High-Resolution, Integrated Hydrological Modeling of Climate Change Impacts on a Semi-Arid Urban Watershed in Niamey, Niger
Abstract
1. Introduction
2. Materials and Methods
2.1. Study Area
2.2. Integrated Hydrological Model
2.2.1. Mathematical and Numerical Model
2.2.2. Discretization and Calibration
2.3. Hydroclimatic Data
2.3.1. Historical Climate Data
2.3.2. Hydrological Data
2.3.3. Climate Projections
2.3.4. Bias Correction
3. Results and Discussion
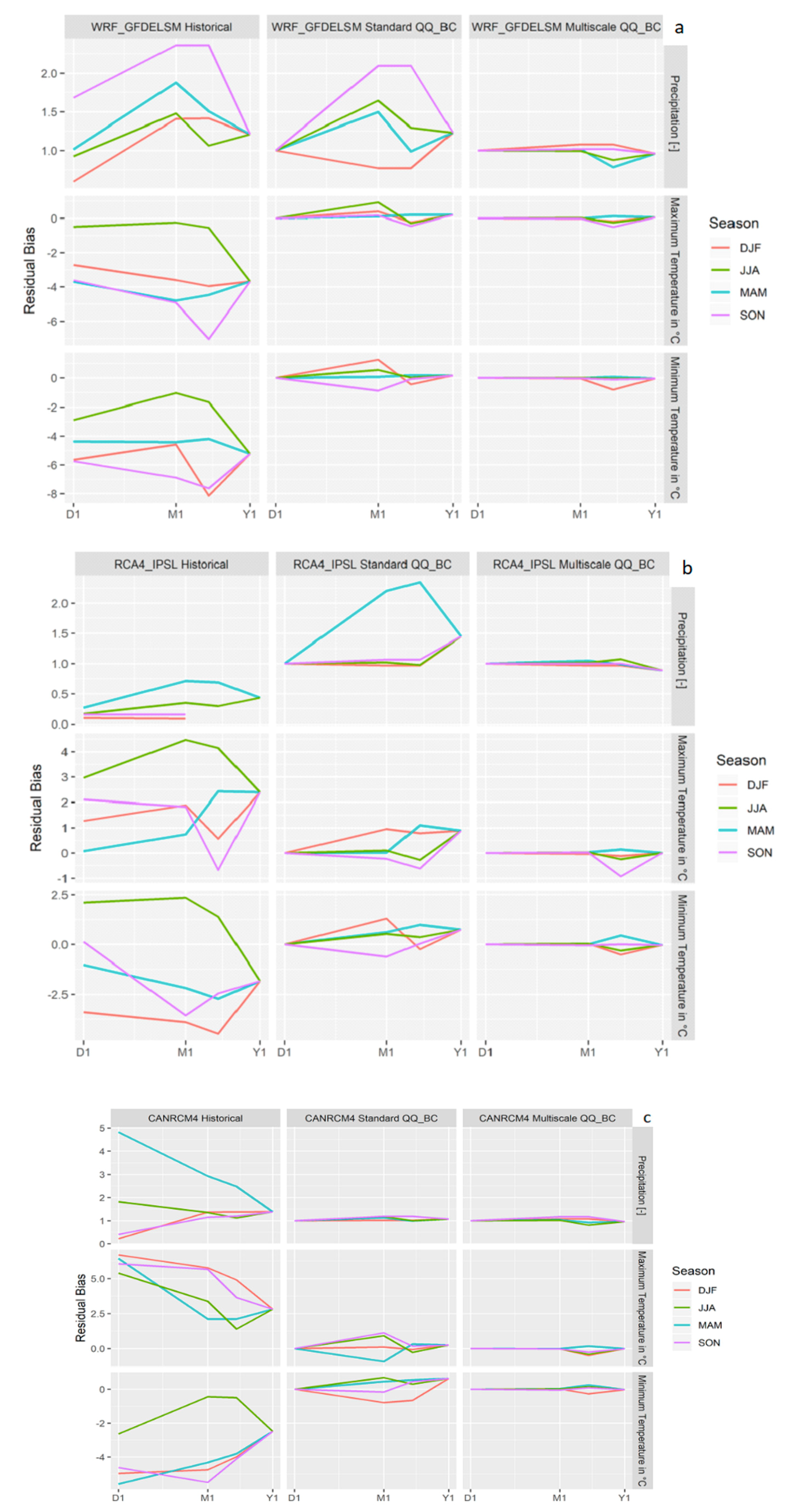
3.1. Biases in Uncorrected and Corrected Historical Climate Simulations
3.2. Validation of Historical Simulations against Observed Groundwater Levels
3.3. Validation of Historical Simulations against Surface Flowrate
3.4. Projected Changes in Local Climate
3.5. Changes in Minimum Environmental Flow
3.6. Changes in Depth to Groundwater Table
3.7. Implications of Changes in Adaptation Strategies
4. Summary and Conclusions
Author Contributions
Funding
Conflicts of Interest
References
- Niger PRSP. Accelerated development and poverty reduction strategy, 2008–2012. In Combating Poverty, a Challenge for All; International Monetary Fund: Niamey, Niger, 2008. [Google Scholar]
- INS. Statistical Demographic Yearbook; National Institute of Statistics Niger: Niamey, Niger, 2012. [Google Scholar]
- United Nations Framework Convention on Climate Change (UNFCC 2009): Climate Change—Impacts, Vulnerabilities and Adaptation in Developing Countries. Available online: www.unfccc.int (accessed on 14 June 2009).
- Kundzewicz, Z.W.; Mata, L.J.; Arnell, N.; Döll, P.; Kabat, P.; Jiménez, B.; Miller, K.; Oki, T.; Şen, Z.; Shiklomanov, I. Freshwater resources and their management. In Climate Change 2007: Impacts, Adaptation and Vulnerability. Contribution of Working Group II to the Fourth Assessment Report of the Intergovernmental Panel on Climate Change; Parry, M.L., Canziani, O.F., Palutikof, J.P., van der Linden, P.J., Hanson, C.E., Eds.; Cambridge University Press: Cambridge, UK, 2007; pp. 173–210. [Google Scholar]
- Kundzewicz, Z.W.; Krysanov, V.; Benestad, R.E.; Hov, Ø.; Piniewski, M.; Otto, I.M. Uncertainty in climate change impacts on water resources. Environ. Sci. Policy 2018, 79, 1–8. [Google Scholar] [CrossRef]
- Shen, M.; Chen, J.; Zhuan, M.; Chen, H.; Xu, C.-Y.; Xiong, L. Estimating uncertainty and its temporal variation related to global climate models in quantifying climate change impacts on hydrology. J. Hydrol. 2018, 556, 10–24. [Google Scholar] [CrossRef]
- Clark, P.M.; Wilby, L.R.; Gutmann, D.E.; Vano, A.J.; Gangopadhyay, S.; Wood, W.A.; Fowler, J.H.; Prudhomme, C.; Arnold, R.J.; Brekke, D.L. Characterizing uncertainty of the hydrologic impacts of climate change. Curr. Clim. Chang. Rep. 2016, 2, 55–64. [Google Scholar] [CrossRef]
- Goderniaux, P.; Brouyère, S.; Wildemeersch, S.; Therrien, R.; Dassargues, A. Uncertainty of climate change impact on groundwater reserves—Application to a chalk aquifer. J. Hydrol. 2015, 528, 108–121. [Google Scholar] [CrossRef]
- Refsgaard, J.C.; Sonnenborg, T.O.; Butts, M.B.; Christensen, J.H.; Christensen, S.; Drews, M.; Vilhelmsen, T.N. Climate change impacts on groundwater hydrology—Where are the main uncertainties and can they be reduced? Hydrol. Sci. J. 2016, 61, 2312–2324. [Google Scholar] [CrossRef]
- Moeck, C.; Brunner, P.; Hunkeler, D. The influence of model structure on groundwater recharge rates in climate-change impact studies. Hydrogeol. J. 2016, 24, 1171–1184. [Google Scholar] [CrossRef]
- Kurylyk, B.L.; MacQuarrie, K.T.B. The uncertainty associated with estimating future groundwater recharge: A summary of recent research and an example from a small unconfined aquifer in a northern humid-continental climate. J. Hydrol. 2013, 492, 244–253. [Google Scholar] [CrossRef]
- Stoll, S.; Hendricks-Franssen, H.J.; Butts, M.; Kinzelbach, W. Analysis of the impact of climate change on groundwater related hydrological fluxes: A multimodel approach including different downscaling methods. Hydrol. Earth Syst. Sci. 2011, 15, 21–38. [Google Scholar] [CrossRef]
- Bastola, S.; Murphy, C.; Sweeney, J. The role of hydrological modelling uncertainties in climate change impact assessments of Irish river catchments. Adv. Water Resour. 2011, 34, 562–576. [Google Scholar] [CrossRef]
- Van Roosmalen, L.; Sonnenborg, T.O.; Jensen, K.H. Impact of climate and land use change on the hydrology of a large-scale agricultural catchment. Water Resour. Res. 2009, 45, 1–18. [Google Scholar] [CrossRef]
- Bates, B.C.; Kundzewicz, Z.W.; Wu, S.; Palutikof, J.P. Climate Change and Water Technical Paper; Intergovernmental Panel on Climate Change: Geneva, Switzerland, 2008. [Google Scholar]
- Taylor, R.G.; Koussis, A.; Tindimugaya, C. Groundwater and climate in Africa: A review. Hydrol. Sci. J. 2009, 54, 655–664. [Google Scholar] [CrossRef]
- Nkhonjera, G.K.; Dinka, O.M. Significance of direct and indirect impacts of climate change on groundwater resources in the Olifants River basin: A review. Glob. Planet. Chang. 2017, 158, 72–82. [Google Scholar] [CrossRef]
- Armandine Les Landes, A.; Aquilina, L.; De Ridder, J.; Longuevergne, L.; Pagé, C.; Goderniaux, P. Investigating the respective impacts of groundwater exploitation and climate change on wetland extension over 150 years. J. Hydrol. 2014, 509, 367–378. [Google Scholar] [CrossRef]
- Holman, I.; Allen, D.; Cuthbert, M.; Goderniaux, P. Towards best practice for assessing the impacts of climate change on groundwater. Hydrogeol. J. 2012, 20, 1–4. [Google Scholar] [CrossRef]
- Goderniaux, P.; Brouyère, S.; Fowler, H.J.; Blenkinsop, S.; Therrien, R.; Orban, P.; Dassargues, A. Large scale surface-subsurface hydrological model to assess climate change impacts on groundwater reserves. J. Hydrol. 2009, 373, 122–138. [Google Scholar] [CrossRef]
- Green, T.R.; Taniguchi, M.; Kooi, H.; Gurdak, J.J.; Allen, D.M.; Hiscock, K.M.; Treidel, H.; Aureli, A. Beneath the surface of global change: Impacts of climate change on groundwater. J. Hydrol. 2011, 405, 532–560. [Google Scholar] [CrossRef]
- Erler, A.R.; Frey, S.K.; Khader, O.; d’Orgeville, M.; Park, Y.-J.; Hwang, H.-T.; Lapen, D.R.; Peltier, W.R.; Sudicky, E.A. Evaluating climate change impacts on soil moisture and groundwater resources within a lake affected region. Water Resour. Res. 2019, 55, 8142–8163. [Google Scholar] [CrossRef]
- Goderniaux, P.; Brouyère, S.; Blenkinsop, S.; Burton, A.; Fowler, H.J.; Orban, P.; Dassargues, A. Modeling climate change impacts on groundwater resources using transient stochastic climatic scenarios. Water Resour. Res. 2011, 12. [Google Scholar] [CrossRef]
- Sulis, M.; Paniconi, C.; Marrocu, M.; Huard, D.; Chaumont, D. Hydrologic response to multimodel climate output using a physically based model of groundwater/surface water interactions. Water Resour. Res. 2012, 48, 1–18. [Google Scholar] [CrossRef]
- MacDonald, A.M.; Bonsor, H.C.; Dochartaigh, B.É.Ó.; Taylor, R.G. Quantitative maps of groundwater resources in Africa. Environ. Res. Lett. 2012, 7, 1–7. [Google Scholar] [CrossRef]
- Toure, A.; Diekkrüger, B.; Mariko, A. Impact of climate change on groundwater resources in the Klela Basin, Southern Mali. Hydrology 2016, 3, 17. [Google Scholar] [CrossRef]
- Nyenje, P.M.; Batelaan, O. Estimating the effects of climate change on groundwater recharge and baseflow in the upper Ssezibwa catchment, Uganda. Hydrol. Sci. J. 2009, 54, 713–726. [Google Scholar] [CrossRef]
- Desconnets, J.C.; Taupin, J.D.; Lebel, T.; Leduc, C. Hydrology of the Hapex-Sahel Central Super-Site: Surface water drainage and aquifer recharge through the pool systems. J. Hydrol. 1997, 188–189, 155–178. [Google Scholar] [CrossRef]
- Leduc, C.; Bromley, J.; Schroeter, P. Water table fluctuation and recharge in semi-arid climate: Some results of the HAPEX-Sahel hydrodynamic survey (Niger). J. Hydrol. 1997, 188–189, 123–138. [Google Scholar] [CrossRef]
- Favreau, G. Characterization and Modelling of a Rising Water Table in the Sahel: Dynamics and Geochemistry of the Dantiandou Kori Natural Piezometric Depression (Southwest Niger). Ph.D. Thesis, Univ Paris XI, Orsay, France, 2000. [Google Scholar]
- Favreau, G.; Nazoumou, Y.; Leblanc, M.; Guero, A.; Goni, I.B. Groundwater resources increase in the Iullemmeden Basin, WestAfrica. In Climate Change Effects on Groundwater Resources: A Global Synthesis of Findings and Recommendations; Treidel, H., Martin-Bordes, J.L., Gurdak, J.J., Eds.; International Contributions to Hydrogeology 27; CRC Press: Leiden, The Netherlands, 2012; pp. 113–128. [Google Scholar]
- Milly, P.C.D.; Dunne, K.A. A hydrologic drying bias in water-resource impact analyses of anthropogenic climate change. J. Am. Water Resour. Assoc. 2017, 53, 822–838. [Google Scholar] [CrossRef]
- Chen, J.; Sudicky, E.A.; Davison, J.H.; Frey, S.K.; Park, Y.-J.; Hwang, H.-T.; Erler, A.R.; Berg, S.J.; Callaghan, M.V.; Miller, K.; et al. Towards a climate-driven simulation of coupled surface-subsurface hydrology at the continental scale: A Canadian example. Can. Water Resour. J. 2019. [Google Scholar] [CrossRef]
- Soumaïla, A.; Konaté, M. Characterization of the deformations in the Birimian (Palaeoproterozoic) belt of the Diagorou-Darbani (Nigerien Lipatako, West Africa). Afr. Geosci. Rev. 2005, 12, 161–178. [Google Scholar]
- Machens, E. Contribution to the Study of the Crystalline Basement and Sedimentary Formations of the West of the Republic of Niger Region; BRGM: Orléans, France, 1973. [Google Scholar]
- Perotti, L.; Dino, A.G.; Lasagna, M.; Konaté, M.; Spadafora, F.; Yadji, G.; Tankari, D.-B.A.; De Luca, A.D. Monitoring of urban growth and its related environmental impacts: Niamey case study (Niger). Energy Procedia 2016, 97, 37–43. [Google Scholar] [CrossRef]
- Abdou Boko, B.; Konaté, M.; Yalo, N.; Berg, S.J.; Erler, A.R.; Hwang, H.-T.; Khader, O.; Sudicky, E.A. Characterization of groundwater-surface water interactions using high resolution integrated 3D hydrological model in semiarid urban watershed of Niamey, Niger. J. Afr. Earth Sci. 2020, 162, 103739. [Google Scholar]
- Bigi, V.; Pezzoli, A.; Maurizio, R. Past and future precipitation trend analysis for the City of Niamey (Niger): An overview. Climate 2018, 6, 73–89. [Google Scholar] [CrossRef]
- Ramier, D.; Boulain, N.; Cappelaere, B.; Timouk, F.; Rabanit, M.; Lloyd, C.R.; Boubkraoui, S.; Metayer, F.; Descroix, L.; Wawrzyniak, V. Towards an understanding of coupled physical and biological processes in the cultivated Sahel: 1. energy and water. J. Hydrol. 2009, 375, 204–216. [Google Scholar] [CrossRef]
- Aquanty Inc. HGS User Manual. Available online: https://static1.squarespace.com/static/54611cc8e4b0f88a2c1abc57/t/59cea33846c3c4384b8e5de1/1506714438873/hydrosphere_user.pdf (accessed on 15 October 2018).
- Hwang, H.T.; Park, Y.-J.; Sudicky, E.A.; Forsyth, P.A. A parallel computational framework to solve flow and transport in integrated surface–subsurface hydrologic systems. Environ. Model. Softw. 2014, 61, 39–58. [Google Scholar] [CrossRef]
- Hagemann, S.; Chen, C.; Clark, D.; Folwell, S.; Gosling, S.N.; Haddeland, I.; Hannasaki, N.; Heinke, J.; Ludwig, F.; Voss, F.; et al. Climate change impact on available water resources obtained using multiple global climate and hydrology models. Earth Syst. Dyn. 2013, 4, 129–144. [Google Scholar] [CrossRef]
- Kristensen, K.J.; Jensen, S.E. A model for estimating actual evapotranspiration from potential evapotranspiration. Hydrol. Res. 1975, 6, 170–188. [Google Scholar] [CrossRef]
- Hwang, H.-T.; Park, Y.-J.; Frey, S.K.; Berg, S.J.; Sudicky, E.A. A simple iterative method for estimating evapotranspiration with integrated surface/subsurface flow models. J. Hydrol. 2015, 531, 949–959. [Google Scholar] [CrossRef]
- Hwang, H.-T.; Park, Y.-J.; Sudicky, E.A.; Berg, S.J.; McLaughlin, R.; Jones, J.P. Understanding the water balance paradox in the Athabasca River Basin, Canada. Hydrol. Process. 2018, 32, 729–746. [Google Scholar] [CrossRef]
- Droogers, P.; Richard, A.G. Estimating reference evapotranspiration under inaccurate data conditions. Irrig. Drain. Syst. 2002, 16, 33–45. [Google Scholar] [CrossRef]
- Heinzeller, D.; Dieng, D.; Smiatek, G.; Olusegun, C.; Klein, C.; Hamann, I.; Salack, S.; Bliefernicht, J.; Kunstmann, H. The WASCAL high-resolution regional climate simulation ensemble for West Africa: Concept, dissemination and assessment. Earth Syst. Sci. Data 2018, 10, 815–835. [Google Scholar] [CrossRef]
- Mascaro, G.; White, D.D.; Westerhoff, P.; Bliss, N. Performance of the CORDEX-Africa regional climate simulations in representing the hydrological cycle of the Niger River basin. J. Geophys. Res. Atmos. 2015, 120, 12425–12444. [Google Scholar] [CrossRef]
- Hanel, M.; Kozín, R.; Hermanovský, M.; Roub, R. An R package for assessment of statistical downscaling methods for hydrological climate change impact studies. Environ. Model. Softw. 2017, 95, 22–28. [Google Scholar] [CrossRef]
- Hassane, A.B.; Christian, L.; Favreau, G.; Barbara, A.B.; Thomas, M. Impacts of a large Sahelian city on groundwater hydrodynamics and quality: Example of Niamey (Niger). Hydrogeol. J. 2016, 24, 407–423. [Google Scholar] [CrossRef]
- Lebel, T.; Ali, A. Recent trends in the Central and Western Sahel rainfall regime (1990–2007). J. Hydrol. 2009, 375, 52–64. [Google Scholar] [CrossRef]
- Grijsen, J.G.; Tarhule, A.; Brown, C.; Ghile, Y.B.; Taner, Ü.; Talbi-Jordan, A.; Doffou, H.N.; Guero, A.; Dessouassi, R.Y.; Kone, S.; et al. Climate Risk Assessment for Water Resources Development in the Niger River Basin Part II: Runoff Elasticity and Probabilistic Analysis. In Climate Variability—Regional and Thematic Patterns; Tarhule, A., Ed.; IntechOpen: Londony, UK, 2013; pp. 57–72. Available online: https://www.intechopen.com/books/climate-variability-regional-and-thematic-patterns/climate-risk-assessment-for-water-resources-development-in-the-niger-river-basin-part-ii-runoff-elas (accessed on 25 January 2020).
- Barthel, R.; Banzhaf, S. Groundwater and surface water interaction at the regional-scale: A review with focus on regional integrated models. Water Resour. Manag. 2016, 30, 1–32. [Google Scholar] [CrossRef]
- Kollet, S.; Sulis, M.; Maxwell, R.M.; Paniconi, C.; Putti, M.; Bertoldi, G.; Coon, E.T.; Cordano, E.; Endrizzi, S.; Kikinzon, E.; et al. The integrated hydrologic model intercomparison project, IH-MIP2: A second set of benchmark results to diagnose integrated hydrology and feedbacks. Water Resour. Res. 2017, 53, 867–890. [Google Scholar] [CrossRef]











| Institution | RCM | GCM | Resolution |
|---|---|---|---|
| Canadian Centre for Climate Modelling and Analysis | CanRCM4 | CanESM2 | 50 km |
| Institut Pierre-Simon Laplace, France | RCA4 | IPSL-CM5A | 50 km |
| West African Science Service Center on Climate Change and Adapted Land Use (WASCAL) | WRFV3.5.1 | GFDL-ESM2M | 12 km |
| Well Name | Aquifer Type | Altitude (m) | Simulated Observed Historical Heads (m.a.s.l.) | Distance (km) | CANRCM4 (m.a.s.l.) | RCA4 (m.a.s.l.) | WRF (m.a.s.l.) |
|---|---|---|---|---|---|---|---|
| Mairie Garage | Fractured Granites | 220.6 | 206.0 | 206.7 | 206.8 | 207.4 | |
| Eglise Garbado | Fractured Schistes | 221.7 | 201.8 | 3.2 | 202.7 | 203.8 | 205.0 |
| Taladje | Fractured Quartzite | 225.0 | 199.4 | 3.5 | 200.1 | 201.1 | 202.3 |
| Timire | CT3 | 210.0 | 189.2 | 7.0 | 189.7 | 189.5 | 189.9 |
| Historical Runoff Scenario | Mid-Century (2020–2049) MEF Duration (days) | |
| 2020–2030 Period | 2030–2045 Period | |
| CANRCM4 | 53 | 30 |
| RCA4 | 70 | 31 |
| WRF | 76 | 28 |
| −10% Runoff Reduction Scenario | Mid-Century (2020–2049) MEF Average Duration (days) | |
| 2020–2030 Period | 2030–2045 Period | |
| CANRCM4 | 54 | 33 |
| RCA4 | 88 | 32 |
| WRF | 96 | 32 |
© 2020 by the authors. Licensee MDPI, Basel, Switzerland. This article is an open access article distributed under the terms and conditions of the Creative Commons Attribution (CC BY) license (http://creativecommons.org/licenses/by/4.0/).
Share and Cite
Boko, B.A.; Konaté, M.; Yalo, N.; Berg, S.J.; Erler, A.R.; Bazié, P.; Hwang, H.-T.; Seidou, O.; Niandou, A.S.; Schimmel, K.; et al. High-Resolution, Integrated Hydrological Modeling of Climate Change Impacts on a Semi-Arid Urban Watershed in Niamey, Niger. Water 2020, 12, 364. https://doi.org/10.3390/w12020364
Boko BA, Konaté M, Yalo N, Berg SJ, Erler AR, Bazié P, Hwang H-T, Seidou O, Niandou AS, Schimmel K, et al. High-Resolution, Integrated Hydrological Modeling of Climate Change Impacts on a Semi-Arid Urban Watershed in Niamey, Niger. Water. 2020; 12(2):364. https://doi.org/10.3390/w12020364
Chicago/Turabian StyleBoko, Boubacar Abdou, Moussa Konaté, Nicaise Yalo, Steven J. Berg, Andre R. Erler, Pibgnina Bazié, Hyoun-Tae Hwang, Ousmane Seidou, Albachir Seydou Niandou, Keith Schimmel, and et al. 2020. "High-Resolution, Integrated Hydrological Modeling of Climate Change Impacts on a Semi-Arid Urban Watershed in Niamey, Niger" Water 12, no. 2: 364. https://doi.org/10.3390/w12020364
APA StyleBoko, B. A., Konaté, M., Yalo, N., Berg, S. J., Erler, A. R., Bazié, P., Hwang, H.-T., Seidou, O., Niandou, A. S., Schimmel, K., & Sudicky, E. A. (2020). High-Resolution, Integrated Hydrological Modeling of Climate Change Impacts on a Semi-Arid Urban Watershed in Niamey, Niger. Water, 12(2), 364. https://doi.org/10.3390/w12020364

