Macro-Turbulent Flow and Its Impacts on Sediment Transport Potential of a Subarctic River during Ice-Covered and Open-Channel Conditions
Abstract
1. Introduction
2. Study Site
3. Methods
3.1. Measurements of Flow Characteristics
3.2. ADCP Data Analyses
- Statistically significant high flow cluster: significant (p < 0.05) autocorrelation and flow velocity greater than the depth-averaged mean;
- Statistically significant low flow cluster: significant (p < 0.05) autocorrelation and flow velocity less than the depth-averaged mean;
- Insignificant autocorrelation between neighboring cells: p > 0.05.
3.3. Sediment Transport Measurements
4. Results
4.1. Spatial and Temporal Variation of the Depth-Averaged Velocities
4.2. Marco-Turbulence Patterns
4.2.1. Spatial Variation of Macro-Turbulence under Ice-Covered Conditions
4.2.2. Spatial Variation under Open-Channel Conditions
4.2.3. Macro-Turbulence at the Meander Bend Inlet Area
4.2.4. Macro-Turbulence at the Meander Bend Apex
4.2.5. Macro-Turbulence at the Meander Bend Outlet Area
4.3. Sediment Transport and Exceedance of the Critical Velocity Thresholds for Incipient Motion
4.3.1. Measured Sediment Transport
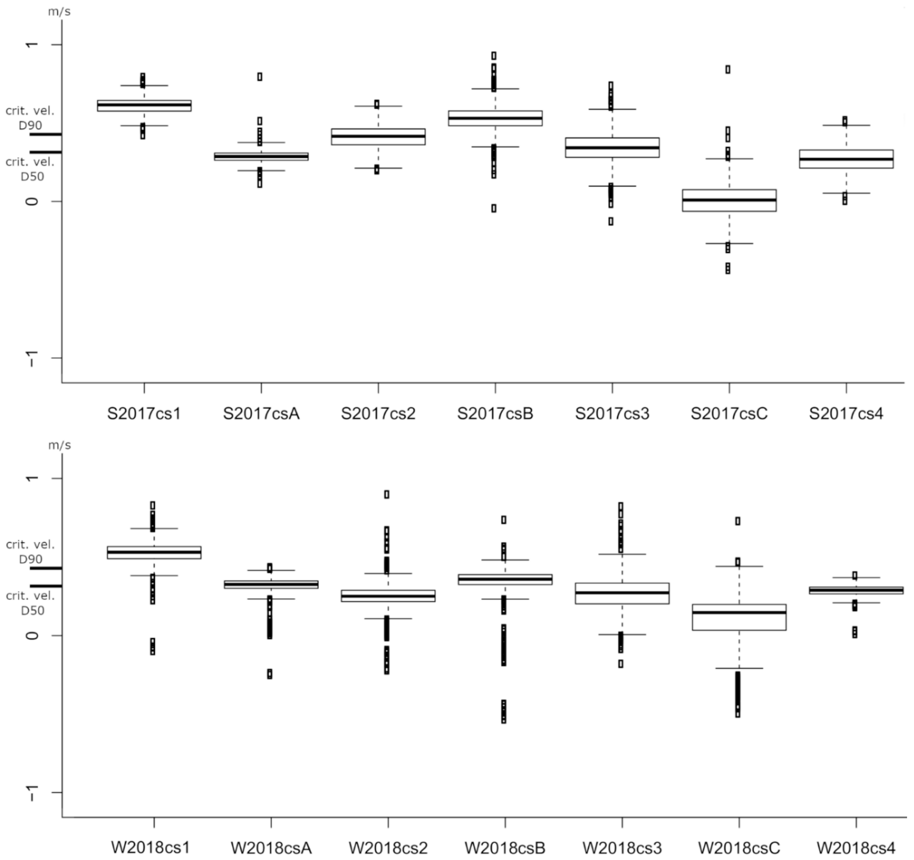
4.3.2. Near-Bed Velocities: Exceedance of the Critical Velocity Threshold
5. Discussion
6. Conclusions
Supplementary Materials
Author Contributions
Funding
Acknowledgments
Conflicts of Interest
References
- Demers, S.; Buffin-Bélanger, T.; Roy, A.G. Helical cell motions in a small ice-covered meander river reach. River Res. Appl. 2011, 27, 1118–1125. [Google Scholar] [CrossRef]
- Lotsari, E.; Kasvi, E.; Kämäri, M.; Alho, P. The effects of ice cover on flow characteristics in a subarctic meandering river. Earth Surf. Process. Landf. 2017, 42, 1195–1212. [Google Scholar] [CrossRef]
- Lotsari, E.; Tarsa, T.; Kämäri, M.; Alho, P.; Kasvi, E. Spatial variation of flow characteristics in a subarctic meandering river in ice-covered and open-channel conditions: 2D hydrodynamic modelling approach. Earth Surf. Process. Landf. 2019, 44, 1509–1529. [Google Scholar] [CrossRef]
- Hartung, F.; Scheuerlein, H. Macro-turbulent flow in steep open-channels with high natural roughness. In Proceedings of the 12th Congress of International Association for Hydraulic Research, vol 1 (River Hydraulics), Colorado State University, Fort Collins, CO, USA, 11–14 September 1967; Paper A1. pp. 1–8. [Google Scholar]
- Buffin-Bélanger, T.; Roy, A.G.; Kirkbride, A.D. On large-scale flow structures in a gravel-bed river. Geomorphology 2000, 32, 417–435. [Google Scholar] [CrossRef]
- Shvidchenko, A.B.; Pender, G. Macro-turbulent structure of open-channel flow over gravel-beds. Water Resour. Res. 2001, 37, 709–719, paper number: 2000WR90028. [Google Scholar] [CrossRef]
- Marquis, G.A.; Roy, A.G. From Macro-turbulent flow structures to large-scale flow pulsations in gravel-bed rivers. In Corerent Flow Structures at Earth’s Surface; Venditti, J.G., Best, J.L., Church, M., Hardy, R.J., Eds.; Joh Wiley & Sons: Chichester, UK, 2013; 387p. [Google Scholar] [CrossRef]
- Wohl, E. Rivers in the Landscape, 2nd ed.; John Wiley & Sons: Hoboken, NJ, USA; Chichester, UK, 2020; 535p. [Google Scholar]
- Demers, S.; Buffin-Bélanger, T.; Roy, A.G. Macroturbulent coherent structures in an ice-covered river flow using a pulse-coherent acoustic Doppler profiler. Earth Surf. Process. Landf. 2013, 38, 937–946. [Google Scholar] [CrossRef]
- Baker, V.R. Paleohydraulics and hydrodynamics of scabland floods. In The Channeld Scabland: A Guide to the Geomorphology of the Columbia Basin, Washington, Proceedings of the Prepared for the Comparative Planetary Geology Field Conference held in the Columbia Basin, USA, 5–8 June 1978; Baker, V.R., Nummedal, D., Eds.; Planetary Geology Program, Office of Space Science, National Aeronautics and Space Administration: Washington, DC, USA, 1978. [Google Scholar]
- Sukhodolov, A.; Thiele, M.; Bungartz, H.; Engelhardt, C. Turbulence structure in an ice-covered, sand-bed river. Water Resour. Res. 1999, 353, 889–894. [Google Scholar] [CrossRef]
- Willmarth, W.W.; Lu, S.S. Structure of the reynolds stress and the occurrence of bursts in the turbulent boundary layer. Adv. Geophys. 1975, 18 Pt A, 287–314. [Google Scholar]
- Lotsari, E.; Vaaja, M.; Flener, C.; Kaartinen, H.; Kukko, A.; Kasvi, E.; Hyyppä, H.; Hyyppä, J.; Alho, P. Annual bank and point bar morphodynamics of a meandering river determined by high-accuracy multitemporal laser scanning and flow data. Water Resour. Res. 2014, 50, 5532–5559. [Google Scholar] [CrossRef]
- Kasvi, E.; Vaaja, M.; Alho, P.; Hyyppä, H.; Hyyppä, J.; Kaartinen, H.; Kukko, A. Morphological changes on meander point bars associated with flow structure at different discharges. Earth Surf. Process. Landf. 2013, 38, 577–590. [Google Scholar] [CrossRef]
- Kämäri, M.; Alho, P.; Colpaert, A.; Lotsari, E. Spatial variation of river-ice thickness in a meandering river. Cold Reg. Sci. Technol. 2017, 137, 17–29. [Google Scholar] [CrossRef]
- Sontek. RiverSurveyour–Discharge, Bathymetry and Current Profiling. Brochure; Sontek: San Diego, CA, USA, 2015. [Google Scholar]
- Yorke, T.H.; Oberg, K.A. Measuring river velocity and discharge with acoustic Doppler profilers. Flow Meas. Instrum. 2002, 13, 191–195. [Google Scholar] [CrossRef]
- Beltaos, S. Hydro-climatic impacts on the ice cover of the lower Peace River. Hydrol. Process. 2008, 22, 3252–3263. [Google Scholar] [CrossRef]
- Turcotte, B.; Morse, B.; Bergeron, N.E.; Roy, A.G. Sediment transport in ice-affected Rivers. J. Hydrol. 2011, 409, 561–577. [Google Scholar] [CrossRef]
- R Development Core Team. R: A Language and Environment for Statistical Computing [Computer software manual]. Vienna, Austria, 2020. Available online: http://CRAN.R-project.org (accessed on 12 May 2020).
- Anselin, L. Local indicators of spatial association—LISA. Geogr. Anal. 1995, 27, 93–115. [Google Scholar] [CrossRef]
- Bjornstad, O.N. Ncf: Spatial Covariance Functions. R package version 1.2-9. 2020. Available online: https://CRAN.R-project.org/package=ncf (accessed on 12 May 2020).
- Helley, E.J.; Smith, W. Development and Calibration of a Pressure-Difference Bedload Sampler; U.S. Geological Survey Open-File Report; U.S. Department of the Interior; Geological Survey; Water Resources Division: Menlo Park, CA, USA, 1971; 18p.
- Hjulström, F. Studies of morphological activity of rivers as illustrated by the River Fyris. Bull. Geol. Inst. Univ. Upps. 1935, 25, 221–527. [Google Scholar]
- Blott, S.J.; Pye, K. GRADISTAT: A grain size distribution and statistics package for the analysis of unconsolidated sediments. Earth Surf. Process. Landf. 2001, 26, 1237–1248. [Google Scholar] [CrossRef]











| Date | Acronym | Sensor (Sontek) | Discharge (m3/s) | Notes |
|---|---|---|---|---|
| 17 February 2016 | W2016 | M9 | 1.38 | Good quality |
| 25 May 2016 | S2016 | S5 | 12.40 | Bad quality, discarded all but CS1. |
| 10 September 2016 | A2016 | M9 | 6.34 | Good quality |
| 16 February 2017 | W2017 | M9 | 1.32 | Good quality |
| 31 May 2017 | S2017 | M9 | 10.95 | Good quality |
| 9 September 2017 | A2017 | M9 | 4.59 | Good quality, except CS1 was too shallow and discarded |
| 9 February 2018 | W2018 | M9 | 0.18 | Good quality |
| 23 May 2018 | S2018 | S5 | 15.80 | Bad quality, discarded all but CS1 |
| 8 September 2018 | A2018 | S5 | 3.69 | Bad quality, discarded all but CS1 |
| 8 February 2019 | W2019 | M9 | 0.61 | Good quality |
| 21 May 2019 | S2019 | M9 | 6.04 | Good quality, except CS4 discarded as location fluctuated |
| 2019 Autumn | - | - | - | No measurements |
| 6 February 2020 | W2020 | M9 | 0.79 | Good quality |
| Date | Parameter | CS1 (Left Bank) | CSA (Right Bank) | CS2 (Right Bank) | CSB | CS3 | CSC | CS4 |
|---|---|---|---|---|---|---|---|---|
| S2016 | samples | 680 | - | - | - | - | - | - |
| average D-A velocity (m/s) | 0.574 | - | - | - | - | - | - | |
| min D-A velocity (m/s) | 0.232 | - | - | - | - | - | - | |
| max D-A velocity (m/s) | 0.791 | - | - | - | - | - | - | |
| depth (m) | 0.92 | - | - | - | - | - | - | |
| A2016 | samples | 606 | 602 | 661 | 603 | 589 | 608 | 620 |
| average D-A velocity (m/s) | 0.505 | 0.340 | 0.537 | 0.651 | 0.427 | 0.302 | 0.515 | |
| min D-A velocity (m/s) | 0.226 | 0.202 | 0.327 | 0.418 | 0.102 | 0.022 | 0.287 | |
| max D-A velocity (m/s) | 1.102 | 0.754 | 0.684 | 0.774 | 0.765 | 0.87 | 0.665 | |
| depth (m) | 0.59 | 0.92 | 1.42 | 1.59 | 1.354 | 0.96 | 0.96 | |
| S2017 | samples | 598 | 571 | 592 | 597 | 589 | 672 | 595 |
| average D-A velocity (m/s) | 0.647 | 0.355 | 0.500 | 0.493 | 0.398 | 0.101 | 0.289 | |
| min D-A velocity (m/s) | 0.410 | 0.230 | 0.355 | 0.190 | 0.160 | 0.004 | 0.124 | |
| max D-A velocity (m/s) | 0.755 | 0.587 | 0.578 | 0.827 | 0.707 | 0.492 | 0.486 | |
| depth (m) | 0.72 | 1.05 | 1.53 | 1.78 | 1.12 | 1.314 | 1.43 | |
| A2017 | samples | - | 608 | 596 | 609 | 601 | 598 | 597 |
| average D-A velocity (m/s) | - | 0.435 | 0.620 | 0.667 | 0.122 | 0.351 | 0.306 | |
| min D-A velocity (m/s) | - | 0.202 | 0.324 | 0.406 | 0.002 | 0.117 | 0.096 | |
| max D-A velocity (m/s) | - | 0.598 | 0.763 | 0.791 | 0.505 | 0.673 | 0.468 | |
| depth (m) | - | 0.81 | 1.13 | 1.564 | 1.26 | 0.91 | 1.49 | |
| S2018 | samples | 473 | - | - | - | - | - | - |
| average D-A velocity (m/s) | 0.380 | - | - | - | - | - | - | |
| min D-A velocity (m/s) | 0.231 | - | - | - | - | - | - | |
| max D-A velocity (m/s) | 0.561 | - | - | - | - | - | - | |
| depth (m) | 1.07 | - | - | - | - | - | - | |
| A2018 | samples | 621 | - | - | - | - | - | - |
| average D-A velocity (m/s) | 0.527 | - | - | - | - | - | - | |
| min D-A velocity (m/s) | 0.67 | - | - | - | - | - | - | |
| max D-A velocity (m/s) | 0.309 | - | - | - | - | - | - | |
| depth (m) | 0.65 | - | - | - | - | - | - | |
| S2019 | samples | 591 | 299 | 267 | 299 | 287 | 364 | - |
| average D-A velocity (m/s) | 0.221 | 0.345 | 0.418 | 0.422 | 0.165 | 0.257 | - | |
| min D-A velocity (m/s) | 0.145 | 0.245 | 0.210 | 0.282 | 0.039 | 0.065 | - | |
| max D-A velocity (m/s) | 0.274 | 0.400 | 0.580 | 0.587 | 0.523 | 0.450 | - | |
| depth (m) | 0.93 | 1.28 | 1.54 | 1.73 | 0.71 | 1.20 | - |
| Date | Parameter | CS1 (Left Bank) | CS1 (Right Bank) | CSA (Left Bank) | CSA (Right Bank) | CS2 (Left Bank) | CS2 (Right Bank) | CSB | CS3 | CSC | CS4 |
|---|---|---|---|---|---|---|---|---|---|---|---|
| W2016 | samples | 663 | - | - | 671 | - | 677 | 593 | 591 | 567 | 590 |
| average D-A velocity (m/s) | 0.570 | - | - | 0.408 | - | 0.567 | 0.514 | 0.246 | 0.213 | 0.256 | |
| min D-A velocity (m/s) | 0.356 | - | - | 0 | - | 0.256 | 0.375 | 0.032 | 0.012 | 0.068 | |
| max D-A velocity (m/s) | 0.979 | - | - | 1.787 | - | 1.111 | 0.699 | 1.041 | 0.907 | 0.344 | |
| depth (m) | 0.43 | - | - | 0.39 | - | 0.50 | 0.61 | 0.67 | 0.61 | 0.55 | |
| , i.e., ice thickness (m) | 0.38 | - | - | 0.51 | - | 0.51 | 0.48 | 0.45 | 0.40 | 0.43 | |
| width of the ice-covered channel (m) | 8.04 | NMB | NMB | 17.99 | NMB | 5.95 | 7.57 | 8.93 | 11.67 | 12.72 | |
| 0.0072W1.33 (see Equation (1)) | 0.12 | - | - | 0.34 | - | 0.08 | 0.11 | 0.13 | 0.19 | 0.21 | |
| pressurized (P) vs. non-pressurized flow (N) (Equation (1)) | P | - | - | P | - | P | P | P | P | P | |
| W2017 | samples | 599 | - | 567 | 535 | - | 650 | 673 | 612 | 587 | 585 |
| average D-A velocity (m/s) | 0.378 | - | 0.261 | 0.165 | - | 0.313 | 0.334 | 0.271 | 0.235 | 0.208 | |
| min D-A velocity (m/s) | 0.226 | - | 0.115 | 0.084 | - | 0.175 | 0.230 | 0.08 | 0.085 | 0.106 | |
| max D-A velocity (m/s) | 0.532 | - | 0.344 | 0.249 | - | 0.551 | 0.533 | 0.613 | 0.555 | 0.440 | |
| depth (m) | 0.48 | - | 0.41 | 0.58 | - | 0.85 | 0.99 | 0.79 | 0.53 | 0.67 | |
| , i.e., ice thickness (m) | 0.35 | - | 0.40 | 0.42 | - | 0.44 | 0.33 | 0.44 | 0.5 | 0.44 | |
| width of the ice-covered channel (m) | 12.84 | 2.09 | 20.95 | NMB | NMB | 8.84 | 6.9 | 8.78 | 12.86 | 19.01 | |
| 0.0072W1.33 (see Equation (1)) | 0.22 | - | 0.41 | 0.41 | - | 0.13 | 0.09 | 0.13 | 0.22 | 0.36 | |
| pressurized (P) vs. non-pressurized flow (N) (Equation (1)) | P | - | N | P | - | P | P | P | P | P | |
| W2018 | samples | 604 | - | - | 625 | - | 592 | 593 | 621 | 577 | 577 |
| average D-A velocity (m/s) | 0.514 | - | - | 0.266 | - | 0.229 | 0.344 | 0.299 | 0.138 | 0.281 | |
| min D-A velocity (m/s) | 0.262 | - | - | 0.125 | - | 0.005 | 0.050 | 0.158 | 0.012 | 0.131 | |
| max D-A velocity (m/s) | 0.719 | - | - | 0.365 | - | 0.740 | 0.741 | 0.942 | 0.277 | 0.440 | |
| depth (m) | 0.54 | - | - | 0.51 | - | 0.62 | 0.35 | 0.90 | 0.56 | 0.59 | |
| , i.e., ice thickness (m) | 0.25 | - | - | 0.3 | - | 0.29 | 0.30 | 0.3 | 0.47 | 0.27 | |
| width of the ice-covered channel (m) | 13.93 | 6.97 | 4.98 | 9.04 | 5.89 | 4.9 | 8.02 | 10.14 | 12.32 | 15.51 | |
| 0.0072W1.33 (see Equation (1)) | 0.24 | - | - | 0.14 | - | 0.06 | 0.12 | 0.16 | 0.20 | 0.28 | |
| pressurized (P) vs. non-pressurized flow (N) (Equation (1)) | P | - | - | P | - | P | P | P | P | N | |
| W2019 | samples | 142 | - | 383 | - | - | 282 | 506 | 242 | 315 | 387 |
| average D-A velocity (m/s) | 0.019 | - | 0.250 | - | - | 0.086 | 0.070 | 0.051 | 0.102 | 0.100 | |
| min D-A velocity (m/s) | 0.001 | - | 0.000 | - | - | 0.002 | 0.001 | 0.004 | 0.000 | 0.004 | |
| max D-A velocity (m/s) | 0.178 | - | 2.166 | - | - | 0.640 | 0.853 | 0.194 | 1.409 | 0.494 | |
| depth (m) | 0.57 | - | 0.43 | - | - | 0.85 | 1.01 | 1.51 | 0.89 | 0.90 | |
| , i.e., ice thickness (m) | 0.31 | - | 0.3 | - | - | 0.41 | 0.35 | 0.25 | 0.38 | 0.34 | |
| width of the ice-covered channel (m) | 12 | 1.95 | 7.92 | 3 | NMB | 9.96 | 7.99 | 6.05 | 15.69 | 15.91 | |
| 0.0072W1.33 (see Equation (1)) | 0.20 | - | 0.11 | - | - | 0.15 | 0.11 | 0.08 | 0.28 | 0.29 | |
| pressurized (P) vs. non-pressurized flow (N) (Equation (1)) | P | - | P | - | - | P | P | P | P | P | |
| W2020 | samples | 352 | - | - | 322 | - | 311 | 318 | 353 | 562 | 506 |
| average D-A velocity (m/s) | 0.369 | - | - | 0.349 | - | 0.090 | 0.267 | 0.235 | 0.271 | 0.234 | |
| min D-A velocity (m/s) | 0.067 | - | - | 0.046 | - | 0.006 | 0.018 | 0.045 | 0.004 | 0.075 | |
| max D-A velocity (m/s) | 0.718 | - | - | 2.124 | - | 0.691 | 0.522 | 0.633 | 0.912 | 0.794 | |
| depth (m) | 0.34 | - | - | 0.35 | - | 0.77 | 0.80 | 0.66 | 0.47 | 0.47 | |
| , i.e., ice thickness (m) | 0.30 | - | - | 0.40 | - | 0.38 | 0.36 | 0.32 | 0.35 | 0.38 | |
| width of the ice-covered channel (m) | 23.88 | NMB | NMB | 15.75 | NMB | 9.66 | 8.89 | 9.01 | 15.82 | 16.00 | |
| 0.0072W1.33 (see Equation (1)) | 0.49 | - | - | 0.28 | - | 0.15 | 0.13 | 0.13 | 0.28 | 0.29 | |
| pressurized (P) vs. non-pressurized flow (N) (Equation (1)) | N | - | - | P | - | P | P | P | P | P |
| 2020 Sample | Dry Weight of the Sample (g) | Bedload (mg/(m·s)) | D10; D50; D90 (mm) | Critical Velocity for Incipient Motion (Erosion): D10; D50; D90 (m/s; [24]) |
|---|---|---|---|---|
| CS1 HS1 | 5.9 | 107.8 | Not sieved | Not analyzed |
| CS1 HS2 | 4.2 | 76.8 | Not sieved | Not analyzed |
| CS1 HS3 | 21.4 | 391.1 | 0.270; 0.427; 0.927 | 0.221; 0.246; 0.346 |
| CS2 HS1 | 0.7 | 12.8 | Not sieved | Not analyzed |
| CS2 HS2 | 2.5 | 45.7 | Not sieved | Not analyzed |
| CS3 HS1 | 2.1 | 38.4 | Not sieved | Not analyzed |
| CS3 HS2 | 1.7 | 31.1 | Not sieved | Not analyzed |
| CS4 HS1 | 147.6 | 2697.4 | 0.439; 0.788; 1.421 | 0.248; 0.318; 0.432 |
| CS4 HS2 | 79.6 | 1454.7 | Not sieved | Not analyzed |
| CS4 HS3 | 46.2 | 844.3 | Not sieved | Not analyzed |
| 2017 sample | 1.25 | 22.8 | 0.219; 0.500; 0.902 | 0.206; 0.260; 0.340 |
| Sample Name, Measurement Date | Color (mg/L Pt) | Turbidity (FTU) | Filtered Water Amount (mL) | TSS (mg/L) |
|---|---|---|---|---|
| PUL1, 1 September 2019 | 30 | 2 | 200 | 0.5 |
| PUL2, 1 September 2019 | 25 | 0 | 200 | 0 |
| PUL3, 1 September 2019 | 25 | 0 | 200 | 0 |
| PUL1, 20 May 2019 | 45 | 2 | 200 | 2.5 |
| PUL2, 20 May 2019 | 35 | 4 | 200 | 2 |
| PUL3, 21 May 2019 | Not enough sample left for the analysis | Not enough sample left for the analysis | 145 | 6.9 |
| PUL4, 21 May 2019 | 35 | 4 | 200 | 0 |
| PUL5, 22 May 2019 | 35 | 0 | 200 | 3 |
| PUL6, 22 May 2019 | 35 | 2 | 200 | 0.5 |
| PUL7, 23 May 2019 | 40 | 2 | 200 | 3 |
| PUL8, 23 May 2019 | 45 | 2 | 200 | 0.5 |
| PUL9, 24 May 2019 | 30 | 2 | 200 | 1 |
| PUL10, 24 May 2019 | 40 | 2 | 200 | 2 |
| PUL CS1 HS1, 9 February 2019 | 30 | 2 | 200 | 0 |
| PUL CS1 HS2, 9 February 2019 | 30 | 0 | 200 | 0 |
| PUL CS1 HS3, 9 February 2019 | 45 | 0 | 200 | 0.5 |
| PUL CS1 HS4, 9 February 2019 | 45 | 0 | 200 | 0 |
| PUL CS1 HS5, 9 February 2019 | 30 | 0 | 200 | 0 |
| PUL CS1 HS6, 9 February 2019 | 40 | 0 | 200 | 0 |
| PUL1, 10 September 2018 | 35 | 2 | 200 | 0 |
| PUL2, 10 September 2018 | 30 | 2 | 200 | 0 |
| PUL3, 10 September 2018 | 35 | 0 | 200 | 0 |
| PUL CS1 HS1, 9 February 2018 | 30 | 0 | 200 | 0 |
| PUL CS1 HS2, 9 February 2018 | 25 | 0 | 200 | 0 |
| PUL CS1 HS3, 9 February 2018 | 20 | 0 | 200 | 0 |
| PUL CSB HS1, 9 February 2018 | 30 | 0 | 200 | 0 |
| PUL CSB HS2, 9 February 2018 | 30 | 0 | 200 | 0 |
| PUL CSB HS3, 9 February 2018 | 35 | 0 | 200 | 0 |
| PUL CS4 HS1, 9 February 2018 | 25 | 0 | 200 | 0 |
| PUL CS4 HS2, 9 February 2018 | 25 | 0 | 200 | 0 |
| PUL CS4 HS3, 9 February 2018 | 25 | 0 | 200 | 0 |
| PUL1 VS, 25 May 2018 | 35 | 4 | 200 | 6.5 |
| PUL2 VS, 25 May 2018 | 50 | 4 | 200 | 6.5 |
| PUL3 VS, 25 May 2018 | 45 | 4 | 200 | 7.5 |
| UAV1, 7 September 2017 | 40 | 2 | 200 | 0 |
| UAV2, 7 September 2017 | 45 | 0 | 200 | 0 |
| UAV3, 7 September 2017 | 45 | 0 | 200 | 0 |
| Measurement | CS1 | CSB | CS4 | |||||||||
|---|---|---|---|---|---|---|---|---|---|---|---|---|
| Sh | Sl | Wh | Wl | Sh | Sl | Wh | Wl | Sh | Sl | Wh | Wl | |
| W2016 | 3 | 1 | 5 | 3 | 7 | 6 | 8 | 4 | 0 | 0 | 4 | 0 |
| S2016 | 9 | 3 | 10 | 8 | ND | ND | ND | ND | ND | ND | ND | ND |
| A2016 | 12 | 3 | 5 | 13 | 3 | 1 | 12 | 6 | 9 | 4 | 6 | 6 |
| W2017 | 0 | 2 | 9 | 9 | 0 | 0 | 4 | 4 | 10 | 9 | 3 | 3 |
| S2017 | 13 | 12 | 8 | 7 | 2 | 6 | 17 | 8 | 8 | 6 | 15 | 11 |
| A2017 | ND | ND | ND | ND | 5 | 3 | 11 | 10 | 14 | 10 | 4 | 2 |
| W2018 | 4 | 5 | 9 | 3 | 2 | 3 | 11 | 4 | 3 | 2 | 10 | 3 |
| S2018 | 9 | 3 | 9 | 9 | ND | ND | ND | ND | ND | ND | ND | ND |
| A2018 | 10 | 7 | 8 | 6 | ND | ND | ND | ND | ND | ND | ND | ND |
| W2019 | 0 | 0 | 1 | 2 | 1 | 2 | 3 | 3 | 6 | 0 | 15 | 7 |
| S2019 | 6 | 8 | 16 | 8 | 5 | 6 | 4 | 4 | ND | ND | ND | ND |
| W2020 | 3 | 6 | 11 | 3 | 7 | 5 | 7 | 1 | 7 | 3 | 0 | 0 |
| winter average | 2.3 | 2.7 | 7.7 | 5 | 3 | 3 | 7.7 | 4 | 4.3 | 3.7 | 5.7 | 2 |
| spring average | 7 | 5.8 | 8.5 | 5.8 | 3.5 | 6 | 10.5 | 6 | - | - | - | - |
| autumn average | 11 | 5 | 6.5 | 9.5 | 4 | 2 | 11.5 | 8 | 11.5 | 7 | 5 | 4 |
| Measurement | CS1 | CSA | CS2 | CSB | CS3 | CSC | CS4 |
|---|---|---|---|---|---|---|---|
| (A) streamwise velocities | |||||||
| S2017 | Sh = 13 Sl = 12 Wh = 8 Wl = 7 | Sh = 3 Sl = 2 Wh = 13 Wl = 13 | Sh = 2 Sl = 5 Wh = 16 Wl = 12 | Sh = 2 Sl = 6 Wh = 17 Wl = 8 | Sh = 5 Sl = 3 Wh = 11 Wl = 8 | Sh = 11 Sl = 9 Wh = 8 Wl = 5 | Sh = 8 Sl = 6 Wh = 15 Wl = 11 |
| W2018 | Sh = 4 Sl = 5 Wh = 9 Wl = 3 | Sh = 4 Sl = 2 Wh = 9 Wl = 2 | Sh = 7 Sl = 9 Wh = 1 Wl = 5 | Sh = 2 Sl = 3 Wh = 11 Wl = 4 | Sh = 4 Sl = 3 Wh = 9 Wl = 5 | Sh = 0 Sl = 0 Wh = 4 Wl = 1 | Sh = 3 Sl = 2 Wh = 10 Wl = 3 |
| vertical velocities | |||||||
| S2017 | Sh = 10 Sl = 12 Wh = 6 Wl = 4 | Sh = 8 Sl = 4 Wh = 6 Wl = 11 | Sh = 5 Sl = 11 Wh = 16 Wl = 5 | Sh = 11 Sl = 11 Wh = 9 Wl = 7 | Sh = 9 Sl = 10 Wh = 12 Wl = 7 | Sh = 10 Sl = 4 Wh = 6 Wl = 2 | Sh = 11 Sl = 11 Wh = 7 Wl = 4 |
| W2018 | Sh = 4 Sl = 6 Wh = 7 Wl = 5 | Sh = 1 Sl = 1 Wh = 5 Wl = 4 | Sh = 4 Sl = 1 Wh = 2 Wl = 3 | Sh = 3 Sl = 1 Wh = 6 Wl = 3 | Sh = 3 Sl = 8 Wh = 9 Wl = 6 | Sh = 1 Sl = 1 Wh = 6 Wl = 1 | Sh = 4 Sl = 3 Wh = 4 Wl = 4 |
| (B) streamwise velocities | |||||||
| S2017 | Sh = 1.3 Sl = 1.2 Wh = 0.8 Wl = 0.7 | Sh = 0.3 Sl = 0.2 Wh = 1.4 Wl = 1.4 | Sh = 0.2 Sl = 0.5 Wh = 1.6 Wl = 1.2 | Sh = 0.2 Sl = 0.6 Wh = 1.7 Wl = 0.8 | Sh = 0.5 Sl = 0.3 Wh = 1.1 Wl = 0.8 | Sh = 1.0 Sl = 0.8 Wh = 0.7 Wl = 0.5 | Sh = 0.8 Sl = 0.6 Wh = 1.5 Wl = 1.1 |
| W2018 | Sh = 0.4 Sl = 0.5 Wh = 0.9 Wl = 0.3 | Sh = 0.4 Sl = 0.2 Wh = 0.9 Wl = 0.2 | Sh = 0.7 Sl = 0.9 Wh = 0.1 Wl = 0.5 | Sh = 0.2 Sl = 0.3 Wh = 1.1 Wl = 0.4 | Sh = 0.4 Sl = 0.3 Wh = 0.9 Wl = 0.5 | Sh = 0 Sl = 0 Wh = 0.4 Wl = 0.1 | Sh = 0.3 Sl = 0.2 Wh = 1.0 Wl = 0.3 |
| vertical velocities | |||||||
| S2017 | Sh = 1.0 Sl = 1.2 Wh = 0.6 Wl = 0.4 | Sh = 0.8 Sl = 0.4 Wh = 0.6 Wl = 1.2 | Sh = 0.5 Sl = 1.1 Wh = 1.6 Wl = 0.5 | Sh = 1.1 Sl = 1.1 Wh = 0.9 Wl = 0.7 | Sh = 0.9 Sl = 1.0 Wh = 1.2 Wl = 0.7 | Sh = 0.9 Sl = 0.4 Wh = 0.5 Wl = 0.2 | Sh = 1.1 Sl =1.1 Wh = 0.7 Wl = 0.4 |
| W2018 | Sh = 0.4 Sl = 0.6 Wh = 0.7 Wl = 0.5 | Sh = 0.1 Sl = 0.1 Wh = 0.5 Wl = 0.4 | Sh = 0.4 Sl = 0.1 Wh = 0.2 Wl = 0.3 | Sh = 0.3 Sl = 0.1 Wh = 0.6 Wl = 0.3 | Sh = 0.3 Sl = 0.8 Wh = 0.9 Wl = 0.6 | Sh = 0.1 Sl = 0.1 Wh = 0.6 Wl = 0.1 | Sh = 0.4 Sl =0.3 Wh = 0.4 Wl = 0.4 |
© 2020 by the authors. Licensee MDPI, Basel, Switzerland. This article is an open access article distributed under the terms and conditions of the Creative Commons Attribution (CC BY) license (http://creativecommons.org/licenses/by/4.0/).
Share and Cite
Lotsari, E.; Dietze, M.; Kämäri, M.; Alho, P.; Kasvi, E. Macro-Turbulent Flow and Its Impacts on Sediment Transport Potential of a Subarctic River during Ice-Covered and Open-Channel Conditions. Water 2020, 12, 1874. https://doi.org/10.3390/w12071874
Lotsari E, Dietze M, Kämäri M, Alho P, Kasvi E. Macro-Turbulent Flow and Its Impacts on Sediment Transport Potential of a Subarctic River during Ice-Covered and Open-Channel Conditions. Water. 2020; 12(7):1874. https://doi.org/10.3390/w12071874
Chicago/Turabian StyleLotsari, Eliisa, Michael Dietze, Maria Kämäri, Petteri Alho, and Elina Kasvi. 2020. "Macro-Turbulent Flow and Its Impacts on Sediment Transport Potential of a Subarctic River during Ice-Covered and Open-Channel Conditions" Water 12, no. 7: 1874. https://doi.org/10.3390/w12071874
APA StyleLotsari, E., Dietze, M., Kämäri, M., Alho, P., & Kasvi, E. (2020). Macro-Turbulent Flow and Its Impacts on Sediment Transport Potential of a Subarctic River during Ice-Covered and Open-Channel Conditions. Water, 12(7), 1874. https://doi.org/10.3390/w12071874

