The Radius of Influence Myth
Abstract
1. Introduction
2. The Sichardt Formula
3. The de Glee Equation
4. The Theis Equation
5. The Hantush-Jacob Model
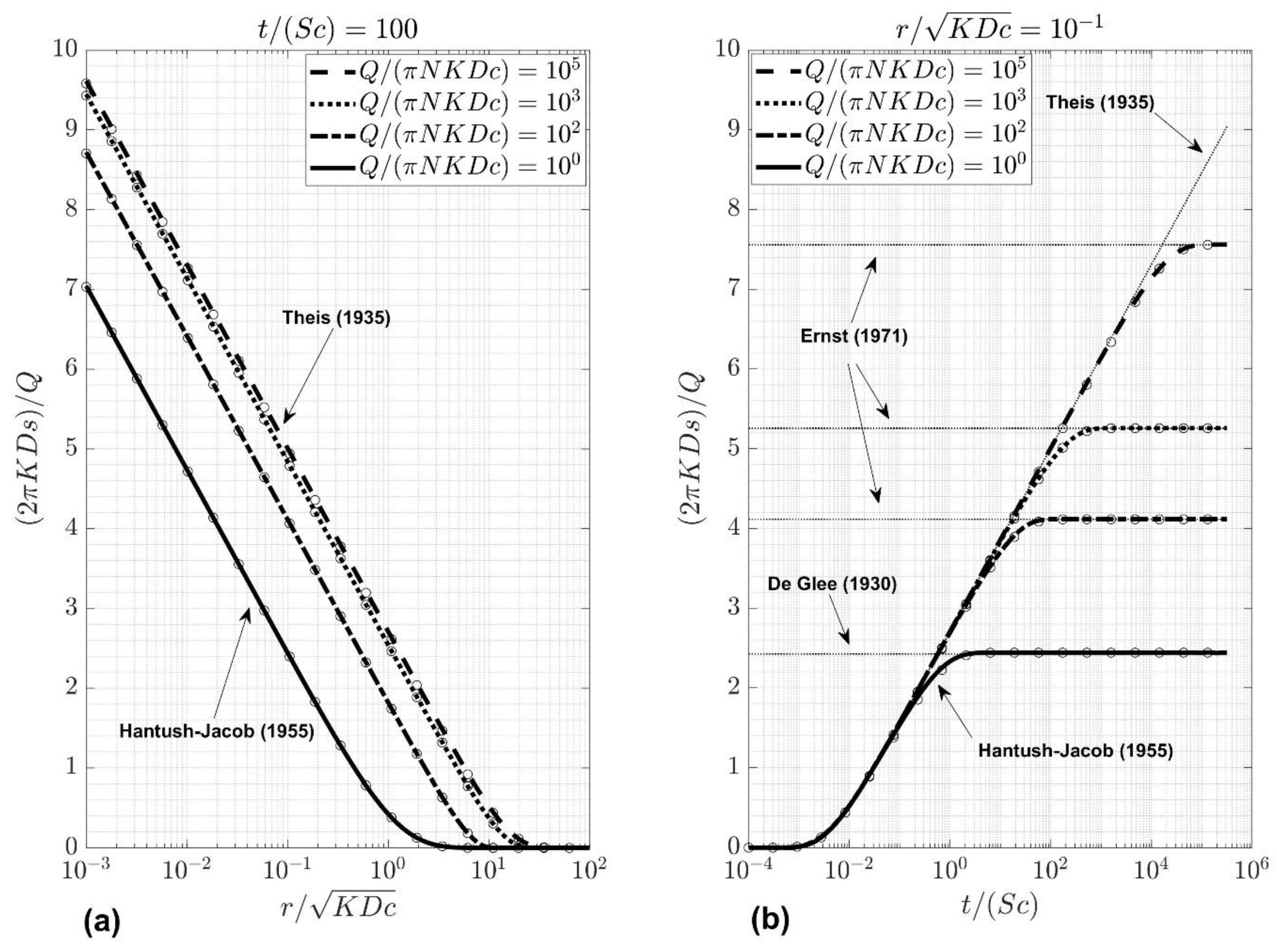
6. The Ernst Model
7. Transient State Solution of the Ernst Model
8. Discussion
| Model | Flow Regime | Outer Boundary | Upper Boundary | Initial Flow | Super-Position | Radius of Influence R |
|---|---|---|---|---|---|---|
| Dupuit [76] | Steady | Finite | Water table | None | No4 | Outer boundary (=input parameter) |
| Thiem [70] | Steady | Finite | Impervious 1 | Steady | Yes | Outer boundary (=input parameter) |
| de Glee [71,86] | Steady | Infinite | Leaky 2 | Steady | Yes | |
| Theis [72] | Transient | Infinite | Impervious 1 | Steady | Yes | |
| Hantush-Jacob [73] | Transient | Infinite | Leaky 2 | Steady | Yes | |
| Ernst [74] | Steady | Infinite | Drainage + Recharge | None 3 | No 4 | |
| Transient Ernst (Appendix A) | Transient | Infinite | Drainage + Recharge | None 3 | No 4 | See Figure 5 |
9. Conclusions
Author Contributions
Funding
Institutional Review Board Statement
Informed Consent Statement
Data Availability Statement
Acknowledgments
Conflicts of Interest
Appendix A. Deriving the Transient State Solution of the Ernst Model
Appendix B. Finding the Maximum Radius of Influence
References
- Zhai, Y.; Cao, X.; Jiang, Y.; Sun, K.; Hu, L.; Teng, Y.; Wang, J.; Li, J. Further Discussion on the Influence Radius of a Pumping Well: A Parameter with Little Scientific and Practical Significance That Can Easily Be Misleading. Water 2021, 13, 2050. [Google Scholar] [CrossRef]
- Janssen, G.J.M. Bemaling van Bouwputten; Van Marken Delft Drukkers: Delft, The Netherlands, 2003. (In Dutch) [Google Scholar]
- Bot, B. Grondwaterzakboekje, 2nd ed.; Bot Raadgevend Ingenieur: Rotterdam, The Netherlands, 2016. (In Dutch) [Google Scholar]
- Willems, E.; Monseré, T.; Dierckx, J. Geactualiseerd Richtlijnenboek Milieueffectrapportage–Basisrichtlijnen per Activiteitengroep–Landbouwdieren; Dienst MER, Afdeling Milieu-, Natuur- en Energiebeleid, Departement Leefmilieu, Natuur en Energie: Brussels, Belgium, 2009. (In Dutch) [Google Scholar]
- VMM. Richtlijnen Bemalingen Ter Bescherming van Het Milieu; Vlaamse Milieumaatschappij: Aalst, Belgium, 2019. (In Dutch) [Google Scholar]
- VMM. Handleiding Berekeningsinstrument Bemalingen; Vlaamse Milieumaatschappij: Aalst, Belgium, 2020. (In Dutch) [Google Scholar]
- OVAM. Standaardprocedure Bodemsaneringsproject; Openbare Vlaamse Afvalstoffenmaatschappij: Mechelen, Belgium, 2018. (In Dutch) [Google Scholar]
- Mansur, C.I.; Kaufman, R.I. Chapter 3–Dewatering. In Foundation Engineering; Leonards, G.A., Ed.; McGraw-Hill: New York, NY, USA, 1962; pp. 241–350. [Google Scholar]
- Fruco and Associates Inc. Dewatering and Groundwater Control for Deep Excavations. NAVFAC Manual; Department of the Navy: Washington, DC, USA, 1971.
- Powers, J.P. Construction Dewatering: New Methods and Applications, 2nd ed.; John Wiley & Sons: New York, NY, USA, 1992. [Google Scholar]
- Powers, J.P. Construction Dewatering–A Guide to Theory and Practice; John Wiley & Sons: New York, NY, USA, 1981. [Google Scholar]
- Powers, J.P.; Corwin, A.B.; Schmall, P.C.; Kaeck, W.E. Construction Dewatering and Groundwater Control: New Methods and Applications; John Wiley & Sons: New York, NY, USA, 2007. [Google Scholar]
- Sanglerat, G.; Olivari, G.; Cambou, B. Practical Problems in Soil Mechanics and Foundation Engineering, 1–Developments in Geotechnical Engineering; Elsevier Science Publishers B.V.: Amsterdam, The Netherlands, 1984; Volume 34A. [Google Scholar]
- Punmia, B.C.; Ashok, K.J.; Arun, K.J. Water Supply Engineering, 2nd ed.; Laxmi Publications (P) LTD.: New Delhi, India, 1995. [Google Scholar]
- Dachroth, W. Handbuch Der Baugeologie Und Geotechnik; Springer: Berlin/Heidelberg, Germany, 2017. (In German) [Google Scholar]
- Puller, M. Deep Excavations: A Practical Manual; Thomas Telford: London, UK, 2003. [Google Scholar]
- Merkl, G. Technik Der Wasserversorgung: Praxisgrundlagen Für Führungskräfte; Deutscher Industrieverlag: Oldenbourg, Germany, 2008. (In German) [Google Scholar]
- Smoltczyk, U. Ground Dewatering. In Geotechnical Engineering Handbook; Smoltczyk, U., Ed.; John Wiley & Sons: Hoboken, NJ, USA, 2003; Volume 2, pp. 365–398. [Google Scholar]
- Powrie, W. Soil Mechanics: Concepts and Applications, 2nd ed.; Taylor & Francis: New York, NY, USA, 2004. [Google Scholar]
- Coduto, D.P.; Yeung, M.R.; Kitch, W.A. Geotechnical Engineering: Principles & Practices, 2nd ed.; Pearson Prentice Hall: New York, NY, USA, 2011. [Google Scholar]
- Cashman, P.M.; Preene, M. Groundwater Lowering in Construction–A Practical Guide to Dewatering. Volume 6 of Applied Geotechnics, 2nd ed.; CRC Press: Boca Raton, FL, USA, 2013. [Google Scholar]
- Desodt, C.; Reiffsteck, P. Géotechnique-Excercices et Problèmes Corrigés de Mécanique Des Sols, Avec Rappels de Cours, 2nd ed.; Dunod: Malakoff, France, 2020. (In French) [Google Scholar]
- Ergun, M.U.; Nalçakan, M.S. Dewatering of a Large Excavation Pit by Wellpoints. In Proceedings of the Third International Conference on Case Histories in Geotechnical Engineering, St. Louis, MO, USA, 1–5 June 1993; pp. 707–711. [Google Scholar]
- Kumar, B.A.; Sudip, B.; Prabir, M. An Innovative Methodology for Groundwater Management with Reference to Saline Water Intrusion. IOSR J. Eng. 2012, 2, 1473–1486. [Google Scholar] [CrossRef]
- Rabie, M.H. Comparative Study between Predicted and Observed Records of Implementation Dewatering Systems at Abu Qir Intake Power Plant, Alexandria. J. Am. Sci. 2013, 9, 106–114. [Google Scholar]
- Yihdego, Y. Engineering and Enviro-Management Value of Radius of Influence Estimate from Mining Excavation. J. Appl. Water Eng. Res. 2018, 6, 329–337. [Google Scholar] [CrossRef]
- Yihdego, Y.; Paffard, A. Predicting Open Pit Mine Inflow and Recovery Depth in the Durvuljin Soum, Zavkhan Province, Mongolia. Mine Water Environ. 2017, 36, 114–123. [Google Scholar] [CrossRef]
- Yihdego, Y.; Drury, L. Mine Dewatering and Impact Assessment in an Arid Area: Case of Gulf Region. Environ. Monit. Assess. 2016, 188, 634. [Google Scholar] [CrossRef]
- De Filippi, F.M.; Iacurto, S.; Ferranti, F.; Sappa, G. Hydraulic Conductivity Estimation Using Low-Flow Purging Data Elaboration in Contaminated Sites. Water 2020, 12, 898. [Google Scholar] [CrossRef]
- Khadka, D.B. Experimental Design of Physical Unconfined Aquifer for Evaluation of Well Abstraction Effects: Laboratory Approach. J. Eng. Res. Rep. 2021, 20, 90–102. [Google Scholar] [CrossRef]
- Niu, W.; Wang, Z.; Chen, F.; Li, H. Settlement Analysis of a Confined Sand Aquifer Overlain by a Clay Layer Due to Single Well Pumping. Math. Probl. Eng. 2013, 2013, 789853. [Google Scholar] [CrossRef]
- Masoud, M. Groundwater Resources Management of the Shallow Groundwater Aquifer in the Desert Fringes of El Beheira Governorate, Egypt. Earth Syst. Environ. 2020, 4, 147–165. [Google Scholar] [CrossRef]
- Bair, E.S.; O’Donnell, T.P. Uses of Numerical Modeling in the Design and Licensing of Dewatering and Depressurizing Systems. Ground Water 1983, 21, 411–420. [Google Scholar] [CrossRef]
- Moh, Z.-C.; Chuay, H.-Y.; Hwang, R.N. Large Scale Pumping Test and Hydraulic Characteristics of Chingmei Gravels. In Proceedings of the Twelfth Southeast Asian Geotechnical Conference and the Fourt International Conference on Tropcial Soils, Kuala Lumpur, Malaysia, 6–10 May 1996; Volume 1, pp. 119–124. [Google Scholar]
- Fileccia, A. Some Simple Procedures for the Calculation of the Influence Radius and Well Head Protection Areas (Theoretical Approach and a Field Case for a Water Table Aquifer in an Alluvial Plain). Acque Sotter. Ital. J. Groundw. 2015, 4, 3. [Google Scholar] [CrossRef]
- Kyrieleis, W.; Sichardt, W. Grundwasserabsenkung Bei Fundierungsarbeiten; Springer: Berlin/Heidelberg, Germany, 1930. (In German) [Google Scholar]
- Sichardt, W. Das Fassungsvermögen von Rohrbrunnen Und Seine Bedeutung Für Die Grundwasserabsenkung, Insbesondere Für Größere Absenkungstiefen; Springer: Berlin/Heidelberg, Germany, 1928. (In German) [Google Scholar]
- Narasimhan, T.N. Hydraulic Characterization of Aquifers, Reservoir Rocks, and Soils: A History of Ideas. Water Resour. Res. 1998, 34, 33–46. [Google Scholar] [CrossRef]
- Weber, H. Die Reichweite von Grundwasserabsenkungen Mittels Rohrbrunnen; Springer: Berlin/Heidelberg, Germany, 1928. (In German) [Google Scholar]
- Bredehoeft, J.D.; Papadopulos, S.S.; Cooper, H.H., Jr. The Water Budget Myth. In Scientific Basis of Water Resources Management Studies in Geophysics; National Academy Press: Washington, DC, USA, 1982; pp. 51–57. [Google Scholar]
- Bredehoeft, J.D. The Water Budget Myth Revisited: Why Hydrogeologists Model. Ground Water 2002, 40, 340–345. [Google Scholar] [CrossRef] [PubMed]
- Theis, C.V. The Source of Water Derived from Wells: Essential Factors Controlling the Response of an Aquifer to Development. Civ. Eng. 1940, 10, 277–280. [Google Scholar]
- Konikow, L.F.; Leake, S.A. Depletion and Capture: Revisiting “The Source of Water Derived from Wells”. Groundwater 2014, 52, 100–111. [Google Scholar] [CrossRef]
- Lohman, S.W. Definitions of Selected Ground Water Terms–Revisions and Conceptual Refinements; USGS Water Supply Paper 1988; U.S. Government Printing Office: Washington, DC, USA, 1972.
- Bredehoeft, J.; Durbin, T. Ground Water Development-The Time to Full Capture Problem. Ground Water 2009, 47, 506–514. [Google Scholar] [CrossRef]
- Seward, P.; Xu, Y.; Turton, A. Investigating a Spatial Approach to Groundwater Quantity Management Using Radius of Influence with a Case Study of South Africa. Water SA 2015, 41, 71–78. [Google Scholar] [CrossRef][Green Version]
- Barlow, P.M.; Leake, S.A.; Fienen, M.N. Capture Versus Capture Zones: Clarifying Terminology Related to Sources of Water to Wells. Groundwater 2018, 56, 694–704. [Google Scholar] [CrossRef]
- Brown, R.H. The Cone of Depression and the Area of Diversion around a Discharging Well in an Infinite Strip Aquifer Subject to Uniform Recharge. In Shortcuts and Special Problems in Aquifer Tests; USGS Water-Supply Paper 1545C; U.S. Government Printing Office: Washington, DC, USA, 1963; pp. C69–C85. [Google Scholar]
- Sophocleous, M. Retracted: On Understanding and Predicting Groundwater Response Time. Groundwater 2012, 50, 528–540. [Google Scholar] [CrossRef]
- Devlin, J.F.; Sophocleous, M. The Persistence of the Water Budget Myth and Its Relationship to Sustainability. Hydrogeol. J. 2005, 13, 549–554. [Google Scholar] [CrossRef]
- Kalf, F.R.P.; Woolley, D.R. Applicability and Methodology of Determining Sustainable Yield in Groundwater Systems. Hydrogeol. J. 2005, 13, 295–312. [Google Scholar] [CrossRef]
- Zhou, Y. A Critical Review of Groundwater Budget Myth, Safe Yield and Sustainability. J. Hydrol. 2009, 370, 207–213. [Google Scholar] [CrossRef]
- Hansen, C.V. Description and Evaluation of Selected Methods Used to Delineate Wellhead-Protection Areas around Public-Supply Wells near Mt. Hope, Kansas; USGS Water-Resources Investigations Report 90-4102; U.S. Geological Survey: Denver, CO, USA, 1991. [CrossRef][Green Version]
- Bear, J. Hydraulics of Groundwater; McGraw-Hill Series in Water Resources and Environmental Engineering; McGraw-Hill: New York, NY, USA, 1979. [Google Scholar]
- Kruseman, G.P.; de Ridder, N.A. Analysis and Evaluation of Pumping Test Data, 2nd ed.; ILRI Publication 47: Wageningen, The Netherlands, 1990. [Google Scholar]
- Neuman, S.P.; Witherspoon, P.A. Applicability of Current Theories of Flow in Leaky Aquifers. Water Resour. Res. 1969, 5, 817–829. [Google Scholar] [CrossRef]
- MacDonald, T.R.; Kitanidis, P.K. Modeling the Free Surface of an Unconfined Aquifer Near a Recirculation Well. Ground Water 1993, 31, 774–780. [Google Scholar] [CrossRef]
- Gefell, M.J.; Thomas, G.M.; Rossello, S.J. Maximum Water-Table Drawdown at a Fully Penetrating Pumping Well. Ground Water 1994, 32, 411–419. [Google Scholar] [CrossRef]
- Chu, S.T. Transient Radius of Influence Model. J. Irrig. Drain. Eng. 1994, 120, 964–969. [Google Scholar] [CrossRef]
- Soni, A.K.; Sahoo, L.K.; Ghosh, U.K.; Khond, M.V. Importance of Radius of Influence and Its Estimation in a Limestone Quarry. J. Inst. Eng. India Ser. D 2015, 96, 77–83. [Google Scholar] [CrossRef]
- Castellazzi, P.; Martel, R.; Galloway, D.L.; Longuevergne, L.; Rivera, A. Assessing Groundwater Depletion and Dynamics Using GRACE and InSAR: Potential and Limitations. Groundwater 2016, 54, 768–780. [Google Scholar] [CrossRef]
- Bresciani, E.; Shandilya, R.N.; Kang, P.K.; Lee, S. Well Radius of Influence and Radius of Investigation: What Exactly Are They and How to Estimate Them? J. Hydrol. 2020, 583, 124646. [Google Scholar] [CrossRef]
- Dragoni, W. Some Considerations Regarding the Radius or Influence or a Pumping Well. Hydrogéologie 1998, 3, 21–25. [Google Scholar]
- Zhou, Y. Sources of Water, Travel Times and Protection Areas for Wells in Semi-Confined Aquifers. Hydrogeol. J. 2011, 19, 1285–1291. [Google Scholar] [CrossRef]
- Pfannkuch, H.-O.; Mooers, H.D.; Siegel, D.I.; Quinn, J.J.; Rosenberry, D.O.; Alexander, S.C. Review: “Jacob’s Zoo”—How Using Jacob’s Method for Aquifer Testing Leads to More Intuitive Understanding of Aquifer Characteristics. Hydrogeol. J. 2021, 29, 2001–2015. [Google Scholar] [CrossRef]
- Haitjema, H. The Role of Hand Calculations in Ground Water Flow Modeling. Ground Water 2006, 44, 786–791. [Google Scholar] [CrossRef]
- Haitjema, H. Analytic Element Modeling of Groundwater Flow; Academic Press: San Diego, CA, USA, 1995. [Google Scholar]
- Bakker, M.; Strack, O.D.L. Analytic Elements for Multiaquifer Flow. J. Hydrol. 2003, 271, 119–129. [Google Scholar] [CrossRef]
- Bruggeman, G.A. Analytical Solutions of Geohydrological Problems. Developments in Water Science 46; Elsevier: Amsterdam, The Netherlands, 1999. [Google Scholar]
- Thiem, G. Hydrologische Methoden; Gebhardt: Leipzig, Germany, 1906. (In German) [Google Scholar]
- De Glee, G.J. Over Grondwaterstroomingen Bij Wateronttrekking Door Middel van Putten. Ph.D. Thesis, Technische Universiteit Delft, Delft, The Netherlands, 1930. (In Dutch). [Google Scholar]
- Theis, C.V. The Relation between the Lowering of the Piezometric Surface and the Rate and Duration of Discharge of a Well Using Ground-Water Storage. Trans. Am. Geophys. Union 1935, 16, 519–524. [Google Scholar] [CrossRef]
- Hantush, M.S.; Jacob, C.E. Non-Steady Radial Flow in an Infinite Leaky Aquifer. Trans. Am. Geophys. Union 1955, 36, 95–100. [Google Scholar] [CrossRef]
- Ernst, L.F. Analysis of Groundwater Flow to Deep Wells in Areas with a Non-Linear Function for the Subsurface Drainage. J. Hydrol. 1971, 14, 158–180. [Google Scholar] [CrossRef]
- Louwyck, A.; Vandenbohede, A.; Bakker, M.; Lebbe, L. Simulation of Axi-Symmetric Flow towards Wells: A Finite-Difference Approach. Comput. Geosci. 2012, 44, 136–145. [Google Scholar] [CrossRef]
- Dupuit, J. Etude Théoriques et Pratiques Sur Le Mouvement Des Eaux Dans Les Canaux Découverts et à Travers Les Terrains Perméables; Dunot: Paris, France, 1863. (In French) [Google Scholar]
- Wang, X.-W.; Yang, T.-L.; Xu, Y.-S.; Shen, S.-L. Evaluation of Optimized Depth of Waterproof Curtain to Mitigate Negative Impacts during Dewatering. J. Hydrol. 2019, 577, 123969. [Google Scholar] [CrossRef]
- Wu, Y.-X.; Shen, S.-L.; Lyu, H.-M.; Zhou, A. Analyses of Leakage Effect of Waterproof Curtain during Excavation Dewatering. J. Hydrol. 2020, 583, 124582. [Google Scholar] [CrossRef]
- Zheng, Y.; Lei, J.; Wang, F.; Xiang, L.; Yang, J.; Xue, Q. Investigation on Dewatering of a Deep Shaft in Strong Permeable Sandy Pebble Strata on the Bank of the Yellow River. Geofluids 2021, 2021, 9994477. [Google Scholar] [CrossRef]
- Zhang, X.; Wang, X.; Xu, Y. Influence of Filter Tube of Pumping Well on Groundwater Drawdown during Deep Foundation Pit Dewatering. Water 2021, 13, 3297. [Google Scholar] [CrossRef]
- Zeng, C.-F.; Wang, S.; Xue, X.-L.; Zheng, G.; Mei, G.-X. Evolution of Deep Ground Settlement Subject to Groundwater Drawdown during Dewatering in a Multi-Layered Aquifer-Aquitard System: Insights from Numerical Modelling. J. Hydrol. 2021, 603, 127078. [Google Scholar] [CrossRef]
- Lyu, H.-M.; Shen, S.-L.; Wu, Y.-X.; Zhou, A.-N. Calculation of Groundwater Head Distribution with a Close Barrier during Excavation Dewatering in Confined Aquifer. Geosci. Front. 2021, 12, 791–803. [Google Scholar] [CrossRef]
- Zeng, C.-F.; Zheng, G.; Xue, X.-L. Responses of Deep Soil Layers to Combined Recharge in a Leaky Aquifer. Eng. Geol. 2019, 260, 105263. [Google Scholar] [CrossRef]
- Kooper, J. Beweging van Het Water in Den Bodem Bij Onttrekking Door Bronnen. De Ingenieur 1914, 29, 697–716. (In Dutch) [Google Scholar]
- Hemker, C.J. Groundwater Flow in Layered Aquifer Systems. Ph.D. Thesis, Vrije Universiteit Amsterdam, Amsterdam, The Netherlands, 2000. [Google Scholar]
- Jacob, C.E. Radial Flow in a Leaky Artesian Aquifer. Trans. Am. Geophys. Union 1946, 27, 198–208. [Google Scholar] [CrossRef]
- Bakker, M. An Analytic, Approximate Method for Modeling Steady, Three-Dimensional Flow to Partially Penetrating Wells. Water Resour. Res. 2001, 37, 1301–1308. [Google Scholar] [CrossRef][Green Version]
- Abramowitz, M.; Stegun, I.A. Handbook of Mathematical Functions: With Formulas, Graphs, and Mathematical Tables. In Dover Books on Advanced Mathematics; Abramowitz, M., Stegun, I.A., Eds.; Dover Publications: New York, NY, USA, 1965. [Google Scholar]
- De Smedt, F. Groundwater Hydrology; Department of Hydrology and Hydraulic Engineering, Faculty of Applied Sciences, Free University Brussels: Brussels, Germany, 2006. [Google Scholar]
- Harbaugh, A.W. MODFLOW-2005, the U.S. Geological Survey Modular Ground-Water Model-the Ground-Water Flow Process; USGS Techniques and Methods; U.S. Geological Survey: Reston, VA, USA, 2005. [CrossRef]
- Bredehoeft, J.D. An Interview with C.V. Theis. Hydrogeol. J. 2008, 16, 5. [Google Scholar] [CrossRef]
- Loàiciga, H.A. Derivation Approaches for the Theis (1935) Equation. Ground Water 2010, 48, 2–5. [Google Scholar] [CrossRef]
- Perina, T. Derivation of the Theis (1935) Equation by Substitution. Ground Water 2010, 48, 6–7. [Google Scholar] [CrossRef]
- Masoodi, R.; Ghanbari, R.N. Derivation of the Theis (1935) Equation by Substitution. Ground Water 2012, 50, 8–9. [Google Scholar] [CrossRef]
- Cooper, H.H.; Jacob, C.E. A Generalized Graphical Method for Evaluating Formation Constants and Summarizing Well-Field History. Trans. Am. Geophys. Union 1946, 27, 526–534. [Google Scholar] [CrossRef]
- Jacob, C.E. Flow of Groundwater. In Engineering Hydraulics; Rouse, H., Ed.; Wiley: New York, NY, USA, 1950; pp. 321–386. [Google Scholar]
- Bear, J. Dynamics of Fluids in Porous Media; American Elsevier Publishing Company: New York, NY, USA, 1972. [Google Scholar]
- Hantush, M.S. Modification of the Theory of Leaky Aquifers. J. Geophys. Res. 1960, 65, 3713–3725. [Google Scholar] [CrossRef]
- De Smedt, F. Constant-Rate Pumping Test in a Leaky Aquifer with Water Release from Storage in the Aquitard. Groundwater 2020, 58, 487–491. [Google Scholar] [CrossRef]
- Neuman, S.P.; Witherspoon, P.A. Theory of Flow in a Confined Two Aquifer System. Water Resour. Res. 1969, 5, 803–816. [Google Scholar] [CrossRef]
- Stehfest, H. Algorithm 368: Numerical Inversion of Laplace Transforms [D5]. Commun. ACM 1970, 13, 47–49. [Google Scholar] [CrossRef]
- Shampine, L.F. Vectorized Adaptive Quadrature in MATLAB. J. Comput. Appl. Math. 2008, 211, 131–140. [Google Scholar] [CrossRef]
- Veling, E.J.M.; Maas, C. Hantush Well Function Revisited. J. Hydrol. 2010, 393, 381–388. [Google Scholar] [CrossRef][Green Version]
- Louwyck, A.; Vandenbohede, A.; Bakker, M.; Lebbe, L. MODFLOW Procedure to Simulate Axisymmetric Flow in Radially Heterogeneous and Layered Aquifer Systems. Hydrogeol. J. 2014, 22, 1217–1226. [Google Scholar] [CrossRef]
- Hemker, C.J. Steady Groundwater Flow in Leaky Multiple-Aquifer Systems. J. Hydrol. 1984, 72, 355–374. [Google Scholar] [CrossRef]
- Hemker, C.J. Transient Well Flow in Leaky Multiple-Aquifer Systems. J. Hydrol. 1985, 81, 111–126. [Google Scholar] [CrossRef]
- Hunt, B. Flow to a Well in a Multiaquifer System. Water Resour. Res. 1985, 21, 1637–1641. [Google Scholar] [CrossRef]
- Hunt, B. Solutions for Steady Groundwater Flow in Multi-Layer Aquifer Systems. Transp. Porous Media 1986, 1, 419–429. [Google Scholar] [CrossRef]
- Maas, C. The Use of Matrix Differential Calculus in Problems of Multiple-Aquifer Flow. J. Hydrol. 1986, 88, 43–67. [Google Scholar] [CrossRef]
- Hemker, C.J.; Maas, C. Unsteady Flow to Wells in Layered and Fissured Aquifer Systems. J. Hydrol. 1987, 90, 231–249. [Google Scholar] [CrossRef]
- Bakker, M. Semi-Analytic Modeling of Transient Multi-Layer Flow with TTim. Hydrogeol. J. 2013, 21, 935–943. [Google Scholar] [CrossRef]
- Hantush, M.S. Hydraulics of Wells. In Advances in Hydroscience; Chow, V.T., Ed.; Academic Press: New York, NY, USA; London, UK, 1964; Volume 1, pp. 281–432. [Google Scholar]





Publisher’s Note: MDPI stays neutral with regard to jurisdictional claims in published maps and institutional affiliations. |
© 2022 by the authors. Licensee MDPI, Basel, Switzerland. This article is an open access article distributed under the terms and conditions of the Creative Commons Attribution (CC BY) license (https://creativecommons.org/licenses/by/4.0/).
Share and Cite
Louwyck, A.; Vandenbohede, A.; Libbrecht, D.; Van Camp, M.; Walraevens, K. The Radius of Influence Myth. Water 2022, 14, 149. https://doi.org/10.3390/w14020149
Louwyck A, Vandenbohede A, Libbrecht D, Van Camp M, Walraevens K. The Radius of Influence Myth. Water. 2022; 14(2):149. https://doi.org/10.3390/w14020149
Chicago/Turabian StyleLouwyck, Andy, Alexander Vandenbohede, Dirk Libbrecht, Marc Van Camp, and Kristine Walraevens. 2022. "The Radius of Influence Myth" Water 14, no. 2: 149. https://doi.org/10.3390/w14020149
APA StyleLouwyck, A., Vandenbohede, A., Libbrecht, D., Van Camp, M., & Walraevens, K. (2022). The Radius of Influence Myth. Water, 14(2), 149. https://doi.org/10.3390/w14020149

