Retrofitting of Existing Bar Racks with Electrodes for Fish Protection—An Experimental Study Assessing the Effectiveness for a Pilot Site
Abstract
:1. Introduction
2. Materials and Methods
2.1. Experimental Channel
2.2. Fish for Ethohydraulic Experiments
2.3. Experimental Procedure
2.4. Data Evaluation
- Participation: Entering the defined area 40 cm upstream the bar rack.
- Approaching: Entering the defined area 20 cm upstream of the bar rack.
- Contact: Entering the defined area 10 cm upstream of the bar rack.
- Passage: Passage through the bar rack.
- Upstream: Leaving the defined 40 cm area upstream.
2.5. Statistical Analysis
3. Results
3.1. General Fish Behavior
3.2. Activity during Experiments
3.3. Experimental Fish-Protection Rate
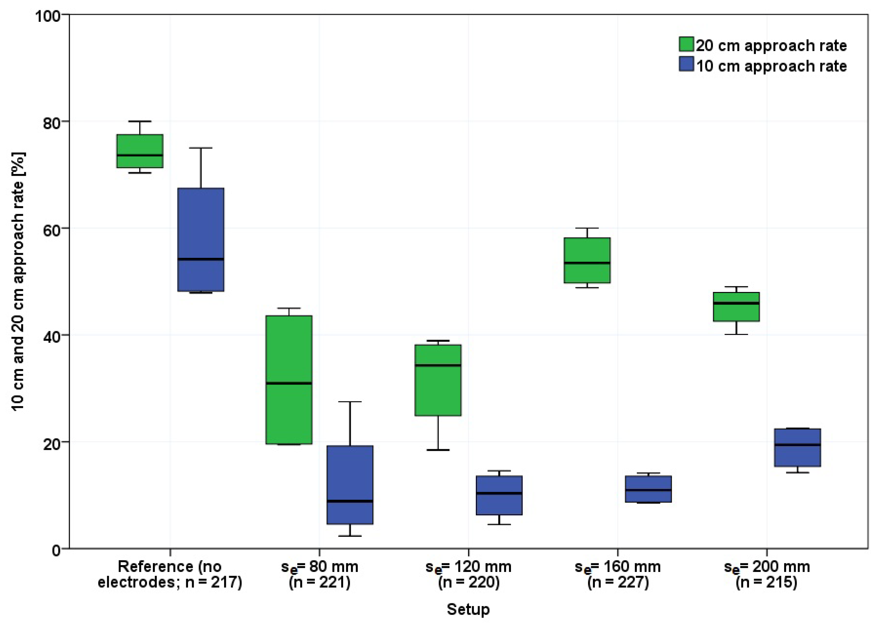
3.4. Approach Distance to the Rack Depending on the Electrode Distance
3.5. Location of Rack Passage and Influence of Electrodes
3.6. Rack- and Voltage-Induced Fish Injuries
4. Discussion
4.1. General
4.2. Fish Activity Patterns and Approaching the Barrier
4.3. Passing the Barrier
4.4. Limitations
5. Conclusions
- The mean experimental fish-protection rate of a common vertical bar rack with 10 mm wide bars, a clear bar spacing of 30 mm and a flow velocity of 0.23 m/s in this study is 62%. This can be attributed to the reaction of fish to (the bar spacings of) the visual barrier.
- Attaching electrodes at the front side of the rack bars and applying a pulsed direct current creates an electric field in the water which influences fish behavior. Overall, the electrified setups are able to significantly improve the fish-protection rate as far as 96% in the experimental setups.
- In detail, the fish-protection rate of the hybrid barrier depends on the clear spacing of the electrodes and behaves inversely proportional to it while the bar spacings are kept constant; however, these differences are almost negligible from a practical point of view.
- No connection between the behavior of fish close to electrodes and their polarization could be identified concerning the location of the rack passage. Therefore, neither anodic attraction nor cathodic repulsion could be observed with the applied pulse pattern.
- Fish injuries in the form of temporal discoloration of the skin were only recorded in rare cases and only after direct contact with the electrodes.
Author Contributions
Funding
Institutional Review Board Statement
Informed Consent Statement
Data Availability Statement
Conflicts of Interest
Abbreviations
| EFPR | Experimental Fish-Protection Rate |
| EPR | Experimental Passage Rate |
| sb | Clear Spacing between Rack Bars |
| se | Spacing between Electrodes (Center to Center) |
| vA | Average Flow Velocity [m/s] |
| pDC | Pulsed Direct Current |
| n | Number of Participating Individuals |
| SD | Standard Deviation |
| N | Number of Conducted Trials |
| npassages,all | Number of all Recorded Rack Passages |
Appendix A
| Test | Date | se | Voltage | Twater,mean | Water | n |
|---|---|---|---|---|---|---|
| [-] | [mm] | [V] | [°C] | [µS/cm] | [-] | |
| V01 | 3 October 2020 | Reference | - | 10.8 | 252 | 55 |
| V02 | 4 October 2020 | 80 | 80 | 11.4 | 251 | 56 |
| V03 | 4 October 2020 | Reference | - | 11.4 | 251 | 53 |
| V04 | 4 October 2020 | Reference | - | 11.4 | 251 | 54 |
| V05 | 5 October 2020 | 80 | 80 | 12.1 | 251 | 55 |
| V06 | 5 October 2020 | 80 | 80 | 11.4 | 251 | 55 |
| V07 | 5 October 2020 | 80 | 80 | 11.2 | 251 | 55 |
| V08 | 6 October 2020 | Reference | - | 11.4 | 252 | 55 |
| V09 | 6 October 2020 | 200 | 80 | 11.2 | 252 | 55 |
| V10 | 7 October 2020 | 200 | 80 | 11.1 | 251 | 50 |
| V11 | 7 October 2020 | 200 | 80 | 11.4 | 252 | 55 |
| V12 | 7 October 2020 | 200 | 80 | 11.2 | 251 | 55 |
| V13 | 8 October 2020 | 120 | 80 | 11.1 | 251 | 55 |
| V14 | 8 October 2020 | 120 | 80 | 11.2 | 251 | 55 |
| V15 | 8 October 2020 | 120 | 80 | 11.4 | 251 | 55 |
| V16 | 9 October 2020 | 120 | 80 | 11.1 | 251 | 55 |
| V17 | 12 October 2020 | 160 | 80 | 10.6 | 251 | 55 |
| V18 | 12 October 2020 | 160 | 80 | 10.6 | 251 | 55 |
| V19 | 13 October 2020 | 160 | 80 | 10.6 | 251 | 55 |
| V20 | 13 October 2020 | 160 | 80 | 10.4 | 251 | 62 |
| Experiment | Participations | Passages | Upstream | EPR | EFPR |
|---|---|---|---|---|---|
| [-] | [-] | [-] | [%] | [%] | |
| Reference | |||||
| V01 | 4 | 3 | 1 | 75.0 | 25.0 |
| V03 | 236 | 58 | 178 | 24.6 | 75.4 |
| V04 | 137 | 40 | 97 | 29.2 | 70.8 |
| V08 | 464 | 109 | 355 | 23.5 | 76.5 |
| ∑ | 841 | 208 | 633 | ||
| se = 80 mm | |||||
| V02 | 132 | 2 | 130 | 1.5 | 98.5 |
| V05 | 64 | 2 | 62 | 3.1 | 96.9 |
| V06 | 40 | 5 | 35 | 12.5 | 87.5 |
| V07 | 509 | 6 | 503 | 1.2 | 98.8 |
| ∑ | 745 | 16 | 729 | ||
| se = 120 mm | |||||
| V13 | 239 | 14 | 225 | 5.9 | 94.1 |
| V14 | 222 | 1 | 221 | 0.5 | 99.5 |
| V15 | 307 | 9 | 298 | 2.9 | 97.1 |
| V16 | 158 | 8 | 150 | 5.1 | 94.9 |
| ∑ | 926 | 32 | 894 | ||
| se = 160 mm | |||||
| V17 | 258 | 15 | 243 | 5.8 | 94.2 |
| V18 | 325 | 29 | 296 | 8.9 | 91.1 |
| V19 | 239 | 20 | 219 | 8.4 | 91.6 |
| V20 | 325 | 27 | 298 | 8.3 | 91.7 |
| ∑ | 1147 | 91 | 1056 | ||
| se = 200 mm | |||||
| V10 | 151 | 7 | 144 | 4.6 | 95.4 |
| V11 | 102 | 8 | 94 | 7.8 | 92.2 |
| V12 | 175 | 19 | 156 | 10.9 | 89.1 |
| V13 | 197 | 11 | 186 | 5.6 | 94.4 |
| ∑ | 625 | 45 | 580 | ||
References
- Lucas, M.; Baras, E.; Thom, T.; Duncan, A.; Slavik, O. Migration of Freshwater Fishes; Blackwell Science Ltd.: London, UK; Oxford, UK, 2001. [Google Scholar]
- Dingle, H.; Drake, V.A. What is migration? Bioscience 2007, 57, 113–121. [Google Scholar] [CrossRef] [Green Version]
- Schwevers, U.; Adam, B. Fish Protection Technologies and Fish Ways for Downstream Migration; Springer: Berlin/Heidelberg, Germany, 2020. [Google Scholar]
- Ebel, G. Fischschutz und Fischabstieg an Wasserkraftanlagen: Handbuch Rechen- und Bypasssysteme: Ingenieurbiologische Grundlagen, Modellierung und Prognose, Bemessung und Gestaltung; Ebel, Büro für Gewässerökologie und Fischereibiologie: Halle (Saale), Germany, 2013. [Google Scholar]
- Schneider, J.; Ratschan, C.; Heisey, P.G.; Avalos, J.C.; Tuhtan, J.A.; Haas, C.; Reckendorfer, W.; Schletterer, M.; Zitek, A. Flussabwärts gerichtete Fischwanderung an mittelgroßen Fließgewässern in Österreich. Wasserwirtschaft 2017, 107, 39–44. [Google Scholar] [CrossRef]
- BMLFUW. Leitfaden zum Bau von Fischaufstiegshilfen; Bundesministerium für Land- und Forstwirtschaft, Umwelt und Wasserwirtschaft: Wien, Austria, 2012. [Google Scholar]
- Williams, J.G.; Armstrong, G.; Katopodis, C.; Larinier, M.; Travade, F. Thinking like a fish: A key ingredient for development of effective fish passage facilities at river obstructions. River Res. Appl. 2012, 28, 407–417. [Google Scholar] [CrossRef] [Green Version]
- Calles, O.; Greenberg, L. Connectivity is a two-way street—The need for a holistic approach to fish passage problems in regulated rivers. River Res. Appl. 2009, 25, 1268–1286. [Google Scholar] [CrossRef]
- Larinier, M.; Travade, F. Downstream Migration: Problems and Facilities; Bulletin Français de la Pêche et de la Pisciculture; EDP Sciences: Les Ulis, France, 2002; pp. 181–207. [Google Scholar]
- Harrison, P.M.; Martins, E.G.; Algera, D.A.; Rytwinski, T.; Mossop, B.; Leake, A.J.; Power, M.; Cooke, S.J. Turbine entrainment and passage of potadromous fish through hydropower dams: Developing conceptual frameworks and metrics for moving beyond turbine passage mortality. Fish Fish. 2019, 20, 403–418. [Google Scholar] [CrossRef]
- Keuneke, R.; Dumont, U. Vergleich von Prognosemodellen zur Berechnung der Turbinen bedingten Fischmortalität. Wasserwirtschaft 2010, 100, 39. [Google Scholar] [CrossRef]
- Calles, O.; Karlsson, S.; Hebrand, M.; Comoglio, C. Evaluating technical improvements for downstream migrating diadromous fish at a hydroelectric plant. Ecol. Eng. 2012, 48, 30–37. [Google Scholar] [CrossRef]
- Kriewitz-Byun, C.R. Leitrechen an Fischabstiegsanlagen: Hydraulik und fischbiologische Effizienz. Ph.D. Thesis, ETH Zürich, Zürich, Switzerland, 2015. [Google Scholar]
- DWA Deutsche Vereinigung für Wasserwirtschaft. Fischschutz- und Fischabstiegsanlagen—Bemessung, Gestaltung, Funktionskontrolle; Druckerei Brandt GmbH: Bonn, Germany, 2005. [Google Scholar]
- Beck, C.; Albayrak, I.; Meister, J.; Peter, A.; Selz, O.M.; Leuch, C.; Vetsch, D.F.; Boes, R.M. Swimming Behavior of Downstream Moving Fish at Innovative Curved-Bar Rack Bypass Systems for Fish Protection at Water Intakes. Water 2020, 12, 3244. [Google Scholar] [CrossRef]
- Albayrak, I.; Kriewitz, C.R.; Hager, W.H.; Boes, R.M. An experimental investigation on louvres and angled bar racks. J. Hydraul. Res. 2018, 56, 59–75. [Google Scholar] [CrossRef]
- Szabo-Meszaros, M.; Navaratnam, C.U.; Aberle, J.; Silva, A.T.; Forseth, T.; Calles, O.; Fjeldstad, H.P.; Alfredsen, K. Experimental hydraulics on fish-friendly trash-racks: An ecological approach. Ecol. Eng. 2018, 113, 11–20. [Google Scholar] [CrossRef]
- Giesecke, J.; Heimerl, S.; Mosonyi, E. Wasserkraftanlagen: Planung, Bau und Betrieb; Springer: Berlin/Heidelberg, Germany, 2014. [Google Scholar]
- Ebel, G. Biologische Wirksamkeit von Leitrechen-Bypass-Systemen—Aktueller Kenntnisstand. Wasserwirtschaft 2020, 110, 18–27. [Google Scholar] [CrossRef]
- Schilt, C.R. Developing fish passage and protection at hydropower dams. Appl. Anim. Behav. Sci. 2007, 104, 295–325. [Google Scholar] [CrossRef]
- Adam, B.; Lehmann, B. Ethohydraulik: Grundlagen, Methoden und Erkenntnisse; Springer: Berlin/Heidelberg, Germany, 2011. [Google Scholar]
- Beaumont, W. Electricity in Fish Research and Management; Wiley Online Library: Hoboken, NJ, USA, 2016. [Google Scholar]
- Bullen, C.R.; Carlson, T.J. Non-physical fish barrier systems: Their development and potential applications to marine ranching. Rev. Fish Biol. Fish. 2003, 13, 201–212. [Google Scholar] [CrossRef]
- Layhee, M.J.; Sepulveda, A.J.; Shaw, A.; Smuckall, M.; Kapperman, K.; Reyes, A. Effects of electric barrier on passage and physical condition of juvenile and adult rainbow trout. J. Fish Wildl. Manag. 2016, 7, 28–35. [Google Scholar] [CrossRef] [Green Version]
- Noatch, M.R.; Suski, C.D. Non-physical barriers to deter fish movements. Environ. Rev. 2012, 20, 71–82. [Google Scholar] [CrossRef]
- Rost, U.; Weibel, U.; Wüst, S.; Haupt, O. Versuche zum Scheuchen und Leiten von Fischen mit elektrischem Strom. Wasserwirtschaft 2014, 104, 60–65. [Google Scholar] [CrossRef]
- Egg, L.; Pander, J.; Mueller, M.; Geist, J. Effectiveness of the electric fish fence as a behavioural barrier at a pumping station. Mar. Freshw. Res. 2019, 70, 1459–1464. [Google Scholar] [CrossRef]
- Snyder, D.E. Electrofishing and Its Harmful Effects on Fish; Technical Report; Geological Survey Reston Va Biologicalresources DIV: Reston, VA, USA, 2003. [Google Scholar]
- Rous, A.M.; Forrest, A.; McKittrick, E.H.; Letterio, G.; Roszell, J.; Wright, T.; Cooke, S.J. Orientation and position of fish affects recovery time from electrosedation. Trans. Am. Fish. Soc. 2015, 144, 820–828. [Google Scholar] [CrossRef]
- Baranyuk, G.V. Orientation of the catfish in uniform and nonuniform electric fields. Neurosci. Behav. Physiol. 1981, 11, 459–463. [Google Scholar] [CrossRef]
- Basov, B.M. On electric fields of power lines and on their perception by freshwater fish. J. Ichthyol. 2007, 47, 656–661. [Google Scholar] [CrossRef]
- Tutzer, R.; Röck, S.; Walde, J.; Haug, J.; Brinkmeier, B.; Aufleger, M.; Unfer, G.; Führer, S.; Zeiringer, B. A Physical and Behavioral Barrier for Enhancing Fish Downstream Migration at Hydropower Dams: The Flexible FishProtector. Water 2022, 14, 378. [Google Scholar] [CrossRef]
- Halsband, E. Nur durch elektrischen Impulsstrom ist das Scheuchen und Leiten von Fischen wirksam möglich. Der Fischwirt 1989, 10, 1–4. [Google Scholar]
- Parasiewicz, P.; Wisniewolski, W.; Mokwa, M.; Ziola, S.; Prus, P.; Godlewska, M. A low-voltage electric fish guidance system-NEPTUN. Fish. Res. 2016, 181, 25–33. [Google Scholar] [CrossRef]
- Haug, J.; Brinkmeier, B.; Tutzer, R.; Aufleger, M. Hybrid barriers for adaption of bar-screens for fish protection. Wasserwirtschaft 2021, 111, 48–53. [Google Scholar] [CrossRef]
- Tutzer, R.; Brinkmeier, B.; Zeiringer, B.; Führer, S.; Unfer, G.; Aufleger, M. The fishprotector—An integral fish protection system. In Proceedings of the E-proceedings of the 38th IAHR World Congress, Panama City, Panama, 1–6 September 2019. [Google Scholar]
- Tutzer, R.; Brinkmeier, B.; Boettcher, H.; Aufleger, M. Der Elektro-Seilrechen als integrales Fischschutzkonzept. Wasserwirtschaft 2019, 109, 36–40. [Google Scholar] [CrossRef]
- Meister, J.; Moldenhauer-Roth, A.; Beck, C.; Selz, O.M.; Peter, A.; Albayrak, I.; Boes, R.M. Protection and Guidance of Downstream Moving Fish with Electrified Horizontal Bar Rack Bypass Systems. Water 2021, 13, 2786. [Google Scholar] [CrossRef]
- Johnson, N.S.; Miehls, S. Guiding out-migrating juvenile Sea Lamprey (Petromyzon marinus) with pulsed direct current. River Res. Appl. 2014, 30, 1146–1156. [Google Scholar] [CrossRef]
- Swink, W.D. Effectiveness of an electrical barrier in blocking a sea lamprey spawning migration on the Jordan River, Michigan. N. Am. J. Fish. Manag. 1999, 19, 397–405. [Google Scholar] [CrossRef]
- Tutzer, R.; Röck, S.; Walde, J.; Zeiringer, B.; Unfer, G.; Führer, S.; Brinkmeier, B.; Haug, J.; Aufleger, M. Ethohydraulic experiments on the fish protection potential of the hybrid system FishProtector at hydropower plants. Ecol. Eng. 2021, 171, 106370. [Google Scholar] [CrossRef]
- Böttcher, H.; Brinkmeier, B.; Aufleger, M. Der Seilrechen als neues Fischschutzkonzept—Untersuchung der technischen Machbarkeit. In Tagungsband Internationales Symposium 2014 in Zürich—Wasser- und Flussbau im Alpenraum, Versuchsanstalt für Wasserbau, Hydrologie und Glaziologie; ETH: Zurich, Switzerland, 2014. [Google Scholar]
- Cohen, J. Statistical Power Analysis for the Behavioral Sciences, 2nd ed.; L. Erlbaum Associates: Hillsdale, NJ, USA, 1988. [Google Scholar]
- Albayrak, I.; Boes, R.M.; Kriewitz-Byun, C.R.; Peter, A.; Tullis, B.P. Fish guidance structures: Hydraulic performance and fish guidance efficiencies. J. Ecohydraulics 2020, 5, 113–131. [Google Scholar] [CrossRef]
- Scheminzky, F.; Scheminzky, F. Körpergröße und Empfindlichkeit gegen den galvanischen Strom. Pflüger’s Archiv Gesamte Physiologie Menschen Tiere 1931, 228, 548–564. [Google Scholar] [CrossRef]
- Kammerlander, H.; Schlosser, L.; Zeiringer, B.; Unfer, G.; Zeileis, A.; Aufleger, M. Downstream passage behavior of potamodromous fishes at the fish protection and guidance system “Flexible Fish Fence”. Ecol. Eng. 2020, 143, 105698. [Google Scholar] [CrossRef]
- De Bie, J.; Peirson, G.; Kemp, P.S. Evaluation of horizontally and vertically aligned bar racks for guiding downstream moving juvenile chub (Squalius cephalus) and barbel (Barbus barbus). Ecol. Eng. 2021, 170, 106327. [Google Scholar] [CrossRef]
- Meister, J.; Fuchs, H.; Beck, C.; Albayrak, I.; Boes, R.M. Velocity fields at horizontal bar racks as fish guidance structures. Water 2020, 12, 280. [Google Scholar] [CrossRef] [Green Version]
- Feigenwinter, L.; Vetsch, D.F.; Kammerer, S.; Kriewitz, C.R.; Boes, R.M. Conceptual approach for positioning of fish guidance structures using CFD and expert knowledge. Sustainability 2019, 11, 1646. [Google Scholar] [CrossRef] [Green Version]







| Family | Species | n | Mean FL | SD |
|---|---|---|---|---|
| [-] | [mm] | [mm] | ||
| Cyprinidae | Chub (Squalius cephalus) | 365 | 84 | ±14 |
| Barbel (Barbus barbus) | 31 | 52 | ±17 | |
| Crucian carp (Carassius carassius) | 11 | 125 | ±21 | |
| Leuciscidae | Bleak (Alburnus alburnus) | 266 | 112 | ±18 |
| Roach (Rutilus rutilus) | 189 | 61 | ±17 | |
| Bream (Abramis brama) | 58 | 82 | ±6 | |
| Nase (Chondrostoma nasus) | 30 | 57 | ±10 | |
| Dace (Leuciscus leuciscus) | 16 | 67 | ±4 | |
| Minnow (Phoxinus phoxinus) | 15 | 50 | ±10 | |
| Acheilognathidae | Bitterling (Rhodeus amarus) | 106 | 105 | ±6 |
| Gobionidae | Gudgeon (Gobio gobio) | 43 | 96 | ±13 |
| Percidae | Perch (Perca fluviatilis) | 11 | 67 | ±10 |
| Zingel (Zingel zingel) | 7 | 100 | ±9 | |
| Gasterosteidae | Stickle (Gasterosteus aculeatus) | 8 | 45 | ±8 |
| Salmonidae | Brown trout (Salmo trutta f. fario) | 4 | 75 | ±3 |
| Setup | Participations | Passages | EPR | EFPR | n |
|---|---|---|---|---|---|
| (±SD) [−] | (±SD) [−] | (±SD) [%] | (±SD) [%] | (±SD) [−] | |
| Reference | 210.3 (±194.0) | 52.0 (±43.2) | 38.0 (±24.8) | 62.0 (±24.8) | 54.3 (±0.8) |
| se = 80 mm | 186.3 (±218.7) | 4.0 (±2.4) | 4.6 (±5.3) | 95.4 (±5.3) | 55.3 (±0.4) |
| se = 120 mm | 231.5 (±61.2) | 8.0 (±5.4) | 3.6 (±2.4) | 96.4 (±2.4) | 55.0 (±0.0) |
| se = 160 mm | 286.8 (±44.8) | 22.8 (±6.4) | 7.9 (±1.4) | 92.1 (±1.4) | 56.8 (±3.0) |
| se = 200 mm | 156.3 (±40.8) | 11.3 (±5.4) | 7.2 (±2.8) | 92.8 (±2.8) | 53.8 (±2.2) |
| Compared Setups | 2 | p | Significance | Cramer’s V | |
|---|---|---|---|---|---|
| all | 337.8 | *** | 0.281 | 0.281 | |
| Reference vs. 80 mm | 171.0 | *** | −0.328 | 0.328 | |
| Reference vs. 120 mm | 172.6 | *** | −0.313 | 0.313 | |
| Reference vs. 160 mm | 109.6 | *** | −0.235 | 0.235 | |
| Reference vs. 200 mm | 77.1 | *** | −0.229 | 0.229 | |
| 80 mm vs. 120 mm | 3.1 | n.s. | 0.043 | 0.043 | |
| 80 mm vs. 160 mm | 29.9 | *** | 0.126 | 0.126 | |
| 80 mm vs. 200 mm | 22.8 | *** | 0.129 | 0.129 | |
| 120 mm vs. 160 mm | 18.4 | *** | 0.094 | 0.094 | |
| 120 mm vs. 200 mm | 11.9 | *** | 0.088 | 0.088 | |
| 160 mm vs. 200 mm | 0.187 | n.s. | −0.010 | 0.010 |
Publisher’s Note: MDPI stays neutral with regard to jurisdictional claims in published maps and institutional affiliations. |
© 2022 by the authors. Licensee MDPI, Basel, Switzerland. This article is an open access article distributed under the terms and conditions of the Creative Commons Attribution (CC BY) license (https://creativecommons.org/licenses/by/4.0/).
Share and Cite
Haug, J.; Auer, S.; Frees, C.; Brinkmeier, B.; Tutzer, R.; Hayes, D.S.; Aufleger, M. Retrofitting of Existing Bar Racks with Electrodes for Fish Protection—An Experimental Study Assessing the Effectiveness for a Pilot Site. Water 2022, 14, 850. https://doi.org/10.3390/w14060850
Haug J, Auer S, Frees C, Brinkmeier B, Tutzer R, Hayes DS, Aufleger M. Retrofitting of Existing Bar Racks with Electrodes for Fish Protection—An Experimental Study Assessing the Effectiveness for a Pilot Site. Water. 2022; 14(6):850. https://doi.org/10.3390/w14060850
Chicago/Turabian StyleHaug, Jonas, Stefan Auer, Calvin Frees, Barbara Brinkmeier, Ruben Tutzer, Daniel S. Hayes, and Markus Aufleger. 2022. "Retrofitting of Existing Bar Racks with Electrodes for Fish Protection—An Experimental Study Assessing the Effectiveness for a Pilot Site" Water 14, no. 6: 850. https://doi.org/10.3390/w14060850
APA StyleHaug, J., Auer, S., Frees, C., Brinkmeier, B., Tutzer, R., Hayes, D. S., & Aufleger, M. (2022). Retrofitting of Existing Bar Racks with Electrodes for Fish Protection—An Experimental Study Assessing the Effectiveness for a Pilot Site. Water, 14(6), 850. https://doi.org/10.3390/w14060850

