Direct and Activated Chlorine Dioxide Oxidation for Micropollutant Abatement: A Review on Kinetics, Reactive Sites, and Degradation Pathway
Abstract
:1. Introduction
2. ClO2 Physicochemical Properties
3. Direct ClO2 Oxidation
3.1. Reaction Kinetics
3.2. Reactive Sites
| Micropollutants | Molecular Structure | Reactive Sites | Pathways | References |
|---|---|---|---|---|
| β-lactam antibiotics | ||||
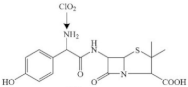
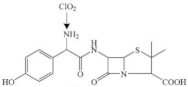
| Amoxicillin | ![]() | amino group | pathway: β-lactam ring breaking | [45] |
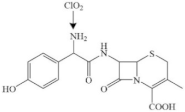
| Cefadroxil | ![]() | |||
| fluoroquinolones | ||||
| Ciprofloxacin | ![]() | piperazine’s N4 atom | pathway: dealkylation, hydroxylation and intramolecular ring closure at the piperazine moiety, and the quinolone ring mostly intact | [34] |
| Norfloxacin | ![]() | |||
| Enoxacin | ![]() | pathway: piperazine group cleavage, the decarboxylating quinolone ring, and hydroxylation | [44] | |
| Fleroxacin | ![]() | pathway: the cleavage of the piperazine ring and the decarboxylation and chlorination of the quinolone ring | [32] | |
| sulfonamides | ||||
| Sulfamethoxazole | ![]() | sulfonyl amido-nitrogen | pathway: breakage of S-N and C-S bonds and hydroxylation of aniline group | [36] |
| tetracyclines | ||||
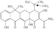
| Tetracycline | ![]() | dimethylamino groups | pathway: (hydr)oxylation and breakage of tetracycline molecules | [35] |
| triclosan | ||||
| Triclosan | ![]() | phenol group a | pathway: the closure of the phenolic ring, chlorination of the phenolic ring and cleavage of the ether bond | [38] |
| antipyretic analgesics | ||||
| Diclofenac | ![]() | aniline group a | pathway: decarboxylation, hydroxylation and chlorination of the phenylacetic acid moiety, and further C-N bond cleavage | [50] |
| Antipyrine | ![]() | pyrazolone’s N2 atom | pathway: chlorination substitution, ring-opening reaction and de-carbonyl reaction of the pyrazolone ring | [39] |
| Iso-propylphenazone | ![]() | pyrazolone’s C=C | pathway: C=C cleavage, ring opening reaction and de-carbonyl reaction of the pyrazolone ring | [40] |
| Aminopyrine | ![]() | |||
| antidepressant | ||||
| Venlafaxine | ![]() | - | pathway: dehydration, demethylation and cleavage of the molecular structure | [51] |
| phenylurea herbicides | ||||
| Fenuron | ![]() | urea group | pathway: electrophilic substitution and cleavage of the urea group products: a chloro-quinone product and an urea derivative | [52] |
| Isoproturon | ![]() | aromatic benzene ring | pathway: aromatic-ring hydroxylated substituted derivatives | [47] |
| Chlortoluron | ![]() | nitrogen atom on the ureic side-chain | pathway: radical intermediates formation, hydroxylation reactions and cleavage of the N–C bond on the ureic side-chain | [46] |
| Diuron | ![]() | pathway: hydroxylation reactions and cleavage of the N–C bond on the ureic side-chain, dechloridation of the benzene ring | ||
| sulfonylurea herbicides | ||||
| Nicosulfuron | ![]() | urea group | pathway: the urea group breaking | [48] |
| herbicide | ||||
| Ametryn | ![]() | sulfur center | pathway: oxidation reactiveproduct: the sulphoxide derivative | [47] |
| carbamate pesticides | ||||
| Methiocarb | ![]() | sulfur center | pathway: oxidation reaction products: methiocarb sulfoxidemethiocarb sulfone | [49] |
| organophosphorus pesticides | ||||
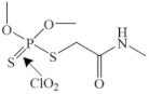
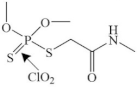
| Azamethiphos | ![]() | amide group | pathway: the breaking of amide group or S–C bond | [16] |
| Dimethoate | ![]() | the phosphinothioyl group | pathway: the breaking of S–C bond, oxidation of the phosphinothioyl group | |
3.3. Degradation Pathways
4. UV-Activated ClO2 Oxidation
4.1. Reaction Kinetics
4.2. Degradation Pathways
5. Research Gap and Future Research
Author Contributions
Funding
Institutional Review Board Statement
Informed Consent Statement
Data Availability Statement
Conflicts of Interest
References
- Lado Ribeiro, A.R.; Moreira, N.F.F.; Li Puma, G.; Silva, A.M.T. Impact of water matrix on the removal of micropollutants by advanced oxidation technologies. Chem. Eng. J. 2019, 363, 155–173. [Google Scholar] [CrossRef] [Green Version]
- Gorito, A.M.; Pesqueira, J.F.J.R.; Moreira, N.F.F.; Ribeiro, A.R.; Pereira, M.F.R.; Nunes, O.C.; Almeida, C.M.R.; Silva, A.M.T. Ozone-based water treatment (O3, O3/UV, O3/H2O2) for removal of organic micropollutants, bacteria inactivation and regrowth prevention. J. Environ. Chem. Eng. 2021, 9, 105315. [Google Scholar] [CrossRef]
- Borrull, J.; Colom, A.; Fabregas, J.; Borrull, F.; Pocurull, E. Presence, behaviour and removal of selected organic micropollutants through drinking water treatment. Chemosphere 2021, 276, 130023. [Google Scholar] [CrossRef] [PubMed]
- Li, R.; Kadrispahic, H.; Koustrup Jørgensen, M.; Brøndum Berg, S.; Thornberg, D.; Mielczarek, A.T.; Bester, K. Removal of micropollutants in a ceramic membrane bioreactor for the post-treatment of municipal wastewater. Chem. Eng. J. 2022, 427, 131458. [Google Scholar] [CrossRef]
- Xu, L.; Wu, C.; Chai, C.; Cao, S.; Bai, X.; Ma, K.; Jin, X.; Shi, X.; Jin, P. Adsorption of micropollutants from wastewater using iron and nitrogen co-doped biochar: Performance, kinetics and mechanism studies. J. Hazard. Mater. 2022, 424, 127606. [Google Scholar] [CrossRef]
- Kiejza, D.; Kotowska, U.; Polińska, W.; Karpińska, J. Peracids—New oxidants in advanced oxidation processes: The use of peracetic acid, peroxymonosulfate, and persulfate salts in the removal of organic micropollutants of emerging concern—A review. Sci. Total Environ. 2021, 790, 148195. [Google Scholar] [CrossRef]
- Mukherjee, A.; Mullick, A.; Moulik, S.; Roy, A. Oxidative degradation of emerging micropollutants induced by rotational hydrodynamic cavitating device: A case study with ciprofloxacin. J. Environ. Chem. Eng. 2021, 9, 105652. [Google Scholar] [CrossRef]
- Tagliavini, M.; Schäfer, A.I. Removal of steroid micropollutants by polymer-based spherical activated carbon (PBSAC) assisted membrane filtration. J. Hazard. Mater. 2018, 353, 514–521. [Google Scholar] [CrossRef]
- Ao, X.W.; Eloranta, J.; Huang, C.H.; Santoro, D.; Sun, W.J.; Lu, Z.D.; Li, C. Peracetic acid-based advanced oxidation processes for decontamination and disinfection of water: A review. Water Res. 2021, 188, 116479. [Google Scholar] [CrossRef]
- Malvestiti, J.A.; Cruz-Alcalde, A.; López-Vinent, N.; Dantas, R.F.; Sans, C. Catalytic ozonation by metal ions for municipal wastewater disinfection and simulataneous micropollutants removal. Appl. Catal. B-Environ. 2019, 259, 118104. [Google Scholar] [CrossRef]
- Mei, L.; Shilong, T.; Jin, S.; Xizhuo, W.; Jianxin, C.; Shouqiang, L.; Xia, G.; Jiachun, T. Effects of chlorine dioxide on morphology and ultrastructure of Fusarium sulphureum and its virulence to potato tubers. Int. J. Agric. Biol. Eng. 2017, 10, 242–250. [Google Scholar] [CrossRef] [Green Version]
- Han, J.; Zhang, X.; Li, W.; Jiang, J. Low chlorine impurity might be beneficial in chlorine dioxide disinfection. Water Res. 2021, 188, 116520. [Google Scholar] [CrossRef] [PubMed]
- Maeda, Y. Roles of Sulfites in Reverse Osmosis (RO) Plants and Adverse Effects in RO Operation. Membranes 2022, 12, 170. [Google Scholar] [CrossRef] [PubMed]
- Rougé, V.; Allard, S.; Croué, J.P.; von Gunten, U. In-situ formation of free chlorine during ClO2 treatment: Implications on the formation of disinfection by-products. Environ. Sci. Technol. 2018, 52, 13421–13429. [Google Scholar] [CrossRef]
- Huber, M.M.; Korhonen, S.; Ternes, T.A.; von Gunten, U. Oxidation of pharmaceuticals during water treatment with chlorine dioxide. Water Res. 2005, 39, 3607–3617. [Google Scholar] [CrossRef]
- Pergal, M.V.; Kodranov, I.D.; Dojcinovic, B.; Avdin, V.V.; Stankovic, D.M.; Petkovic, B.B.; Manojlovic, D.D. Evaluation of azamethiphos and dimethoate degradation using chlorine dioxide during water treatment. Environ. Sci. Pollut. Res. Int. 2020, 27, 27147–27160. [Google Scholar] [CrossRef]
- Gan, W.H.; Ge, Y.X.; Zhong, Y.; Yang, X. The reactions of chlorine dioxide with inorganic and organic compounds in water treatment: Kinetics and mechanisms. Environ. Sci. Water Res. 2020, 6, 2287–2312. [Google Scholar] [CrossRef]
- Kong, Q.; Fan, M.; Yin, R.; Zhang, X.; Lei, Y.; Shang, C.; Yang, X. Micropollutant abatement and byproduct formation during the co-exposure of chlorine dioxide (ClO2) and UVC radiation. J. Hazard. Mater. 2021, 419, 126424. [Google Scholar] [CrossRef]
- Peng, J.; Yin, R.; Yang, X.; Shang, C. A Novel UVA/ClO2 Advanced Oxidation Process for the Degradation of Micropollutants in Water. Environ. Sci. Technol. 2022, 56, 1257–1266. [Google Scholar] [CrossRef]
- Ge, Y.; Zhang, X.; Shu, L.; Yang, X. Kinetics and Mechanisms of Virus Inactivation by Chlorine Dioxide in Water Treatment: A Review. Bull. Environ. Contam. Toxicol. 2021, 106, 560–567. [Google Scholar] [CrossRef]
- Singh, S.; Maji, P.K.; Lee, Y.S.; Gaikwad, K.K. Applications of gaseous chlorine dioxide for antimicrobial food packaging: A review. Environ. Chem. Lett. 2020, 19, 253–270. [Google Scholar] [CrossRef]
- Tofanelli, M.; Capriotti, V.; Saraniti, C.; Marcuzzo, A.V.; Boscolo-Rizzo, P.; Tirelli, G. Disposable chlorine dioxide wipes for high-level disinfection in the ENT department: A systematic review. Am. J. Otolaryngol. 2020, 41, 102415. [Google Scholar] [CrossRef] [PubMed]
- Sun, X.; Baldwin, E.; Bai, J. Applications of gaseous chlorine dioxide on postharvest handling and storage of fruits and vegetables—A review. Food Control 2019, 95, 18–26. [Google Scholar] [CrossRef]
- McCarthy, W.P.; O’Callaghan, T.F.; Danahar, M.; Gleeson, D.; O’Connor, C.; Fenelon, M.A.; Tobin, J.T. Chlorate and Other Oxychlorine Contaminants Within the Dairy Supply Chain. Compr. Rev. Food Sci. Food Saf. 2018, 17, 1561–1575. [Google Scholar] [CrossRef] [Green Version]
- Kessler, S.J. Shelf Life Extension of Fresh Strawberries Packaged in Clamshells with Chlorine Dioxide Generating Sachets. Ph.D. Thesis, Clemson University, Clemson, SC, USA, 2020. [Google Scholar]
- Champ, T.B.; Jang, J.H.; Lee, J.L.; Wu, G.; Reynolds, M.A.; Abu-Omar, M.M. Lignin-Derived Non-Heme Iron and Manganese Complexes: Catalysts for the On-Demand Production of Chlorine Dioxide in Water under Mild Conditions. Inorg. Chem. 2021, 60, 2905–2913. [Google Scholar] [CrossRef]
- Chuang, Y.H.; Wu, K.L.; Lin, W.C.; Shi, H.J. Photolysis of Chlorine Dioxide under UVA Irradiation: Radical Formation, Application in Treating Micropollutants, Formation of Disinfection Byproducts, and Toxicity under Scenarios Relevant to Potable Reuse and Drinking Water. Environ. Sci. Technol. 2022, 56, 2593–2604. [Google Scholar] [CrossRef]
- Kim, H.; Lee, J.; Sadeghi, K.; Seo, J. Controlled self-release of ClO2 as an encapsulated antimicrobial agent for smart packaging. Innov. Food Sci. Emerg. 2021, 74, 102802. [Google Scholar] [CrossRef]
- Trinh, V.M.; Yuan, M.H.; Chen, Y.H.; Wu, C.Y.; Kang, S.C.; Chiang, P.C.; Hsiao, T.C.; Huang, H.P.; Zhao, Y.L.; Lin, J.F.; et al. Chlorine dioxide gas generation using rotating packed bed for air disinfection in a hospital. J. Clean. Prod. 2021, 320, 128885. [Google Scholar] [CrossRef]
- Mao, Q.; Li, Q.; Li, H.; Yuan, S.; Zhang, J. Oxidative paraben removal with chlorine dioxide: Reaction kinetics and mechanism. Sep. Purif. Technol. 2020, 237, 116327. [Google Scholar] [CrossRef]
- Hupperich, K.; Mutke, X.A.M.; Abdighahroudi, M.S.; Jütte, M.; Schmidt, T.C.; Lutze, H.V. Reaction of chlorine dioxide with organic matter—Formation of inorganic products. Environ. Sci. Water Res. 2020, 6, 2597–2606. [Google Scholar] [CrossRef]
- He, G.; Zhang, T.; Li, Y.; Li, J.; Chen, F.; Hu, J.; Dong, F. Comparison of fleroxacin oxidation by chlorine and chlorine dioxide: Kinetics, mechanism and halogenated DBPs formation. Chemosphere 2022, 286, 131585. [Google Scholar] [CrossRef] [PubMed]
- Wang, Y.; Liu, H.; Xie, Y.; Ni, T.; Liu, G. Oxidative removal of diclofenac by chlorine dioxide: Reaction kinetics and mechanism. Chem. Eng. J. 2015, 279, 409–415. [Google Scholar] [CrossRef]
- Wang, P.; He, Y.L.; Huang, C.H. Oxidation of fluoroquinolone antibiotics and structurally related amines by chlorine dioxide: Reaction kinetics, product and pathway evaluation. Water Res. 2010, 44, 5989–5998. [Google Scholar] [CrossRef] [PubMed]
- Wang, P.; He, Y.L.; Huang, C.H. Reactions of tetracycline antibiotics with chlorine dioxide and free chlorine. Water Res. 2011, 45, 1838–1846. [Google Scholar] [CrossRef]
- Ben, W.W.; Shi, Y.W.; Li, W.W.; Zhang, Y.; Qiang, Z.M. Oxidation of sulfonamide antibiotics by chlorine dioxide in water: Kinetics and reaction pathways. Chem. Eng. J. 2017, 327, 743–750. [Google Scholar] [CrossRef]
- Lee, Y.; von Gunten, U. Quantitative structure-activity relationships (QSARs) for the transformation of organic micropollutants during oxidative water treatment. Water Res. 2012, 46, 6177–6195. [Google Scholar] [CrossRef] [PubMed] [Green Version]
- Li, Q.S.; Yu, J.W.; Chen, W.Z.; Ma, X.Y.; Li, G.X.; Chen, G.Y.; Deng, J. Degradation of triclosan by chlorine dioxide: Reaction mechanism,2,4-dichlorophenol accumulation and toxicity evaluation. Chemosphere 2018, 207, 449–456. [Google Scholar] [CrossRef]
- Jia, X.H.; Feng, L.; Liu, Y.Z.; Zhang, L.Q. Oxidation of antipyrine by chlorine dioxide: Reaction kinetics and degradation pathway. Chem. Eng. J. 2017, 309, 646–654. [Google Scholar] [CrossRef]
- Jia, X.H.; Feng, L.; Liu, Y.Z.; Zhang, L.Q. Degradation behaviors and genetic toxicity variations of pyrazolone pharmaceuticals during chlorine dioxide disinfection process. Chem. Eng. J. 2018, 345, 156–164. [Google Scholar] [CrossRef]
- Lee, Y.; von Gunten, U. Oxidative transformation of micropollutants during municipal wastewater treatment: Comparison of kinetic aspects of selective (chlorine, chlorine dioxide, ferrate VI, and ozone) and non-selective oxidants (hydroxyl radical). Water Res. 2010, 44, 555–566. [Google Scholar] [CrossRef]
- Terhalle, J.; Kaiser, P.; Jutte, M.; Buss, J.; Yasar, S.; Marks, R.; Uhlmann, H.; Schmidt, T.C.; Lutze, H.V. Chlorine dioxide—Pollutant transformation and formation of hypochlorous acid as a secondary oxidant. Environ. Sci. Technol. 2018, 52, 9964–9971. [Google Scholar] [CrossRef]
- He, G.L.; Zhang, T.Q.; Zheng, F.F.; Li, C.; Zhang, Q.Z.; Dong, F.L.; Huang, Y. Reaction of fleroxacin with chlorine and chlorine dioxide in drinking water distribution systems: Kinetics, transformation mechanisms and toxicity evaluations. Chem. Eng. J. 2019, 374, 1191–1203. [Google Scholar] [CrossRef]
- He, G.; Zhang, T.; Zhang, Q.; Dong, F.; Wang, Y. Characterization of enoxacin (ENO) during ClO2 disinfection in water distribution system: Kinetics, byproducts, toxicity evaluation and halogenated disinfection byproducts (DBPs) formation potential. Chemosphere 2021, 283, 131251. [Google Scholar] [CrossRef] [PubMed]
- Navalon, S.; Alvaro, M.; Garcia, H. Reaction of chlorine dioxide with emergent water pollutants: Product study of the reaction of three beta-lactam antibiotics with ClO2. Water Res. 2008, 42, 1935–1942. [Google Scholar] [CrossRef] [PubMed]
- Tian, F.X.; Xu, B.; Zhang, T.Y.; Gao, N.Y. Degradation of phenylurea herbicides by chlorine dioxide and formation of disinfection by-products during subsequent chlor(am)ination. Chem. Eng. J. 2014, 258, 210–217. [Google Scholar] [CrossRef]
- Lopez, A.; Mascolo, G.; Tiravanti, G.; Passino, R. Degradation of herbicides (ametryn and isoproturon) during water disinfection by means of two oxidants (hypochlorite and chlorine dioxide). Water Sci. Technol. 1997, 35, 129–136. [Google Scholar] [CrossRef]
- Pergal, M.V.; Kodranov, I.D.; Pergal, M.M.; Dojčinović, B.P.; Stanković, D.M.; Petković, B.B.; Manojlović, D.D. Assessment of Degradation of Sulfonylurea Herbicides in Water by Chlorine Dioxide. Water Air Soil Poll. 2018, 229, 287. [Google Scholar] [CrossRef]
- Tian, F.; Qiang, Z.; Liu, C.; Zhang, T.; Dong, B. Kinetics and mechanism for methiocarb degradation by chlorine dioxide in aqueous solution. Chemosphere 2010, 79, 646–651. [Google Scholar] [CrossRef]
- Wang, Y.; Liu, H.; Liu, G.; Xie, Y. Oxidation of diclofenac by aqueous chlorine dioxide: Identification of major disinfection byproducts and toxicity evaluation. Sci. Total Environ. 2014, 473–474, 437–445. [Google Scholar] [CrossRef]
- Lv, J.; Ou, C.; Fu, M.; Xu, Z. Characteristics and transformation pathways of venlafaxine degradation during disinfection processes using free chlorine and chlorine dioxide. Chemosphere 2021, 276, 130147. [Google Scholar] [CrossRef]
- Benitez, F.J.; Beltran-Heredia, J.; Gonzalez, T.; Lara, P. Oxidation of Fenuron by chlorine dioxide. J. Environ. Sci. Health A 1992, 27, 643–662. [Google Scholar] [CrossRef]
- Ali, O.A.; Tarek, S.J. Removal of polycyclic aromatic hydrocarbons from Ismailia Canal water by chlorine, chlorine dioxide and ozone. Desalin. Water Treat. 2009, 1, 289–298. [Google Scholar] [CrossRef]
- Hey, G.; Grabic, R.; Ledin, A.; la Cour Jansen, J.; Andersen, H.R. Oxidation of pharmaceuticals by chlorine dioxide in biologically treated wastewater. Chem. Eng. J. 2012, 185–186, 236–242. [Google Scholar] [CrossRef] [Green Version]
- Li, Q.S.; Cai, H.W.; Li, G.X.; Chen, G.Y.; Ma, X.Y.; He, W.L. Degradation behavior of triclosan by co-exposure to chlorine dioxide and UV irradiation: Influencing factors and toxicity changes. Environ. Sci. Pollut. Res. Int. 2018, 25, 9391–9401. [Google Scholar] [CrossRef]
- Ye, W.K.; Tian, F.X.; Xu, B.; Zhao, D.S.; Ye, J.; Wang, B.; Lai, F.; Tan, Y.J.; Hu, X.J. Insights into the enhanced degradation of flumequine by UV/ClO2 integrated process: Kinetics, mechanisms and DBPs-related toxicity in post-disinfection. Sep. Purif. Technol. 2022, 280, 119846. [Google Scholar] [CrossRef]
- Tian, F.X.; Ye, W.K.; Xu, B.; Hu, X.J.; Ma, S.X.; Lai, F.; Gao, Y.Q.; Xing, H.B.; Xia, W.H.; Wang, B. Comparison of UV-induced AOPs (UV/Cl2, UV/NH2Cl, UV/ClO2 and UV/H2O2 ) in the degradation of iopamidol: Kinetics, energy requirements and DBPs-related toxicity in sequential disinfection processes. Chem. Eng. J. 2020, 398, 125570. [Google Scholar] [CrossRef]
- Wang, J.; Wu, Y.; Bu, L.; Zhu, S.; Zhang, W.; Zhou, S.; Gao, N. Simultaneous removal of chlorite and contaminants of emerging concern under UV photolysis: Hydroxyl radicals vs. chlorate formation. Water Res. 2021, 190, 116708. [Google Scholar] [CrossRef]
- Su, R.; Huang, L.; Li, N.; Li, L.; Jin, B.; Zhou, W.; Gao, B.; Yue, Q.; Li, Q. Chlorine dioxide radicals triggered by chlorite under visible-light irradiation for enhanced degradation and detoxification of norfloxacin antibiotic: Radical mechanism and toxicity evaluation. Chem. Eng. J. 2021, 414, 128768. [Google Scholar] [CrossRef]

| Compounds | kapp (M−1 s−1) | pH | T (°C) | References |
|---|---|---|---|---|
| fluoroquinolones | ||||
| Ciprofloxacin | 1.2 | 7.0 | - | [37] |
| Ciprofloxacin | 7.9 | 7.0 | 22 | [34] |
| Norfloxacin | 1.3 × 101 | 7.0 | 22 | [34] |
| Lomefloxacin | 6.8 | 7.0 | 22 | [34] |
| Ofloxacin | 7.8 × 101 | 7.0 | 22 | [34] |
| Pipemidic acid | 1.5 | 7.0 | 22 | [34] |
| Enrofloxacin | 6.3 × 101 | 7.0 | 22 | [34] |
| tetracyclines | ||||
| Tetracycline | 1.3 × 106 | 7.0 | 22 | [35] |
| Oxytetracycline | 1.2 × 106 | 7.0 | 22 | [35] |
| Chlorotetracycline | 3.2 × 105 | 7.0 | 22 | [35] |
| Iso-chlorotetracycline | 2.2 × 105 | 7.0 | 22 | [35] |
| sulfonamides | ||||
| Sulfamethoxazole | 6.7 × 103 | 7.0 | 20 | [15] |
| Sulfamethoxazole | 7.9 × 103 | 7.0 | - | [37] |
| Sulfamethoxazole | 6.1 × 103 | 7.0 | 20 | [36] |
| Sulfamethizole | 3.9 × 103 | 7.0 | 20 | [36] |
| Sulfadimethoxine | 4.4 × 103 | 7.0 | 20 | [36] |
| Sulfamethazine | 4.1 × 103 | 7.0 | 20 | [36] |
| Sulfamerazine | 5.6 × 103 | 7.0 | 20 | [36] |
| Sulfathiazole | 2.6 × 104 | 7.0 | 20 | [36] |
| macrolides | ||||
| Roxithromycin | 2.2 × 102 | 7.0 | 20 | [15] |
| Roxithromycin | 8.8 × 101 | 7.0 | - | [37] |
| triclosan | ||||
| Triclosan | 7.1 × 104 | ~7.0 | rt | [38] |
| Triclosan | 6.3 × 105 | 7.0 | - | [37] |
| antipyretic analgesics | ||||
| Antipyrine | 4.8 × 10−1 | 7.0 | 25 | [39] |
| Propylphenazone | >100 | 7.4 | 20 | [15] |
| Propylphenazone | 1.1 × 101 | 7.0 | 25 | [40] |
| Naproxen | 6.1 × 102 | 7.0 | - | [37] |
| Naproxen | 10–100 | 7.4 | 20 | [15] |
| Aminopyrine | 1.3 × 105 | 7.0 | 25 | [40] |
| Aminopyrine | >100 | 7.4 | 20 | [15] |
| Diclofenac | 1.1 × 104 | 7.0 | 20 | [15] |
| Diclofenac | 1.5 × 103 | 7.0 | 25 | [33] |
| Diclofenac | 1.1 × 104 | 7.0 | - | [37] |
| Acetaminophen | 2.1 × 105 | 7.0 | - | [37] |
| Fenoprofen | <1 | 7.4 | 20 | [15] |
| Ibuprofen | <0.1 | 8.0 | - | [41] |
| β-blockers | ||||
| Atenolol | ~1 | 8.0 | - | [41] |
| Metoprolol | 1.3 | 8.0 | 20 | [42] |
| antiepileptics | ||||
| Carbamazepine | <0.1 | 8.0 | - | [41] |
| psychostimulants | ||||
| Caffeine | <1 | 7.4 | 20 | [15] |
| antineoplastics | ||||
| Ifosfamide | <1 | 7.4 | 20 | [15] |
| Cyclophosphamide | <1 | 7.4 | 20 | [15] |
| lipid regulators | ||||
| Gemfibrozil | 5.9 × 101 | 7.0 | - | [37] |
| Gemfibrozil | <10 | 7.4 | 20 | [15] |
| Micropollutants | C0 | ClO2 | UV Light | Light Intensity | Reaction pH | kobs (s−1) | Removal Rate (%) | References |
|---|---|---|---|---|---|---|---|---|
| Triclosan | 0.3 mg L−1 | 0.5 mg L−1 | UVC | 6.5 μW cm−2 | ~7.0 | - | >99 | [55] |
| Trimethoprim | 1 μg L−1 | 1.4 mg L−1 | UVC | 207 mJ cm−2 | 7.0 | 5.7 × 10−4 | 14.4–100.0 | [18] |
| Iopromide | 1 μg L−1 | 1.4 mg L−1 | UVC | 207 mJ cm−2 | 7.0 | 1.2 × 10−3 | 14.4–100.0 | [18] |
| Caffeine | 1 μg L−1 | 1.4 mg L−1 | UVC | 207 mJ cm−2 | 7.0 | 1.3 × 10−4 | 14.4–100.0 | [18] |
| Ciprofloxacin | 1 μg L−1 | 1.4 mg L−1 | UVC | 207 mJ cm−2 | 7.0 | 9.8 × 10−3 | 14.4–100.0 | [18] |
| Iopamidol | 10 μM | 200 μM | UVC | 2.4 mW cm−2 | 7.0 | 4.4 × 10−3 | 74.9 | [57] |
| Micropollutants a | 1 μM | 5 mg L−1 | UVA | 0.3 mW cm−2 | 7.0 | 3.8 × 10−4 to 12.9 | 7–100 | [19] |
| Compounds | Contribution of Reactive Species | References |
|---|---|---|
| UVC-LPUV | ||
| Trimethoprim | ClO2 oxidation (72.2%) •OH (11.5%) Cl• (8.9%) Other reactive species a (7.5%) | [18] |
| Iopromide | UVC photolysis (87.1%) •OH (2.0%) Cl• (5.4%) Other reactive species a (5.5%) | |
| Caffeine | Cl• (66.5%) •OH (33.5%) | |
| Ciprofloxacin | ClO2 oxidation (6.9%) UVC photolysis (8.0%) Cl• (0.3%) •OH (0.5%) in-situ formed free chlorine (84.3%) | |
| UVC-LPUV | ||
| Flumequine | UVC photolysis (11.37%) 1O2 (14.72%) •OH (19.79%) RCS b (54.12%) | [56] |
| UVA-LEDs | ||
| Micropollutants c | ClO• (∼10−13 M) Cl• (∼10−15 M) •OH (∼10−14 M) Ozone (∼10−7 M) | [19] |
Publisher’s Note: MDPI stays neutral with regard to jurisdictional claims in published maps and institutional affiliations. |
© 2022 by the authors. Licensee MDPI, Basel, Switzerland. This article is an open access article distributed under the terms and conditions of the Creative Commons Attribution (CC BY) license (https://creativecommons.org/licenses/by/4.0/).
Share and Cite
Ma, X.; Chen, H.; Chen, R.; Hu, X. Direct and Activated Chlorine Dioxide Oxidation for Micropollutant Abatement: A Review on Kinetics, Reactive Sites, and Degradation Pathway. Water 2022, 14, 2028. https://doi.org/10.3390/w14132028
Ma X, Chen H, Chen R, Hu X. Direct and Activated Chlorine Dioxide Oxidation for Micropollutant Abatement: A Review on Kinetics, Reactive Sites, and Degradation Pathway. Water. 2022; 14(13):2028. https://doi.org/10.3390/w14132028
Chicago/Turabian StyleMa, Xiaohong, Huan Chen, Ruihuan Chen, and Xiaojun Hu. 2022. "Direct and Activated Chlorine Dioxide Oxidation for Micropollutant Abatement: A Review on Kinetics, Reactive Sites, and Degradation Pathway" Water 14, no. 13: 2028. https://doi.org/10.3390/w14132028
APA StyleMa, X., Chen, H., Chen, R., & Hu, X. (2022). Direct and Activated Chlorine Dioxide Oxidation for Micropollutant Abatement: A Review on Kinetics, Reactive Sites, and Degradation Pathway. Water, 14(13), 2028. https://doi.org/10.3390/w14132028
























