Performance of Soil Moisture Sensors in Florida Sandy Soils
Abstract
1. Introduction
2. Materials and Methods
2.1. Sensor Description
2.2. Study Sites
2.3. Soil Sampling and Physical Characterization
2.4. Experimental Setup
2.5. Data Analysis
3. Results and Discussion
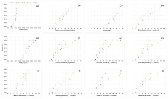
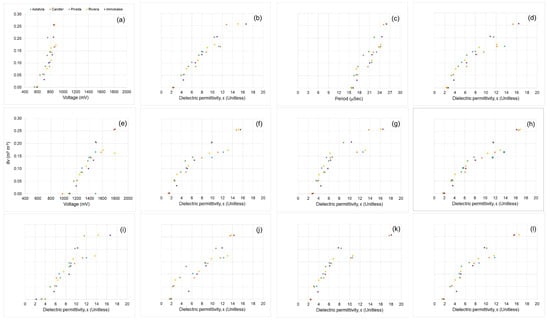
3.1. Sensor Accuracy
3.2. Soil-Specific Calibration Equations
4. Conclusions
Author Contributions
Funding
Acknowledgments
Conflicts of Interest
References
- Abba, S.; Namkusong, J.W.; Lee, J.-A.; Crespo, M.L. Design and performance evaluation of a low-cost autonomous sensos interface for a smart IoT-based irrigation monitoring and control system. Sensors 2019, 19, 3643. [Google Scholar] [CrossRef] [PubMed]
- Bjorneberg, D.L. Irrigation Methods; Reference Module in Earth Systems and Environmental Sciences. 2013; pp. 1–9. Available online: https://eprints.nwisrl.ars.usda.gov/1568/1/1524.pdf (accessed on 30 September 2019).
- Sui, R. Irrigation scheduling using soil moisture sensors. J. Agr. Sci. 2018, 10, 1–11. [Google Scholar] [CrossRef]
- Vaz, C.M.P.; Jones, S.; Meding, M.; Tuller, M. Evaluation of standard calibration functions for eight electromagnetic soil moisture sensors. Vadose Zone J. 2013, 12, 1–16. [Google Scholar] [CrossRef]
- Ojo, E.R.; Bullock, P.R.; Fitzmaurice, J. Field performance of five soil moisture instruments in heavy clay soils. Soil Sci. Soc. Am. J. 2015, 79, 20–29. [Google Scholar]
- Datta, S.; Taghvaeian, S.; Ochsner, T.E.; Moriasi, D.; Gowda, P.; Steiner, J.L. Performance assessment of five different soil moisture sensors under irrigated field conditions in Oklahoma. Sensors 2018, 18, 3786. [Google Scholar] [CrossRef] [PubMed]
- Seyfried, M.S.; Murdock, M.D. Measurement of soil water content with a 50-MHz soil dielectric sensor. Soil Sci. Soc. Am. J. 2004, 68, 394–403. [Google Scholar] [CrossRef]
- Gnatowski, T.; Szatyłowicz, J.; Pawluskiewicz, B.; Oleszczuk, R.; Janicka, M.; Papierowska, E.; Szejba, D. Field calibration of TDR to assess the soil moisture of drained peatland surface layers. Water 2018, 10, 1842. [Google Scholar] [CrossRef]
- Salgado, H.; Romay, C.; Zabala, S.; Genova, L. Calibración de campo de un sensor dieléctrico para suelos en la Provincia de Buenos Aires. Buenos Aires, Argentina: Universidad de Buenos Aires. 2012. Available online: http://www.riegoyfertirriego.com.ar/VI_Jornadas/VI_JARF_TrabajosCompletos/Salgado.pdf (accessed on 30 September 2019).
- Banerjee, I. Low-k interlayer dielectrics. Encycl. Mater. Sci. Techno. 2001, 4644–4651. [Google Scholar]
- Normand, B.; Takenouti, H.; Keddam, M.; Liao, H.; Monteil, G.; Coddet, C. Electrochemical impedance spectroscopy and dielectric properties of polymer: application to PEEK thermally sprayed coating. Electrochim. Acta 2004, 49, 2981–2986. [Google Scholar] [CrossRef]
- Evett, S.R. Soil moisture seensing: comparing the technologies. Irrigation TODAY 2017, 3, 14. [Google Scholar]
- Paltineanu, I.; Starr, J. Real-time soil water dynamics using multisensor capacitance probes: laboratory calibration. Soil Sci. Soc. Am. J. 1997, 61, 1576–1585. [Google Scholar] [CrossRef]
- Andrade, P.; Aguera, J.; Upadhyaya, S.; Jenkins, B.; Rosa, U.; Josiah, M. Evaluation of dielectric-based moisture and salinity sensor for in situ applications. In Proceedings of the ASAE Annual International Meeting, Sacramento, CA, USA, 28 July 2001–1 August 2001. Abstract # 011010, 1–13. [Google Scholar]
- Mittelbach, H.I.; Lehner, S.I. Seneviratne. Comparison of four soil moisture sensor types under field conditions in Switzerland. J. Hydrol. 2012, 430–431, 39–49. [Google Scholar] [CrossRef]
- Fares, A.; Abbas, F.; Maria, D.; Mair, A. Improved calibration functions of three capacitance probes for the measurement of soil moisture in tropical soils. Sensors 2011, 11, 4858–4874. [Google Scholar] [CrossRef]
- USDA (United States Department of Agriculture). Citrus Fruits 2018 Summary. Available online: https://www.nass.usda.gov/Publications/Todays_Reports/reports/cfrt0818.pdf (accessed on 30 September 2019).
- Kadyampakeni, D.M.; Morgan, K.T.; Zekri, M.; Ferrarezi, R.S.; Schumann, A.W.; Obreza, T.A. 2019–2020 Florida citrus production guide: irrigation management of citrus trees. Available online: https://crec.ifas.ufl.edu/media/crecifasufledu/production-guide/Irrigation_Management.pdf (accessed on 30 September 2019).
- Spelman, D.; Kinzli, K.-D.; Kunberger, T. Calibration of the 10HS soil moisture sensor for southwest Florida agricultural soils. J. Irrig. Drain. Eng. 2013, 139, 965–971. [Google Scholar] [CrossRef]
- Voroney, P. Soil for horse pasture management. In Horse Pasture Management, 1st ed.; Voroney, P., Ed.; Academic Press: Cambridge, MA, USA, 2019; pp. 65–79. [Google Scholar]
- Adamchuka, V.; Humme, J.; Morgan, M.; Upadhyayad, K. On-the-go soil sensors for precision agriculture. Comput. Electron. Agr. 2004, 44, 71–91. [Google Scholar] [CrossRef]
- Topp, G.; Davis, J.; Annan, A. Electromagnetic determination of soil water content: measurements in coaxial transmission lines. Water Resour. Res. 1980, 16, 574–582. [Google Scholar] [CrossRef]
- Murillo, J.; Villafañe, R.; Basso, C.; Trujillo, A. Evaluation of an equipment of time domain reflectometry (TDR) for moisture registration in a loam soil. Rev. Fac. Agron. 2008, 25, 211–222. [Google Scholar]
- Visconti, F.; Paz, J.M. Electrical conductivity measurements in agriculture: the assessment of Soil Salinity. In New Trends and Developments in Metrology; Cocco, L., Ed.; IntechOpen: London, UK, 2016; pp. 99–126. [Google Scholar]
- Muñoz-Carpena, R. Field Devices Monitoring Soil Water Content. Available online: http://edis.ifas.ufl.edu/pdffiles/AE/AE26600.pdf (accessed on 8 October 2019).
- CS650 and CS655 Water Content Reflectometers. Instruction Manual. Available online: https://s.campbellsci.com/documents/es/manuals/cs650.pdf (accessed on 2 October 2019).
- Blonquist, J.; Jones, S.; Robinson, D. A time domain transmission sensor with TDR performance characteristics. J. Hydrol. 2005, 223, 235–245. [Google Scholar] [CrossRef]
- USDA, United States Department of Agriculture; Natural Resources Conservation Service. Soil Series Classification Database. Available online: https://soilseries.sc.egov.usda.gov/scname.aspx (accessed on 1 October 2019).
- Obreza, T.; Collins, M. Common Soils Used for Citrus Production in Florida. 2008. Available online: https://ufdcimages.uflib.ufl.edu/IR/00/00/31/34/00001/SS40300.pdf (accessed on 3 October 2019).
- 10HS Soil Moisture Sensor. Operator’s Manual. Available online: http://publications.decagon.com/Manuals/13508_10HS_Web.pdf (accessed on 2 October 2019).
- GS1 Soil Moisture Sensor. Operator’s Manual. Available online: http://publications.decagon.com/Manuals/14640_GS1_Web.pdf (accessed on 2 October 2019).
- GS3 Soil Moisture Sensor. Operator’s Manual. Available online: http://publications.decagon.com/Manuals/20429_GS3_Web.pdf (accessed on 2 October 2019).
- 5TE Soil Moisture Sensor. Operator’s Manual. Available online: http://publications.decagon.com/Manuals/13509_5TE.pdf (accessed on 2 October 2019).
- CS616 and CS625 Water Content Reflectometers. Instruction Manual. Available online: https://s.campbellsci.com/documents/af/manuals/cs616.pdf (accessed on 2 October 2019).
- HydraProbe Soil Sensor. User Manual. Available online: https://www.stevenswater.com/resources/documentation/hydraprobe/HydraProbe_Manual_Jan_2018.pdf (accessed on 2 October 2019).
- True TDR−315, TDR−315L & TDR−310S. User Manual. Available online: http://www.meteo-tech.co.il/ImagesDownloadFiles/DownloadFile1562_2_%D7%9E%D7%93%D7%A8%D7%99%D7%9A%20%D7%9C%D7%9E%D7%A9%D7%AA%D7%9E%D7%A9.pdf (accessed on 2 October 2019).
- TDT ACC-SEN-SDI. User Manual SDI-12 Soil Moisture. Available online: https://acclima.com/prodlit/User%20Manual%20SDI%20TDT.pdf (accessed on 2 October 2019).
- Watts, F.; Stankey, D.; Jones, M.; Lisante, R. Soil Survey of St. Lucie County Area, Florida. 1980. Available online: https://www.nrcs.usda.gov/Internet/FSE_MANUSCRIPTS/florida/FL111/0/lucie.pdf (accessed on 3 October 2019).
- Wettstein, C.; Noble, C.; Slabaugh, J. Soil Survey of Indian River County Area, Florida. 1987. Available online: https://www.nrcs.usda.gov/Internet/FSE_MANUSCRIPTS/florida/FL061/0/indian.pdf (accessed on 3 October 2019).
- Carter, L.; Lewis, D.; Crockett, L.; Vega, J. Soil Survey of Highlands County, Florida. 1989. Available online: https://www.nrcs.usda.gov/Internet/FSE_MANUSCRIPTS/florida/highlandsFL1989/Highlands.pdf (accessed on 3 October 2019).
- Ford, R.; Robbins, J.; Werner, J.; Cowherd, D.; Gordon, C.; Warmack, W.; Brown, M.; Monroe, K.; George, W.; Sanders, T.; et al. Soil Survey of Polk County, Florida. Available online: https://www.nrcs.usda.gov/Internet/FSE_MANUSCRIPTS/florida/FL105/0/Polk.pdf (accessed on 3 October 2019).
- Liudahl, K.; Belz, D.; Carey, L.; Drew, R.; Fisher, S.; Pate, R. Soil Survey of Collier County Area, Florida. 1998. Available online: https://www.nrcs.usda.gov/Internet/FSE_MANUSCRIPTS/florida/collierFL1998/Collier.pdf (accessed on 3 October 2019).
- ASTM - American Society for Testing and Materials. Standards & Publications: ASTM. Available online: https://www.astm.org/Standard/standards-and-publications.html (accessed on 10 October 2019).
- Schmugge, T.; Jackson, T.; McKim, H. Survey of methods for soil moisture determination. Water Resour. Res. 1980, 16, 961–979. [Google Scholar] [CrossRef]
- Topp, G.C.; Ferre, P.A. The soil solution phase. In Methods of Soil Analysis: Part 4—Physical Methods; Jacob, H.D., Topp, G.C., Eds.; Soil Science Society of America, Inc.: Madison, Wisconsin, 2002; pp. 417–545. [Google Scholar]
- Reynolds, S. The gravimetric method of soil moisture determination. J. Hydrol. 1970, 1, 258–273. [Google Scholar] [CrossRef]
- Excel 2016; Microsoft Corp.: Redmond, WA, USA.
- SAS Institute Inc, 2013. Base SAS® 9.4 Procedures Guide; SAS Institute Inc.: Cary, NC, USA.
- Varble, J.; Chávez, J. Performance evaluation and calibration of soil water content and potential sensors for agricultural soils in eastern Colorado. Agric. Water Manag. 2011, 101, 93–106. [Google Scholar] [CrossRef]
- Evett, S.R.; Tolk, J.A.; Howell, T.A. Soil profile water content determination: sensor accuracy, axial response, calibration, temperature dependence, and precision. Vadose Zone J. 2006, 5, 894–907. [Google Scholar] [CrossRef]
- Singh, J.; Lo, T.; Rudnick, D.R.; Irmak, S.; Blanco-Canqui, H. Quantifying and correcting for clay content effects on soil water measurement by reflectometers. Agric. Water Manag. 2019, 216, 390–399. [Google Scholar] [CrossRef]
- Adeyemi, O.; Norton, T.; Grove, I.; Peets, S. Performance evaluation of three newly developed soil moisture sensors. In Proceedings of the CIGR-AgEng Conference, Aarhus, Denmark, 26–29 June 2016. [Google Scholar]
- Singh, J.; Lo, T.; Rudnick, D.; Dorr, T.; Burr, C.; Werle, R.; Muñoz, F. Performance assessment of factory and field calibrations for electromagnetic sensors in a loam soil. Agric. Water Manag. 2018, 196, 87–98. [Google Scholar] [CrossRef]
- Straten, G.; Vos, A.; Vlaming, R.; Oosterbaan, R. Dielectric sensors in an automated facility for testing salt tolerance of irrigated field crops. In Proceedings of the 18th World Congress of CIGR. International Commission of Agricultural and Biosystems Engineering, Beijing, China, 16–19 September 2014. [Google Scholar]
- Son, J.; Shin, W.; Cho, J. Laboratory and field assessment of the Decagon 5TE and GS3 sensors for estimating soil water content in saline-alkali reclaimed soils. Commun. Soil. Sci. Plant Anal. 2017, 48, 2268–2279. [Google Scholar] [CrossRef]
- Chávez, J.L.; Evett, S.R. Using soil water sensors to improve irrigation management. In Proceedings of the 24th Annual Central Plains Irrigation Conference, Colby, KS, USA, 21–22 February 2012; pp. 187–202. [Google Scholar]
- Kisekka, I.; Aguilar, J.; Lamm, F.; Rogers, D. Using soil water and canopy temperature to improve irrigation scheduling for corn. In Proceedings of the 2014 Irrigation Association Conference, Phoenix, AZ, USA, 3–6 November 2014. [Google Scholar]
- Michel, A.; Brown, H.; Gillespie, R.; George, M.; Meenken, E. Automated measurement of crop water balances under a mobile rain-exclusion facility. Agron. N. Z. 2015, 45, 39–46. [Google Scholar]
- Evett, S.R.; Schwartz, R.C.; Mazahrih, N.T.; Jitan, M.A.; Shaqir, I.M. Soil water sensors for irrigation scheduling: can they deliver a management allowed depletion? Acta Hortic. 2011, 888, 231–237. [Google Scholar] [CrossRef]
- Logsdon, S.D. CS616 Calibration: Field versus laboratory. Soil. Sci. Soc. Am. J. 2009, 73, 1–6. [Google Scholar] [CrossRef]
- Rüdiger, C.; Hancock, G.; Hemakumara, H.M.; Jacobs, B.; Kalma, J.D.; Martinez, C.; Thyer, M.; Walker, J.P.; Wells, T.; Willgoose, G.R. Goulburn river experimental catchment data set. Water Resour. Res. 2007, 43, 1–10. [Google Scholar] [CrossRef]
- Mittelbach, H.; Casini, F.; Lehner, I.; Teuling, A.J.; Seneviratne, S.I. Soil moisture monitoring for climate research: evaluation of a low-cost sensor in the framework of the Swiss soil moisture experiment (SwissSMEX) campaign. J. Geophys. Res.-Atmos. 2011, 116, 1–11. [Google Scholar] [CrossRef]
- Hignett, C.; Evett, S. Field Estimation of Soil Water Content: A Practical Guide to Methods, Instrumentation and Sensor Technology. International Atomic Energy Agency: Viena. Available online: https://inis.iaea.org/collection/NCLCollectionStore/_Public/39/079/39079658.pdf (accessed on 19 November 2019).
- Nolz, R. Comparison of EnviSCAN and AquaCheck capacitance probe for multi-depth soil water Monitoring. In Proceedings of the 20th International Poster Day “Transport of Water, Chemicals and Energy in the Soil-Plant-Atmosphere System”, Bratislava, Slovakia, 15 November 2012; pp. 496–503. [Google Scholar]
- Rudnick, D.R.; Djaman, K.; Irmak, S. Performance analysis of capacitance and electrical resistance-type soil moisture sensors in a silt loam soil. T. ASABE 2015, 58, 649–665. [Google Scholar]







| Manufacturer | # | Measuring Technique 1 | Sensor Model | Response Variables 2 | Volumetric Water Content (θv) 3 | Literature |
|---|---|---|---|---|---|---|
| Decagon | 1 | FDR | 10HS | Voltage | (2.97 × 10−9) (mV3) − (7.37 × 10−6) (mV2) + (6.69 × 10−3) (mV) − 1.92 | [30] |
| 2 | FDR | GS1 | Voltage | 4.94 × 10−4 × mV – 0.554 | [31] | |
| 3 | FDR | GS3 | Ɛ, ECb, T | 5.89 × 10−6 Ɛ3a − 7.62 × 10−4 Ɛ2a + 3.67 × 10−2 Ɛa − 7.53 × 10−2 | [32] | |
| 4 | FDR | 5TE | Ɛ, ECb, T | 4.3 × 10−6 Ɛ3a − 5.5 × 10−4 Ɛ2a + 2.92 × 10−2 Ɛa − 5.3 × 10−2 | [33] | |
| Campbell Scientific | 5 | TLO | CS655 | Ɛ, ECb, T | 4.3 × 10−6 Ɛ3a − 5.5 × 10−4 Ɛ2a + 2.92 × 10−2 Ɛa − 5.3 × 10−2 | [26] |
| 6 | TLO | CS650 | Ɛ, ECb, T | 4.3 × 10−6 Ɛ3a − 5.5 × 10−4 Ɛ2a + 2.92 × 10−2 Ɛa − 5.3 × 10−2 | [26] | |
| 7 | TLO | CS616 | Period | 0.0007 × τ2 + ((−0.0063) × τ) + (−0.0663) | [34] | |
| Stevens Water | 8 | TDR | Hydra Probe | Ɛ, Ɛ’, ECb, T | [35] | |
| Acclima | 9 | TDR | TDR-315L | Ɛ, ECb, ECw, T | 4.3 × 10−6 Ɛ3a − 5.5 × 10−4 Ɛ2a + 2.92 × 10−2 Ɛa − 5.3 × 10−2 | [36] |
| 10 | TDR | TDR-315 | Ɛ, ECb, ECw, T | 4.3 × 10−6 Ɛ3a − 5.5 × 10−4 Ɛ2a + 2.92 × 10−2 Ɛa − 5.3 × 10−2 | [36] | |
| 11 | TDR | TDR-310S | Ɛ, ECb, ECw, T | 4.3 × 10−6 Ɛ3a − 5.5 × 10−4 Ɛ2a + 2.92 × 10−2 Ɛa − 5.3 × 10−2 | [36] | |
| 12 | TDT | TDT ACC-SEN-SDI | Ɛ, EC, T | 4.3 × 10−6 Ɛ3a − 5.5 × 10−4 Ɛ2a + 2.92 × 10−2 Ɛa − 5.3 × 10−2 | [37] |
| Soil | Sample Depth | Bulk Density (g cm−3) | Specific Gravity (unitless) |
|---|---|---|---|
| Pineda | Top (0.0–0.3 m) | 1.65 | 2.63 |
| Bottom (0.3–0.6 m) | 1.56 | 2.62 | |
| Riviera | Top (0.0–0.3 m) | 1.54 | 2.65 |
| Bottom (0.3–0.6 m) | 1.51 | 2.64 | |
| Astatula | Top (0.0–0.3 m) | 1.49 | 2.64 |
| Bottom (0.3–0.6 m) | 1.52 | 2.63 | |
| Candler | Top (0.0–0.3 m) | 1.51 | 2.66 |
| Bottom (0.3–0.6 m) | 1.54 | 2.64 | |
| Immokalee | Top (0.0–0.3 m) | 1.38 | 2.58 |
| Bottom (0.3–0.6 m) | 1.37 | 2.63 |
| Manufacturer | Sensor | Measuring Technique | RMSE (m3 m−3) | R2 | CV (%) |
|---|---|---|---|---|---|
| Meter Group | 10HS | FDR | 0.041 | 0.81 | 32.17 |
| GS1 | FDR | 0.026 | 0.92 | 20.48 | |
| GS3 | FDR | 0.049 | 0.72 | 39.16 | |
| 5TE | FDR | 0.026 | 0.92 | 20.45 | |
| Campbell Scientific | CS650 | TLO | 0.035 | 0.86 | 27.66 |
| CS655 | TLO | 0.029 | 0.90 | 22.65 | |
| CS616 | TLO | 0.032 | 0.86 | 25.46 | |
| Stevens Water | Hydra Probe | TDR | 0.037 | 0.84 | 29.11 |
| Acclima | TDR315L | TDR | 0.026 | 0.92 | 20.89 |
| TDR315 | TDR | 0.028 | 0.91 | 22.58 | |
| TDR310S | TDR | 0.023 | 0.93 | 18.23 | |
| TDT-ACC-SEN-SDI | TDT | 0.029 | 0.90 | 23.28 |
| Sensor | Soil Depth (m) | Soil-Specific Equation 1 | R2 |
|---|---|---|---|
| 10HS | 0.0–0.3 0.3–0.6 | 0.85 0.83 | |
| GS1 | 0.0–0.3 0.3–0.6 | 0.98 0.98 | |
| GS3 | 0.0–0.3 0.3–0.6 | 0.97 0.98 | |
| 5TE | 0.0–0.3 0.3–0.6 | 0.99 0.99 | |
| CS655 | 0.0–0.3 0.3–0.6 | 0.99 0.99 | |
| CS650 | 0.0–0.3 0.3–0.6 | 0.99 0.99 | |
| CS616 | 0.0–0.3 0.3–0.6 | 0.99 0.97 | |
| Hydra Probe | 0.0–0.3 0.3–0.6 | 0.97 0.99 | |
| TDR315L | 0.0–0.3 0.3–0.6 | 0.99 0.99 | |
| TDR315 | 0.0–0.3 0.3–0.6 | 0.99 0.99 | |
| TDR310S | 0.0–0.3 0.3–0.6 | 0.93 0.93 | |
| TDT-ACC-SEN-SDI | 0.0–0.3 0.3–0.6 | 0.99 0.99 |
| Sensor | Soil Depth (m) | Soil-Specific Equation 1 | R2 |
|---|---|---|---|
| 10HS | 0.0–0.3 0.3–0.6 | 0.84 0.81 | |
| GS1 | 0.0–0.3 0.3–0.6 | 0.98 0.87 | |
| GS3 | 0.0–0.3 0.3–0.6 | 0.95 0.90 | |
| 5TE | 0.0–0.3 0.3–0.6 | 0.98 0.98 | |
| CS655 | 0.0–0.3 0.3–0.6 | 0.99 0.96 | |
| CS650 | 0.0–0.3 0.3–0.6 | 0.98 0.95 | |
| CS616 | 0.0–0.3 0.3–0.6 | 0.95 0.92 | |
| Hydra Probe | 0.0–0.3 0.3–0.6 | 0.86 0.96 | |
| TDR315L | 0.0–0.3 0.3–0.6 | 0.99 0.98 | |
| TDR315 | 0.0–0.3 0.3–0.6 | 0.98 0.99 | |
| TDR310S | 0.0–0.3 0.3–0.6 | 0.97 0.96 | |
| TDT-ACC-SEN-SDI | 0.0–0.3 0.3–0.6 | 0.97 0.94 |
| Sensor | Soil Depth (m) | Soil-Specific Equation 1 | R2 |
|---|---|---|---|
| 10HS | 0.0–0.3 0.3–0.6 | 0.81 0.88 | |
| GS1 | 0.0–0.3 0.3–0.6 | 0.95 0.97 | |
| GS3 | 0.0–0.3 0.3–0.6 | 0.96 0.89 | |
| 5TE | 0.0–0.3 0.3–0.6 | 0.93 0.94 | |
| CS655 | 0.0–0.3 0.3–0.6 | 0.94 0.96 | |
| CS650 | 0.0–0.3 0.3–0.6 | 0.92 0.98 | |
| CS616 | 0.0–0.3 0.3–0.6 | 0.92 0.98 | |
| Hydra Probe | 0.0–0.3 0.3–0.6 | 0.92 0.93 | |
| TDR315L | 0.0–0.3 0.3–0.6 | 0.96 0.99 | |
| TDR315 | 0.0–0.3 0.3–0.6 | 0.94 0.98 | |
| TDR310S | 0.0–0.3 0.3–0.6 | 0.92 0.97 | |
| TDT-ACC-SEN-SDI | 0.0–0.3 0.3–0.6 | 0.93 0.93 |
| Sensor | Soil Depth (m) | Soil-Specific Equation 1 | R2 |
|---|---|---|---|
| 10HS | 0.0–0.3 0.3–0.6 | 0.91 0.87 | |
| GS1 | 0.0–0.3 0.3–0.6 | 0.99 0.46 | |
| GS3 | 0.0–0.3 0.3–0.6 | 0.93 0.87 | |
| 5TE | 0.0–0.3 0.3–0.6 | 0.96 0.98 | |
| CS655 | 0.0–0.3 0.3–0.6 | 0.99 0.96 | |
| CS650 | 0.0–0.3 0.3–0.6 | 0.99 0.99 | |
| CS616 | 0.0–0.3 0.3–0.6 | 0.96 0.92 | |
| Hydra Probe | 0.0–0.3 0.3–0.6 | 0.90 0.97 | |
| TDR315L | 0.0–0.3 0.3–0.6 | 0.97 0.97 | |
| TDR315 | 0.0–0.3 0.3–0.6 | 0.94 0.94 | |
| TDR310S | 0.0–0.3 0.3–0.6 | 0.93 0.93 | |
| TDT-ACC-SEN-SDI | 0.0–0.3 0.3–0.6 | 0.92 0.95 |
| Sensor | Soil Depth (m) | Soil-Specific Equation1 | R2 |
|---|---|---|---|
| 10HS | 0.0–0.3 0.3–0.6 | 0.96 0.92 | |
| GS1 | 0.0–0.3 0.3–0.6 | 0.99 0.95 | |
| GS3 | 0.0–0.3 0.3–0.6 | 0.94 0.97 | |
| 5TE | 0.0–0.3 0.3–0.6 | 0.98 0.99 | |
| CS655 | 0.0–0.3 0.3–0.6 | 0.99 0.99 | |
| CS650 | 0.0–0.3 0.3–0.6 | 0.99 0.99 | |
| CS616 | 0.0–0.3 0.3–0.6 | 0.99 0.99 | |
| Hydra Probe | 0.0–0.3 0.3–0.6 | 0.98 0.96 | |
| TDR315L | 0.0–0.3 0.3–0.6 | 0.99 0.99 | |
| TDR315 | 0.0–0.3 0.3–0.6 | 0.99 0.99 | |
| TDR310S | 0.0–0.3 0.3–0.6 | 0.99 0.97 | |
| TDT-ACC-SEN-SDI | 0.0–0.3 0.3–0.6 | 0.99 0.79 |
© 2020 by the authors. Licensee MDPI, Basel, Switzerland. This article is an open access article distributed under the terms and conditions of the Creative Commons Attribution (CC BY) license (http://creativecommons.org/licenses/by/4.0/).
Share and Cite
Ferrarezi, R.S.; Nogueira, T.A.R.; Zepeda, S.G.C. Performance of Soil Moisture Sensors in Florida Sandy Soils. Water 2020, 12, 358. https://doi.org/10.3390/w12020358
Ferrarezi RS, Nogueira TAR, Zepeda SGC. Performance of Soil Moisture Sensors in Florida Sandy Soils. Water. 2020; 12(2):358. https://doi.org/10.3390/w12020358
Chicago/Turabian StyleFerrarezi, Rhuanito Soranz, Thiago Assis Rodrigues Nogueira, and Sara Gabriela Cornejo Zepeda. 2020. "Performance of Soil Moisture Sensors in Florida Sandy Soils" Water 12, no. 2: 358. https://doi.org/10.3390/w12020358
APA StyleFerrarezi, R. S., Nogueira, T. A. R., & Zepeda, S. G. C. (2020). Performance of Soil Moisture Sensors in Florida Sandy Soils. Water, 12(2), 358. https://doi.org/10.3390/w12020358

