Next Article in Journal
Estimation of Soil Erosion and Evaluation of Soil and Water Conservation Benefit in Terraces under Extreme Precipitation
Previous Article in Journal
Spatiotemporal Distribution of Drought Based on the Standardized Precipitation Index and Cloud Models in the Haihe Plain, China
 
 
Font Type:
Arial Georgia Verdana
Font Size:
Aa Aa Aa
Line Spacing:
Column Width:
Background:
Article

Effects on Fluvial Geomorphology and Vegetation Cover following Hydroelectric Power Plant Operation: A Case Study in the Maule River (Chile)

1
Facultad de Ciencias Ambientales, Centro EULA-Chile, Departamento de Planificación Territorial y Sistemas Urbanos, Universidad de Concepción, Concepción 4089100, Chile
2
Párez y Alvarez Gestión Ambiental, Marco Polo 8939, Hualpén 4600000, Chile
3
Department of Civil Engineering, Universidad Católica de la Santísima Concepción, Alonso de Ribera 2850, San Andrés, Concepción 4090541, Chile
*
Author to whom correspondence should be addressed.
Water 2022, 14(11), 1673; https://doi.org/10.3390/w14111673
Submission received: 19 April 2022 / Revised: 23 May 2022 / Accepted: 23 May 2022 / Published: 24 May 2022
(This article belongs to the Section Ecohydrology)

Abstract

:
The installation of hydroelectric plants has generated multiple environmental impacts on the world’s river systems. In central Chile, the impacts of hydroelectric reservoir operation have been documented in ecological and hydrologic regime terms. This investigation assesses the changes in channel morphology, vegetation distribution, and flows in the middle section of the Maule River during the period following the start-up of a hydroelectric plant. Changes in fluvial morphology (active area) and land cover are quantified using LANDSAT images, contrasted with a vegetation sampling and flow analysis. The results show a 12% decrease in active areas of the river, indicating a loss of geomorphological diversity. Within the active channel, there was a gradual increase in plant-covered surface area, which reached 159% between 1989 and 2018, mainly due to reductions in water (−61%), active bar (−35%), and bare soil surface areas (−29%). The changes were evident ten years after plant operations began and intensified during the period known as the megadrought in central Chile (2008–2018). The flow magnitudes present a decrease for exceedance probabilities (P) below 85% in the period after 1985, with a slight increase recorded for low flows (P > 85%). In the segments with superior stabilization, invasive species such as Acacia dealbata (silver wattle) predominated, which are specialists at taking advantage of disturbances to settle and stabilize active areas, narrowing the possibilities for morphological change.

1. Introduction

Rivers are dynamic systems that are constantly developing and seeking an equilibrium that reflects the characteristics of their natural environments (i.e., watershed and climate) [1,2,3,4,5]. However, humans cause disturbances that alter these dynamics, introducing imbalances that force changes in river systems [6]. Among the most radical modifications of hydrogeomorphological processes are the construction and operation of dams [7]. The number of these structures has increased exponentially since the late 20th century, reaching 58,713 large dams in 2020 [8]. The accumulation and regulation of flows allow water to be used for different purposes such as irrigation, recreation, electricity generation, flood mitigation, and drinking water supply, among others.
Dams retain river flows and sediment to create artificial water reservoirs [7,8,9]; therefore, their design and operation control longitudinal connectivity levels and channel flow regimes. At the hydrological level, investigations have reported changes in magnitude and frequency [10,11,12] that affect the morphology, sediment transport, and ecology of the fluvial system at different magnitudes and timescales. New designs should be consistent with the sustainable development concept to remediate the effects of older designs, and consist of multipurpose hydroelectric plants. Apart from power generation, multipurpose reservoirs should also cover socioeconomic and environmental services [13,14,15].
When the natural flow regime (i.e., liquid and solid) is modified, processes and forms of the river system at different scales are affected [12]. Indeed, Lane [16] explains, using a conceptual model, the response of a river course to such alterations, suggesting changes in the longitudinal slope of the channel and the size of the sediment substrate. The morphological repercussions are reasonably varied and unpredictable. Channels can undergo erosion or accretion [17] as a function of flow regulation and watershed or river segment conditions. For example, variations in longitudinal slope can be conditioned by geological controls that mark inflection points in equilibrium trends. In short, the dynamics are complex and incorporate diverse factors [18].
It is possible to generalize the morphological effects produced by dam construction and operation. Thus, the general patterns of river change present a trend towards channel simplification because of decreased geomorphic activity due to flow regulation and upstream captured sediment [19]. For example, between 1897 and 1959, the South Platte River (Colorado, 41° N) went from having a braided planform and a width of 790 m, to being a meandering river with a 60-m width [20]. Meanwhile, in the Piave River in Italy (46° N), Surian [21] presented a decrease in channel width in the range of 30 to 42%; likewise, Richard et al. [22] in the Rio Grande (New Mexico, 35° N) identified a decrease in active channel width of 51% to 67% between 1918 and 2001. Finally, Graf’s analysis [12] of 36 large dams in the United States determined that the active flood plains were 72% smaller than rivers with regulated flows. Moreover, they had 3.6 times more inactive flood plain areas relative to unregulated rivers.
In addition to the above effects are vegetation growth in the channel and seasonal flood plains, as in the case of the Republican River in the United States (40° N). Specifically, there was extensive growth of willows and poplars, which managed to cover 60% of the bankfull area prior to installing the dam [17]. Lobera et al. [23] indicated that in Mediterranean watersheds of the Iberian Peninsula, the percentage of active bars was about 59% of the total number of bars identified in the late 1970s and that today 97% of bars have been invaded by vegetation, precluding further changes and thus becoming non-active. It bears mentioning that vegetation, depending on the species and growth status, increases soil roughness and confinement, making it more resistant to erosion and thus morphological change [2,24,25]. Most of the mentioned studies took place in developed countries or the Northern Hemisphere, while in developing countries of the Southern Hemisphere, there have been few studies, even though these countries are a notable focal point of dam construction [26].
Located in South America, Chile serves as an important case study, with dam and reservoir development that began in 1838 [27] and accounted for 12% of the country’s energy production in 2020 [28]; recent estimates indicate an increase in the number of reservoirs due to the planning of 26 reservoirs for irrigation and hydroelectricity purposes. In the central Mediterranean zone of Chile in particular (32°–38° S), there are large hydroelectric complexes in drainage basins of the Andes, which present elevations reaching 3500 m above sea level and average lengths of 220 km from their headwaters to their outlets, which generate steep slopes with high hydroelectric potential [29].
Various investigations have addressed the ecological [30,31], hydrological [32,33], and hydromorphological impacts [34] of hydroelectric plants in Chile. However, geomorphological and land cover change aspects are topics still in need of attention. Against this backdrop, the Maule River basin (35° S), located in central Chile, has one of the largest dam systems for hydroelectricity production in the country, specifically the Colbún–Machicura plants located in the middle–upper part of the basin. The construction of the hydroelectric complex ended in June 1985, flooding more than 50 km2 and incorporating more than 500 MW of power production into the central interconnected system (SIC).
In the period when the plant was built, such projects did not require rigorous environmental assessments and were evaluated mainly based on their benefits. Studies indicate that the effects of dams have become apparent only in recent decades, once they have been in operation for 20 to 30 years [10]. In addition, the quantification of their impacts is complicated, given a large number of variables involved and the different time scales at which they occur [35]. The increase in energy and water demand in Chile suggests that such studies are necessary to understand the cause–effect relationships at local and regional scales and thereby provide better tools for water management. Thus, evaluating channel morphology and land cover changes in a middle section of the Maule River, emphasizing vegetation distribution after the Colbún dam began to operate, is an important topic of study. To complement the remote sensing analysis used to assess and classify land cover changes, a tree and shrub species identification was carried out in the field at in situ observation points to improve classification. The identified land cover changes were analyzed based on the magnitude and frequency of flows, on which data was collected from two available gauging stations located along the main river course. The results will provide new information on the impacts of large reservoirs in south-central Chile fluvial systems.

2. Materials and Methods

2.1. Study Area

The Maule River basin (20,295 km2, 35° S) begins in the Andes Mountains and flows into the Pacific Ocean. It presents a nivo-pluvial hydrologic regime with a mean flow of 125 m3/s; discharges above 1000 m3/s generate floods, mainly in neighboring agricultural areas. The upper part of the basin presents a Mediterranean climate (Csb(h)) with a mountain influence, while in the middle section, a Mediterranean climate (Csb) with winter rain and warm summers predominates.
Its middle section (Figure 1) drains an area of 5940 km2 through the central depression, composed of fluvial deposits such as gravels distributed on the floodplain. Larger clasts are found in the channel in a limited matrix of coarse sand to gravel that forms various bars [36]. In this section, the flow is regulated by hydroelectric reservoirs—Cipreses, Pehuenche, Machicura, and Colbún—the last of which receives flows from the upper part of the basin. The Colbún and Machicura reservoirs function as electrical and irrigation systems (Table 1), in which a portion of the flows from the former is incorporated into the Machicura to be distributed through the south channel. This artificial channel is divided into two parts after 22 km. One continues to irrigate the area north of the main channel of the Maule River, and the San Ignacio power plant uses the other before it is reincorporated into the river [37]. The present investigation focuses on three consecutive segments along the channel located downstream of the main dam of the Colbún reservoir and extending until Route 5 South (Figure 1).

2.2. Study Segments

Changes in channel morphology and vegetation distribution were studied in a 36 km segment downstream from the main wall of the Colbún dam and extending until Route 5 South. The river’s length was divided into three segments according to distance and local human alterations along the channel. Segment 1 was the closest to the dam; it extended 10 km from the base of the wall to the first gravel mining site, Los Maitenes, with the first 7 km confined by the foothills of the Andes. Segment 2 extended for 12.5 km, beginning at the downstream end of Segment 1 and extending until the channel that restitutes the water from the Machicura and San Ignacio plants. The third and final segment was the farthest from the plant; it had a length of 13.5 km and extended until Route 5 South.

2.3. Satellite Images

In order to cover the studied period (1985–2018), geographic information systems (GIS) were used to analyze free Landsat images obtained from the United States Geological Service (USGS) EarthExplorer website [38]. Due to the different resolutions of the images, it was decided to use the Landsat 4–5 Thematic Mapper (TM) and Landsat 8 Operational Land Imager (OLI) sensors and Thermal Infrared Sensor (TIRS), which have a resolution of 30 m and data on the study period since 1985. In addition, they include systematic geometric corrections made using ground control points (GCP), enabling multi-temporal analyses.
The image selection was carried out in the Southern Hemisphere’s summer months—between December and February—a period with less cloud cover, lower precipitation and in which the leaves of phreatophytic trees such as poplars and willows are developed [39,40]. The main characteristics of the images are presented in Table 2. The 1985 image shows a difference in the daily flow of approximately 300 m3/s relative to the other satellite images. Thus, in some analyses of land cover change, it was considered only as a reference, as it may overestimate the water cover.

2.4. Changes in Channel Form and Land Cover

Regarding the digitization of the channel form, the “active channel” concept was used. Batalla et al. [42] defined it as the area of the river encompassed within the limits of riparian vegetation, the objective of which was to assess interannual changes in erosion and accretion within the channel. To this end, the manual digitization method was used, which authors such as Dewan et al. [43] highlight as the most precise when defining river boundaries due to the spectral similarity of riparian zones. Thus, polygons corresponding to the active area (AA) were created for each studied year.
Subsequently, the land cover distribution was analyzed by applying a supervised classification process to each image in the active area. To this end, four classes were determined (i.e., water, active bars, bare soil, and vegetation zones), which were easily identifiable considering the resolution of the images and availability of data to validate the classification. Table 3 presents a description of the selected covers. The analysis of space-temporal changes was addressed with mobile periods [43,44] because the years considered in each period were different according to the available satellite images. To better understand the evolution of land cover changes, a summary figure shows the rate of change per year.
The selection of training areas for classification and test areas for validation was based on photo interpretation, field visits, and information such as the National Forestry Corporation Native Forest and Vegetation Inventory [45]. To support the discrimination of boundaries between classes, spectral indices identifying vegetation and water bodies were used: the normalized difference vegetation index (NDVI) and normalized difference water index (NDWI). The training and validation pixel totals varied according to cover distribution by year. The validation data considered about 30 to 50% of the training data.
Once the training areas were validated, each scene pixel was assigned its corresponding class using the support vector machine (SVM) tool in ENVI version 5.3 [46]. This tool has a higher degree of average precision than others, presenting good generalization results, even with limited training areas, for various image types, including the Landsat collection [47,48,49].
In order to validate the classification, test areas were used, which were subjected to a confusion matrix using region of interest (RoI) ground truth, which calculates the relationship between the classes obtained by classification and those used for verification. Again, good overall precision was observed, as Kappa index values varied between 0.89 and 0.95, indicating almost perfect agreement.
Finally, the multi-temporal variations in the analyzed segments were quantified using the TerrSet Geospatial Monitoring and Modelling program [50] by applying the Land Change Modeler (LCM) module, a tool designed for the analysis and prediction of impacts related to land cover changes. Authors such as Mirzaei et al. [51] have used this tool to assess the impacts of floor regulation. The map was developed in ArcMap 10.5 [52] using the Universal Transverse Mercator (UTM) coordinate system with Datum WGS 84 and zone 18S.

2.5. Vegetation Characterization

The main tree and shrub species that grow in the channel and riparian zones were identified to complement the remote sensing analyses. To this end, observation points were established in each segment (Figure 1), with species information recommended by Hauenstein et al. [53] and Otavo [54]. This included plant type as the primary classification factor (tree, shrub, herbaceous); scientific and common names; species origin (native or invasive); and, finally, the level of presence of each, according to qualitative assessment of the number of individuals in the field of vision, broken into four levels (Table 4).

2.6. Flow Analysis

The flow data were obtained from stations managed by the General Water Directorate (DGA-MOP): (i) Rio Maule at Longitudinal, code 07322001; and (ii) Rio Maule at Armerillo, BNA code 07321002. The stations are located downstream and upstream of the study segment, respectively. For the analysis, mean daily flows, recorded as starting in 1962 at Longitudinal and 1947 at Armerillo, were used. The period until 1984 was used to represent unregulated flows (i.e., prior to the dam), and the period between 1985 and 2018 was used to characterize the regulated period (i.e., following the installation of the hydroelectric plant).
Figure 2 shows a first approximation of the data; the variability of the available information can be observed for both periods: (i) before and (ii) after the dam. A frequency analysis allowed flow magnitudes to be associated with exceedance probabilities for both periods. Similarly, spatial correlations for both periods indicated longitudinal connectivity between flows upstream and downstream of the study area. Mean daily flows were also analyzed to assess changes in flow trend magnitudes.

3. Results

3.1. Changes in Channel Form, Erosion, and Accretion of the Active Channel

In 1985, the active channel area was 3800 ha; it underwent significant changes over 33 years of operation of the Colbún–Machicura plants. Indeed, a general reduction in the active area of 12% was found, linked to riverbank accretion processes (Appendix A). The most significant decrease occurred in the 2014–2018 period, with a net change of 7.9%. Observations of changes to the north and south riverbanks revealed no significant differences.
The changing trend by segment was similar, although with variations between periods. For example, segment 1 presented net erosion, with a minor total percent change (10%); only in the 2014–2018 period did it present a variation similar to that of the other segments, with reduction values of 5%. The segments farthest from the hydroelectric plant presented a similar evolution, with progressive, constant decreases through the last year of the study (Figure 3); they also presented the most significant active area reductions: 12% in the case of segment 2 and 15% for segment 3.

3.2. Land Cover Changes

The supervised classification process obtained land cover maps for each analyzed year (Figure 4). An overall view of the initial years (1985–1989) revealed the predominance of bare zones and active bars, which occupied over 50% of the surface area. In second place were vegetation zones, followed by water cover. This last category was the most significant in 1985, possibly associated with the high recorded summer flows (445 m3/s). However, it started to diminish in 1989 and presented lower values even for large summer flows of about 131 m3/s.
Another element that stood out was the 411 ha reduction in vegetation cover from 1985 to 1989, possibly associated with large floods recorded in the mid-1980s, which decreased substantially starting in the 1990s. From 1989 onwards, a gradual increase in vegetation from 866 ha to 2242 ha (159%) was observed. However, in the same period, there were decreases in water (−60%), active bar (−35%), and bare soil covers (−29%), both on the riverbanks and within the channel (Table 5).
At the segment level, 2 and 3 most contributed to vegetation zones; in these segments, colonization increased the initial area by 271% and 159%, respectively. As seen in Figure 4, the dynamic had been gradual and constant since 1989, with a considerable increase starting in 2008, especially in segment 3. Vegetation increased by 65% in only four years, from 801 to 1328 ha. This was attributed to the change in the hydrologic regime, which indicated a significant decrease in high flows during this period associated with the combined effects of the dam operation and the megadrought phenomenon that is currently affecting the region.
In contrast, segment 1 presented limited vegetation colonization, which had not managed to encompass broad areas as in the downstream segments. In addition, active bars increased between 1989 and 1998, after which significant increases were observed. Furthermore, the segment presented a decrease in vegetation cover between 2014 and 2018. As no large floods were observed in the period, it may be assumed that these changes have anthropogenic forcings such as forestry harvests and gravel mining. The latter activity took advantage of low recorded flows and covered large areas, impeding the spread of and destroying vegetation through constant channel modification. Figure 5 shows the appreciable change registered in the segment 1 path of the channel resulting from sediment movements for substrate extraction purposes, which began in 2009.
The dynamics of land cover changes between the 1989 and 2018 periods are shown in Figure 6. The bars represent the proportion of hectares that each land cover contributed to the net change of a particular one. It can be observed that more than 55% of the gains in vegetation cover came from active bars, especially in segments 2 and 3, where over 80% of the bar surface area became plant-covered. On the other hand, over 95% of bare soil losses were direct gains for vegetation cover in segments 2 and 3. In segment 1, the dynamic was different; the vegetation cover gains mainly came from bare soils (55%) and water covers (32%), while the active bars accounted for a lower percentage (13%).
The vegetation cover stood out as the most dynamic in the analysis period. Figure 7 shows the spatial distribution of these variations. Between 1989 and 2018, 1686 ha were colonized, 556 ha remained plant-covered, and only 297 ha were lost. At the segment level, 54% of the gains came from segment 3, 32% from segment 2, and only 14% from segment 1. In terms of losses, 51% came from segment 3, 31% from segment 1, and 18% from segment 2. It is important to note that a large portion of the vegetation loss identified by the 2014–2018 polygons was directly related to gravel mining, which was possible due to the low discharges that offered ideal work conditions in the active channel.

3.3. Plant Species Identification

Tree and shrub species identification complemented the remote sensing analysis in the channel and riverbank zones. At the seven observation points (Figure 1), it was possible to identify 35 species, 48.6% of which were plants, 25.7% tree species, and 25.7% shrub species. The distribution of the number of shrub and tree species was similar among the three segments (Figure 8); only the number of herbaceous plants was more significant in segment 3. In terms of origin, invasive species predominated (63%), while native species of the Chilean Mediterranean zone accounted for no more than 37%.
The most significant number of species (31) was found in segment 1, presenting a larger quantity of native species (12) than the other segments. Both segments 2 and 3 presented 22 species, with a similar distribution of native and invasive species (Table 6). Regarding the level of presence, it was established that native species decreased in the most distant segments (i.e., 2 and 3).
A more detailed view of the species with a high presence revealed that in segment 1, there were invasive species such as Pine (Pinus radiata) and Eucalyptus (Eucalyptus nitens) that reflected forestry activity processes within the channel. In segment 2, Huingán, or Schinus polygamous, stood out as the only native species with a high presence in the study area; starting in this segment Acacia (Acacia dealbata) began to predominate as an invasive species (Appendix B).
One of the most representative species of the Maule Region—Espino Maulino, or Acacia Caven—which used to prevail in the Mediterranean landscape, especially in the grasslands of the foothills, had been reduced to solitary individuals or small stands of thorns in the study area (Figure 9). This reduction was due to anthropogenic factors such as settlement and the land ownership system and structure, among other secondary causes such as fires, tree felling, charcoal production, crops, and livestock [55].

3.4. Flow Regime Variation

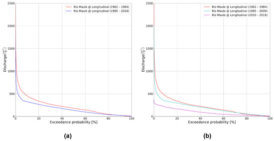
The flow frequency variation between the two periods at the station downstream of the study area is shown in Figure 10a. A decrease in flow magnitudes for the exact exceedance probabilities was observed. Specifically, the flow records for the regulated period indicated that medium to high flows occurred less frequently than in the unregulated period, implying that flows that carried out much of the morphological work in the river occurred fewer times than in the unregulated period. This change can be interpreted as presenting a favorable environment for the colonization of active bars by shrub or tree species.
Figure 10b separates the regulated data series into two regulated sub-periods, 1985–2009 and 2010–2018. The first was mainly affected by flow regulation (i.e., first sub-period) and in the second the reduction in flows resulting from the drought was added to the dam’s regulating effects.
It was observed that the combined forcings presented an effect significantly greater than in the first sub-period, and that the complete series (i.e., 1985–2018) blunted the effect of the drought. Meanwhile, Figure 11 shows the results of the correlations between the Armerillo and Longitudinal stations for both non-regulated and regulated periods. A significant decrease in the two applied correlation coefficients was observed. Pearson decreased from 0.9 to 0.53 and Spearman from 0.91 to 0.56, for an average decrease of around 40%, suggesting a decrease in the longitudinal connectivity of the river system.
Figure 12 shows the combined effect of the different land covers along with the mean daily discharge for the operation period. Three different trends were observed, relating to the unregulated period, the regulated period due to the dam operation, and the last decade, which included the drought. For the first 4 to 5 years, there was a steep decrease in the river water surface, with an associated increase in bare soil and active bars, even though discharges remained in the average range. Starting in 1990, the trend changed, indicating vegetation taking over the bare soil and the active bars. The reduction in the water surface area suggested an erosion process in the channel since discharges remained close to the average values. However, there was no significant change in the mean discharge magnitude. Instead, a significant reduction in the daily flow standard deviation values was observed. Figure 12 shows the impact on dam operation of increasing the minimum flows and decreasing the maximums.
Finally, a clear inflection point occurred a little after 2008, coinciding with the beginning of the drought and generating a significant discharge decrease, causing the flow range to decrease even more and allowing vegetation to advance and cover more channel surface. These changes correlated with the increase in vegetation observed in each segment and the decrease in the wet surface, resulting in a confined river system with less lateral mobility and fewer meandering channels, which favors vertical erosion and the establishment of deeper, narrower channels.

4. Discussion

The Colbún–Machicura hydroelectric plants were, at the time, the largest hydroelectricity generation complex in Chile. The end of construction and the start of their operations coincided with the first year analyzed in this study (1985). According to the results, their operation directly affected the morphological equilibrium and vegetation dynamics of the middle section of the Maule River. However, other drivers have probably accelerated the detected changes (i.e., gravel mining, and effects of the megadrought since 2010).
The Maule River (35° S) underwent a 12% reduction in its active area over 33 years, a trend similar to those reported by other authors who have assessed the impacts of dam construction and operation on the fluvial geomorphology and vegetation of rivers. Similar percentages were found in wandering rivers in arid climate zones, including the Green River (40° N) in Colorado, which presented an 11% reduction over 56 years [56], and the Sauce Grande River (38° S) in Argentina, which decreased by 6–30% in 21 years [57]. In some braided rivers the reduction percentages are even more remarkable, in both Mediterranean climate zones, as in the case of the Piave River (46° N) in Italy, where narrowing left the river with only 35% of its original width over a period of 97 years [21], and arid climates, as in the case of the Río Grande (35° S) in New Mexico, where a 70% reduction in 83 years was observed [22].
Nonetheless, not all authors have observed absolute change trends or trends that remain over time. For example, Nelson et al. [58], who studied the Snake River (43° N) in Wyoming, USA, measured a channel narrowing that reached 31% in the first 24 years after dam operation began; however, after a period of large floods, the change reversed almost entirely as the banks eroded and the river area increased by 31%. Vericat and Batalla [59], meanwhile, in an analysis of the sedimentary balance and morphology of the Ebro River (42° N) in Spain, observed a reduction in channel width that reached 20%. Nonetheless, they also highlighted zones that presented accretion due to lateral erosion processes that became the river’s only sediment source after the dam was installed. However, this is not the case with the Maule River, as the insignificant zones with accretion are typically associated with anthropogenic pressures.
Additionally, the narrowing of the active area could be related to the data obtained on gains and losses of the different land covers. Indeed, more than half of the vegetation gains took place on active bars throughout the study area, a percentage that increased to 80% in the farthest segments (i.e., 2 and 3), where vegetation increased by an average of 215% in the 1989–2018 period. The trends are consistent with the findings of other authors, who analyzed the effects of dam construction on vegetation. For example, in a study covering more than 70 segments in four large basins of the Iberian Peninsula, Lobera et al. [23] found that almost all the previously active bars in the most regulated segments had stabilized due to vegetation colonization. Meanwhile, Tealdi et al. [60], to model the impacts of regulation on vegetation, compiled the results of various studies, which mainly reported a significant increase in vegetation zones, with an upward trend in exotic species over native species.
The results show that the distance factor plays a role in the observed effects on vegetation. Segment 1, the closest to the dam, presented the least successful colonization, which could be associated with less favorable factors such as unusual discharges that generate flood pulses, and more extensive bed slopes and, therefore, more significant flow velocity. It is also essential to consider recent anthropogenic factors in this segment (i.e., deforestation and gravel mining), which have increased due to the low flows, and cover large areas and directly affect the channel form and vegetation distribution. In the case of the two more distant segments, gravel mining takes place in a smaller area, and there are no forestry plantations. In addition, segment 3 receives flows from the hydroelectric restitution canals located 22 km downstream of the main wall, which do not exceed 10 m3/s; therefore, their flow is not significant relative to the main channel. Furthermore, the findings are consistent with Gordon and Meentemeyer [61]. Their study compared regulated and unregulated segments in the Dry Creek (38° N), a tributary of the Russian River in California; they divided the river into 10 sub-segments and found that the vegetation increase was more significant in the farthest segments.
Regarding the temporality of the changes, according to Lobera et al. [23], the system needs time to generate observable effects for bar stabilization. For example, Merrit and Cooper [56] observed vegetation colonization in almost all the active bars of the studied segment of the Green River; these changes were observable 10 years after dam closure. In the case of the Maule River, such changes began to be observed between 1989 and 1998, although they presented a greater increase in the 2008–2018 period.
There have been no similar studies focusing on vegetation changes in Chile in other dammed Mediterranean rivers; however, Batalla et al. [42] investigated the Ñuble River (36° S), an Andean fluvial system without major human interventions. In their analysis of approximately 10 years, with high-resolution satellite images, they showed that the system had undergone a progressive reduction in geomorphic activity in the last decade due to the decrease in flood flows that facilitated the colonization and stabilization of bars.
Notwithstanding the vast difference in intervention between the two rivers, the results obtained were similar to those achieved in the Maule River, especially with the explosive increase in vegetation covers in the lower segments between 2008 and 2018. Thus, the increase in vegetation beginning in 2008 seems to be boosted by the hydrological phenomenon known as the megadrought [62]. According to Garreaud et al. [63], who analyzed the phenomenon from a climate dynamics perspective, the drought that has affected central Chile from 2010 to date has brought about a decrease in precipitation, causing a deficit of 20 to 40% in the Maule River basin. Thus, future investigations could consider the combined effect of the flow regulation of the dam and the decrease in flows associated with the megadrought described in the previously mentioned studies.
The climate fluctuations that have had Chile in a state of high alert for so many years seem to explain the similarity of the effects on the geomorphic dynamics of the Ñuble and Maule rivers; however, it is not possible to fully attribute them to these factors. The reality is that the Maule River is under multiple pressures: flow reduction due to climate variability and change, creation of various large gravel mining sites in the last decade, deforestation, and invasion of exotic species, among others, the effects of which are significantly heightened by the regulatory effects of the dams.
Regarding species identification in the Maule River, the high presence of exotic species and the specific predominance of Acacia dealbata (silver wattle) are consistent with the conditions present in the study area. Similarly, Fuentes-Ramírez et al. [64] studied the dynamics of silver wattle invasion in south-central Chile. Their study highlights that the species is often successful in “uninvaded areas” and can also take advantage of disturbances to establish itself while limiting the development of native species. This success may be due to its high capacity for colonization, allowing it to assume control of sites that have been disturbed and pose a threat to natural habitats by competing with and replacing native species, decreasing native biodiversity and homogenizing the community. These previous findings explain how the high presence of Acacia dealbata in segments 2 and 3 could be related to their lower species diversity. Finally, the presence of these tree species could significantly impact future flooding processes by increasing channel roughness; floods under these conditions have been reported in other coastal Mediterranean rivers of Chile [65,66].

5. Conclusions

The middle section of the Maule River has undergone a notable reduction in geomorphic activity since 1985. Moreover, the boundaries of its active areas have been pressured by the advance of vegetation on its banks, which stabilized and changed the morphological configuration of the channel. The effects translated into an overall reduction in the active area of 12% between 1985 and 2018. Furthermore, the drought has played a significant role in augmenting these impacts on the river system within this period. These results suggest that the flow’s regulating effect, combined with the drought, has considerable consequences for the hydrologic regime. If low rainfall persists, significant reductions in high flows are expected, with a subsequent decrease in morphological work.
Within the active channel, there was a gradual increase in vegetation-covered surface area, which reached 159% between 1989 and 2018, and occurred at the expense of a reduction in water (−61%), active bar (−35%), and bare soil (−29%) areas. The variations reached a significant point between 2008 and 2014, when around 800 ha was stabilized in less than five years. The areas not colonized/stabilized by vegetation are usually linked to human activities such as gravel mining, logging, and agriculture. The extensive increases in vegetation surface area will imply higher discharges for significant geomorphic work, thus favoring vertical erosion with a concurrent decrease in water surface elevation and the connected water table.
The observed hydrological changes and regulated discharge effects play an important role for vegetation growth, especially that of invasive species that prevail in the study area. Tree and shrub species have the greatest presence in Maule River (Acacia dealbata, or silver wattle) and are in some cases associated with plantations (Eucalyptus nitens and Pinus radiata). Species such as silver wattle have advantages over native species, as they are specialists at colonizing by taking advantage of anthropogenic disturbances and alterations. The abundant vegetation will not only restrict the lateral channel displacement but could be a potential risk for future floods due to the resulting increase in roughness.

Author Contributions

Conceptualization, O.R. and F.P.; methodology, F.P., D.C., O.R. and E.H.; software, F.P. and D.C.; formal analysis, O.R., F.P. and D.C.; investigation, F.P., O.R. and D.C.; resources, O.R.; writing—original draft preparation, F.P., O.R. and D.C.; writing—review and editing, O.R., F.P. and D.C.; visualization, F.P., O.R. and D.C.; supervision, O.R. and D.C. All authors have read and agreed to the published version of the manuscript.

Funding

The authors are grateful for the funding provided by National Agency for Research and Development of Chilean Government ANID, FONDECYT project 1212032.

Institutional Review Board Statement

Not applicable.

Informed Consent Statement

Not applicable.

Conflicts of Interest

The authors declare no conflict of interest.

Appendix A

Table A1. Net change in active areas in each analyzed segment.
Table A1. Net change in active areas in each analyzed segment.
Analysis PeriodNet Change
Study AreaSegment 1Segment 2Segment 3
ha%ha%ha%ha%
1985–198925.10.7−66.2−5.627.22.664.14.0
1989–199876.72.025.92.3−6.1−0.656.93.5
1998–2008−153.9−3.9−14.3−1.2−43.5−4.1−96.1−5.6
2008–2014−131.5−3.5−6.3−0.6−48.0−4.8−77.1−4.8
2014–2018−287.4−7.9−56.3−5.0−49.2−5.1−181.8−11.9
1985–2018−471.0−12.4−117.3−9.9−119.7−11.6−234.1−14.8
Note: The percentages are calculated based on the surface area of each individual segment.

Appendix B

Table A2. Identification of tree, shrub, and herbaceous species in the study area.
Table A2. Identification of tree, shrub, and herbaceous species in the study area.
TypeScientific NameCommon NameOriginPresence
S1S2S3
TreeAcacia dealbataAromoILHH
TreeAcacia melanoxylonAromo AustralianoIRRR
TreeAristotelia ChilensisMaquiNL--
TreeEucaliptus NitensEucaliptusIHRR
TreePinus RadiataPinoIHMM
TreePopulus nigraÁlamo NegroIMML
TreeSalix babylonicaSauce LlorónIRLM
TreeSchinus polygamusHuingánNLHM
Tree/ShrubsAcacia CavenEspinoNMRR
ShrubsBaccharis LinearisRomerilloNMMM
ShrubsCestrum parquiPalquiNR--
ShrubsFabiana ImbricataPicheN-RL
ShrubsMuehlenbeckia hastulataQuiloNLR-
ShrubsPluchea absinthioidesBreaNLML
ShrubsPsoralea glandulosaCulénNLR-
ShrubsRosa RubiginosaRosa MosquetaILLL
ShrubsRubus Ulmifolius SchottZarzamoraIMML
ShrubsSophora MacrocarpaMayu o MayoNM--
Annual PlantAira caryophyllea-IM--
Annual PlantAvena BarbataAvenaIRRM
Annual PlantBriza MinorTembladeraIR--
Annual PlantCentaurea SpeciesAbrepuñoI-RL
Annual PlantDatura stramoniumChamicoIRRR
Annual PlantPolygonum avicularesHierba del PolloIR-R
PerennialBrassica rapa subsp. campestrisYuyoI--R
PerennialCirsium vulgareCardo NegroIRRR
PerennialGalega officinalisGalegaILR-
PerennialHypericum perforatumHierba de San JuanIM--
PerennialMentha pulegiumPoleoI-R-
PerennialOenothera acaulisDon Diego de la NocheNR-R
PerennialRumex acetosellaVinagrilloIR--
PerennialVerbascum thapsusHierba del PañoIL-R
PerennialVicia magnifoliaArvejillaNR--
Perennial/AnnualCyperus SpeciesCortaderaIRRR
Perennial/Climbing plantGalium hypocarpiumRelbúnNR--
Note: S1 = Segment 1; S2 = Segment 2; S3 = Segment 3; I = Invasive; N = Native; H = High; M = Medium; L = Low; R = Rare.

References

  1. Mackin, J.H. Concept of Graded River. GSA Bull. 1948, 59, 463–512. [Google Scholar] [CrossRef] [Green Version]
  2. Leopold, L.B. A View of the River; Harvard University Press: Cambridge, MA, USA, 1994; ISBN 0-674-93732-5. [Google Scholar]
  3. Wohl, E. Limits of Downstream Hydraulic Geometry. Geology 2004, 32, 897. [Google Scholar] [CrossRef]
  4. Parker, G.; Wilcock, P.R.; Paola, C.; Dietrich, W.E.; Pitlick, J. Physical Basis for Quasi-Universal Relations Describing Bankfull Hydraulic Geometry of Single-Thread Gravel Bed Rivers. J. Geophys. Res. 2007, 112, F04005. [Google Scholar] [CrossRef]
  5. Tranmer, A.W.; Caamaño, D.; Goodwin, P. Identifying Dynamic Equilibrium of an Undeveloped Alluvial Stream by Extremal Hypotheses. CATENA 2020, 194, 104680. [Google Scholar] [CrossRef]
  6. Langat, P.K.; Kumar, L.; Koech, R. Monitoring River Channel Dynamics Using Remote Sensing and GIS Techniques. Geomorphology 2019, 325, 92–102. [Google Scholar] [CrossRef]
  7. Freeman, M.C.; Pringle, C.M.; Jackson, C.R. Hydrologic Connectivity and the Contribution of Stream Headwaters to Ecological Integrity at Regional Scales1: Hydrologic Connectivity and the Contribution of Stream Headwaters to Ecological Integrity at Regional Scales. J. Am. Water Resour. Assoc. 2007, 43, 5–14. [Google Scholar] [CrossRef]
  8. International Commission on Large Dams. World Register of Dams. General Synthesis; ICOLD: Paris, France, 2020. [Google Scholar]
  9. Elliott, S. El Río y La Forma. Introducción a La Geomorfología Fluvial; RIL Editores: Santiago, Chile, 2010. [Google Scholar]
  10. Chin, A.; Harris, D.L.; Trice, T.H.; Given, J.L. Adjustment of Stream Channel Capacity Following Dam Closure, Yegua Creek, Texas. J. Am. Water Resour. Assoc. 2002, 38, 1521–1531. [Google Scholar] [CrossRef]
  11. Magilligan, F.J.; Nislow, K.H. Changes in Hydrologic Regime by Dams. Geomorphology 2005, 71, 61–78. [Google Scholar] [CrossRef]
  12. Graf, W.L. Downstream Hydrologic and Geomorphic Effects of Large Dams on American Rivers. Geomorphology 2006, 79, 336–360. [Google Scholar] [CrossRef]
  13. Skoulikaris, C.; Ganoulis, J. Multipurpose Hydropowe Projects Economic Assessment under Climate Change Conditions. Fresenius Environ. Bull. 2017, 26, 10. [Google Scholar]
  14. Kellner, E.; Brunner, M.I. Reservoir Governance in World’s Water Towers Needs to Anticipate Multi-purpose Use. Earth’s Future 2021, 9, e2020EF001643. [Google Scholar] [CrossRef]
  15. Wyrwoll, P.R.; Grafton, R.Q. Reforming for Resilience: Delivering ‘Multipurpose Hydropower’ under Water and Energy Risks. Int. J. Water Resour. Dev. 2021, 1–30. [Google Scholar] [CrossRef]
  16. Lane, E. Importance of Fluvial Morphology in Hydraulic Engineering. Am. Soc. Civ. Eng. 1955, 81, 745. [Google Scholar] [CrossRef]
  17. Petts, G.E.; Gurnell, A.M. Dams and Geomorphology: Research Progress and Future Directions. Geomorphology 2005, 71, 27–47. [Google Scholar] [CrossRef]
  18. Brandt, S.A. Classification of Geomorphological Effects Downstream of Dams. CATENA 2000, 40, 375–401. [Google Scholar] [CrossRef]
  19. Johnson, W.C. Equilibrium Response of Riparian Vegetation to Flow Regulation in the Platte River, Nebraska. Regul. Rivers Res. Manag. 1997, 13, 403–415. [Google Scholar] [CrossRef]
  20. Gutiérrez Elorza, M. Geomorfología; Prentice Hall: Madrid, Spain, 2008; ISBN 978-84-8322-389-5. [Google Scholar]
  21. Surian, N. Channel Changes Due to River Regulation: The Case of the Piave River, Italy. Earth Surf. Process. Landf. 1999, 24, 1135–1151. [Google Scholar] [CrossRef]
  22. Richard, G.A.; Julien, P.Y.; Baird, D.C. Case Study: Modeling the Lateral Mobility of the Rio Grande below Cochiti Dam, New Mexico. J. Hydraul. Eng. 2005, 131, 931–941. [Google Scholar] [CrossRef]
  23. Lobera, G.; Besné, P.; Vericat, D.; López-Tarazón, J.A.; Tena, A.; Aristi, I.; Díez, J.R.; Ibisate, A.; Larrañaga, A.; Elosegi, A.; et al. Geomorphic Status of Regulated Rivers in the Iberian Peninsula. Sci. Total Environ. 2015, 508, 101–114. [Google Scholar] [CrossRef]
  24. Steiger, J.; Gurnell, A.M. Spatial Hydrogeomorphological Influences on Sediment and Nutrient Deposition in Riparian Zones: Observations from the Garonne River, France. Geomorphology 2003, 49, 1–23. [Google Scholar] [CrossRef]
  25. Church, M. Bed Material Transport and the Morphology of Alluvial River Channels. Annu. Rev. Earth Planet. Sci. 2006, 34, 325–354. [Google Scholar] [CrossRef]
  26. Acosta, C. Efecto de Las Empresas Transnacionales En Las Comunidades Indígenas: Endesa y La Comunidad Mapuche-Pehuenche. Bachelor’s Thesis, Universidad de las Américas Puebla, Puebla, Mexico, 2004. [Google Scholar]
  27. Sandoval, J. El Riego en Chile; Gobierno de Chile, Ministerio de Obras Públicas, Dirección de Obras Hiudráulicas: Santiago, Chile, 2003; p. 94. [Google Scholar]
  28. Comisión Nacional de Energía. Anuario Estadístico de Energía; Gobierno de Chile, Ministerio de Energía: Santiago, Chile, 2020; p. 153. [Google Scholar]
  29. Arias, C. Análisis de los efectos de sistintos escenarios de registro histórico en la estimación de caudales de crecida. In Aplicación de Obras Hidráulicas de la Cuenca del río Maule; Memoria para optar al Titulo de Ingeniero Civil, Universidad de Chile: Santiago, Chile, 2011. [Google Scholar]
  30. Laborde, A.; González, A.; Sanhueza, C.; Arriagada, P.; Wilkes, M.; Habit, E.; Link, O. Hydropower Development, Riverine Connectivity, and Non-Sport Fish Species: Criteria for Hydraulic Design of Fishways: Criteria for Hydraulic Design of Fishways. River Res. Appl. 2016, 32, 1949–1957. [Google Scholar] [CrossRef]
  31. Habit, E.; García, A.; Díaz, G.; Arriagada, P.; Link, O.; Parra, O.; Thoms, M. River Science and Management Issues in Chile: Hydropower Development and Native Fish Communities: River Science and Management in Chile. River Res. Appl. 2019, 35, 489–499. [Google Scholar] [CrossRef]
  32. García, A.; Jorde, K.; Habit, E.; Caamaño, D.; Parra, O. Downstream Environmental Effects of Dam Operations: Changes in Habitat Quality for Native Fish Species. River Res. Appl. 2011, 27, 312–327. [Google Scholar] [CrossRef]
  33. Díaz, G.; Arriagada, P.; Górski, K.; Link, O.; Karelovic, B.; Gonzalez, J.; Habit, E. Fragmentation of Chilean Andean Rivers: Expected Effects of Hydropower Development. Rev. Chil. Hist. Nat. 2019, 92, 1. [Google Scholar] [CrossRef]
  34. Alcayaga, H.; Palma, S.; Caamaño, D.; Mao, L.; Soto-Alvarez, M. Detecting and Quantifying Hydromorphology Changes in a Chilean River after 50 Years of Dam Operation. J. South Am. Earth Sci. 2019, 93, 253–266. [Google Scholar] [CrossRef]
  35. Andreoli, A.; Mao, L.; Iroumé, A.; Arumí, J.L.; Nardini, A.; Pizarro, R.; Caamaño, D.; Meier, C.; Link, O. The Need for a Hydromorphological Approach to Chilean River Management. Rev. Chil. Hist. Nat. 2012, 85, 339–343. [Google Scholar] [CrossRef]
  36. Dirección General de Aguas. Levantamiento de Información Hidrgeológica Para Modelación Cuenca del río Maule; Gobierno de Chile, Ministerio de Obras Públicas: Santiago, Chile, 2010; p. 193. [Google Scholar]
  37. ENDESA Chile. Colbún—Memoria Chilena, Biblioteca Nacional de Chile. Available online: http://www.memoriachilena.gob.cl/602/w3-article-9834.html (accessed on 23 April 2020).
  38. Geological Survey U.S Earth Explorer Website, 2000. Available online: https://Earthexplorer.Usgs.Gov/ (accessed on 18 September 2019).
  39. Baki, A.B.M.; Gan, T.Y. Riverbank Migration and Island Dynamics of the Braided Jamuna River of the Ganges–Brahmaputra Basin Using Multi-Temporal Landsat Images. Quat. Int. 2012, 263, 148–161. [Google Scholar] [CrossRef]
  40. Nguyen, U.; Glenn, E.P.; Nagler, P.L.; Scott, R.L. Long-Term Decrease in Satellite Vegetation Indices in Response to Environmental Variables in an Iconic Desert Riparian Ecosystem: The Upper San Pedro, Arizona, United States: Decrese in Vegetation Indices: San Pedro River. Ecohydrology 2015, 8, 610–625. [Google Scholar] [CrossRef]
  41. Wulder, M.A.; White, J.C.; Loveland, T.R.; Woodcock, C.E.; Belward, A.S.; Cohen, W.B.; Fosnight, E.A.; Shaw, J.; Masek, J.G.; Roy, D.P. The Global Landsat Archive: Status, Consolidation, and Direction. Remote Sens. Environ. 2016, 185, 271–283. [Google Scholar] [CrossRef] [Green Version]
  42. Batalla, R.J.; Iroumé, A.; Hernández, M.; Llena, M.; Mazzorana, B.; Vericat, D. Recent Geomorphological Evolution of a Natural River Channel in a Mediterranean Chilean Basin. Geomorphology 2018, 303, 322–337. [Google Scholar] [CrossRef]
  43. Dewan, A.; Corner, R.; Saleem, A.; Rahman, M.M.; Haider, M.R.; Rahman, M.M.; Sarker, M.H. Assessing Channel Changes of the Ganges-Padma River System in Bangladesh Using Landsat and Hydrological Data. Geomorphology 2017, 276, 257–279. [Google Scholar] [CrossRef]
  44. Ibitoye, M.O. A Remote Sensing-Based Evaluation of Channel Morphological Characteristics of Part of Lower River Niger, Nigeria. SN Appl. Sci. 2021, 3, 340. [Google Scholar] [CrossRef]
  45. Corporación Nacional Forestal. Proyecto Catastro y Actualización Recursos Vegetacionales de Chile. In Monitoreo de Cambios, Corrección Cartográfica y Actualización Del Catastro de Bosque Nativo En La Región Del Maule 2016 [Shapefile]; Departamento de Monitoreo de Ecosistemas Forestales: Santiago, Chile, 2018. [Google Scholar]
  46. Exelis Visual Information Solutions. Environment for Visualizing Images; ENVI: Boulder, CO, USA, 2010. [Google Scholar]
  47. Mountrakis, G.; Im, J.; Ogole, C. Support Vector Machines in Remote Sensing: A Review. J. Photogramm. Remote Sens. 2011, 66, 247–259. [Google Scholar] [CrossRef]
  48. Gilbertson, J.K.; Kemp, J.; van Niekerk, A. Effect of Pan-Sharpening Multi-Temporal Landsat 8 Imagery for Crop Type Differentiation Using Different Classification Techniques. Comput. Electron. Agric. 2017, 134, 151–159. [Google Scholar] [CrossRef] [Green Version]
  49. Thanh Noi, P.; Kappas, M. Comparison of Random Forest, k-Nearest Neighbor, and Support Vector Machine Classifiers for Land Cover Classification Using Sentinel-2 Imagery. Sensors 2017, 18, 18. [Google Scholar] [CrossRef] [PubMed] [Green Version]
  50. Clark Labs. TerrSet Geospatial Monitoring and Modeling Software; Clark University: Worcester, MA, USA, 2020. [Google Scholar]
  51. Mirzaei, M.; Jafari, A.; Verrlest, J.; Haghighi, M.; Zargarnia, A.H.; Khoshnoodmotlagh, S.; Azadi, H.; Scheffran, J. Trans-Boundary Land Cover Changes and Its Influences on Water Crisis: Case Study of the Aras River. Appl. Geogr. 2020, 124, 102323. [Google Scholar] [CrossRef]
  52. Environmental Systems Research Institute ESRI. ArcGIS for Desktop, version 10.5; ESRI: Redlands, CA, USA, 2016. [Google Scholar]
  53. Hauenstein, E.; Muñoz-Pedreros, A.; Yánez, J.; Sánchez, P.; Möller, P.; Guiñez, B.; Gil, C. Flora y vegetación de la Reserva Nacional Lago Peñuelas, Reserva de la Biósfera, Región de Valparaíso, Chile. Bosque 2009, 30, 159–179. [Google Scholar] [CrossRef] [Green Version]
  54. Otavo Olarte, S. Fragmentación y disponibilidad de hábitat boscoso de especies nativas de un área premium del hotspot Chileno. Ph.D. Thesis, Universidad de Concepción, Concepción, Chile, 2018. [Google Scholar]
  55. Rojas, A.; Rebolledo, J. Introducción a la geografía de los problemas socioecológicos en la región del Maule. Tiempo Y Espac. 2015, 2, 3–9. [Google Scholar]
  56. Merritt, D.M.; Cooper, D.J. Riparian Vegetation and Channel Change in Response to River Regulation: A Comparative Study of Regulated and Unregulated Streams in the Green River Basin, USA. Regul. Rivers Res. Manag. 2000, 16, 543–564. [Google Scholar] [CrossRef]
  57. Casado, A.; Peiry, J.-L.; Campo, A.M. Geomorphic and Vegetation Changes in a Meandering Dryland River Regulated by a Large Dam, Sauce Grande River, Argentina. Geomorphology 2016, 268, 21–34. [Google Scholar] [CrossRef] [Green Version]
  58. Nelson, N.C.; Erwin, S.O.; Schmidt, J.C. Spatial and Temporal Patterns in Channel Change on the Snake River Downstream from Jackson Lake Dam, Wyoming. Geomorphology 2013, 200, 132–142. [Google Scholar] [CrossRef]
  59. Vericat, D.; Batalla, R.J. Efectos de Las Presas En La Dinámica Fluvial Del Curso Bajo Del Río Ebro. Cuatern. Y Geomorfol. 2004, 18, 37–50. [Google Scholar]
  60. Tealdi, S.; Camporeale, C.; Ridolfi, L. Modeling the Impact of River Damming on Riparian Vegetation. J. Hydrol. 2011, 396, 302–312. [Google Scholar] [CrossRef]
  61. Gordon, E.; Meentemeyer, R.K. Effects of Dam Operation and Land Use on Stream Channel Morphology and Riparian Vegetation. Geomorphology 2006, 82, 412–429. [Google Scholar] [CrossRef]
  62. Fuentealba, M.; Bahamóndez, C.; Sarricolea, P.; Meseguer-Ruiz, O.; Latorre, C. The 2010–2020 “megadrought” Drives Reduction in Lake Surface Area in the Andes of Central Chile (32°–36°S). J. Hydrol. Reg. Stud. 2021, 38, 100952. [Google Scholar] [CrossRef]
  63. Garreaud, R.D.; Boisier, J.P.; Rondanelli, R.; Montecinos, A.; Sepúlveda, H.H.; Veloso-Aguila, D. The Central Chile Mega Drought (2010–2018): A Climate Dynamics Perspective. Int. J. Climatol. 2020, 40, 421–439. [Google Scholar] [CrossRef]
  64. Fuentes-Ramírez, A.; Pauchard, A.; Cavieres, L.A.; García, R.A. Survival and Growth of Acacia Dealbata vs. Native Trees across an Invasion Front in South-Central Chile. For. Ecol. Manag. 2011, 261, 1003–1009. [Google Scholar] [CrossRef]
  65. Rojas, O.; Latorre, T.; Pacheco, F.; Araya, M.; López, J.J. Inundaciones fluviales en cuencas costeras mediterráneas de Chile: Recurrencia, factores físicos y efectos hidrogeomorfológicos de su gestión. In La Zona Costera en Chile: Adaptación y Planificación Para la Resiliencia; Instituto de Geografía: Santiago, Chile, 2019; p. 79. [Google Scholar]
  66. Rojas, O.; Mardones, M.; Rojas, C.; Martínez, C.; Flores, L. Urban Growth and Flood Disasters in the Coastal River Basin of South-Central Chile (1943–2011). Sustainability 2017, 9, 195. [Google Scholar] [CrossRef] [Green Version]
Figure 1. Study area. (A) The three studied river segments, locations of the main hydroelectric power plants, and vegetation sampling points. (B) Regional context of the basin.
Figure 1. Study area. (A) The three studied river segments, locations of the main hydroelectric power plants, and vegetation sampling points. (B) Regional context of the basin.
Water 14 01673 g001
Figure 2. Daily mean flows upstream and downstream of the study area, for Maule River at Armerillo and Maule River at Longitudinal stations, respectively.
Figure 2. Daily mean flows upstream and downstream of the study area, for Maule River at Armerillo and Maule River at Longitudinal stations, respectively.
Water 14 01673 g002
Figure 3. Net percent change by segment. Note: the change percentages are indicated with respect to the beginning of each analyzed year and the last period indicates the overall change for 1989–2018.
Figure 3. Net percent change by segment. Note: the change percentages are indicated with respect to the beginning of each analyzed year and the last period indicates the overall change for 1989–2018.
Water 14 01673 g003
Figure 4. Land cover for the middle section of the Maule River, 1985–2018.
Figure 4. Land cover for the middle section of the Maule River, 1985–2018.
Water 14 01673 g004
Figure 5. Recorded changes in the channel corresponding in segment 1: (a) December 1985, (b) October 2020. Source: Modified from Landsat resolution 30 m and Google images.
Figure 5. Recorded changes in the channel corresponding in segment 1: (a) December 1985, (b) October 2020. Source: Modified from Landsat resolution 30 m and Google images.
Water 14 01673 g005
Figure 6. Contributions to net change per land cover 1989–2018.
Figure 6. Contributions to net change per land cover 1989–2018.
Water 14 01673 g006
Figure 7. Distribution of losses and gains in vegetation cover.
Figure 7. Distribution of losses and gains in vegetation cover.
Water 14 01673 g007
Figure 8. Number of plant species per type.
Figure 8. Number of plant species per type.
Water 14 01673 g008
Figure 9. (a) Acacia dealbata specimens in the channel in Section 3, (b) Acacia caven, in the study area.
Figure 9. (a) Acacia dealbata specimens in the channel in Section 3, (b) Acacia caven, in the study area.
Water 14 01673 g009
Figure 10. (a) Flow exceedance probability for both periods, (b) Flow exceedance probability, with separation of the regulation period before and after 2010 (i.e., documented beginning of the drought).
Figure 10. (a) Flow exceedance probability for both periods, (b) Flow exceedance probability, with separation of the regulation period before and after 2010 (i.e., documented beginning of the drought).
Water 14 01673 g010
Figure 11. Mean daily flow data correlations between the Armerillo and Longitudinal stations, for (a) the period before and (b) after the dam.
Figure 11. Mean daily flow data correlations between the Armerillo and Longitudinal stations, for (a) the period before and (b) after the dam.
Water 14 01673 g011
Figure 12. Combined land cover changes along with mean daily discharges during the entire studied period (unregulated + regulated + drought).
Figure 12. Combined land cover changes along with mean daily discharges during the entire studied period (unregulated + regulated + drought).
Water 14 01673 g012
Table 1. Characteristics of the plants of the Colbún–Machicura hydroelectric complex.
Table 1. Characteristics of the plants of the Colbún–Machicura hydroelectric complex.
NameType of PlantGeneration Power (MW)Reservoir Surface (km2)Storage Capacity (Million m3)
ColbúnReservoir plant47446.61490
MachicuraReservoir plant95855
San IgnacioRun of river plant37--
ChiburgoRun of river plant19--
Table 2. Characteristics of the selected multispectral Landsat images.
Table 2. Characteristics of the selected multispectral Landsat images.
SatelliteSensorDateLevel of
Processing *
Cloud Cover (%)Average Daily Flow (m3/s)
Landsat 5TM9 January 1985L1T0.00445.0
Landsat 4TM14 December 1989L1TP2.0018.10
Landsat 5TM14 February 1998L1T13.00131.0
Landsat 5TM10 February 2008L1TP1.0019.3
Landsat 8OLI-TIRS25 January 2014L1TP0.5622.9
Landsat 8OLI-TIRS22 December 2018L1TP4.2246.2
* Note: Due to the implicit level of processing of L1T (Level 1 Terrain) and L1TP (Level 1 Terrain and Precision) Landsat images, it was not necessary to apply geometric correction in the preprocessing of the images [41]. Source: Authors, with metadata from satellite images and flow information from the General Water Directorate (DGA).
Table 3. Land cover class definitions.
Table 3. Land cover class definitions.
Land CoverDescription
WaterBodies of water such as river branches or pools.
Active BarsBare sediment zone that is frequently flooded and is characterized by an absence of vegetation and the presence of “boulders” characteristic of the active zone of the river.
Bare SoilBare zone with more cohesive sediment cover with a greater degree of stability; infrequently flooded.
VegetationThe vegetation zone in the river; includes both native vegetation and invasive plantation or wild species. They become stable zones within the channel (islands).
Table 4. Level of presence of the identified species.
Table 4. Level of presence of the identified species.
Level of PresenceDescription
High (H)The most representative species, with presence in more than 50% of the field of vision.
Medium (M)Between 50% and 30% of the field of vision.
Low (L)Between 30% and 10% of the field of vision.
Rare (R)Species of which only particular individuals were found.
Table 5. Area per land cover.
Table 5. Area per land cover.
SegmentsCoverArea in Hectares per Year% 1989–2018
198519891998200820142018
Study areaWater1015518468373267204−61
Active bars168419321752175213091248−35
Bare Soil65713161201999766937−29
Vegetation12778661210150822902242+159 *
Segment 1Water30214460876135−76
Active bars468446633615618613+37
Bare soil222456323259197249−45
Vegetation272219248305390369+68
Segment 2Water32814174863837−74
Active bars571736656557437356−52
Bare soil170314356324321317+1
Vegetation300178283402573661+271
Segment 3Water384232334200169133−43
Active bars645750463579253280−63
Bare soil264546522417248371−32
Vegetation70546967980113281213+159
* Note: Due to the high flows recorded in 1985 the percent change was calculated for 1989–2018.
Table 6. Total of native and introduced species by segment of analysis according to level of presence.
Table 6. Total of native and introduced species by segment of analysis according to level of presence.
Level of PresenceSegment 1Segment 2Segment 3
NativeInvasiveNativeInvasiveNativeInvasive
High-211-1
Medium342323
Low54-224
Rare494928
Total1219715616
Publisher’s Note: MDPI stays neutral with regard to jurisdictional claims in published maps and institutional affiliations.

Share and Cite

MDPI and ACS Style

Pacheco, F.; Rojas, O.; Hernández, E.; Caamaño, D. Effects on Fluvial Geomorphology and Vegetation Cover following Hydroelectric Power Plant Operation: A Case Study in the Maule River (Chile). Water 2022, 14, 1673. https://doi.org/10.3390/w14111673

AMA Style

Pacheco F, Rojas O, Hernández E, Caamaño D. Effects on Fluvial Geomorphology and Vegetation Cover following Hydroelectric Power Plant Operation: A Case Study in the Maule River (Chile). Water. 2022; 14(11):1673. https://doi.org/10.3390/w14111673

Chicago/Turabian Style

Pacheco, Fabián, Octavio Rojas, Esteban Hernández, and Diego Caamaño. 2022. "Effects on Fluvial Geomorphology and Vegetation Cover following Hydroelectric Power Plant Operation: A Case Study in the Maule River (Chile)" Water 14, no. 11: 1673. https://doi.org/10.3390/w14111673

APA Style

Pacheco, F., Rojas, O., Hernández, E., & Caamaño, D. (2022). Effects on Fluvial Geomorphology and Vegetation Cover following Hydroelectric Power Plant Operation: A Case Study in the Maule River (Chile). Water, 14(11), 1673. https://doi.org/10.3390/w14111673

Note that from the first issue of 2016, this journal uses article numbers instead of page numbers. See further details here.

Article Metrics

Back to TopTop