −7 | 26 | −29 | −28 | |
| April | 64 | 6 | −1 | −1 | 4 | −1 | −1 | 17 | −4 | −6 | 38 | −6 | −11 | |
| May | 86 | 3 | 3 | 1 | 2 | 2 | 1 | 9 | 7 | 2 | 20 | 10 | 4 | |
| June | 104 | 2 | 1 | 1 | 2 | 1 | 1 | 7 | 1 | 4 | 14 | −3 | 8 | |
| July | 113 | 4 | 3 | 2 | 3 | 2 | 2 | 11 | 7 | 6 | 24 | 9 | 14 | |
| August | 109 | 2 | 3 | 2 | 2 | 2 | 1 | 7 | 8 | 5 | 14 | 15 | 11 | |
| September | 83 | 1 | 2 | 0 | 1 | 2 | 0 | 4 | 7 | 1 | 9 | 14 | 2 | |
| October | 89 | 2 | 1 | 0 | 1 | 1 | 0 | 5 | 4 | 0 | 12 | 9 | 0 | |
| November | 61 | 2 | 1 | 2 | 1 | 1 | 2 | 5 | 3 | 7 | 10 | 6 | 15 | |
| December | 34 | 2 | 1 | 3 | 2 | 0 | 2 | 7 | 1 | 8 | 15 | 2 | 16 | |
| Water Yield | January | 16 | 1 | −12 | 0 | 1 | −10 | 0 | 1 | −38 | −2 | 3 | −86 | −8 |
| February | 9 | −1 | −13 | −4 | −1 | −10 | −3 | −4 | −39 | −11 | −5 | −80 | −22 | |
| March | 6 | 18 | −24 | −20 | 14 | −18 | −16 | 61 | −57 | −48 | 163 | −83 | −67 | |
| April | 8 | 0 | −17 | −22 | 0 | −14 | −18 | 2 | −41 | −51 | 5 | −69 | −76 | |
| May | 23 | 0 | −20 | −12 | 0 | −16 | −9 | 0 | −50 | −32 | −2 | −78 | −56 | |
| June | 38 | −1 | −16 | −5 | 0 | −12 | −4 | −2 | −42 | −15 | −5 | −73 | −31 | |
| July | 80 | −5 | −18 | −8 | −4 | −14 | −6 | −13 | −47 | −23 | −28 | −82 | −46 | |
| August | 101 | −1 | −13 | −4 | −1 | −10 | −3 | −3 | −36 | −11 | −6 | −68 | −23 | |
| September | 124 | 3 | −7 | −2 | 3 | −6 | −2 | 10 | −23 | −6 | 22 | −41 | −14 | |
| October | 101 | 1 | −8 | 5 | 1 | −6 | 4 | 3 | −27 | 14 | 5 | −56 | 30 | |
| November | 42 | 1 | −10 | 0 | 1 | −7 | 0 | 2 | −31 | 0 | 4 | −73 | −3 | |
| December | 26 | 0 | −11 | 1 | 0 | −8 | 1 | 0 | −34 | 2 | 0 | −82 | 4 | |
| RCPs | RCP 2.6 | RCP 8.5 | ||||||||||||
|---|---|---|---|---|---|---|---|---|---|---|---|---|---|---|
| Time Horizons | Baseline | Near | Mid | Near | Mid | |||||||||
| GCMs | (mm) | GFDL | GISS | IPSL | GFDL | GISS | IPSL | GFDL | GISS | IPSL | GFDL | GISS | IPSL | |
| Surface Runoff | January | 0 | 58 | 11 | 11 | 47 | 11 | 0 | 84 | −53 | −11 | 321 | −68 | −58 |
| February | 1 | −7 | −16 | −20 | −7 | −15 | −16 | −21 | −48 | −49 | −15 | −71 | −82 | |
| March | 2 | 42 | −36 | −37 | 32 | −28 | −29 | 140 | −81 | −84 | 380 | −100 | −100 | |
| April | 3 | −7 | −22 | −33 | −5 | −18 | −26 | −18 | −50 | −71 | −40 | −78 | −95 | |
| May | 12 | 1 | −25 | −14 | 1 | −20 | −11 | 3 | −63 | −38 | 2 | −93 | −68 | |
| June | 20 | 0 | −17 | −4 | 0 | −13 | −3 | −1 | −48 | −14 | −6 | −84 | −39 | |
| July | 51 | −5 | −18 | −8 | −4 | −14 | −6 | −15 | −51 | −25 | −32 | −91 | −53 | |
| August | 56 | 2 | −9 | 0 | 1 | −7 | 0 | 5 | −28 | −2 | 9 | −68 | −8 | |
| September | 60 | 8 | −1 | 1 | 6 | −1 | 1 | 25 | −5 | 3 | 56 | −18 | 5 | |
| October | 31 | 3 | −5 | 16 | 2 | −4 | 13 | 9 | −14 | 52 | 19 | −33 | 122 | |
| November | 1 | 27 | 16 | 11 | 20 | 11 | 8 | 91 | 47 | 34 | 234 | 103 | 75 | |
| December | 1 | 9 | −10 | 48 | 7 | −9 | 36 | 17 | −33 | 143 | 55 | −55 | 424 | |
| Lateral Flow | January | 1 | 12 | 0 | 12 | 8 | 0 | 8 | 35 | −2 | 33 | 75 | −8 | 71 |
| February | 0 | 8 | −3 | −3 | 8 | −3 | −3 | 26 | −10 | −13 | 59 | −21 | −23 | |
| March | 1 | 14 | −14 | −16 | 11 | −10 | −12 | 41 | −41 | −46 | 89 | −76 | −85 | |
| April | 4 | 5 | −13 | −17 | 4 | −10 | −13 | 14 | −34 | −46 | 28 | −62 | −79 | |
| May | 10 | −1 | −12 | −8 | −1 | −9 | −6 | −2 | −33 | −23 | −5 | −60 | −41 | |
| June | 15 | 0 | −9 | −2 | 0 | −7 | −2 | 0 | −27 | −7 | 0 | −53 | −11 | |
| July | 22 | −2 | −9 | −3 | −2 | −7 | −3 | −7 | −27 | −9 | −14 | −56 | −19 | |
| August | 27 | −1 | −7 | −2 | −1 | −6 | −2 | −4 | −22 | −7 | −8 | −47 | −13 | |
| September | 30 | 2 | −3 | 0 | 2 | −2 | 0 | 6 | −9 | 0 | 13 | −18 | 0 | |
| October | 25 | 2 | −2 | 4 | 2 | −2 | 3 | 6 | −7 | 12 | 13 | −14 | 24 | |
| November | 7 | 3 | −2 | 6 | 2 | −1 | 5 | 9 | −4 | 18 | 19 | −9 | 37 | |
| December | 2 | 5 | −1 | 10 | 4 | 0 | 8 | 16 | −1 | 30 | 35 | −3 | 66 | |
| Groundwater | January | 15 | 0 | −13 | −1 | 0 | −10 | −1 | −1 | −40 | −3 | −3 | −89 | −10 |
| February | 7 | −1 | −13 | −2 | 0 | −10 | −1 | −2 | −39 | −4 | −7 | −85 | −11 | |
| March | 2 | −5 | −17 | −4 | −4 | −14 | −3 | −12 | −42 | −9 | −28 | −70 | −19 | |
| April | 1 | 7 | −17 | −9 | 5 | −14 | −7 | 22 | −38 | −15 | 53 | −64 | −20 | |
| May | 1 | −4 | −30 | −25 | −3 | −24 | −20 | −10 | −54 | −46 | −18 | −70 | −49 | |
| June | 3 | −4 | −41 | −28 | −3 | −33 | −22 | −14 | −79 | −63 | −30 | −92 | −85 | |
| July | 7 | −8 | −40 | −23 | −6 | −31 | −18 | −23 | −84 | −56 | −45 | −96 | −84 | |
| August | 19 | −9 | −33 | −17 | −7 | −25 | −13 | −25 | −78 | −46 | −50 | −100 | −81 | |
| September | 35 | −4 | −22 | −9 | −3 | −16 | −7 | −12 | −65 | −28 | −30 | −99 | −61 | |
| October | 45 | −1 | −14 | −3 | −1 | −11 | −2 | −4 | −47 | −10 | −10 | −94 | −31 | |
| November | 34 | 0 | −12 | −1 | 0 | −9 | −1 | −2 | −39 | −4 | −5 | −91 | −14 | |
| December | 24 | 0 | −12 | −1 | 0 | −9 | −1 | −1 | −36 | −3 | −4 | −89 | −11 | |
| Month | PRC2.6 | PRC8.5 | ||||||||||
|---|---|---|---|---|---|---|---|---|---|---|---|---|
| 2030s | 2060s | 2030s | 2060s | |||||||||
| GFDL | GISS | IPSL | GFDL | GISS | IPSL | GFDL | GISS | IPSL | GFDL | GISS | IPSL | |
| May | ↓↓ | ↓↓ | ↓↓ | ↓↓ | ↓↓↓ | ↓↓↓ | ↓↓↓↓ | ↓↓↓↓ | ||||
| June | ↓↓ | ↓ | ↓↓ | ↓ | ↓↓ | ↓↓↓ | ||||||
| July | ↓ | ↓↓ | ↓ | ↓ | ↓↓ | ↓ | ↓ | ↓↓ | ↓↓ | ↓↓↓ | ||
| August | ↓ | ↓↓ | ↓ | ↓ | ↓↓ | ↓ | ↓ | ↓↓ | ↓↓ | ↓↓↓ | ||
| September | ↓ | ↓ | ↓ | ↓ | ↑ | ↓ | ↑↑ | ↓↓ | ||||
| October | ↓ | ↓ | ↓ | ↓ | ↑ | ↑ | ↑↑ | ↑↑ | ||||
| November | ↓ | ↓ | ↓↓↓ | ↑ | ↑ | ↓↓↓↓ | ↑ | |||||
| December | ↓ | ↓ | ↓ | |||||||||
| January | ↓↓ | ↓ | ↓ | |||||||||
| February | ↓↓ | ↓↓ | ↓ | ↓↓ | ||||||||
| March | ↓↓ | ↓ | ↓↓ | ↓ | ↑ | ↓↓ | ↑↑ | ↓↓↓ | ||||
| April | ↑ | ↓↓ | ↓↓ | ↑ | ↓↓↓ | ↓↓ | ↑↑↑ | ↓↓↓ | 90 | ↓↓↓↓ | ||
| Flow Regimes | Baseline | Time Horizon | GFDL | GISS | IPSL | |||
|---|---|---|---|---|---|---|---|---|
| (m3/s) | (m3/s) | (%) | (m3/s) | (%) | (m3/s) | (%) | ||
| RCP2.6 | ||||||||
| Q5 | 710.4 | Near Future | 719.0 | 1 | 641.6 | −10 | 701.2 | −1 |
| Medium Future | 716.1 | 1 | 659.0 | −7 | 705.3 | −1 | ||
| Q95 | 17.6 | Near Future | 17.9 | 2 | 15.0 | −15 | 15.7 | −11 |
| Medium Future | 17.7 | 0 | 15.7 | −11 | 16.2 | −8 | ||
| RCP8.5 | ||||||||
| Q5 | 710.4 | Near Future | 729.0 | 3 | 498.5 | −30 | 676.7 | −5 |
| Medium Future | 754.0 | 6 | 329.8 | −54 | 671.7 | −5 | ||
| Q95 | 17.6 | Near Future | 18.8 | 7 | 10.3 | −42 | 12.0 | −32 |
| Medium Future | 19.6 | 11 | 3.1 | −82 | 7.6 | −57 | ||
| RAIN | SURF_Q | LAT_Q | GW_Q | WYLD | ET | PET | ||
|---|---|---|---|---|---|---|---|---|
| RAIN | 1 | 0.96 | 0.78 | 0.40 | 0.78 | 0.36 | −0.40 | RCP8.5 |
| SURF_Q | 0.89 | 1 | 0.79 | 0.44 | 0.82 | 0.36 | −0.46 | |
| LAT_Q | 0.77 | 0.84 | 1 | 0.65 | 0.85 | 0.50 | −0.34 | |
| GW_Q | 0.51 | 0.52 | 0.75 | 1 | 0.74 | 0.18 | −0.16 | |
| WYLD | 0.85 | 0.83 | 0.88 | 0.73 | 1 | 0.41 | −0.33 | |
| ET | 0.27 | 0.36 | 0.48 | 0.27 | 0.42 | 1 | 0.430 | |
| PET | −0.52 | −0.45 | −0.41 | −0.18 | −0.42 | 0.36 | 1 | |
| RCP2.6 | ||||||||
Publisher’s Note: MDPI stays neutral with regard to jurisdictional claims in published maps and institutional affiliations. |
© 2022 by the authors. Licensee MDPI, Basel, Switzerland. This article is an open access article distributed under the terms and conditions of the Creative Commons Attribution (CC BY) license (https://creativecommons.org/licenses/by/4.0/).
Share and Cite
Sok, T.; Ich, I.; Tes, D.; Chan, R.; Try, S.; Song, L.; Ket, P.; Khem, S.; Oeurng, C. Change in Hydrological Regimes and Extremes from the Impact of Climate Change in the Largest Tributary of the Tonle Sap Lake Basin. Water 2022, 14, 1426. https://doi.org/10.3390/w14091426
Sok T, Ich I, Tes D, Chan R, Try S, Song L, Ket P, Khem S, Oeurng C. Change in Hydrological Regimes and Extremes from the Impact of Climate Change in the Largest Tributary of the Tonle Sap Lake Basin. Water. 2022; 14(9):1426. https://doi.org/10.3390/w14091426
Chicago/Turabian StyleSok, Ty, Ilan Ich, Davin Tes, Ratboren Chan, Sophal Try, Layheang Song, Pinnara Ket, Sothea Khem, and Chantha Oeurng. 2022. "Change in Hydrological Regimes and Extremes from the Impact of Climate Change in the Largest Tributary of the Tonle Sap Lake Basin" Water 14, no. 9: 1426. https://doi.org/10.3390/w14091426
APA StyleSok, T., Ich, I., Tes, D., Chan, R., Try, S., Song, L., Ket, P., Khem, S., & Oeurng, C. (2022). Change in Hydrological Regimes and Extremes from the Impact of Climate Change in the Largest Tributary of the Tonle Sap Lake Basin. Water, 14(9), 1426. https://doi.org/10.3390/w14091426

