Effect of the Aeration Strategy on NOB Suppression in Activated Sludge and Biofilm in a Hybrid Reactor with Nitrification/Denitrification
Abstract
:1. Introduction
2. Materials and Methods
2.1. Reactor Set-Up and Operation
2.1.1. Reactor Description
2.1.2. Synthetic Wastewater
2.1.3. Operation Conditions
- An 8 h operation cycle composed of the following phases: 50 min anoxic/anaerobic phase I with wastewater dosage (2/3 of the total amount of wastewater dosed to the reactor in a single cycle (VC)), 190 min aerobic phase I (with continuous or intermittent aeration), 30 min anoxic/anaerobic phase II with wastewater dosing (1/3 VC), 150 min aerobic phase II (with continuous or intermittent aeration), 50 min sedimentation, and 10 min decantation;
- The volume (VC) and composition of raw wastewater dosed into the reactor, and therefore organic loading rate (L): VC = 10 L, the qualitative characteristics of the wastewater are described in point 2.1.2., organic compounds load and nitrogen load on the reactor was: LCOD = 555 ± 17 g COD/m3·d, LN = 68.9 ± 1.8 g N/m3·d;
- Concentration of biomass developing in the form of activated sludge: it was assumed that the value of this parameter would be maintained at the level obtained after the development of the reactor, i.e., approximately 1.8 g MLSS/L;
- The quantity of carriers in the reactor constituting 25% of the active volume of the reactor, i.e., 7 L;
- Temperature in the reactor: 20 °C.
2.2. Batch Experiments Testing the Suppression of Nitrite-Oxidizing Bacteria
- Oxygen concentration at a level of 7 mg O2/L.
- 2.
- Activated sludge concentration at a level of approximately 0.9 g MLSS/L (concerns tests AUR-SB and NitUR-SB), percent content of moving bed of 25% of the active volume of the test reactor, i.e., 2 L (concerns tests AUR-B and NitUR-B);
- 3.
- Initial concentration of ammonia nitrogen in the AUR test of 15 mg N-NH4+/L and nitrite nitrogen in the NitUR test of 15 mg N-NO2−/L;
- 4.
- Temperature at a level of 20 °C.Based on the results of AUR tests, the following was determined:
- Ammonia nitrogen oxidation rate—AOR, mg N-NH4+/gVSS∙h;
- Accumulation of nitrite nitrogen—ΔN-NO2−, mg N-NO2−/L;
- Ratio between nitrite increase and ammonia loss—RNIAL, %.
Based on the results of NitUR tests, the following was determined:- Nitrite nitrogen oxidation rate—NitOR, mg N-NO2−/gVSS∙h.
2.2.1. Ammonia Utilization Batch Test (AUR)—Test Procedure
2.2.2. Nitrite Utilization Batch Test (NitUR)—Test Procedure
2.3. Microbiological Analysis
2.3.1. DNA Extraction
2.3.2. Quantitative Polymerase Chain Reaction
2.4. Analytical Methods
3. Results
3.1. Reactor Performance
3.2. Analysis of the Suppression of the Nitrite Nitrogen Oxidation Process Based on the Results of Batch Experiments
3.2.1. Ammonia Oxidation Rate for Suspended Biomass and Biofilm
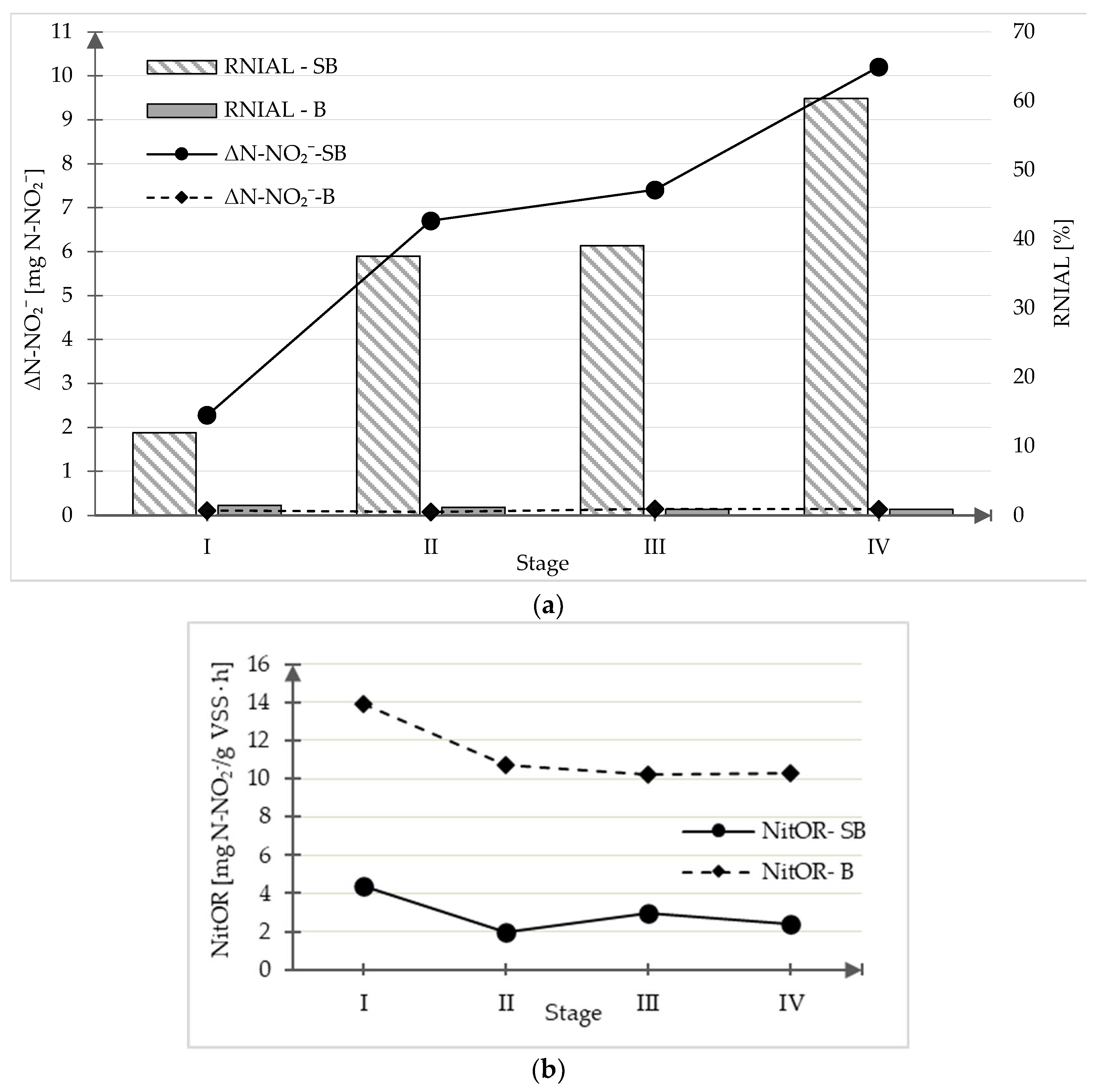
3.2.2. N-NO2− Accumulation Based on Ammonia Utilization Rate Test Results
3.2.3. Nitrite Nitrogen Oxidation Rate Based on Nitrite Utilization Rate Test Results
3.3. Changes in AOB, NOB, and Comammox Bacteria Abundance
4. Discussion
5. Conclusions
- The primary factor causing NOB suppression in the biomass developing in the IFAS-MBSBBR, both in biofilm and activated sludge, was an increase in the ratio between non-aerated and aerated sub-phase times;
- The accumulation of nitrite nitrogen, constituting one of the indicators of NOB suppression, was only recorded in AUR tests performed for activated sludge;
- The abundance of Comammox bacteria was largely determined by a change in the aeration strategy from continuous to intermittent, whereas it was different for both analyzed forms of biomass. Activated sludge showed a considerable increase in the quantity clade A and B, whereas, in biofilm, the quantity substantially decreased;
- Biofilm was the environment in which more nitrification organisms developed;
- The AUR and NitUR batch test performed in parallel can be an indirect tool to truck the suppression of nitrite-oxidizing microorganisms in wastewater treatment systems. Indicators determined on their basis, i.e., ΔN-NO2, RNIAL, nitrite nitrogen oxidation rate and ratios between the nitrite nitrogen oxidation rates and the ammonia nitrogen oxidation rates, can be used to assess the impact of the studied factors on the suppression of NOB occurring in the analyzed wastewater treatment system.
Supplementary Materials
Author Contributions
Funding
Institutional Review Board Statement
Informed Consent Statement
Data Availability Statement
Conflicts of Interest
References
- Zeng, W.; Wang, X.; Li, B.; Bai, X.; Peng, Y. Nitritation and denitrifying phosphorus removal via nitrite pathway from domestic wastewater in a continuous MUCT process. Bioresour. Technol. 2013, 143, 187–195. [Google Scholar] [CrossRef]
- Ali, M.; Okabe, S. Anammox-based technologies for nitrogen removal: Advances in process start-up and remaining issues. Chemosphere 2015, 141, 144–153. [Google Scholar] [CrossRef]
- Bagchi, S.; Biswas, R.; Nandy, T. Autotrophic ammonia removal processes: Ecology to technology. Crit. Rev. Environ. Sci. Technol. 2012, 42, 1353–1418. [Google Scholar] [CrossRef]
- Zubrowska-Sudol, M.; Yang, J.; Trela, J.; Plaza, E. Evaluation of deammonification process performance at different aeration strategies. Water Sci. Technol. 2011, 63, 1168–1176. [Google Scholar] [CrossRef] [PubMed]
- Persson, F.; Sultana, R.; Suarez, M.; Hermansson, M.; Plaza, E.; Wilén, B.M. Structure and composition of biofilm communities in a moving bed biofilm reactor for nitritation-anammox at low temperatures. Bioresour. Technol. 2014, 154, 267–273. [Google Scholar] [CrossRef] [PubMed]
- Wang, X.; Gao, D. In-situ restoration of one-stage partial nitritation-anammox process deteriorated by nitrate build-up via elevated substrate levels. Sci. Rep. 2016, 6, 37500. [Google Scholar] [CrossRef] [Green Version]
- Cao, Y.; Kwok, B.H.; van Loosdrecht, M.C.M.; Daigger, G.; Png, H.Y.; Long, W.Y.; Eng, O.K. The influence of dissolved oxygen on partial nitritation/ anammox performance and microbial community of the 200,000 m3/d activated sludge process at the Changi water reclamation plant (2011 to 2016). Water Sci. Technol. 2018, 78, 634–643. [Google Scholar] [CrossRef] [Green Version]
- Ma, B.; Bao, P.; Wei, Y.; Zhu, G.; Yuan, Z.; Peng, Y. Suppressing nitrite-oxidizing bacteria growth to achieve nitrogen removal from domestic wastewater via anammox using intermittent aeration with low dissolved oxygen. Sci. Rep. 2015, 5, 13048. [Google Scholar] [CrossRef]
- Bao, P.; Wang, S.; Ma, B.; Zhang, Q.; Peng, Y. Achieving partial nitrification by inhibiting the activity of Nitrospira-like bacteria under high-DO conditions in an intermittent aeration reactor. J. Environ. Sci. (China) 2017, 56, 71–78. [Google Scholar] [CrossRef]
- Blackburne, R.; Yuan, Z.; Keller, J. Partial nitrification to nitrite using low dissolved oxygen concentration as the main selection factor. Biodegradation 2008, 19, 303–312. [Google Scholar] [CrossRef] [PubMed]
- Bougard, D.; Bernet, N.; Chèneby, D.; Delgenès, J.P. Nitrification of a high-strength wastewater in an inverse turbulent bed reactor: Effect of temperature on nitrite accumulation. Process Biochem. 2006, 41, 106–113. [Google Scholar] [CrossRef]
- Park, S.; Chung, J.; Rittmann, B.E.; Bae, W. Nitrite Accumulation from Simultaneous Free-Ammonia and Free-Nitrous-Acid Inhibition and Oxygen Limitation in a Continuous-Flow Biofilm Reactor. Biotechnol. Bioeng. 2015, 112, 43–52. [Google Scholar] [CrossRef]
- Manser, R.; Gujer, W.; Siegrist, H. Consequences of mass transfer effects on the kinetics of nitrifiers. Water Res. 2005, 39, 4633–4642. [Google Scholar] [CrossRef]
- Katsogiannis, A.N.; Kornaros, M.; Lyberatos, G. Enhanced nitrogen removal in SBRs bypassing nitrate generation accomplished by multiple aerobic/anoxic phase pairs. Water Sci. Technol. 2003, 47, 53–59. [Google Scholar] [CrossRef]
- Li, J.; Elliott, D.; Nielsen, M.; Healy, M.G.; Zhan, X. Long-term partial nitrification in an intermittently aerated sequencing batch reactor (SBR) treating ammonium-rich wastewater under controlled oxygen-limited conditions. Biochem. Eng. J. 2011, 55, 215–222. [Google Scholar] [CrossRef]
- Ma, Y.; Peng, Y.; Wang, S.; Yuan, Z.; Wang, X. Achieving nitrogen removal via nitrite in a pilot-scale continuous pre-denitrification plant. Water Res. 2009, 43, 563–572. [Google Scholar] [CrossRef] [PubMed]
- Ruiz, G.; Jeison, D.; Rubilar, O.; Ciudad, G.; Chamy, R. Nitrification-denitrification via nitrite accumulation for nitrogen removal from wastewaters. Bioresour. Technol. 2006, 97, 330–335. [Google Scholar] [CrossRef]
- Ge, S.; Peng, Y.; Qiu, S.; Zhu, A.; Ren, N. Complete nitrogen removal from municipal wastewater via partial nitrification by appropriately alternating anoxic/aerobic conditions in a continuous plug-flow step feed process. Water Res. 2014, 55, 95–105. [Google Scholar] [CrossRef] [PubMed]
- Bhatia, A.; Singh, N.K.; Bhando, T.; Pathania, R.; Kazmi, A.A. Effect of intermittent aeration on microbial diversity in an intermittently aerated IFAS reactor treating municipal wastewater: A field study. J. Environ. Sci. Health A-Part A Toxic/Hazard. Subst. Environ. Eng. 2017, 52, 440–448. [Google Scholar] [CrossRef] [PubMed]
- Yang, S.; Yang, F. Nitrogen removal via short-cut simultaneous nitrification and denitrification in an intermittently aerated moving bed membrane bioreactor. J. Hazard. Mater. 2011, 195, 318–323. [Google Scholar] [CrossRef]
- Ødegaard, H.; Rusten, B.; Westrum, T. A new moving bed biofilm reactor-applications and results. Water Sci. Technol. 1994, 29, 157–165. [Google Scholar] [CrossRef]
- Hem, L.; Rusten, B.; Ødegaard, H. Nitrification in a moving bed biofilm reactor. Water Res. 1994, 28, 1425–1433. [Google Scholar] [CrossRef]
- Rother, E.; Cornel, P. Optimising design, operation and energy consumption of biological aerated filters (BAF) for nitrogen removal of municipal wastewater. Water Sci. Technol. 2004, 50, 131–139. [Google Scholar] [CrossRef] [PubMed]
- Pal, L.; Kraigher, B.; Brajer-Humar, B.; Levstek, M.; Mandic-Mulec, I. Total bacterial and ammonia-oxidizer community structure in moving bed biofilm reactors treating municipal wastewater and inorganic synthetic wastewater. Bioresour. Technol. 2012, 110, 135–143. [Google Scholar] [CrossRef] [PubMed]
- Kowalchuck, G.A.; Stephen, J.R.; De Boer, W.; Prosser, J.I.; Embley, T.M.; Woldendorp, J.M. Analysis of ammonia-oxidizing bacteria of the β subdivision of the class Proteobacteria in coastal sand dunes by denaturing gradient gel electrophoresis and sequencing of PCR-amplified 16S ribosomal DNA fragments. Appl. Environ. Microbiol. 1997, 63, 1489–1497. [Google Scholar] [CrossRef] [PubMed] [Green Version]
- Dionisi, H.M.; Layton, A.C.; Harms, G.; Gregory, I.R.; Robinson, K.G.; Sayler, G.S. Quantification of Nitrosomonas oligotropha-like ammonia-oxidizing bacteria and Nitrospira spp. from full-scale wastewater treatment plants by competitive PCR. Appl. Environ. Microbiol. 2002, 68, 245–253. [Google Scholar] [CrossRef] [Green Version]
- Pjevac, P.; Schauberger, C.; Poghosyan, L.; Herbold, C.W.; van Kessel, M.A.H.J.; Daebeler, A.; Steinberger, M.; Jetten, M.S.M.; Lücker, S.; Wagner, M.; et al. AmoA-targeted polymerase chain reaction primers for the specific detection and quantification of comammox Nitrospira in the environment. Front. Microbiol. 2017, 8, 1508. [Google Scholar] [CrossRef] [Green Version]
- Livak, K.J.; Schmittgen, T.D. Analysis of Relative Gene Expression Data Using Real-Time Quantitative PCR and the 2-ΔΔCT Method. Methods 2001, 25, 402–408. [Google Scholar] [CrossRef] [PubMed]
- APHA. Standard Methods for the Examination of Water and Wastewater, 21st ed.; American Public Health Association/American Water Works Association/Water Environment Federation: Washington, DC, USA, 2005; pp. 1–1368. [Google Scholar]
- Podedworna, J.; Zubrowska-Sudoł, M. Nitrogen and phosphorus removal in a denitrifying phosphorus removal process in a sequencing batch reactor with a forced anoxic phase. Environ. Technol. 2021, 33, 237–245. [Google Scholar] [CrossRef] [PubMed]
- Wang, J.; Rong, H.; Zhang, C. Evaluation of the impact of dissolved oxygen concentration on biofilm microbial community in sequencing batch biofilm reactor. J. Biosci. Bioeng. 2018, 125, 532–542. [Google Scholar] [CrossRef] [PubMed]
- van Kessel, M.A.H.J.; Speth, D.R.; Albertsen, M.; Nielsen, P.H.; Op Den Camp, H.J.M.; Kartal, B.; Jetten, M.S.M.; Lücker, S. Complete nitrification by a single microorganism. Nature 2015, 528, 555–559. [Google Scholar] [CrossRef] [Green Version]
- Daims, H.; Lebedeva, E.V.; Pjevac, P.; Han, P.; Herbold, C.; Albertsen, M.; Jehmlich, N.; Palatinszky, M.; Vierheilig, J.; Bulaev, A.; et al. Complete nitrification by Nitrospira bacteria. Nature 2015, 528, 504–509. [Google Scholar] [CrossRef] [PubMed]
- Diwan, V. Composition and Abundance of Nitrifiers in Engineered Systems: Molecular and Community Ecology Approaches. Ph.D Thesis, Technical University of Denmarik, Lyngby, Denmarik, 2019. [Google Scholar]
- Liu, G.; Wang, J. Long-term low DO enriches and shifts nitrifier community in activated sludge. Environ. Sci. Technol. 2013, 47, 5109–5117. [Google Scholar] [CrossRef] [PubMed]
- Pérez, J.; Picioreanu, C.; van Loosdrecht, M. Modeling biofilm and floc diffusion processes based on analytical solution of reaction-diffusion equations. Water Res. 2005, 39, 1311–1323. [Google Scholar] [CrossRef] [PubMed]
- Roots, P.; Wang, Y.; Rosenthal, A.F.; Griffin, J.S.; Sabba, F.; Petrovich, M.; Yang, F.; Kozak, J.A.; Zhang, H.; Wells, G.F. Comammox Nitrospira are the dominant ammonia oxidizers in a mainstream low dissolved oxygen nitrification reactor. Water Res. 2019, 157, 396–405. [Google Scholar] [CrossRef] [PubMed]
- Camejo, P.Y.; Santo Domingo, J.; McMahon, K.D.; Noguera, D.R. Genome-Enabled Insights into the Ecophysiology of the Comammox Bacterium “Candidatus Nitrospira nitrosa”. mSystems 2017, 2, e00059-17. [Google Scholar] [CrossRef] [PubMed] [Green Version]
- Liu, T.; Liu, S.; He, S.; Tian, Z.; Zheng, M. Minimization of N2O emission through intermittent aeration in a sequencing batch reactor (SBR): Main behavior and mechanism. Water 2021, 13, 210. [Google Scholar] [CrossRef]
- Lawson, C.E.; Lücker, S. Complete ammonia oxidation: An important control on nitrification in engineered ecosystems. Curr. Opin. Biotechnol. 2018, 50, 158–165. [Google Scholar] [CrossRef] [PubMed]
- Palomo, A.; Pedersen, A.G.; Fowler, S.J.; Dechesne, A.; Sicheritz-Pontén, T.; Smets, B.F. Comparative genomics sheds light on niche differentiation and the evolutionary history of comammox Nitrospira. ISME J. 2018, 12, 1779–1793. [Google Scholar] [CrossRef] [PubMed] [Green Version]
- Spasov, E.; Tsuji, J.M.; Hug, L.A.; Doxey, A.C.; Sauder, L.A.; Parker, W.J.; Neufeld, J.D. High functional diversity among Nitrospira populations that dominate rotating biological contactor microbial communities in a municipal wastewater treatment plant. ISME J. 2020, 14, 1857–1872. [Google Scholar] [CrossRef] [Green Version]
- Xia, F.; Wang, J.G.; Zhu, T.; Zou, B.; Rhee, S.K.; Quan, Z.X. Ubiquity and diversity of complete ammonia oxidizers (comammox). Appl. Environ. Microbiol. 2018, 84. [Google Scholar] [CrossRef] [PubMed] [Green Version]
- Harringer, M.; Alfreider, A. Primer evaluation and development of a droplet digital PCR protocol targeting amoA genes for the quantification of Comammox in lakes. Sci. Rep. 2021, 11, 2982. [Google Scholar] [CrossRef] [PubMed]
- Chao, Y.; Mao, Y.; Yu, K.; Zhang, T. Novel nitrifiers and comammox in a full-scale hybrid biofilm and activated sludge reactor revealed by metagenomic approach. Appl. Microbiol. Biotechnol. 2016, 100, 8225–8237. [Google Scholar] [CrossRef] [PubMed]
- Li, B.; Qiu, Y.; Zhang, C.; Chen, L.; Shi, H. Understanding biofilm diffusion profiles and microbial activities to optimize integrated fixed-film activated sludge process. Chem. Eng. J. 2016, 302, 269–277. [Google Scholar] [CrossRef]
- Shao, Y.; Shi, Y.; Mohammed, A.; Liu, Y. Wastewater ammonia removal using an integrated fixed-film activated sludge-sequencing batch biofilm reactor (IFAS-SBR): Comparison of suspended flocs and attached biofilm. Int. Biodeterior. Biodegrad. 2017, 116, 38–47. [Google Scholar] [CrossRef]




| Stage | Duration (Days) | Description of Aeration Strategy | Day of Performance of Batch Tests and Collection of Samples for Microbiological Analyses | ||
|---|---|---|---|---|---|
| Times of Aerated t1 and Non-Aerated t2 Sub-Phases | Ratio between Times of Non- Aerated and Aerated Sub-Phases (R) | O2 Concentration during Aerated Sub-Phases (mg/L) | |||
| I | 0–39 | Continuous | 0 | 3 | 32 |
| II | 40–70 | Intermittent aeration: t1 = 40 min, t2 = 10 min | 1/4 | 3 | 67 |
| III | 71–84 | Intermittent aeration: t1 = 40 min, t2 = 10 min | 1/4 | 2 | 82 |
| IV | 85–100 | Intermittent aeration: t1 = 30 min, t2 = 10 min | 1/3 | 2 | 97 |
| Parameter | Influent | Effluent | |||||
|---|---|---|---|---|---|---|---|
| I | II | III | IV | ||||
| COD | mg O2/L | min | 508.00 | 10.20 | 11.70 | 11.80 | 10.90 |
| max | 535.00 | 16.50 | 18.40 | 18.40 | 18.30 | ||
| average | 518.76 ± 9.02 | 13.58 ± 2.28 | 14.78 ± 2.21 | 15.80 ± 2.69 | 14.10 ± 3.11 | ||
| TN | mg N/L | min | 63.00 | 12.00 | 12.35 | 8.76 | 9.75 |
| max | 65.00 | 15.80 | 14.65 | 14.00 | 12.40 | ||
| average | 63.96 ± 0.83 | 13.25 ± 1.26 | 13.48 ± 0.86 | 11.09 ± 1.95 | 11.46 ± 1.23 | ||
| TKN | mg N/L | min | 60.91 | 0.95 | 1.78 | 0.28 | 0.70 |
| max | 63.36 | 3.50 | 4.91 | 2.13 | 3.06 | ||
| average | 62.04 ± 0.84 | 2.04 ± 0.76 | 3.09 ± 1.16 | 1.51 ± 0.72 | 1.76 ± 0.99 | ||
| N-NH4+ | mg N-NH4+/L | min | 38.00 | 0.14 | 0.14 | 0.19 | 0.07 |
| max | 42.00 | 1.33 | 1.75 | 0.76 | 0.61 | ||
| average | 39.91 ± 1.00 | 0.71 ± 0.34 | 0.69 ± 0.45 | 0.36 ± 0.19 | 0.28 ± 0.13 | ||
| N-NO2− | mg N-NO2−L | min | nd | 0 | 0.01 | 0.01 | 0.01 |
| max | 0.56 | 0.23 | 0.07 | 0.20 | |||
| average | 0.09 ± 0.19 | 0.04 ± 0.06 | 0.03 ± 0.02 | 0.04 ± 0.05 | |||
| N-NO3− | mg N-NO3−/L | min | 1.63 | 9.84 | 8.95 | 7.13 | 8.34 |
| max | 2.48 | 12.30 | 12.20 | 12.20 | 10.50 | ||
| average | 1.99 ± 0.25 | 11.12 ± 0.93 | 10.37 ± 1.05 | 9.56 ± 1.85 | 9.64 ± 1.20 | ||
| COD removal efficiency 1 | % | 97.36 ± 0.45 | 97.19 ± 0.42 | 96.96 ± 0.49 | 97.24 ± 0.62 | ||
| Nitrification efficiency 1 | % | 98.38 ± 0.85 | 98.19 ± 1.16 | 99.05 ± 0.49 | 99.23 ± 0.29 | ||
| Denitrification efficiency 1 | % | 79.21 ± 2.00 | 78.81 ± 1.37 | 82.79 ± 3.02 | 82.19 ± 2.06 | ||
Publisher’s Note: MDPI stays neutral with regard to jurisdictional claims in published maps and institutional affiliations. |
© 2022 by the authors. Licensee MDPI, Basel, Switzerland. This article is an open access article distributed under the terms and conditions of the Creative Commons Attribution (CC BY) license (https://creativecommons.org/licenses/by/4.0/).
Share and Cite
Zajac, O.; Zubrowska-Sudol, M.; Ciesielski, S.; Godzieba, M. Effect of the Aeration Strategy on NOB Suppression in Activated Sludge and Biofilm in a Hybrid Reactor with Nitrification/Denitrification. Water 2022, 14, 72. https://doi.org/10.3390/w14010072
Zajac O, Zubrowska-Sudol M, Ciesielski S, Godzieba M. Effect of the Aeration Strategy on NOB Suppression in Activated Sludge and Biofilm in a Hybrid Reactor with Nitrification/Denitrification. Water. 2022; 14(1):72. https://doi.org/10.3390/w14010072
Chicago/Turabian StyleZajac, Olga, Monika Zubrowska-Sudol, Slawomir Ciesielski, and Martyna Godzieba. 2022. "Effect of the Aeration Strategy on NOB Suppression in Activated Sludge and Biofilm in a Hybrid Reactor with Nitrification/Denitrification" Water 14, no. 1: 72. https://doi.org/10.3390/w14010072
APA StyleZajac, O., Zubrowska-Sudol, M., Ciesielski, S., & Godzieba, M. (2022). Effect of the Aeration Strategy on NOB Suppression in Activated Sludge and Biofilm in a Hybrid Reactor with Nitrification/Denitrification. Water, 14(1), 72. https://doi.org/10.3390/w14010072

