Multifractal Comparison of Reflectivity and Polarimetric Rainfall Data from C- and X-Band Radars and Respective Hydrological Responses of a Complex Catchment Model
Abstract
1. Introduction
2. Materials and Methods
2.1. Case Study Site
2.2. Selected Rainfall Events and Three Data Types
- The SIAVB network of six tipping bucket rain gauges, being distributed over the catchment;
- The Météo-France polarimetric C-band radar of Trappes, being located in a direct proximity (~0–20 km) of the catchment;
- The ENPC polarimetric X-band radar of Champs-sur-Marne, with distances ranging between 25 to 45 km.
2.3. Radar Data Processing
2.3.1. From Météo-France
2.3.2. From ENPC
2.4. Hydrological Model
2.5. Short Recap of Multifractals and Classical Error Metrics
- The correlation coefficient () measures the strength and the direction of the linear relationship between the both time series:where a positive value indicates that the two time series possess the same dynamic (increasing and decreasing at the same moment).
- The Nash–Sutcliffe Efficiency () is the most commonly used indicator to quantify performance of models in urban hydrology. It measures how well the model outputs () reproduce the observations ( in comparison to a model that only uses the mean of the observed data. It is calculated as:where a value of 1 indicates a perfect model (both time series are equal), a value of zero indicates performance no better than simply using the mean ( is equal to the mean of ), and a negative value corresponds to a performance worse than just using the mean.
- The Root-Mean-Square Error (RMSE) is used in urban hydrology to quantify errors between two time series. It measures the deviation of predictions from observed value (calculated as the square root of average square deviation):
3. Results
3.1. Direct Comparison of Rainfall
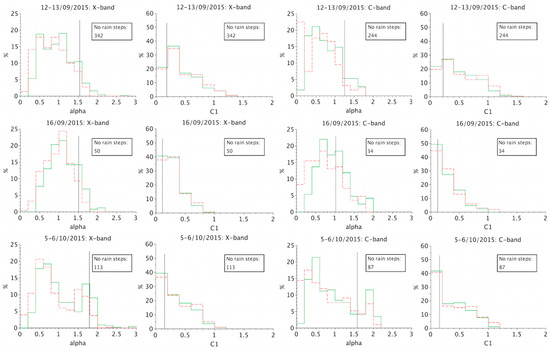
3.1.1. Multifractal Analysis
3.1.2. Rainfall Estimates over the Catchment
3.2. Hydrological Comparison
4. Discussion
Supplementary Materials
Acknowledgments
Author Contributions
Conflicts of Interest
References
- Loukas, A.; Llasat, M.-C.; Ulbrich, U. Preface: “Extreme events induced by weather and climate change: Evaluation, forecasting and proactive planning”. Nat. Hazards Earth Syst. Sci. 2010, 10, 1895–1897. [Google Scholar] [CrossRef][Green Version]
- World Meteorological Organization (WMO). Guide to Meteorological Instruments and Methods of Observation WMO-No. 8. 2014. Available online: http://www.wmo.int/pages/prog/www/IMOP/CIMO-Guide.html (accessed on 14 February 2017).
- National Research Council of the National Academies. Urban Meteorology: Forecasting, Monitoring, and Meeting Users’ Need; National Academy Press: Washington, WA, USA, 2012. [Google Scholar]
- SIAVB. Available online: http://www.siavb.fr/riviere.aspx (accessed on 4 November 2016).
- Diss, S.; Testud, J.; Lavabre, J.; Ribstein, P.; Moreau, E.; Parent du Chatelet, J. Ability of a dual polarized X-band radar to estimate rainfall. Adv. Water Resour. 2009, 32, 975–985. [Google Scholar] [CrossRef]
- Tabary, P.; Boumahmoud, A.-A.; Andrieu, H.; Thompson, R.J.; Illingworth, A.J.; Le Bouar, E.; Testud, J. Evaluation of two “integrated” polarimetric Quantitative Precipitation Estimation (QPE) algorithms at C-band. J. Hydrol. 2011, 405, 248–260. [Google Scholar] [CrossRef]
- Emmanuel, I.; Andrieu, H.; Tabary, P. Evaluation of the new French operational weather radar product for the field of urban hydrology. Atmos. Res. 2012, 103, 20–32. [Google Scholar] [CrossRef]
- Figueras i Ventura, J.; Boumahmoud, A.-A.; Fradon, B.; Dupuy, P.; Tabary, P. Long-term monitoring of French polarimetric radar data quality and evaluation of several polarimetric quantitative precipitation estimators in ideal conditions for operational implementation at C-band. Q. J. R. Meteorol. Soc. 2012, 138, 2212–2228. [Google Scholar] [CrossRef]
- Figueras i Ventura, J.; Tabary, P. The New French Operational Polarimetric Radar Rainfall Rate Product. J. Appl. Meteorol. Climatol. 2013, 52, 1817–1835. [Google Scholar] [CrossRef]
- Tabary, P. The new French operational radar rainfall product, Part I: Methodology. Weather Forecast. 2007, 22, 393–408. [Google Scholar] [CrossRef]
- Ciach, G.J.; Habib, E.; Krajewski, W.F. Zero-covariance hypothesis in the error variance separation method of radar rainfall verification. Adv. Water Resour. 2003, 26, 573–580. [Google Scholar] [CrossRef]
- Gires, A.; Tchiguirinskaia, I.; Schertzer, D.; Schellart, A.; Berne, A.; Lovejoy, S. Influence of small scale rainfall variability on standard comparison tools between radar and rain gauge data. Atmos. Res. 2014, 138, 125–138. [Google Scholar] [CrossRef]
- Wyss, J.; Williams, E.R.; Bras, R.L. Hydrologic modeling of New England river basins using radar rainfall data. J. Geophys. Res. 1990, 95, 2143–2152. [Google Scholar] [CrossRef]
- Sun, X.; Mein, R.G.; Keenan, T.D.; Elliot, J.F. Flood estimation using radar and raingauge data. J. Hydrol. 2000, 239, 4–18. [Google Scholar] [CrossRef]
- Germann, U.; Berenguer, M.; Sempere-Torres, D.; Zappa, M. REAL—Ensemble radar precipitation estimation for hydrology in a mountainous region. Q. J. R. Meteorol. Soc. 2009, 135, 445–456. [Google Scholar] [CrossRef]
- Lobligeois, F. Mieux Connaître la Distribution Spatiale des Pluies Améliore-t-il la Modélisation des Crues? Diagnostic sur 181 Bassins Versants Français. Ph.D. Thesis, Agro ParisTech, Paris, France, 2014. [Google Scholar]
- Einfalt, T.; Denoeux, T.; Jacquet, G. A radar rainfall forecasting method designed for hydrological purposes. J. Hydrol. 1990, 114, 229–244. [Google Scholar] [CrossRef]
- Vieux, B.E.; Bedient, P.B. Assessing urban hydrologic prediction accuracy through event reconstruction. J. Hydrol. 2004, 299, 217–236. [Google Scholar] [CrossRef]
- Einfalt, T.; Arnbjerg-Nielsen, K.; Golz, C.; Jensen, N.-E.; Quirmbach, M.; Vaes, G.; Vieux, B. Towards a roadmap for use of radar rainfall data in urban drainage. J. Hydrol. 2004, 299, 186–202. [Google Scholar] [CrossRef]
- Berenguer, M.; Corral, C.; Sánchez-Diezma, R.; Sempere-Torres, D. Hydrological Validation of a Radar-Based Nowcasting Technique. J. Hydrometeorol. 2005, 6, 532–549. [Google Scholar] [CrossRef][Green Version]
- Liguori, S.; Rico-Ramirez, M.A.; Schellart, A.N.A.; Saul, A.J. Using probabilistic radar rainfall nowcasts and NWP forecasts for flow prediction in urban catchments. Atmos. Res. 2012, 103, 80–95. [Google Scholar] [CrossRef]
- Ichiba, A. X-band Radar Data and Predictive Management in Urban Hydrology. Ph.D. Thesis, Université Paris-Est, Paris, France, 2016. [Google Scholar]
- Peleg, N.; Blumensaat, F.; Molnar, P.; Fatichi, S.; Burlando, P. Partitioning the impacts of spatial and climatological rainfall variability in urban drainage modeling. Hydrol. Earth Syst. Sci. 2017, 21, 1559–1572. [Google Scholar] [CrossRef]
- Schilling, W. Rainfall data for urban hydrology: What do we need? Atmos. Res. 1991, 27, 5–21. [Google Scholar] [CrossRef]
- Aronica, G.; Cannarozzo, M. Studying the hydrological response of urban catchments using a semi-distributed linear non-linear model. J. Hydrol. 2000, 238, 35–43. [Google Scholar] [CrossRef]
- Berne, A.; Delrieu, G.; Creutin, J.-D.; Obled, C. Temporal and spatial resolution of rainfall measurements required for urban hydrology. J. Hydrol. 2004, 299, 166–179. [Google Scholar] [CrossRef]
- Segond, M.L.; Neokleous, N.; Makropoulos, C.; Onof, C.; Maksimović, Č. Simulation and spatio-temporal disaggregation of multi-site rainfall data for urban drainage applications. Hydrol. Sci. J. 2007, 52, 917–935. [Google Scholar] [CrossRef]
- Schellart, A.N.A.; Shepherd, W.J.; Saul, A.J. Influence of rainfall estimation error and spatial variability on sewer flow prediction at a small urban scale. Adv. Water Resour. 2012, 45, 65–75. [Google Scholar] [CrossRef]
- Gires, A.; Onof, C.; Maksimović, Č.; Schertzer, D.; Tchiguirinskaia, I.; Simoes, N. Quantifying the impact of small scale unmeasured rainfall variability on urban runoff through multifractal downscaling: A case study. J. Hydrol. 2012, 442, 117–128. [Google Scholar] [CrossRef]
- Ochoa-Rodriguez, S.; Wang, L.-P.; Gires, A.; Pina, R.D.; Reinoso-Rondinel, R.; Bruni, G.; Ichiba, A.; Gaitan, S.; Cristiano, E.; van Assel, J.; et al. Impact of spatial and temporal resolution of rainfall inputs on urban hydrodynamic modeling outputs: A multi-catchment investigation. J. Hydrol. 2015, 531, 389–407. [Google Scholar] [CrossRef]
- Simões, N.E.; Ochoa-Rodriguez, S.; Wang, L.-P.; Pina, R.D.; Marques, A.S.; Onof, C.; Leitão, J.P. Stochastic Urban Pluvial Flood Hazard Maps Based upon a Spatial-Temporal Rainfall Generator. Water 2015, 7, 3396–3406. [Google Scholar] [CrossRef]
- Gires, A.; Giangola-Murzyn, A.; Abbes, J.-B.; Tchiguirinskaia, I.; Schertzer, D.; Lovejoy, S. Impacts of small scale rainfall variability in urban areas: A case study with 1D and 1D/2D hydrological models in a multifractal framework. Urban Water J. 2014, 12, 607–617. [Google Scholar] [CrossRef]
- El-Tabach, E.; Tchiguirinskaia, I.; Mahmood, O.; Schertzer, D. Multi-Hydro: A spatially distributed numerical model to assess and manage runoff processes in peri-urban watersheds. In Proceedings of the Final Conference of the COST Action C22, Road map towards a flood resilient urban environment, Paris, France, 26–27 November 2009; Pascheet, E., Evelpidou, N., Zevenbergen, C., Ashley, R., Garvin, S., Eds.; Hamburger Wasserbau-Schriftien: Hamburg, Germany, 2009. [Google Scholar]
- Fewtrell, T.J.; Duncan, A.; Sampson, C.C.; Neal, J.C.; Bates, P.D. Benchmarking urban flood models of varying complexity and scale using high resolution terrestrial LiDAR data. Phys. Chem. Earth 2011, 36 Pt A/B/C, 281–291. [Google Scholar] [CrossRef]
- Giangola-Murzyn, A.; Gires, A.; Hoang, C.T.; Tchiguirinskaia, I.; Schertzer, D. Multi-Hydro modelling to assess flood resilience across scales, case study in the Paris region. In Proceedings of the 9th International Conference on Urban Drainage Modelling, Belgrade, Serbia, 4–7 September 2012. [Google Scholar]
- Tramblay, Y.; Bouvier, C.; Crespy, A.; Marchandise, A. Improvement of flash flood modelling using spatial patterns of rainfall: A case study in southern France. In Proceedings of the Sixth World FRIEND Conference, Montpellier, France, 7–10 October 2014; IAHS Publ.: Fez, Morocco, 2010; p. 340. [Google Scholar]
- RainGain Project. Available online: www.raingain.eu (accessed on 21 July 2016).
- Schertzer, D.; Tchiguirinskaia, I.; Lovejoy, S.; Hubert, P. No monsters, no miracles: In nonlinear sciences hydrology is not an outlier! Hydrol. Sci. J. 2010, 55, 965–979. [Google Scholar] [CrossRef]
- Réseau Hydrographique. Available online: Https://www.data.gouv.fr/fr/datasets/reseau-hydrographique-idf/ (accessed on 14 December 2015).
- Gires, A.; Tchiguirinskaia, I.; Schertzer, D. Multifractal comparison of the outputs of two optical disdrometers. Hydrol. Sci. J. 2016, 61, 1641–1651. [Google Scholar] [CrossRef]
- Marshall, J.S.; Palmer, W.M. The distribution of raindrop with size. J. Meteorol. 1948, 5, 165–166. [Google Scholar] [CrossRef]
- Parent du Châtelet, J. ARAMIS, le réseau Français de radars pour la surveillance des précipitations. La Météorologie 2003, 40, 44–52. [Google Scholar] [CrossRef][Green Version]
- Gourley, J.J.; Tabary, P.; Parent du Chatelet, J. A fuzzy logic algorithm for the separation of precipitating from nonprecipitating echoes using polarimetric radar observations. J. Atmos. Ocean. Technol. 2007, 24, 1439–1451. [Google Scholar] [CrossRef]
- Selex. Selex METEOR manual; Selex ES GmbH: Neuss, Germany, 2015. [Google Scholar]
- Fulton, R.A.; Bredienbach, J.P.; Seo, D.-J.; Miller, D.A.; O’Bannon, T. The WSR-88 rainfall algorithm. Weather Forecast. 1998, 13, 377–395. [Google Scholar] [CrossRef]
- Matrosov, S.Y.; Clark, K.A.; Martner, B.E.; Tokay, A. X-Band Polarimetric Radar Measurements of Rainfall. J. Appl. Meteorol. 2002, 41, 941–952. [Google Scholar] [CrossRef]
- Wallingford Software. InfoWorks CS Help Documentation; HR Wallingford Group: Wallingford, UK, 2009. [Google Scholar]
- Clarke, D.L. Analytical Archaeology; Methuen: London, UK, 1968. [Google Scholar]
- Schertzer, D.; Lovejoy, S. Physical modeling and Analysis of Rain and Clouds by Anisotropic Scaling Multiplicative Processes. J. Geophys. Res. 1987, 92, 9693–9714. [Google Scholar] [CrossRef]
- Gupta, V.K.; Waymire, E. A Statistical Analysis of Mesoscale Rainfall as a Random Cascade. J. Appl. Meteorol. 1993, 32, 251–267. [Google Scholar] [CrossRef]
- Harris, D.; Menabde, M.; Seed, A.; Austin, G. Multifractal characterization of rain fields with a strong orographic influence. J. Geophys. Res. 1996, 101, 26405–26414. [Google Scholar] [CrossRef]
- Marsan, D.; Schertzer, D.; Lovejoy, S. Causal space-time multifractal processes: Predictability and forecasting of rain fields. J. Geophys. Res. 1996, 101, 26333–26346. [Google Scholar] [CrossRef]
- Olsson, J.; Niemczynowicz, J. Multifractal analysis of daily spatial rainfall distributions. J. Hydrol. 1996, 187, 29–43. [Google Scholar] [CrossRef]
- De Lima, M.I.P.; Grasman, J. Multifractal analysis of 15-min and daily rainfall from a semi-arid region in Portugal. J. Hydrol. 1999, 220, 1–11. [Google Scholar] [CrossRef]
- Deidda, R. Rainfall downscaling in a space-time multifractal framework. Water Resour. Res. 2000, 36, 1779–1794. [Google Scholar] [CrossRef]
- Pathirana, A.; Herath, S. Multifractal modeling and simulation of rain fields exhibiting spatial heterogeneity. Hydrol. Earth Syst. Sci. 2002, 6, 695–708. [Google Scholar] [CrossRef]
- Biaou, A.; Hubert, P.; Schertzer, D.; Tchiguirinskaia, I.; Bendjoudi, H. Fractals, multifractals et prévision des précipitations. Sud Sci. Technol. 2003, 10, 10–15. [Google Scholar]
- Pathirana, A.; Herath, S.; Yamada, T. On the modeling of temporal correlations in spatial-cascade rainfall downscaling. In Weather Radar Information and Distributed Hydrological Modeling; Tachikawa, Y., Vieux, B.E., Georgakakos, K.P., Nakakita, E., Eds.; IAHS Publication: Sapporo, Japan, 2003; Volume 282, pp. 74–82. [Google Scholar]
- Ferraris, L.; Gabellani, S.; Parodi, U.; Rebora, N.; von Hardenberg, J.; Provenzale, A. Revisiting multifractality in rainfall fields. J. Hydrometeorol. 2003, 4, 544–551. [Google Scholar] [CrossRef]
- Ferraris, L.; Gabellani, S.; Rebora, N.; Provenzale, A. A comparison of stochastic models for spatial rainfall downscaling. Water Resour. Res. 2003, 39, 1368–1384. [Google Scholar] [CrossRef]
- Macor, J.; Schertzer, D.; Lovejoy, S. Multifractal Methods Applied to Rain Forecast Using Radar Data. La Houille Blanche 2007, 4, 92–98. [Google Scholar] [CrossRef]
- Royer, J.F.; Biaou, A.; Chauvin, F.; Schertzer, D.; Lovejoy, S. Multifractal analysis of the evolution of simulated precipitation over France in a climate scenario. C. R. Geosci. 2008, 340, 431–440. [Google Scholar] [CrossRef]
- Nykanen, D.K. Linkages between Orographic Forcing and the Scaling Properties of Convective Rainfall in Mountainous Regions. J. Hydrometeorol. 2008, 9, 327–347. [Google Scholar] [CrossRef]
- De Montera, L.; Barthes, L.; Mallet, C.; Gole, P. The effect of rain-no rain intermittency on the estimation of the universal multifractals model parameters. J. Hydrometeorol. 2009, 10, 493–506. [Google Scholar] [CrossRef]
- Langousis, A.; Veneziano, D.; Furcolo, P.; Lepore, C. Multifractal rainfall extremes: Theoretical analysis and practical estimation. Chaos Solitons Fractals 2009, 39, 1182–1194. [Google Scholar] [CrossRef]
- Tchiguirinskaia, I.; Schertzer, D.; Hoang, C.-T.; Lovejoy, S. Multifractal study of three storms with different dynamics over the Paris region. In Proceedings of the Weather Radar and Hydrology, Exeter, UK, 18–21 April 2011; Moore, J., Cole, S., Illingworth, A., Eds.; IAHS Publ.: Exeter, UK, 2011; 351, pp. 421–426. [Google Scholar]
- Hoang, C.-T.; Tchiguirinskaia, I.; Schertzer, D.; Lovejoy, S. Caractéristiques multifractales et extrêmes de la précipitation à haute resolution, application à la détection du changement climatique. J. Water Sci. 2014, 27, 205–216. [Google Scholar] [CrossRef][Green Version]
- Schertzer, D.; Lovejoy, S. Universal Multifractals do Exist! J. Appl. Meteorol. 1997, 36, 1296–1303. [Google Scholar] [CrossRef]
- Schertzer, D.; Lovejoy, S. Multifractals, generalized scale invariance and complexity in geophysics. Int. J. Bifurcat. Chaos 2011, 21, 3417–3456. [Google Scholar] [CrossRef]
- Lavallée, D.; Lovejoy, S.; Ladoy, P. Nonlinear variability and landscape topography: Analysis and simulation. In Fractals in Geography; De Cola, L., Lam, N., Eds.; Prentice-Hall: Englewood Cliffs, NJ, USA, 1993; pp. 171–205. [Google Scholar]
- Hoang, C.T. Prise en Compte des Fluctuations Spatio-Temporelles Pluies-Débits Pour une Meilleure Gestion de la Ressource en eau et une Meilleure Évaluation des Risques. Ph.D. Thesis, Université Paris-Est, France, 2011. [Google Scholar]
- Hittinger, F. Intercomparaison des incertitudes dans l’Analyse de Fréquence de Crues classique et l’Analyse Multifractale de Fréquence de Crues. Master’s Thesis, Ecole Nationale Supérieure d’Hydraulique et de Mécanique de Grenoble, Grenoble, France, 2008. [Google Scholar]
- Hoang, C.T. Analyse fréquentielle classique et multifractale des 10 séries pluviométriques à haute résolution. Master’s Thesis, Université P. & M. Curie, Paris, France, 2008. [Google Scholar]
- Gires, A.; Tchiguirinskaia, I.; Schertzer, D.; Lovejoy, S. Influence of the zero-rainfall on the assessment of the multifractal parameters. Adv. Water Resour. 2012, 45, 13–25. [Google Scholar] [CrossRef]
- Sevruk, B.; Hamon, W.R. International Comparison of National Precipitation Gauges with a Reference Pit Gauge; Secretariat of the World Meteorological Organization: Geneva, Switzerland, 1984. [Google Scholar]
- Fankhauser, R. Influence of systematic errors from tipping bucket rain gauges on recorded rainfall data. Water Sci. Technol. 1998, 37, 121–129. [Google Scholar] [CrossRef]
- Habib, E.; Krajewski, W.; Kruger, A. Sampling errors of Tipping-Bucket rain gauge measurements. J. Hydrol. Eng. 2001, 6, 159–166. [Google Scholar] [CrossRef]
- Ciach, G.J. Local random errors in Tipping-Bucket rain gauge measurements. J. Atmos. Ocean. Technol. 2003, 20, 752–759. [Google Scholar] [CrossRef]
- Einfalt, T.; Jessen, M.; Mehlig, B. Comparison of radar and raingauge measurements during heavy rainfall. Water Sci. Technol. 2005, 51, 195–201. [Google Scholar] [PubMed]
- Gabella, M.; Orione, F.; Zambotto, M.; Turso, S.; Fabbo, R.; Pillon, A. A Portable Low Cost X-band RADAR for Rainfall Estimation in Alpine Valleys; FORALPS Technical Report; Universita degli Studi di Trento: Trento, Italy, 2008; pp. 1–52. [Google Scholar]
- Allegretti, M.; Bertoldo, S.; Prato, A.; Lucianaz, C.; Rorato, O.; Notarpietro, R.; Gabella, M. X-Band Mini Radar for Observing and Monitoring Rainfall Events. Atmos. Clim. Sci. 2012, 2, 290–297. [Google Scholar] [CrossRef]
- Borup, M.; Grum, M.; Linde, J.J.; Mikkelsen, P.S. Dynamic gauge adjustment of high-resolution X-band radar data for convective rain storms: Model-based evaluation against measured combined sewer overflow. J. Hydrol. 2016, 539, 687–699. [Google Scholar] [CrossRef]
- Bringi, V.N.; Chandrasekar, V. Polarimetric Doppler Weather Radar: Principles and Applications; Cambridge University Press: Cambridge, UK, 2001. [Google Scholar]
- Anagnostou, M.N.; Kalogiros, J.; Anagnostou, E.N.; Tarolli, M.; Papadopoulos, A.; Borga, M. Performance evaluation of high resolution rainfall estimation by X-band dual-polarization radar for flash flood applications in mountainous basins. J. Hydrol. 2010, 394, 4–16. [Google Scholar] [CrossRef]
- Otto, T.; Russchenberg, H.W.J.; Leijnse, H. Advances in polarimetric X-band weather radar. In Proceedings of the 9th European Radar Conference, Amsterdam, The Netherlands, 31 October–2 November 2012; pp. 174–177, ISBN 978-2-87487-029-3. [Google Scholar]
- Otto, T.; Russchenberg, H.W.J. High-resolution polarimetric X-band weather radar observations at the Cabauw Experimental Site for Atmospheric Research. Geosci. Data J. 2014, 1, 7–12. [Google Scholar] [CrossRef]
- Chandrasekar, V.; Baldini, L.; Bharadwaj, N.; Smith, P.L. Calibration procedures for global precipitation-measurement ground-validation radars. URSI Radio Sci. Bull. 2015, 88, 45–73. [Google Scholar] [CrossRef]
- Da Silva Rocha Paz, I.; Ichiba, A.; Skouri-Plakali, I.; Lee, J.; Gires, A.; Tchiguirinskaia, I.; Schertzer, D. Challenges with space-time rainfall in urban hydrology highlighted with a semi-distributed model using C-band and X-band radar data. In EGU General Assembly 2017, Vienna, Austria, 23–28 April 2017; Geophysical Research Abstracts: Vienna, Austria, 2017; p. 19, EGU2017-327. [Google Scholar]













| Event | Radar | Start Time | Duration (hours) | Time Steps | ||
|---|---|---|---|---|---|---|
| 12–13 September 2015 | C-band | 04:05 | 44 | 528 (5 min) | 1.25 | 0.22 |
| 12–13 September 2015 | X-band | 04:05 | 44 | 773 (3.4 min) | 1.54 | 0.18 |
| 16 September 2015 | C-band | 00:05 | 16.8 | 202 (5 min) | 1.02 | 0.12 |
| 16 September 2015 | X-band | 00:05 | 16.8 | 296 (3.4 min) | 1.51 | 0.11 |
| 5–6 October 2015 | C-band | 09:10 | 31 | 372 (5 min) | 1.58 | 0.15 |
| 5–6 October 2015 | X-band | 09:10 | 31 | 545 (3.4 min) | 1.79 | 0.15 |
© 2018 by the authors. Licensee MDPI, Basel, Switzerland. This article is an open access article distributed under the terms and conditions of the Creative Commons Attribution (CC BY) license (http://creativecommons.org/licenses/by/4.0/).
Share and Cite
Paz, I.; Willinger, B.; Gires, A.; Ichiba, A.; Monier, L.; Zobrist, C.; Tisserand, B.; Tchiguirinskaia, I.; Schertzer, D. Multifractal Comparison of Reflectivity and Polarimetric Rainfall Data from C- and X-Band Radars and Respective Hydrological Responses of a Complex Catchment Model. Water 2018, 10, 269. https://doi.org/10.3390/w10030269
Paz I, Willinger B, Gires A, Ichiba A, Monier L, Zobrist C, Tisserand B, Tchiguirinskaia I, Schertzer D. Multifractal Comparison of Reflectivity and Polarimetric Rainfall Data from C- and X-Band Radars and Respective Hydrological Responses of a Complex Catchment Model. Water. 2018; 10(3):269. https://doi.org/10.3390/w10030269
Chicago/Turabian StylePaz, Igor, Bernard Willinger, Auguste Gires, Abdellah Ichiba, Laurent Monier, Christophe Zobrist, Bruno Tisserand, Ioulia Tchiguirinskaia, and Daniel Schertzer. 2018. "Multifractal Comparison of Reflectivity and Polarimetric Rainfall Data from C- and X-Band Radars and Respective Hydrological Responses of a Complex Catchment Model" Water 10, no. 3: 269. https://doi.org/10.3390/w10030269
APA StylePaz, I., Willinger, B., Gires, A., Ichiba, A., Monier, L., Zobrist, C., Tisserand, B., Tchiguirinskaia, I., & Schertzer, D. (2018). Multifractal Comparison of Reflectivity and Polarimetric Rainfall Data from C- and X-Band Radars and Respective Hydrological Responses of a Complex Catchment Model. Water, 10(3), 269. https://doi.org/10.3390/w10030269

