Abstract
Cattle slaughtering produce large amounts of wastewater containing high concentrations of organic matter and nutrients and requires significant treatment before disposal or reutilization. However, the nutrients contained can be valued as a medium for microalgal biomass generation. In this work, hydrodynamic cavitation (HC) followed by membrane filtration or biological (microalgae cultivation) treatment in continuous mode were performed. From cattle slaughterhouse wastewater (CSW), by the effect of HC treatment with air injection in batch mode, more than 20% of the chemical oxygen demand (COD) was removed. In a continuous HC process, the COD content in output was 324 mg O2/L, which is 68% lower than the supplied CSW. After that, 76% of residual COD was removed by filtration through a tubular alumina membrane (600 nm). Finally, 85% of residual COD after HC treatment in 24 h in a batch mode was removed by microalgae. On the other hand, the COD concentration in the output was around 59 mg O2/L in continuous mode, which represents 85–93% COD removal. The process involving HC and microalgae growing looks promising since in addition to water treatment, the microalgae produced could be valued in a biorefinery concept.
1. Introduction
According to the United States Department of Agriculture (USDA), the world consumption of beef in 2020 was 50.06 million tons and the expectation for 2021 is around 60 million tons in carcass equivalent [1]. Due to its composition in organic matter, suspended solids, oil and fat, and nutrients (nitrogen and phosphorus), the cattle slaughterhouse wastewater (CSW) requires an efficient treatment process before disposal or reutilization. The CSW represents a significant problem because the water consumption is between 700 L and 3000 L of water per animal [2,3]. Therefore, the development of sustainable, efficient, and low-cost technologies for CSW treatment is a current challenge.
Hydrodynamic cavitation (HC) technology has been attracting the interest of the scientific community for water treatment [2]. In HC, micro–nano bubbles of water vapor at low pressure are formed by passing the water through plates with orifices and Venturi tubes [3]. The formation, growth, and violent collapse of bubbles result in the release of large amounts of energy “hot spots”, shock waves and microjets that can degrade or break up organic matter present in the fluid. Furthermore, the highly reactive hydroxyl radicals (OH•) generated in HC can degrade a wide range of recalcitrant pollutants [4]. The HC efficiency increases when it is combined with other processes, e.g., aeration, oxygenation and Fenton [5,6,7], ultrasound [8], UV [9], ozone [10], and plasma [11]. Some advantages of HC are the simplicity in construction, low-cost, high-energy efficiency, and easy scalability [6,12,13]. However, HC treatment of CSW has not been reported yet, alone or in combination with other techniques; such as membrane filtration and biological processes.
Wastewater treatment using membrane filtration is carried out mainly in a tertiary step, and the use of ceramic membrane (CMs) has increased in recent years. Some advantages of CMs with respect to polymeric membranes are the fouling resistance, operation at high temperatures, and allowing longer filtration cycles [14]; however, they are more expensive. Moreover, membranes allow for the efficient removal of the COD and total suspended solids (TSS), e.g., as reported for slaughterhouse wastewater using 0.13 µm pore size inorganic membrane [15]. Membrane technology can also be integrated to biological processes for simultaneous microalgae cultivation and wastewater treatment in submerged membrane photobioreactors [16,17].
Biological processes using microalgae are a suitable and ecofriendly option for wastewater treatment, allowing for the nutrient recovery in the form of valuable biomass, energy savings, and CO2 emissions reduction [18]. Several algae strains have been used for wastewater treatment, but Chlorella vulgaris is one of the best microalgae for bioremediation, due to its high capability of nutrients (N and P) and COD removal [17,19], and capacity to adapt to several wastewater types [20]. C. vulgaris has been used for several wastewater treatments in batch processes; however, specific information for CSW is not available, the existing information being limited to poultry slaughterhouse wastewater [17], aquaculture wastewater [21], and dairy wastewater treated with activated sludge [22]. Moreover, considering the potential of microalgae as a source to obtain several bioproducts, cultivation of microalgae in CSW is a suitable option to consider.
Therefore, the combined process including HC, membrane technology, and biological processes can be an interesting and promising alternative for efficient CSW treatment. In this way, hydrodynamic cavitation was evaluated as a new approach for the treatment of cattle slaughterhouse wastewater in batch and continuous processes with/without air injection. Then, the HC-treated water was submitted to filtration across ceramic membranes or used as a medium for microalgae (Chlorella vulgaris) cultivation in batch and continuous processes in an internal-loop concentric tube photobioreactor in order to produce microalgae biomass for subsequent bioenergy or biomolecule production.
2. Materials and Method
2.1. Slaughterhouse Wastewater
Cattle slaughterhouse wastewater (CSW) was obtained from a local industry in Arequipa, Peru. After collection, the CSW was filtered in order to remove coarse particles. The filtered wastewater was characterized by total chemical oxygen demand (COD), biochemical oxygen demand (BOD5), total alkalinity, conductivity, fat and oil, turbidity, nitrogen (ammoniacal and kjeldahl), and total phosphorous according to the standard method for wastewater characterization APHA [23].
2.2. Hydrodynamic Cavitation System
The hydrodynamic cavitation (HC) system was constructed in the laboratory using low-cost materials, such as polyvinyl chloride (PVC) with a simple configuration, as observed in Figure 1A. The setup was arranged in a recycled, by-pass close manner, including a recirculation tank (4 L), pump (1 HP), pressure gauges, and valves. In the system, the cavitation device (Figure 1B) was a perforated plate (12 holes of 0.8 mm diameter). The required pressure was regulated by the bypass line.
Figure 1.
Schematic experimental setup of hydrodynamic cavitation reactor (A) and cavitation device—orifice plate (B). (A): 1—pump, 2—cavitation device (orifice plate), 3—valve in by-pass line, 4—manometer, 5—cavitation zone, 6—recirculation tank, 7—sampling point.
2.3. Computational Fluid Dynamics (CFD) Modeling
CFD modeling in the cavitation device was performed using water and the software ANSYS FLUENT 2021 R2 (ANSYS, Inc., Canonsburg, PA, USA) with the purpose of defining the physical properties of fluid (pressure, velocity, and water vapor volume fraction distribution) along the cavitation device “orifice plate” (Figure 1B). The mixture model was used to model liquid and vapor phases by solving continuity and momentum equations. Moreover, the Schnerr and Sauer model was selected from available models in the ANSYS Fluent, to determinate the mass transference from water–liquid to water–vapor due to a decrease in pressure below the vapor pressure of the fluid [24].
The continuity equation of the mixture:
The momentum equation of the mixture:
In the above expressions, is the mixture density, is the mixture velocity vector, and is the mixture viscosity.
The Schnerr–Sauer model for the vapor phase:
R is given by:
The relation of vapor volume fraction to the number of bubbles per unit volume of liquid can be expressed by the following expression:
where: is bubble number density, is the bubble radius, and is vapor fraction.
For modeling, a coupled method was selected for solution. Physical properties through the cavitation device were estimated by successive iterations until convergence. For the modeling process, the upstream manometric pressure considered was 400 kPa and the corresponding velocity of the fluid was calculated.
The cavitation number was calculated according to the following equation:
where: Pmin is the minimum pressure occurring in the vicinity of the restriction, kPa; Pvap is vapor pressure of water (at 70 °C is 31.16 kPa); = density of the liquid (at 70 °C, 978 kg/m3); and the flow velocity through the restriction, m·s−1.
2.4. Hydrodynamic Cavitation Treatment of Cattle Slaughterhouse Wastewater
The CSW was treated in the HC system, first in batch process with and without air injection in the recirculation tank containing 3 L liquid. In the experiment, the pressure was maintained constant at 400 kPa. The initial pH of CSW was 7.3 and the process was performed without temperature control, thus, it increased from 13 °C to 65–70 °C in 30 min. During the process, samples were collected periodically for COD analysis. After 30 min of the batch process, untreated water was fed continuously at 100 mL/min (continuous process). This was determined by considering the dilution rate (D = 28.7 min−1). To keep the volume constant, the solution was removed using a peristaltic pump. During the continuous process, the pressure was 400 kPa, the temperature and pH were continuously monitored. Samples were obtained for the respective COD analysis.
2.5. Membrane Filtration of HC Treated Water
The HC-treated wastewater (HC-CSW) was submitted to filtration process in a tubular asymmetric porous alumina (24 cm long × 1 cm diameter) with outer pore size of 600 nm from Inopor® (Scheßlitz, Germany), using a peristaltic pump delivering an initial 30 mL/min (0.41 mL/min·cm2) flux in the permeation, which was gradually decreasing because of fouling. When the flux reduced to approximately one third of the original, this flux was restored by backwashing using distilled water. This cycle was repeated five times. Then, the filtered water was submitted to new filtrations though 200 nm and 70 nm pore size membranes. The obtained sample process was analyzed with respect to COD after each filtration.
2.6. Microalgae Cultivation in HC Treated Wastewater
The HC-treated wastewater (HC-CSW) was used as a medium for microalgae (Chlorella vulgaris) cultivation in an internal-loop concentric tube photobioreactor (350 mm × 150 mm, 5 L), containing 4.2 L of wastewater at an initial pH of 8.1 and 150 mg/L of microalgae concentration in the reactor. The experiment was carried out in a batch process during 55 h at 25–27 °C with continuous illumination (440 µmol/(m2·s) photon flux density) and constant air supply into the reactor (0.2 vvm). During the process, samples were obtained periodically in order to analyze the microalgae concentration, COD, and pH.
After 50 h of the batch process, the continuous process was initiated in two continuous steps with different COD concentration 391 and 856 mg/L for the first and second step, respectively, using the same flow rate (2.27 mL/min). To keep the volume constant, the medium was removed from the reactor by the output line, from where samples were collected periodically to analyze the microalgae biomass, COD, and pH. After 63 h of the continuous process, the second step was initiated.
3. Results and Discussion
3.1. Cattle Slaughterhouse Wastewater (CSW)
The main parameters of the collected CSW sample are listed in Table 1. The CSW used in this study contains 3019 mg/L of COD, indicating high pollutant content; however, higher COD values have been reported, e.g., 32,000 mg O2/L [25]. The low BOD5 (1000 mg/L) confer a low biodegradability index to the used sample (BI = 0.3). Similar BI values have also been reported for CSW: 0.28 [26] and 0.35 [27]. The low BI values suggest the presence of poorly biodegradable substances that may be toxic to microbes and inhibit microbial activity. With respect to true color 2175 Pt-Co, this is lower than the 16,426 Pt-Co reported by Musa et al. [25]. These parameters should change in time depending on the number of slaughtered animals.
Table 1.
Main parameters of cattle slaughterhouse used in this study.
3.2. CFD Modelling and CSW Treatment Using HC
Parameters, such as throat velocity, cavitation number, and water vapor volume fraction along the device, were estimated by CFD modeling. In the cavitation device meshing (Figure 2A), 481,607 mixed cells were obtained, and the mesh quality was verified by orthogonal quality and skewness statistic which results in 0.77 and 0.23 average, respectively. These values are according to the ANSYS Meshing User’s Guide (ANSYS, 2010) and correspond to very good values for orthogonal quality and skewness within their respective spectra. In the cavitation devise (orifice plate), the manometric pressure sharply drops (Figure 2B) and the fluid velocity increases (Figure 2C). This behavior is similar to that observed in several cavitation devices [28]. Moreover, the maximal vapor fraction generated in the system was 0.74 (Figure 2D) and the (Cv) calculated cavitation number was 0.16. Generally, the cavitation inception occurs at Cv = 1, which becomes significant at Cv values less than 1, exactly 0.1 to 0.4 [29]. The Cv obtained is between 0.095–0.21 according to the one previously reported as optimum for orange 4 dye decolorization [30] or between 0.1–1 reported for wastewater treatment [31].
Figure 2.
CFD analysis. (A) Constructed mesh, (B) manometric pressure profile, (C) velocity through the orifice, and (D) vapor fraction achieved at 400 kPa.
The CSW was treated in the HC system and results are listed in Figure 3A. The COD value decreases lightly in a 30 min process, achieving 559 mg O2/L, which corresponds to 38% removal with respect to the initial value. The COD removal is intensified when air is injected in the system attaining 65% COD removal. This behavior can be given by the fact that gaseous species present in air, such as nitrogen and oxygen, could enhance OH radical formation [32], as previously observed for benzene degradation [7]. However, the foam layer formation on the surface and odor removal were observed in both processes, but the foam formation was enhanced with air injection. During the process, the temperature increased from 17 °C to 65 °C, where a sudden discoloration occurred; this point was the starting point of the continuous process. The HC process for CSW has not been previously reported; however, for industrial wastewater (not specified) [6], industrial-grade dye solutions, and printing ink wastewater [33], petroleum refinery effluent [34] and others have been reported.
Figure 3.
Hydrodynamic cavitation of CSW with aeration. (A) Batch process with and without air injection and (B) continuous process after batch process.
Although the HC treatment efficiency for pollutant removal is low, it is improved when it is combined with other processes such as air injection. For example, using non-specified industrial wastewater [6], the addition of air and oxygen to the process has been shown to allow 18% and 45% COD removal, respectively. The benefit of air injection in the HC process was also reported by Doltade et al. [34], where the COD reduction (52%) as well as total bacterial count (59%) during the treatment of a petroleum refinery effluent were higher with air injection than without air injection operated at 5 bar pressure. Finally, by the effect of air injection in the HC process, the RB13 decolorization rate was 5.5 × 10−3 min−1, which is higher than the 5.2 × 10−3/min reported for HC alone [35]. Therefore, the increase in the chemical and physical effect of cavitation by air injection can be associated with the presence of oxygen in air which enhances the •OH radical generation rate [35]. The presence of air in the system can also act as nuclei for cavity generation and high shear forces [34]. Moreover, considering the particle size reduction by cavitation effect, the transport of pollutants by air bubbles to the surface will be easier.
The HC treatment of CSW was also performed in a continuous process and the result is shown in Figure 3B. As observed, the average COD removal and concentration in the output line are 68% and 293 mg O2/L, respectively; the experiment was performed feeding 100 mL/min of CSW (stablished by dilution rate). This is the first report of a continuous HC process for wastewater. However, a continuous HC process has been reported for other applications, e.g., inactivation of pathogens in milk [36] with results similar to long-time low-temperature (LTLT) processes. Additionally, a continuous HC process has been reported for pretreatment lignocellulosic biomass [13] and intensification of the heterogeneous Fenton-type process for dye pollution abatement [37].
Therefore, efforts must be focused on applying the process in real situations. Some challenges for the HC process could be: (a) increasing the flux of fed wastewater in a continuous process, (b) cooling the processed water in an output line once the HC process increases the water temperature, (c) constant foam removal from the surface, and (d) reducing the hydraulic retention time (HRT).
3.3. Membrane Filtration of HC-CSW
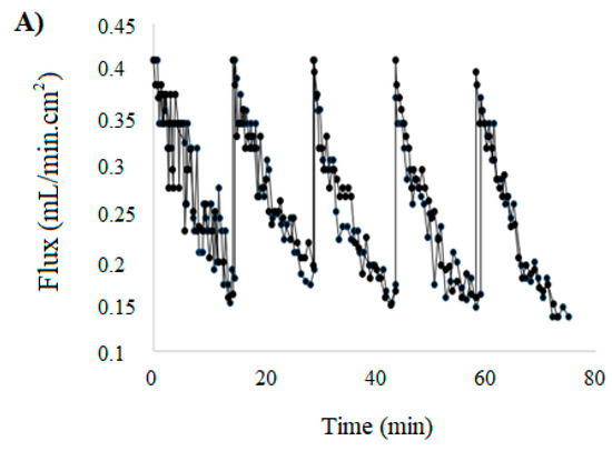
The HC-CSW was submitted to filtration using alumina tubular membranes with three different pore sizes. As observed in Figure 4A, the maximal flux across the membrane (600 nm) was 0.43 mL/(min·cm2), which decreases quickly to 0.15 mL/(min·cm2) in a 15 min of process. The reduction in the flux is due to fouling and cake formation by the residual pollutants present in HC-treated CSW, which have a negative impact on the membrane performance, requiring cleaning. The fouled membrane was cleaned by backwashing with water, then, a new cycle of filtration was performed. The objective of this experiment was just to evaluate the performance of the membranes for the HC-CSW, which could be an interesting option in the future. It has been reported that tubular ceramic membranes can completely remove the COD, total suspended solids, and turbidity from poultry slaughterhouse wastewater [15], using a ceramic membrane with 133 nm of pore size and 40.17% porosity.

Figure 4.
(A) Membrane filtration of HC-treated CSW using tubular alumina membranes with 600 nm of pore size and (B) residual COD after HC treatment and after passed consecutively through tubular alumina membranes with different pore sizes.
The membrane pore size is important in the retention of pollutants. In total, 41% of residual COD was removed using a membrane with 600 nm pore size; then, the permeated COD passed consecutively through 200 nm and 70 nm membranes, where 20% and 6.8% of residual COD was removed, respectively; the COD removal turns higher as the membrane pore size decreases. At the same time; the organic compounds remain in the water among them and soluble proteins, such as albumin (66.5 kDa), require <3 nm pore size membranes to be removed.
The total COD removal using three membranes was 85%. This result is close to the one reported by Kumar et al. [38], by using tubular ceramic membranes (309 nm and 53% porosity) for dairy wastewater treatment, achieving a maximum 91% (135 mg O2/L) reduction in COD in the permeate stream with a flux of 2.59 × 10−6 m3/m2 s.
Table 2 summarizes the parameters of untreated samples (CSW), after HC treatment and after the filtration of the HC-CSW through an alumina membrane (600 nm). The HC treatment considerably reduces almost all the parameters, mainly true color, turbidity, COD, turbidity, total Kjeldahl nitrogen, and BOD5. However, there is an increase in ammoniacal nitrogen (28%); this is probably due to the production of ammonia from the destruction of organic compounds containing nitrogen groups such as proteins and hemoglobin as it is reflected in the decrease in the Kjeldahl nitrogen. After passing the HC-CSW through the 600 nm pore size membrane, all the parameters are reduced, mainly true color, turbidity, and COD because of the removal of colloidal compounds with more than a 600 nm diameter.
Table 2.
Comparison in the main parameters of cattle slaughterhouse wastewater after HC treatment and filtered through ceramic membrane (600 nm of pore size).
As the COD value is concerned, after filtration, it was 157 mg O2/L, which is slightly higher than the 125 mg O2/L established to safe discharge slaughterhouse wastewater by different jurisdictions, including the International Finance Corporation [39] of the World Bank Group (IFC) and the Council of European Communities [40]. However, the achieved values are lower than those established in the Peruvian legislation for the beer and tannery industry or domestic/municipal wastewater treatment plants.
3.4. Microalgae Cultivation in HC-CSW
The HC-CSW was used as a medium for microalgae cultivation in batch (4.2 L) for 50 h, and then in a continuous process, first using a sample containing 391 mg O2/L (step 2), and afterwards, 856 mg O2/L (step 3), both at 2.27 mL/min feed rate; the results are observed in Figure 5. The batch process was initiated using diluted HC-CSW at 400 mg O2/L of COD, which was fast reduced to lower than 100 mg O2/L in 24 h, the COD value is almost constant (85% of COD removal). The microalgae biomass increased, reaching to 870 mg/L and 1150 mg/L in 24 h and 48 h, respectively, with a 0.78 d−1 specific growth rate (µ). Moreover, the pH increased slightly from 8.1 to 9.6 due to the uptake of inorganic carbon [17]. The good microalgae performance for COD reduction can be associated with the increase in biodegradability index (BI = 0.45) using HC treatment as previously reported for other wastewaters [41,42]. The COD removal obtained in this study was similar to that obtained in poultry slaughterhouse wastewater using C. vulgaris [17] and higher than the COD removal (20%) in the 7 days reported by Vadiveloo et al. [43] who used microalgae Chlorella from anaerobically digested abattoir effluent (ADAE) with 0.25 d−1 microalgae specific growth rate.
Figure 5.
Microalgae cultivation in HC-treated CSW in a batch and continuous process (feed rate 2.27 mL/min).
After the batch process, microalgae cultivation was also performed in two steps in a continuous process (step 2 and step 3) using the same feed rate (2.27 mL/min) but different COD concentrations (391 and 845 mg/L). In Figure 5 (step 2), the residual COD in the outline was maintained around 58 mg O2/L. In the process, the medium pH was around 9.2, caused by photosynthetic CO2 depletion [43,44]. In step 3 (Figure 5), the COD concentration in the feeding solution was increased to 856 mg O2/L. The residual COD in the output in both continuous processes was around 55 mg O2/L. Moreover, the microalgae biomass slightly increased. This was related to the increase in nutrients. The COD removal achieved in steps 2 and 3 was around 85% and 94%, respectively. The obtained result shows the effectivity of microalgae to remove COD in continuous processes (HRT = 1.28 day), which is close to 90% COD removal by co-culture (C. vulgaris and A. platensis) in industrial winery wastewater using a continuous membrane photobioreactor at 4.6 days HRT [44]. Therefore, the treated cattle slaughterhouse wastewater previously submitted to HC treatment is a suitable and ecofriendly alternative since the produced biomass has potential applications for biofuel (biodiesel, biohydrogen, bio-alcohol, methane, and bioelectricity) as reported by Bhatia et al. [45].
4. Conclusions
Hydrodynamic cavitation with air injection was successfully used for CSW in batch and continuous processes, achieving an efficient COD, color, and turbidity removal. Moreover, by using a ceramic membrane, the residual COD was removed; however, the COD was 26% higher than the one established for safe CSW discharge in different jurisdictions for reutilization, requiring application of membranes with minor pore size. On the other hand, the microalgae-based treatment after the HC process was successfully performed, reducing the COD to below 100 mg O2/L. Finally, the cattle slaughterhouse wastewater was an excellent medium for microalgae cultivation, reaching more than 1000 mg/L. Therefore, the proposed process is a suitable and interesting option, once the cavitation process can be generated using a simple system.
Author Contributions
Conceptualization, R.T.H.; methodology, R.T.H., F.P.S.V. and D.A.P.T.; investigation, R.T.H., F.P.S.V. and K.T.M.; validation, R.T.H. and G.J.C.A.; formal analysis, R.T.H. and D.A.P.T.; resources, R.T.H., J.C.G. and D.A.P.T.; data curation, R.T.H. and K.T.M.; writing—original draft preparation, R.T.H., G.J.C.A. and D.A.P.T.; writing—review and editing, R.T.H., K.T.M. and D.A.P.T.; visualization, R.T.H. and G.J.C.A.; funding acquisition, R.T.H., D.A.P.T. and J.C.G. All authors have read and agreed to the published version of the manuscript.
Funding
This research was funded by Consejo Nacional de Ciencia, Tecnología e Innovación Tecnológica (CONCYTEC); Programa Nacional de Investigación Científica y Estudios Avanzados (PROCIENCIA)—Grant N° 06-2019-FONDECYT-BM-INC.INV; Universidad Católica de Santa María (UCSM)—Grant N° 28048-R-2021.
Institutional Review Board Statement
Not applicable.
Informed Consent Statement
Not applicable.
Data Availability Statement
Not applicable.
Acknowledgments
The authors would like to express a special acknowledgment to the Consejo Nacional de Ciencia, Tecnología e Innovación Tecnológica (CONCYTEC-Perú); Programa Nacional de Investigación Científica y Estudios Avanzados (PROCIENCIA-Perú); and Universidad Católica de Santa María (UCSM)—Perú.
Conflicts of Interest
The authors declare no conflict of interest.
References
- USDA Foreign Agricultural Service. Livestock and Poultry: World Markets and Trade. Available online: https://www.fas.usda.gov/data/livestock-and-poultry-world-markets-and-trade (accessed on 6 December 2021).
- Scopus. Analyze Search Results. Available online: https://www.scopus.com/term/analyzer.uri?sid=c99b618064d3edbb14619296c58c664b&origin=resultslist&src=s&s=TITLE-ABS-KEY%28hydrodynamic+cavitation%29&sort=plf-f&sdt=b&sot=b&sl=38&count=3624&analyzeResults=Analyze+results&txGid=01abb3754889fb68786b52042dac66 (accessed on 6 December 2021).
- Gogate, P.R.; Pandit, A.B. A Review and Assessment of Hydrodynamic Cavitation as a Technology for the Future. Ultrason. Sonochem. 2005, 12, 21–27. [Google Scholar] [CrossRef] [PubMed]
- Badmus, K.O.; Irakoze, N.; Adeniyi, O.R.; Petrik, L. Synergistic Advance Fenton Oxidation and Hydrodynamic Cavitation Treatment of Persistent Organic Dyes in Textile Wastewater. J. Environ. Chem. Eng. 2020, 8, 103521. [Google Scholar] [CrossRef]
- Thanekar, P.; Panda, M.; Gogate, P.R. Degradation of Carbamazepine Using Hydrodynamic Cavitation Combined with Advanced Oxidation Processes. Ultrason. Sonochem. 2018, 40, 567–576. [Google Scholar] [CrossRef] [PubMed]
- Joshi, S.M.; Gogate, P.R. Intensification of Industrial Wastewater Treatment Using Hydrodynamic Cavitation Combined with Advanced Oxidation at Operating Capacity of 70 L. Ultrason. Sonochem. 2019, 52, 375–381. [Google Scholar] [CrossRef] [PubMed]
- Thanekar, P.; Gogate, P.R.; Znak, Z.; Sukhatskiy, Y.; Mnykh, R. Degradation of Benzene Present in Wastewater Using Hydrodynamic Cavitation in Combination with Air. Ultrason. Sonochem. 2021, 70, 105296. [Google Scholar] [CrossRef]
- Yi, C.; Lu, Q.; Wang, Y.; Wang, Y.; Yang, B. Degradation of Organic Wastewater by Hydrodynamic Cavitation Combined with Acoustic Cavitation. Ultrason. Sonochem. 2018, 43, 156–165. [Google Scholar] [CrossRef]
- Kovačič, A.; Škufca, D.; Zupanc, M.; Gostiša, J.; Bizjan, B.; Krištofelc, N.; Dolenc, M.S.; Heath, E. The Removal of Bisphenols and Other Contaminants of Emerging Concern by Hydrodynamic Cavitation: From Lab-Scale to Pilot-Scale. Sci. Total Environ. 2020, 743, 140724. [Google Scholar] [CrossRef]
- Wang, J.; Chen, H.; Yuan, R.; Wang, F.; Ma, F.; Zhou, B. Intensified Degradation of Textile Wastewater Using a Novel Treatment of Hydrodynamic Cavitation with the Combination of Ozone. J. Environ. Chem. Eng. 2020, 8, 103959. [Google Scholar] [CrossRef]
- Abramov, V.O.; Abramova, A.V.; Cravotto, G.; Nikonov, R.V.; Fedulov, I.S.; Ivanov, V.K. Flow-Mode Water Treatment under Simultaneous Hydrodynamic Cavitation and Plasma. Ultrason. Sonochem. 2021, 70, 105323. [Google Scholar] [CrossRef]
- Wang, B.; Su, H.; Zhang, B. Hydrodynamic Cavitation as a Promising Route for Wastewater Treatment—A Review. Chem. Eng. J. 2021, 412, 128685. [Google Scholar] [CrossRef]
- Terán, H.R.; Medeiros, D.R.; Sánchez, M.S.; Aline, P.C.; de Sousa Júnior, R.; da Silva, S.S.; Santos, J.C. Hydrodynamic Cavitation-Assisted Continuous Pre-Treatment of Sugarcane Bagasse for Ethanol Production: Effects of Geometric Parameters of the Cavitation Device. Ultrason. Sonochem. 2020, 63, 104931. [Google Scholar] [CrossRef] [PubMed]
- Zsirai, T.; Al-Jaml, A.K.; Qiblawey, H.; Al-Marri, M.; Ahmed, A.; Bach, S.; Watson, S.; Judd, S. Ceramic Membrane Filtration of Produced Water: Impact of Membrane Module. Sep. Purif. Technol. 2016, 165, 214–221. [Google Scholar] [CrossRef] [Green Version]
- Goswami, K.P.; Pugazhenthi, G. Treatment of Poultry Slaughterhouse Wastewater Using Tubular Microfiltration Membrane with Fly Ash as Key Precursor. J. Water Process Eng. 2020, 37, 101361. [Google Scholar] [CrossRef]
- Solmaz, A.; Işık, M. Optimization of Membrane Photobioreactor; the Effect of Hydraulic Retention Time on Biomass Production and Nutrient Removal by Mixed Microalgae Culture. Biomass Bioenergy 2020, 142, 105809. [Google Scholar] [CrossRef]
- Terán Hilares, R.; Garcia Bustos, K.A.; Sanchez Vera, F.P.; Colina Andrade, G.J.; Pacheco Tanaka, D.A. Acid Precipitation Followed by Microalgae (Chlorella vulgaris) Cultivation as a New Approach for Poultry Slaughterhouse Wastewater Treatment. Bioresour. Technol. 2021, 335, 125284. [Google Scholar] [CrossRef]
- Molinuevo-Salces, B.; Riaño, B.; Hernández, D.; Cruz García-González, M. Microalgae and Wastewater Treatment: Advantages and Disadvantages. In Microalgae Biotechnology for Development of Biofuel and Wastewater Treatment; Springer: Berlin/Heidelberg, Germany, 2019; pp. 505–533. [Google Scholar]
- Saravanan, A.; Kumar, P.S.; Varjani, S.; Jeevanantham, S.; Yaashikaa, P.R.; Thamarai, P.; Abirami, B.; George, C.S. A Review on Algal-Bacterial Symbiotic System for Effective Treatment of Wastewater. Chemosphere 2021, 271, 129540. [Google Scholar] [CrossRef]
- Salgueiro, J.L.; Pérez, L.; Maceiras, R.; Sánchez, Á.; Cancela, Á. Semicontinuous Culture of Chlorella Vulgaris Microalgae for Wastewater Treatment. Int. J. Environ. Res. 2018, 12, 765–772. [Google Scholar] [CrossRef]
- Gao, F.; Li, C.; Yang, Z.-H.; Zeng, G.-M.; Feng, L.-J.; Liu, J.; Liu, M.; Cai, H. Continuous Microalgae Cultivation in Aquaculture Wastewater by a Membrane Photobioreactor for Biomass Production and Nutrients Removal. Ecol. Eng. 2016, 92, 55–61. [Google Scholar] [CrossRef]
- De Mendonça, H.V.; Otenio, M.H.; Marchão, L.; Lomeu, A.; de Souza, D.S.; Reis, A. Biofuel Recovery from Microalgae Biomass Grown in Dairy Wastewater Treated with Activated Sludge: The next Step in Sustainable Production. Sci. Total Environ. 2022, 824, 153838. [Google Scholar] [CrossRef]
- American Public Health Association; WPCF, A.; Greenberg, W.E.F.I.A.E.; Clesceri, L.S.; Eaton, A. Standard Methods for the Examination of Water and Wastewater; American Public Health Association: Denver, CO, USA, 2017; Volume 2. [Google Scholar]
- Mali, C.R.; Patwardhan, A.W.; Pandey, G.K.; Banerjee, I.; Vinod, V. CFD Study on the Effect of Various Geometrical Parameters of Honeycomb Type Orifices on Pressure Drop and Cavitation Characteristics. Nucl. Eng. Des. 2020, 370, 110880. [Google Scholar] [CrossRef]
- Musa, M.A.; Idrus, S.; Che Man, H.; Nik Daud, N.N. Performance Comparison of Conventional and Modified Upflow Anaerobic Sludge Blanket (UASB) Reactors Treating High-Strength Cattle Slaughterhouse Wastewater. Water 2019, 11, 806. [Google Scholar] [CrossRef] [Green Version]
- Wu, P.F.; Mittal, G.S. Characterization of Provincially Inspected Slaughterhouse Wastewater in Ontario, Canada. Can. Biosyst. Eng. 2012, 54, 9–18. [Google Scholar] [CrossRef]
- Ziara, R.M.M.; Li, S.; Subbiah, J.; Dvorak, B.I. Characterization of Wastewater in Two US Cattle Slaughterhouses. Water Environ. Res. 2018, 90, 851–863. [Google Scholar] [CrossRef] [PubMed]
- Osman, H.; Sedrak, M.; Hosseini, S.H.; Elsayed, K. A Comprehensive Study of Hole-to-Hole Interaction for Multi-Hole Orifice (MHO) in Hydrodynamic Cavitation Process. Flow Meas. Instrum. 2022, 85, 102163. [Google Scholar] [CrossRef]
- Das, S.; Bhat, A.P.; Gogate, P.R. Degradation of Dyes Using Hydrodynamic Cavitation: Process Overview and Cost Estimation. J. Water Process Eng. 2021, 42, 102126. [Google Scholar] [CrossRef]
- Gore, M.M.; Saharan, V.K.; Pinjari, D.V.; Chavan, P.V.; Pandit, A.B. Degradation of Reactive Orange 4 Dye Using Hydrodynamic Cavitation Based Hybrid Techniques. Ultrason. Sonochem. 2014, 21, 1075–1082. [Google Scholar] [CrossRef]
- Bagal, M.V.; Gogate, P.R. Wastewater Treatment Using Hybrid Treatment Schemes Based on Cavitation and Fenton Chemistry: A Review. Ultrason. Sonochem. 2014, 21, 1–14. [Google Scholar] [CrossRef]
- Innocenzi, V.; Prisciandaro, M.; Centofanti, M.; Vegliò, F. Comparison of Performances of Hydrodynamic Cavitation in Combined Treatments Based on Hybrid Induced Advanced Fenton Process for Degradation of Azo-Dyes. J. Environ. Chem. Eng. 2019, 7, 103171. [Google Scholar] [CrossRef]
- Zampeta, C.; Bertaki, K.; Triantaphyllidou, I.-E.; Frontistis, Z.; Vayenas, D.V. Treatment of Real Industrial-Grade Dye Solutions and Printing Ink Wastewater Using a Novel Pilot-Scale Hydrodynamic Cavitation Reactor. J. Environ. Manag. 2021, 297, 113301. [Google Scholar] [CrossRef]
- Doltade, S.B.; Dastane, G.G.; Jadhav, N.L.; Pandit, A.B.; Pinjari, D.V.; Somkuwar, N.; Paswan, R. Hydrodynamic Cavitation as an Imperative Technology for the Treatment of Petroleum Refinery Effluent. J. Water Process Eng. 2019, 29, 100768. [Google Scholar] [CrossRef]
- Rajoriya, S.; Bargole, S.; Saharan, V.K. Degradation of Reactive Blue 13 Using Hydrodynamic Cavitation: Effect of Geometrical Parameters and Different Oxidizing Additives. Ultrason. Sonochem. 2017, 37, 192–202. [Google Scholar] [CrossRef] [PubMed]
- Sun, X.; Xuan, X.; Ji, L.; Chen, S.; Liu, J.; Zhao, S.; Park, S.; Yoon, J.Y.; Om, A.S. A Novel Continuous Hydrodynamic Cavitation Technology for the Inactivation of Pathogens in Milk. Ultrason. Sonochem. 2021, 71, 105382. [Google Scholar] [CrossRef] [PubMed]
- Salierno, G.; Napoleone, S.; Maisterrena, M.A.; Cassanello, M.; Pellasio, M.; Doumic, L.; Ayude, M.A. Continuous Heterogeneous Fenton-Type Process for Dye Pollution Abatement Intensified by Hydrodynamic Cavitation. Ind. Eng. Chem. Res. 2021, 60, 16653–16664. [Google Scholar] [CrossRef]
- Kumar, R.V.; Goswami, L.; Pakshirajan, K.; Pugazhenthi, G. Dairy Wastewater Treatment Using a Novel Low Cost Tubular Ceramic Membrane and Membrane Fouling Mechanism Using Pore Blocking Models. J. Water Process Eng. 2016, 13, 168–175. [Google Scholar] [CrossRef]
- IFC. General Health and Safety Guidelines. Available online: https://www.ifc.org/wps/wcm/connect/topics_ext_content/ifc_external_corporate_site/sustainability-at-ifc/publications/publications_policy_ehs-general (accessed on 26 November 2021).
- FAO. Council Directive of 21 May 1991 Concerning Urban Waste Water Treatment (91/271/EEC). Available online: https://www.ecolex.org/details/legislation/council-directive-91271eec-concerning-urban-waste-water-treatment-lex-faoc013224/ (accessed on 10 February 2022).
- Gutiérrez-Mosquera, L.F.; Arias-Giraldo, S.; Zuluaga-Meza, A. Landfill Leachate Treatment Using Hydrodynamic Cavitation: Exploratory Evaluation. Heliyon 2022, 8, e09019. [Google Scholar] [CrossRef]
- Bhat, A.P.; Gogate, P.R. Cavitation-Based Pre-Treatment of Wastewater and Waste Sludge for Improvement in the Performance of Biological Processes: A Review. J. Environ. Chem. Eng. 2021, 9, 104743. [Google Scholar] [CrossRef]
- Vadiveloo, A.; Foster, L.; Kwambai, C.; Bahri, P.A.; Moheimani, N.R. Microalgae Cultivation for the Treatment of Anaerobically Digested Municipal Centrate (ADMC) and Anaerobically Digested Abattoir Effluent (ADAE). Sci. Total Environ. 2021, 775, 145853. [Google Scholar] [CrossRef]
- Spennati, E.; Mirizadeh, S.; Casazza, A.A.; Solisio, C.; Converti, A. Chlorella Vulgaris and Arthrospira Platensis Growth in a Continuous Membrane Photobioreactor Using Industrial Winery Wastewater. Algal Res. 2021, 60, 102519. [Google Scholar] [CrossRef]
- Bhatia, S.K.; Mehariya, S.; Bhatia, R.K.; Kumar, M.; Pugazhendhi, A.; Awasthi, M.K.; Atabani, A.E.; Kumar, G.; Kim, W.; Seo, S.-O.; et al. Wastewater Based Microalgal Biorefinery for Bioenergy Production: Progress and Challenges. Sci. Total Environ. 2021, 751, 141599. [Google Scholar] [CrossRef]
Publisher’s Note: MDPI stays neutral with regard to jurisdictional claims in published maps and institutional affiliations. |
© 2022 by the authors. Licensee MDPI, Basel, Switzerland. This article is an open access article distributed under the terms and conditions of the Creative Commons Attribution (CC BY) license (https://creativecommons.org/licenses/by/4.0/).