Simulation Study on Hydrological Process of Soil Cracks in Open-Pit Coal Mine Dump
Abstract
1. Introduction
2. Materials and Methods
2.1. Overview of Test Plots
2.2. Test Methods
2.2.1. Investigation of Soil Cracks in Dump Site
2.2.2. Test Soil
2.2.3. Indoor Artificial Simulated Rainfall Test
2.2.4. Equivalent Model Making of Soil Mass Cracks in Dump Site
2.2.5. Construction Method of Solid Model of Soil Mass Cracks in Dump Site
- (1)
- Gypsum Pour Method to Obtain Cracks
- (2)
- 3D Laser Scanning Technology to Collect Information
- (3)
- 3D Printing Technology to Obtain Mold
- (4)
- The Principle of Water Freezing and Thawing to Simulate Solid Cracks
3. Results and Analysis
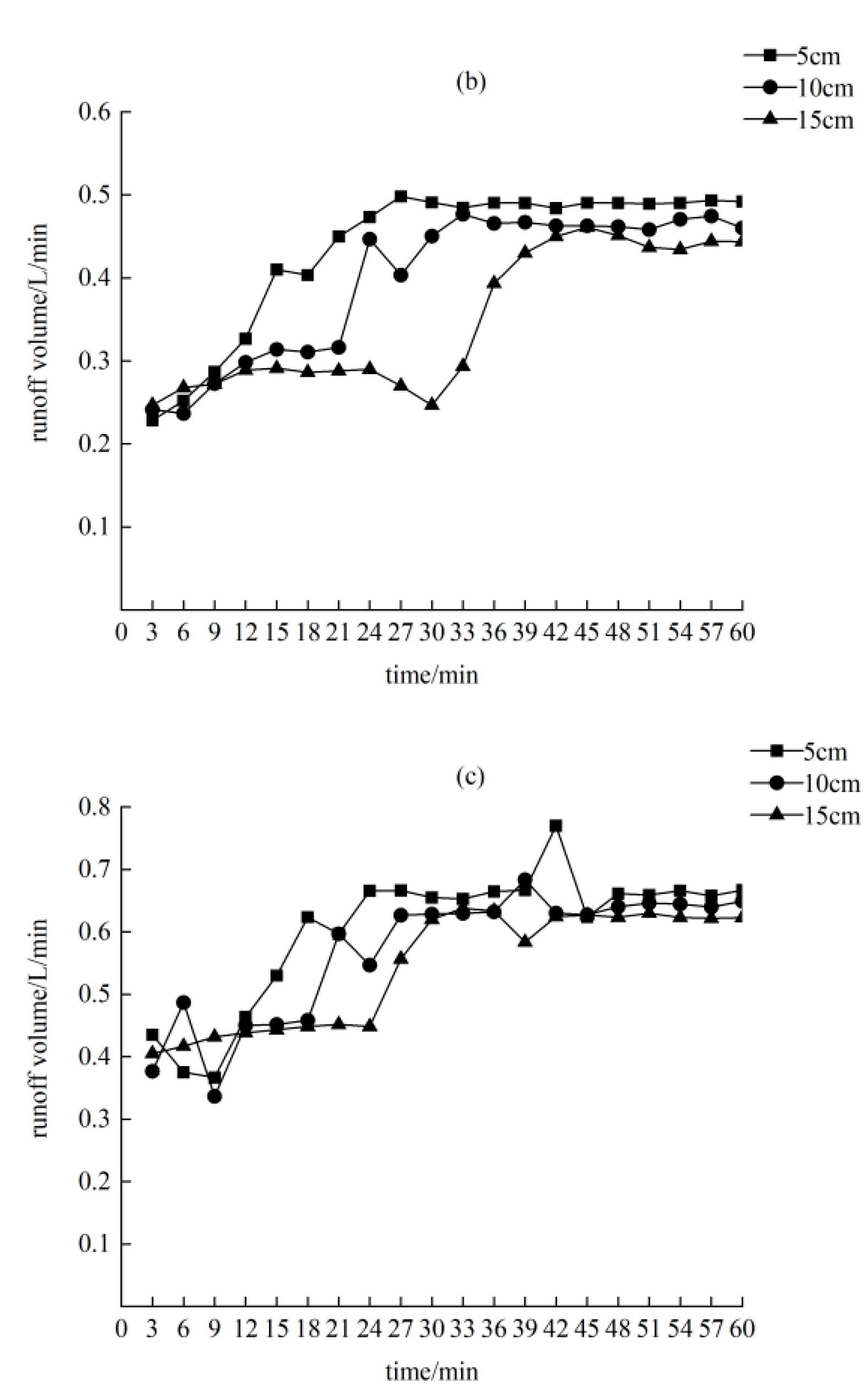
3.1. Analysis of Slope Runoff Process under the Influence of Solid Model of Soil Cracks in Dump Site
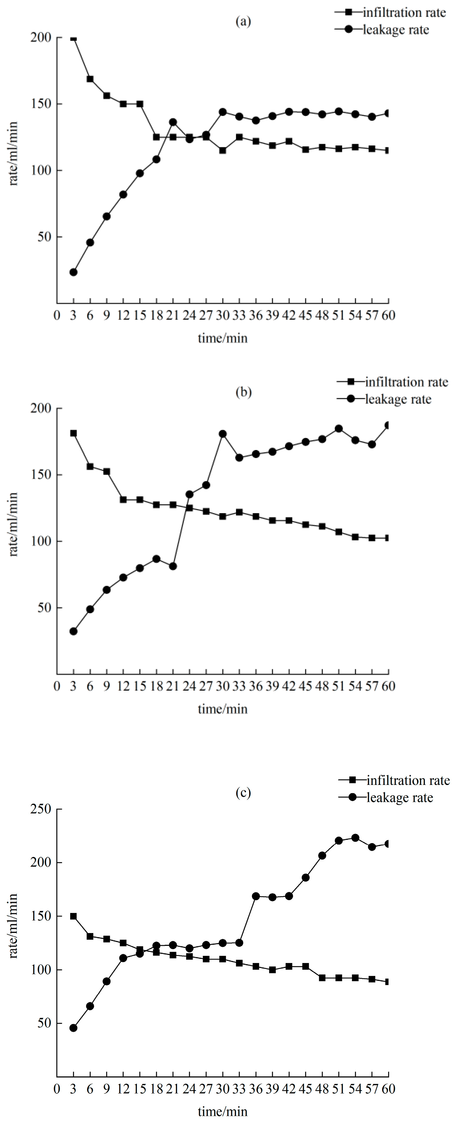
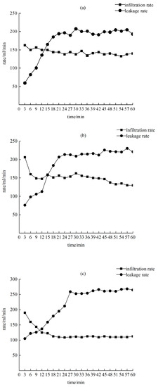
3.2. Analysis of the Infiltration Process under the Influence of Solid Model of Soil Cracks in Dump Site
3.3. Comparative Analysis of the Hydrological Effects of Solid Model and Equivalent Model of Soil Cracks in Dump Site
4. Discussion
5. Conclusions
Author Contributions
Funding
Institutional Review Board Statement
Informed Consent Statement
Data Availability Statement
Acknowledgments
Conflicts of Interest
References
- Bi, Y.L.; Zhang, Y.X.; Zhou, H. Plant growth and their root development after inoculation of arbuscular mycorrhizal fungi in coal mine subsided areas. Int. J. Coal Sci Technol. 2018, 5, 47–53. [Google Scholar] [CrossRef]
- Ahirwal, J.; Maiti, S.K. Assessment of soil properties of different land uses generated due to surface coal mining activities in tropical Sal (Shorea robusta) forest, India. Catena 2016, 140, 155–163. [Google Scholar] [CrossRef]
- Li, X.H.; Lei, S.G.; Liu, Y.; Chen, H.C.; Zhao, Y.B.; Gong, C.G.; Bian, Z.F.; Lu, X.G. Evaluation of Ecological Stability in Semi-Arid Open-Pit Coal Mining Area Based on Structure and Function Coupling during 2002–2017. Remote Sens. 2021, 13, 5040. [Google Scholar] [CrossRef]
- Maiti, S.K. Bioreclamation of coalmine overburden dumps with special empasis on micronutrients and heavy metals accumulation in tree species. Environ. Monit. Assess. 2007, 125, 111–122. [Google Scholar] [CrossRef]
- Tami, D.; Rahardjo, H.; Leong, E.-C. Effects of Hysteresis on Steady-state Infiltration in Unsaturated Slopes. J. Geotech. Geoenviorn. Eng. 2004, 130, 956–967. [Google Scholar] [CrossRef]
- Assouline, S.; Ben-Hur, M. Effects of rainfall intensity and slope gradient on the dynamics of interrill erosion during soil surface sealing. Catena 2006, 66, 211–220. [Google Scholar] [CrossRef]
- Berger, C.; Schulze, M.; Rieke-Zapp, D.; Schlunegger, F. Rill development and soil erosion: A laboratory study of slope and rainfall intensity. Earth Surf. Process Landf. 2010, 35, 1456–1467. [Google Scholar] [CrossRef]
- Chen, H.; Zhang, X.P.; Abla, M.; Lü, D.; Yan, R.; Ren, Y.Q.; Ren, Z.Y.; Yang, Y.H.; Zhao, W.H.; Lin, P.F.; et al. Effects of vegetation and rainfall types on surface runoff and soil erosion on steep slopes on the Loess Plateau, China. Catena 2018, 170, 141–149. [Google Scholar] [CrossRef]
- Song, S.J.; Zhang, J.S.; Zhang, W.; Li, Y. Study on the Measurement Index System of Green Development Degree in Coal Mining Area Based on Comprehensive Environmental Capacity. Adv. Mater. Res. 2014, 1073–1076, 2493–2498. [Google Scholar] [CrossRef]
- Franklin, J.A.; Zipper, C.E.; Burger, J.A.; Skousen, J.G.; Jacobs, D.F. Influence of herbaceous ground cover on forest restoration of eastern US coal surface mines. New For. 2012, 43, 905–924. [Google Scholar] [CrossRef]
- Li, J.M.; Wang, W.L.; Guo, M.M.; Kang, H.L.; Wang, Z.G.; Huang, J.Q.; Sun, B.Y.; Wang, K.; Zhang, G.H.; Bai, Y. Effects of soil texture and gravel content on the infiltration and soil loss of spoil heaps under simulated rainfall. J. Soils Sediments 2020, 20, 3896–3908. [Google Scholar] [CrossRef]
- Hu, S.; Li, L.; Chen, L.Q.; Cheng, L.; Yuan, L.; Huang, X.D.; Zhang, T. Estimation of Soil Erosion in the Chaohu Lake Basin through Modified Soil Erodibility Combined with Gravel Content in the RUSLE Model. Water 2019, 11, 1806. [Google Scholar] [CrossRef]
- Zhang, G.; Wang, R.; Qian, J.Y.; Zhang, J.M.; Qian, J.G. Effect study of cracks on behavior of soil slope under rainfall conditions. Soils Found. 2012, 52, 634–643. [Google Scholar] [CrossRef]
- Ghose, M.K.; Majee, S.R. Characteristics of hazardous airborne dust around an Indian surface coal mining area. Environ. Monit. Assess. 2007, 130, 17–25. [Google Scholar] [CrossRef]
- Lopez-Bellido, R.J.; Muñoz-Romero, V.; Lopez-Bellido, F.J.; Guzman, C.; Lopez-Bellido, L. Crack formation in a mediterranean rainfed Vertisol: Effects of tillage and crop rotation. Geoderma 2016, 281, 127–132. [Google Scholar] [CrossRef]
- Yang, L.X.; Liu, E.L. Numerical Analysis of the Effects of Crack Characteristics on the Stress and Deformation of Unsaturated Soil Slopes. Water 2020, 12, 194. [Google Scholar] [CrossRef]
- Fan, P.; Liu, Q.Q.; Li, J.C.; Sun, J.P. Numerical analysis of rainfall infiltration in the slope with a fracture. Sci. China 2005, 48, 107–120. [Google Scholar] [CrossRef]
- Zhang, Z.P.; Fu, X.D.; Sheng, Q.; Du, Y.X.; Zhou, Y.Q.; Huang, J.H. Stability of Cracking Deposit Slope Considering Parameter Deterioration Subjected to Rainfall. Int. J. Geomech. 2021, 21, 05021001. [Google Scholar] [CrossRef]
- Li, J.H.; Guo, L.B.; Cai, C.Z. Influence of water content and soil type on soil cracking. In Proceedings of the 2012 World Congress on Environmental and Materials Research, Seoul, Korea, 26–29 August 2012; pp. 1543–1553. [Google Scholar]
- Li, X.; Wang, S.J.; Liu, T.Y.; Ma, F.S. Engineering geology, ground surface movement and fissures induced by underground mining in the Jinchuan nickel mine. Eng. Geol. 2004, 76, 93–107. [Google Scholar] [CrossRef]
- Li, E.L.; Zhao, Y.L.; Meng, P.; Wang, X.J.; Zeng, Z.Y.; Yu, Y.; Gao, Y. Research on the Impact of Ground Crack on Soil Nitrogen in Sandy Area Pit Mining. Adv. Mater. Res. 2013, 2480, 3710–3714. [Google Scholar] [CrossRef]
- Zhou, D.W.; Wu, K.; Bai, Z.H.; Hu, Z.Q.; Li, L.; Xu, Y.K.; Diao, X.P. Formation and development mechanism of ground crack caused by coal mining: Effects of overlying key strata. Bull. Eng. Geo. Environ. 2019, 78, 1025–1044. [Google Scholar] [CrossRef]
- Huang, Q.X.; He, Y.P.; Cao, J. Experimental Investigation on Crack Development Characteristics in Shallow Coal Seam Mining in China. Energies 2019, 12, 1302. [Google Scholar] [CrossRef]
- Hou, E.K.; Che, X.Y.; Long, T.W. Prediction method of water inrush from ground cracks in shallow buried seams. J. China Coal Soc. 2020, 45, 54–62. (In Chinese) [Google Scholar]
- Bi, Y.L.; Zhang, J.; Song, Z.H.; Wang, Z.G.; Qiu, L.; Hu, J.J.; Gong, Y.L. Arbuscular mycorrhizal fungi alleviate root damage stress induced by simulated coal mining subsidence ground fissures. Sci. Total Environ. 2019, 652, 398–405. [Google Scholar] [CrossRef]
- Gadi, V.K.; Singh, S.R.; Li, J.H.; Song, L.; Zhu, H.; Garg, A.; Sreedeep, S. Modeling soil-crack–water–atmospheric interactions: A novel root water uptake approach to simulate the evaporation through cracked soil and experimental validation. Geotech. Geol. Eng. 2020, 38, 935–946. [Google Scholar] [CrossRef]
- Wang, C.; Zhang, Z.Y.; Qi, W.; Fan, S.-M. Morphological Approach to Quantifying Soil Cracks: Application to Dynamic Crack Patterns during Wetting-Drying Cycles. Soil Sci. Soc. Am. J. 2017, 82, 757–771. [Google Scholar] [CrossRef]
- Li, J.H.; Zhang, L.M. Study of desiccation crack initiation and development at ground surface. Eng. Geol. 2011, 123, 347–358. [Google Scholar] [CrossRef]
- Yang, T.; Yang, Y.R.; Zhang, J.; Gao, S.S.; Li, T.; Wu, H. Study on Development Law of Mining-Induced Slope Fracture in Gully Mining Area. J. Adv. Civ. Eng. 2021, 2021, 9990465. [Google Scholar] [CrossRef]
- Li, J.H.; Zhang, L.M. Geometric parameters and REV of a crack network in soil. Comput. Geotech. 2010, 37, 466–475. [Google Scholar] [CrossRef]
- Poulsen, T.G. Predicting evaporation from moist, cracked soil, based on near-surface wind speed, crack width and crack distance. Eur. J. Soil Sci. 2022, 73, e13215. [Google Scholar] [CrossRef]
- Shi, B.X.; Zheng, C.F.; Wu, J.K. Research Progress on Expansive Soil Cracks under Changing Environment. Sci. World J. 2014, 2014, 816759. [Google Scholar] [CrossRef][Green Version]
- Novák, V.; Simunek, J.; van Genuchten, M.T. Infiltration of Water into Soil with Cracks. J. Irrig. Drain Eng. 2000, 126, 41–47. [Google Scholar] [CrossRef]
- Cai, Q.G.; Wang, H.; Curtin, D.; Zhu, Y. Evaluation of the EUROSEM model with single event data on Steeplands in the Three Gorges Reservoir Areas, China. Catena 2005, 59, 19–33. [Google Scholar] [CrossRef]
- Kiani-Harchegani, M.; Sadeghi, S.H.; Singh, V.P.; Asadi, H.; Abedi, M. Effect of Rainfall Intensity and Slope on Sediment Particle Size Distribution during Erosion using Partial Eta Squared. Catena 2019, 176, 65–72. [Google Scholar] [CrossRef]
- Xue, Y.N.; Xu, X.Z.; Wang, R.R.; Cheng, F. Energy Similarity of Artificial Rainfall Simulation and Its Realization. Soil Water Conserv. Sci. China 2007, 5, 5. (In Chinese) [Google Scholar] [CrossRef]
- Stefano, C.D.; Nicosia, A.; Pampalone, V.; Palmeri, V.; Ferro, V. New technique for measuring water depth in rill channels—ScienceDirect. Catena 2019, 181, 104090. [Google Scholar] [CrossRef]
- Kiani-Harchegani, M.; Najafi, S.; Ghahramani, A. Chapter 18-Measuring and mapping excessive linear soil erosion features: Rills and gullies. Catena 2019, 176, 65–72. [Google Scholar] [CrossRef]
- Franz, T.E.; Caylor, K.K.; Nordbotten, J.M.; Rodríguez-Iturbe, I.; Celia, M.A. An ecohydrological approach to predicting regional woody species distribution patterns in dryland ecosystems. Adv. Water Resour. 2010, 33, 215–230. [Google Scholar] [CrossRef]
- Rossi, A.M.; Hirmas, D.R.; Graham, R.C.; Sternberg, P.D. Bulk Density Determination by Automated Three-Dimensional Laser Scanning. Soil Sci. Soc. Am. J. 2008, 72, 1591–1593. [Google Scholar] [CrossRef]
- Somasundaram, J.; Singh, R.K.; Prasad, S.N.; Kumar, A.; Lal, R. Effect of soil amendments and land use systems on surface cracks, soil properties and crop yield in a Vertisol. Agric. Res. 2018, 7, 443–455. [Google Scholar] [CrossRef]
- Wang, Y.; Feng, D.; Ng, C.W.W. Modeling the 3D crack network and anisotropic permeability of saturated cracked soil. Comput. Geotech. 2013, 52, 63–70. [Google Scholar] [CrossRef]
- Palmeri, V.; Madonia, G.; Ferro, V. Capturing gypsum rillenkarren morphometry by a 3D-photo reconstruction (3D-PR) technique—ScienceDirect. Geomorphology 2020, 351, 106980. [Google Scholar] [CrossRef]
- Zhao, G.; Tao, X.X.; Liu, B. Experimental study on water migration in undisturbed soil during freezing and thawing process. Yantu Gongcheng Xuebao/Chin. J. Geotech. Eng. 2009, 31, 1952–1957. [Google Scholar] [CrossRef]
- Liu, H.; Li, Q.; Meng, Y. Effects of Rainfall Intensity on Runoff and Sediment Yield in Black Soil Slope. In Proceedings of the International Conference on Unmanned Systems and Artificial Intelligence (ICUSAI), Xi′an, China, 22–24 November 2019. [Google Scholar]
- Wang, Z.F.; Li, J.H.; Zhang, L.M. Influence of cracks on the stability of a cracked soil slope. Unsaturated Soils Theory Pract. 2012, 1, 721–727. [Google Scholar]
- Zhang, L.; Wang, J.; Bai, Z.; Lv, C.J. Effects of vegetation on runoff and soil erosion on reclaimed land in an opencast coal-mine dump in a loess area. Catena 2015, 128, 44–53. [Google Scholar] [CrossRef]
- Li, Y.X.; Lv, G.; Wang, D.H.; Diao, L.F.; Li, C.H.; Du, X.P.; Dong, L. Morphological characteristics of soil cracks in the platform of the outer drainage field of the open-pit coal mine in the northern grassland area. J. Coal Soc. 2020, 45, 11. (In Chinese) [Google Scholar]
- Hou, X.K.; Vanapalli, S.K.; Li, T.L. Water infiltration characteristics in loess associated with irrigation activities and its influence on the slope stability in Heifangtai loess highland, China. Eng. Geol. 2017, 234, 27–37. [Google Scholar] [CrossRef]
- Song, J.; Yang, Z.; Xia, J.; Chen, D.D. The impact of mining-related human activities on runoff in northern Shaanxi, China. J. Hydrol. 2021, 598, 126235. [Google Scholar] [CrossRef]
- Jie, F.L.; Fei, L.J.; Zhong, Y.; Liu, L.H.; Kang, S.X. Wetting Body Characteristics and Infiltration Model of Film Hole Irrigation. Water 2020, 12, 1226. [Google Scholar] [CrossRef]
- Liu, H.; Deng, K.Z.; He, C.J. Crack filling treatment technology for ultra-high water materials. J. Coal Soc. 2014, 39, 72–77. (In Chinese) [Google Scholar]
- Nash, J.E.; Sutcliffe, J.V. River flow forecasting through conceptual models part I—A discussion of principles. J. Hydrol. 1970, 203, 282–290. [Google Scholar] [CrossRef]















| Number | Length | Mean Width | Number | Length | Mean Width | Number | Length | Mean Width |
|---|---|---|---|---|---|---|---|---|
| 1 | 70 | 3 | 17 | 230 | 9 | 33 | 300 | 13 |
| 2 | 580 | 4 | 18 | 215 | 10 | 34 | 1310 | 13 |
| 3 | 430 | 5 | 19 | 140 | 10 | 35 | 1420 | 13 |
| 4 | 520 | 6 | 20 | 280 | 10 | 36 | 210 | 13 |
| 5 | 145 | 7 | 21 | 221 | 10 | 37 | 760 | 14 |
| 6 | 280 | 7 | 22 | 650 | 10 | 38 | 1050 | 14 |
| 7 | 110 | 7 | 23 | 540 | 10 | 39 | 1180 | 15 |
| 8 | 250 | 8 | 24 | 393 | 11 | 40 | 371 | 16 |
| 9 | 190 | 8 | 25 | 512 | 11 | 41 | 2642 | 17 |
| 10 | 570 | 8 | 26 | 280 | 11 | 42 | 400 | 17 |
| 11 | 760 | 8 | 27 | 780 | 11 | 43 | 3195 | 18 |
| 12 | 980 | 8 | 28 | 260 | 12 | 44 | 1680 | 20 |
| 13 | 230 | 9 | 29 | 350 | 12 | 45 | 770 | 24 |
| 14 | 1030 | 9 | 30 | 190 | 12 | 46 | 350 | 32 |
| 15 | 410 | 9 | 31 | 340 | 12 | 47 | 1110 | 34 |
| 16 | 240 | 9 | 32 | 1110 | 12 | 48 | 6756 | 60 |
| Crack Number | Model Number | Surface Area/cm2 | Surface Area Ratio | Roughness | Volume/cm3 | Volume Ratio |
|---|---|---|---|---|---|---|
| SC1 | SOM1 | 3054.23 | 1.11 | 1.16 | 5104.48 | 1.70 |
| EQM1 | 2754.68 | / | 3000.00 | |||
| SC2 | SOM2 | 3497.99 | 1.20 | 1.22 | 11,608.40 | 1.93 |
| EQM2 | 2918.68 | / | 6000.00 | |||
| SC3 | SOM3 | 4082.97 | 1.32 | 1.27 | 13,742.40 | 1.53 |
| EQM3 | 3091.82 | / | 9000.00 |
Publisher’s Note: MDPI stays neutral with regard to jurisdictional claims in published maps and institutional affiliations. |
© 2022 by the authors. Licensee MDPI, Basel, Switzerland. This article is an open access article distributed under the terms and conditions of the Creative Commons Attribution (CC BY) license (https://creativecommons.org/licenses/by/4.0/).
Share and Cite
Lv, G.; He, C.; Du, X.; Li, Y. Simulation Study on Hydrological Process of Soil Cracks in Open-Pit Coal Mine Dump. Water 2022, 14, 2302. https://doi.org/10.3390/w14152302
Lv G, He C, Du X, Li Y. Simulation Study on Hydrological Process of Soil Cracks in Open-Pit Coal Mine Dump. Water. 2022; 14(15):2302. https://doi.org/10.3390/w14152302
Chicago/Turabian StyleLv, Gang, Cong He, Xinpeng Du, and Yexin Li. 2022. "Simulation Study on Hydrological Process of Soil Cracks in Open-Pit Coal Mine Dump" Water 14, no. 15: 2302. https://doi.org/10.3390/w14152302
APA StyleLv, G., He, C., Du, X., & Li, Y. (2022). Simulation Study on Hydrological Process of Soil Cracks in Open-Pit Coal Mine Dump. Water, 14(15), 2302. https://doi.org/10.3390/w14152302

