You are currently on the new version of our website. Access the old version .
WaterWater
  • Feature Paper
  • Article
  • Open Access

3 January 2018

Hydrologic and Water Quality Evaluation of a Permeable Pavement and Biofiltration Device in Series

,
and
1
Water Resources/Stormwater, WithersRavenel, 115 MacKenan Drive, Cary, NC 27511, USA
2
Hazen and Sawyer, One South Broad St., Suite 1630, Philadelphia, PA 19107, USA
3
Department of Biological and Agricultural Engineering, North Carolina State University, Campus Box 7625, Raleigh, NC 27695, USA
*
Author to whom correspondence should be addressed.
This article belongs to the Special Issue Permeable Pavements and Their Role in Sustainable Urban Development

Abstract

Two stormwater control measures (SCMs) installed in series were monitored for their individual impact on the hydrology and water quality of stormwater runoff from a 0.08-hectare watershed in Fayetteville, North Carolina, for 22 months. Runoff was first treated by permeable interlocking concrete pavement (PICP), the underdrain of which discharged into a proprietary box filter (Filterra® biofiltration) which combined high-flow-engineered media with modest biological treatment from a planted tree. Due to a deteriorating contributing drainage area and high ratio of impervious area to permeable pavement area (2.6:1), clogging of the permeable pavement surface caused an estimated 38% of stormwater to bypass as surface runoff. Fifty-six percent of runoff volume infiltrated underlying soils, and the remaining 6% exited the Filterra® as treated effluent; the hydrologic benefit of the Filterra® was minimal, as expected. Primary treatment through the PICP significantly reduced event mean concentrations (EMCs) of total suspended solids (TSS), total phosphorus (TP), total nitrogen (TN), and total Kjeldahl nitrogen (TKN) but contributed to a significant increase in nitrate/nitrite (NO2,3–N) concentrations. Secondary treatment by the Filterra® further reduced TSS and TP concentrations and supplemented nitrogen removal such that treatment provided by the overall system was as follows: TSS (removal efficiency (RE): 96%), TP (RE: 75%), TN (RE: 42%), and TKN (RE: 51%). EMCs remained unchanged for NO2,3–N. Despite EMC reductions, additional load reduction due to the Filterra® was modest (less than 2%). This was because (1) a majority of pollutant load was removed via PICP exfiltration losses, and (2) nearly all of the export load was from untreated surface runoff, which bypassed the Filterra®, and therefore the manufactured device never had the opportunity to treat it. Cumulative load reductions (based only upon events with samples collected at each sampling location) were 69%, 60%, and 41% for TSS, TP, and TN, respectively. When surface runoff was excluded, load reductions increased to over 96%; lower run-on ratios (which would reduce clogging rate) and/or increased maintenance frequency might have improved pollutant load removal.

1. Introduction

Stormwater runoff from urban catchments is a significant cause of surface water impairment in the United States [1]. As impervious surface area increases, runoff volumes, peak flows, and pollutant export concomitantly increase [2,3,4,5]. To combat the problems associated with urban development, federally promulgated stormwater regulations have led communities across the United States to install stormwater control measures (SCMs) to meet water quality and quantity goals (e.g., [6,7]). Examples of SCMs include permeable pavement, bioretention, swales, and constructed stormwater wetlands.
Stormwater regulations often require the installation of multiple SCMs to meet hydrologic and water quality targets (e.g., 80% volume reduction, 40% total nitrogen removal). Despite this, few studies have monitored SCMs installed in series. Rushton [8] studied runoff quantity from four treatments: asphalt, asphalt in series with a swale, cement in series with a swale, and permeable pavement in series with a swale. Results showed the treatment with two SCMs (the permeable pavement–swale system) increased runoff reduction by 10–15% compared to the use of one SCM (asphalt or cement with a swale). Brown et al. [9] studied two infiltration SCMs in series (permeable pavement and bioretention); the system reduced runoff volume by 69% over the 17-month study and significantly improved hydrologic performance compared to a single bioretention cell monitored at the same site. Including base flow that entered and exited the bioretention cell, total phosphorus (TP) and total suspended solids (TSS) loads were reduced by 30% and 87%, respectively; total nitrogen (TN) load was exported by 64%. Doan and Davis [10] studied a bioretention-cistern treatment train; pollutant concentrations measured from the cistern were below those measured in tap water, indicating water from the cistern might be a good source for irrigation. However, none of these studies monitored the individual effect of each practice, raising questions regarding the specific benefit of ancillary treatment by the second SCM in the series.
In a study of three stormwater wetlands in series, Hathaway and Hunt [11] found that more than 80% of the concentration reduction for all pollutants occurred after treatment by the first wetland. Secondary and tertiary cells provided no significant improvement in pollutant concentrations, suggesting little appreciable benefit of installing SCMs in series with similar pollutant removal mechanisms. Winston et al. [12] supported this by examining the water quality of runoff treated by permeable friction course in combination with vegetative filter trips, wetland swales, and dry swales. Both permeable friction course and vegetative SCMs facilitate pollutant removal primarily through filtration and sedimentation, though vegetative SCMs support biological and chemical interactions as well. The vegetative SCMs did not further reduce (and in some cases increased) pollutant concentrations because filtration through the permeable friction course reduced sediment and particulate-bound pollutants to apparently irreducible concentrations [13]. These results suggest several questions remain regarding when installing SCMs in series, including: (1) what are the individual hydrologic impacts for each in-series SCM? (2) Which combination of SCMs might achieve better water quality improvement? (3) How do downstream SCMs impact effluent concentrations released by upstream SCMs? (4) How should SCMs be “credited” for regulatory purposes when used in series?
Permeable pavement is a popular SCM because it is multi-purpose (i.e., one can park and drive on this SCM). Runoff infiltrates a permeable surface layer and is stored in an aggregate sub-base before it either exfiltrates (e.g., lost to the underlying soil) or discharges to receiving surface waters or storm sewer infrastructure via an underdrain. In addition to reducing pollutant loads to receiving streams through exfiltration, permeable pavements capture many pollutants through mechanical filtration and sedimentation [14,15,16]. Hydrologic performance varies widely and is dependent upon underlying soil type, drainage configuration, and proper design and maintenance [17,18,19,20,21]. Inclusion of internal water storage via an elevated or 90-degree upturned elbow on the underdrain [18,20] and permeable underlying soils [8,14] improved volume and pollutant load reductions via increased exfiltration. In addition to filtration and sedimentation, permeable pavement may also remove pollutants through adsorption and biological degradation, though export of nitrate (NO2,3–N) due to nitrification in the sub-base is commonly observed [15,16].
The configuration of proprietary manufactured treatment devices (MTDs) varies by product, but most include a mechanism for settling [22]; some also employ filtration and adsorption through an engineered media [23]. Types of MTDs range from end-of-pipe SCMs, to catch basin inserts, to modular high-loading SCMs [24,25]. When installed in series with another SCM, an MTD may be used to target the removal of a specific pollutant, but most MTDs do not employ a mechanism for hydrologic mitigation [22].
The Filterra® biofiltration system incorporates a planted tree into a concrete box filter. This MTD marries two treatment mechanisms: high flow rate filtration through an engineered media and some biological treatment provided by vegetation and soil [23]. Manufacturer and third-party testing indicate the Filterra® is capable of reducing pollutant concentrations, including total suspended solids, phosphorus, nitrogen, and metals [23,26,27,28], but previous studies have not assessed Filterra® performance when coupled with pre-treatment by another SCM.
This study examined the hydrologic and water quality impacts of permeable pavement and Filterra® biofiltration devices installed in series at a parking lot in Fayetteville, North Carolina, USA. The primary objective was to quantify the individual effect of each practice on volume reduction and pollutant (concentration and load) removal. Water quality mitigation was also compared to that of individual SCMs and regulatory credits awarded to similar practices in the state of North Carolina.

2. Methodology

2.1. Treatment Train Components

The system consists of two technologies installed in series: (1) permeable interlocking concrete pavement (PICP) and (2) the Filterra® biofiltration device (FIL, Figure 1). Hereafter, the treatment train will be referred to as PICP-FIL. Runoff receives primary treatment by the PICP. An underdrain conveys runoff that does not exfiltrate (i.e., infiltrate into the subgrade) to the Filterra® for secondary treatment. The Filterra® biofiltration unit is a proprietary flow-through filter consisting of a tree planted in an engineered media topped by an 80-mm layer of mulch [27]. Flow conveyed from the underdrain of the permeable pavement enters the system at a design flow rate of 60 mm/min [23]. Because the Filterra® is installed downstream of the PICP (which provides volume reduction), the MTD was able to be downsized from the standard sizing guidelines, which assume a 100% impervious drainage area [29]. Similar to conventional bioretention [30], an underdrain surrounded by washed aggregate discharges treated stormwater to existing drainage infrastructure.
Figure 1. Schematic of the PICP-Filterra® system with permeable interlocking concrete pavement and Filterra® biofiltration system (figure not to scale).

2.2. Site Description

The PICP-FIL system was retrofitted at an AmtrakTM train station parking lot in Fayetteville, North Carolina, USA. Fayetteville receives an average of 1049 mm of rainfall per year [31] and is characterized by the National Weather Service to have a humid, sub-tropical climate [32]. The sandhill region in which the site is located is composed of predominately sandy or sandy loam soils [33].
Four parking stalls and a drive lane were retrofitted with 215 m2 of Eagle Bay Aqua-Bric Type 4 L permeable interlocking concrete pavers to treat runoff from 560 m2 of existing asphalt surfacing (2.6:1 ratio of impervious area to PICP area). The underdrain of the PICP conveyed runoff to a 1.2-m by 1.2-m (plan view area) Filterra® device (Figure 2). Design of the PICP followed typical hydrologic and structural standards for permeable pavement in North Carolina [34]. The PICP profile consisted of 150 mm of washed ASTM No. 2 aggregate sub-base (nominal size 37.5 to 63 mm), 100 mm of washed ASTM No. 57 aggregate overlying the sub-base (nominal size 4.75 to 25.0 mm), 50 mm of ASTM No. 78 aggregate (nominal size 2.36 to 12.5 mm), and 78 mm-thick concrete brick pavers with No. 78 stone filling their joints [35]. Because the existing subgrade slope was relatively high (5%), two concrete check dams were installed to reduce the slope at the subgrade–aggregate interface to 0.5% [36].
Figure 2. From left to right: Plan view of site with drainage areas and SCM locations, and PICP-FIL system. PICP (background) and Filterra® (foreground).
The PICP was designed to capture and treat the 25-mm storm event before draining to the Filterra® unit via a 100-mm diameter perforated underdrain. A crepe myrtle (Lagerstroemia spp.) was planted per the manufacturer. Runoff was filtered through 0.27 m of media before discharging to drainage infrastructure via a 100-mm underdrain. General characteristics of the PICP-FIL system are summarized in Table 1.
Table 1. General characteristics of PICP-FIL stormwater control measure.

2.3. Monitoring and Data Collection

Hydrologic and water quality monitoring was conducted from February 2013 to December 2014. Rainfall was measured using manual and 0.25-mm resolution tipping bucket rain gauges affixed 1.8 m above the ground. Hydrology and water quality were measured at three locations in the PICP-FIL system: (1) impervious asphalt prior to treatment by the PICP (ASPH); (2) effluent from the PICP prior to secondary treatment by the Filterra® (PICP); and (3) the Filterra® effluent (FIL) (Figure 3). At all three locations, monitoring equipment enabled calculation of the flow rate by recording rainfall or measuring the stage over a weir at two-minute intervals (Table 2). Prior to July 2013, flow through the catch basin at the FIL sampling location was intermittently creating backwater into the weir box, interfering with sample quality and flow data. To remedy this, a new weir box was subsequently installed; thus, data collected prior to July 2013 were invalidated at this location.
Figure 3. From left to right: (a) monitoring scheme for PICP-FIL system; (b) slot drain to measure runoff from parking lot (ASPH); (c) PICP underdrain measured with 30° sharp-crested v-notch weir (PICP); (d) catch basin where effluent from the Filterra® device was measured (FIL).
Table 2. Equipment used for monitoring at locations on the AmtrakTM property.
Flow-proportional samples were collected by ISCO 6712TM automated samplers. Samples were evaluated for event mean concentrations (EMCs) of total suspended solids (TSS), total ammoniacal nitrogen (TAN), nitrate/nitrite-nitrogen (NO2,3–N), total Kjeldahl nitrogen (TKN), total phosphorus (TP), and total dissolved phosphorus (TDP). Automated samplers have been shown to be less consistent in collecting coarse sediment with particle sizes larger than 250 µm [37]. In a concurrent study, particle size distributions analyzed from the same parking lot of the PICP-FIL system showed the sediment in the parking lot runoff had a median particle size of 175 µm [28]. Because of this, it is expected the automated samplers were reasonably consistent in collecting sediment (and consequently, sediment-bound pollutants) from the sampled runoff at the site. Composite samples were collected within 24 h of the end of a storm event and transported to a laboratory. Because the contributing drainage area was small and highly impervious, the duration of runoff was similar to the duration of the storm event. A summary of laboratory methods, minimum detection limits (MDL), and relevant water quality thresholds for all analytes is provided in Table 3. Storms were analyzed when flow-proportional sampling occurred for at least 70% of the hydrograph (by volume). All water quality analyses were conducted at ENCO Laboratories, Inc. (Cary, NC, USA).
Table 3. Stormwater quality parameters, minimum detection limits, laboratory methods, and effluent concentration targets.
Infiltration testing was conducted using both the single-ring, constant head test [42] and the simple infiltration test [43] approximately every six months to monitor progressive clogging of the PICP. Three HOBO U20 water level loggers measured the internal water level within the PICP aggregate base. Each water level logger was located on a separate “terrace” of the system to capture all three zones separated by the two concrete check dams. The average exfiltration rate was determined through analysis of water level drawdown into the in-situ soil.

2.4. Data Analysis

2.4.1. Hydrology

Despite properly scheduled maintenance, visual inspection and surface infiltration testing indicated progressive clogging of the PICP surface (Table 4). The clogging was attributed to the deteriorating asphalt drainage area and erosion from landscaping islands; because of this, runoff frequently bypassed PICP treatment, which was estimated based on measured and then scaled five-minute rainfall intensities. An “effective rainfall intensity” for each five-minute time step was then determined per the ratio of the total watershed to the PICP footprint (Equation (1)). Surface runoff for each storm event was estimated by comparing effective rainfall intensities to the lowest measured infiltration rate (Table 4), which was temporally interpolated based on what date the storm occurred (Equation (2)).
R Δ t = P Δ t × ( A D A + A P I C P ) A P I C P Δ t
where R Δ t = effective rainfall intensity, P Δ t = measured rainfall during the time step (mm), and A D A = drainage area (m2), A P I C P = area of PICP (m2), Δ t = time step (h).
S R Δ t = { 0 , R Δ t I 1 1000 × ( R Δ t I ) × Δ t × A P I C P , R Δ t > I
where S R Δ t = surface runoff volume during the Δ t time step (m3), R Δ t = effective rainfall intensity from Equation (1) (mm/h), I = lowest infiltration rate during the time period of the storm from Table 4, temporally interpolated between tests (mm/h),
Table 4. Infiltration testing during the monitoring period.
Discrete hydrologic storm events were identified by a gap in precipitation exceeding six hours and a minimum depth of 2.5 mm [44]. For each precipitation event, hydrologic characteristics for the inflow (INFLOW), PICP effluent (PICP), Filterra® effluent (FIL), and surface runoff (SR) (volume ( V ), peak flow ( Q p ), and time to peak ( t p )) were calculated and used to estimate volume reduction [VR, Equation (3)), peak flow reduction (QR, Equation (4)), peak flow reduction ratio (Rpeak, Equation (5), [45]) and lag to peak (tl, Equation (6)) at each location within the treatment train (Table 5).
V R = i = 1 n V I N i i = 1 n V O U T i i = 1 n V I N i × 100
Q R = Q p I N Q p O U T Q p I N × 100
R p e a k = Q p O U T Q p I N
t l = t p O U T t p I N
Table 5. Associated parameters for hydrologic comparisons within the treatment train.
Runoff generated by the contributing watershed was calculated using the Natural Resources Conservation Service (NRCS) curve number method (Equation (7), [46]).
Q A S P H = ( P 0.2 S ) 2 P + 0.8 S × A D A × C
where Q A S P H = runoff volume from asphalt (m3), P = storm event precipitation depth (mm), S = potential maximum retention (mm) = ( 1000 C N 10 ) × 25.4 , CN = curve number (98 for impervious surfaces, [47]), A D A = drainage area (m2), C = conversion factor = ( 1   m 1000   m m ) .
Direct rainfall volume on the PICP was added to the runoff to determine the total storm inflow volume (Equation (8)).
V I N F L O W = Q A S P H + P 1000 × A P I C P
where V I N F L O W = total runoff volume (m3), Q A S P H = runoff defined in Equation (7) (m3), P = precipitation (mm), and A P I C P = area of PICP (m2). Peak inflow runoff rates were also calculated using the rational method [48]:
Q p I N F L O W = 2.76 × C × i × A
where Q p I N F L O W = the peak inflow rate (L/s), C = Rational Coefficient (0.95 for impervious surfaces, [49]), i = peak 5-min rainfall intensity (mm/h), and A = watershed area (hectares). Conversion of weir stage data to flow rates (and subsequently, volumes) for the PICP and Filterra® effluent was performed in Flowlink Version 5.1 [50]. Peak flow parameters were compared using either the paired t-test (when the distribution of the differences was normal or log-normal) or the paired Wilcoxon signed-rank test (when the differences were non-normal).

2.4.2. Water Quality

Summary statistics including range, median ( x ˜ ), mean ( x ¯ ), and standard deviation (SD) were calculated at each sampling location (ASPH, PICP, FIL) for all analytes. Multiple analytes had at least 10% of measured concentrations reported below the MDL; these data were considered “censored”. For censored data, one-half of the MDL was used to calculate summary statistics [51]. When the percentage of data points less than the MDL was between 10% and 80%, robust regression-on-order statistics were performed to calculate summary statistics [52]. If the percentage of data points less than the MDL exceeded 80%, summary statistics were not calculated [52].
Data for each parameter were evaluated for normal and log-normal distributions using the Shapiro–Wilk test and visual confirmation of residual plots. When data were less than 10% censored and normal or log-normal, paired t-tests were performed to determine significant differences between pollutant concentrations at each location within the treatment train (α = 0.05). If data were less than 10% censored and non-normal, the Wilcoxon signed-rank test was used. When data were more than 10% censored, the Peto and Peto modification of the Gehan–Wilcoxon test was used [53,54]. Median removal efficiencies (RE) were calculated for pollutants which demonstrated significant differences at each sampling location within the treatment train: (1) primary treatment through the PICP (IN = ASPH, OUT = PICP); (2) secondary treatment through the Filterra® (IN = PICP, OUT = FIL); and (3) the PICP-FIL system as a whole (IN = ASPH, OUT = FIL) (Equation (10)).
R E i = ( E M C I N E M C O U T E M C I N ) × 100
where i = event 1, 2, 3, …, n, E M C I N = inlet event mean concentration (mg/L), and E M C O U T = outlet event mean concentration (mg/L).
Benthic macroinvertebrates are often used to assess water quality impairment in streams [55,56,57]. McNett et al. [41] established water quality thresholds for North Carolina by using qualitative benthic macroinvertebrate health and correlating them to in-stream nutrient concentrations. Effluent concentration data for nutrients were compared to “good” water quality targets for the Piedmont region of North Carolina [41].
Influent and effluent pollutant loads for the PICP, Filterra®, and PICP-FIL were calculated for individual storm events (Equations (11) and (12)) and summed over the entire monitoring period to determine the cumulative load reduction (Equation (13)).
Influent   Pollutant   Load :   L I N = E M C I N × V I N
Outlet   Load :   L O U T = [ E M C O U T × V O U T ] + [ E M C A S P H × V S R ]
Summation   of   Pollutant   Loads   ( SOL ) = ( 1 i = 1 n L O U T i = 1 n L I N ) × 100
where L I N = influent load (mg), L O U T = outlet load (mg) E M C I N = inlet EMC for event i (mg/L) and E M C O U T = outlet EMC for event i (mg/L), V I N = total influent volume for event i, V O U T = effluent volume for event i, and V S R = surface runoff volume for event i.
Due to varying storm size and scope of the sampling regime, pollutant analysis for every sampling location was not possible for every storm event, therefore sample size varied for each pollutant and each location. Loading comparisons were only made when data were available at all three sampling locations. All analyses were performed in R 3.1.2 [58].

3. Results and Discussion

3.1. Hydrology

Over the 22-month monitoring period, a variety of climatological conditions were observed, including a peak 5-min intensity exceeding the one-year, 5-min storm and a prolonged dry period of 31 days (Table 6).
Table 6. Analysis of 125 hydrologic storm events from February 2013 to December 2014.
Exfiltration to the underlying soil was the dominant mechanism for hydrologic mitigation through the PICP-FIL system (Table 7). The exfiltration rate to the native sandy loam soil was 17.5 mm/h; this facilitated a volume reduction of 56% by the PICP (Table 7 and Table 8). Due to the clogged surface of the PICP, an estimated 38% of rainfall at the site bypassed treatment as surface runoff. The remaining 6% of the runoff exited the Filterra® underdrain as treated drainage.
Table 7. Fate of rainfall at PICP-FIL site for all storms.
Table 8. Volume reduction due to primary treatment (PICP), secondary treatment (Filterra®) and overall (PICP-FIL) treatment.
Nearly all reduction occurred during primary treatment by the PICP (Table 8). Volume reduction due to secondary treatment by the Filterra® was minimal, which was expected since the device can only reduce volume via soil storage and evapotranspiration. When surface runoff is excluded from the water balance, the PICP would have reduced 91% of runoff volume, which is comparable to other permeable pavements constructed over infiltrative underlying soils [14,20,59].
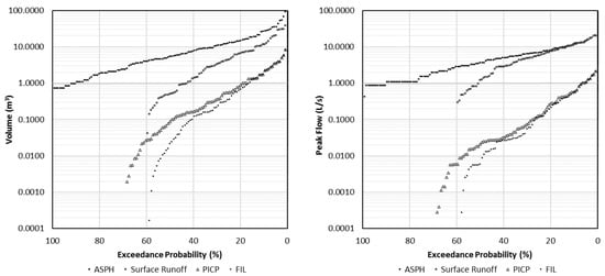
In addition to facilitating volume reduction, the PICP-FIL system significantly reduced peak flows by an average of nearly 51% (Table 9). Due to storage and exfiltration, peak flow mitigation was primarily provided by the PICP (Table 9). Most of the effluent peak flow was from surface runoff, which was estimated for 60% of events and occasionally equaled the peak flow from the asphalt (Figure 4). The proportion of events that did not generate underdrain flow from the PICP and Filterra® underdrains were 31% and 42%, respectively (Figure 4). Of the 13 events that had PICP underdrain flow but not Filterra® underdrain flow, the average antecedent dry period of 7.2 days was nearly twice that of the average from the entire study, lending to likely soil storage within the Filterra® media. The average underdrain lag time from the PICP (0.85 h) was consistent with those reported in other permeable pavement literature (0.50 to 2 h [15,19,60]). Additional lag from the Filterra® was not significant (p-value = 0.3831 via paired Wilcoxon signed-rank test) but increased the average lag to peak for the PICP-FIL system to 0.91 h (Table 9).
Table 9. Average peak flow reduction (QR), peak reduction ratio (Rpeak) and lag to peak due to primary treatment (PICP), secondary treatment (Filterra®) and overall (PICP-FIL) treatment.
Figure 4. Exceedance probabilities for volumes (left) and peak flows (right) including surface runoff.
Despite estimated surface runoff accounting for a majority of peak flows, the PICP still provided substantial volume mitigation, and were the system less clogged and properly functioning, it is possible pre-development hydrology would have been met. The amalgamation of volume reduction and peak flow results showed that even though the PICP was not functioning at maximum capacity, it provided most of the hydrologic mitigation within the treatment train, with minimal additional improvement provided by the Filterra®.

3.2. Water Quality

Median and mean rainfall depths of events sampled for water quality tended to be larger than the overall distribution (Table 10) because only larger rainfall events produced enough outflow for sampling of effluent from the PICP and Filterra® underdrains. The percentage of rainfall analyzed for water quality ranged from 14% (dissolved phosphorus at PICP) to 24% (TP and nitrogen species at ASPH) of the total rainfall depth measured during the monitoring period.
Table 10. Precipitation depths of sampled storm events at each location.
With the exception of NO2,3–N, stormwater treated by the PICP-FIL system was of better quality than untreated runoff (Table 11 and Table 12). Primary filtration by the PICP reduced sediment and sediment-bound pollutants (e.g., TSS, TP, a fraction of TKN). Secondary treatment by the Filterra® further reduced TSS and TP. Water quality from runoff treated by both systems was significantly improved for TSS, TP, TN and TKN; NO2,3–N was not significantly changed, and TAN and TDP were not statistically evaluated for overall treatment since all Filterra® effluent samples were less than the detection limit. TDP was also not statistically evaluated due to undetectable levels from the PICP and Filterra® effluent. In short, it appeared the system reduced concentrations of all pollutants evaluated, save NO2,3–N.
Table 11. Water quality EMC results by monitoring location for each pollutant.
Table 12. Median removal efficiencies for paired comparisons of primary, secondary, and overall treatment. Bolded values indicate pollutant removal or export was statistically significant.
Load reduction was almost completely attributed to primary treatment (exfiltration) provided by the PICP (Table 13). The PICP was sited over soils with very high infiltration rates, so a majority of pollutant load was reduced through exfiltration losses. Though the Filterra® significantly reduced EMC values for TSS and TP, the additional load reduction benefit was very small (less than 0.5%). TN reduction by the Filterra® was not significant. When untreated surface runoff was omitted from the analysis, PICP-FIL loading reductions were very high, removing more than 95% of pollutant loading (TSS: 99.8%, TP: 99.7%, TN: 96.9%). Were the PICP-FIL system implemented in a location where the contributing watershed was smaller and/or more stabilized (and thus less clogging occurred), it is hypothesized the system would have achieved higher pollutant load reductions.
Table 13. Load reduction due to primary treatment (PICP), secondary treatment (Filterra®) and overall treatment (PICP-FIL) from eight events ranging from 11.4 to 74.4 mm.

3.2.1. Total Suspended Solids

Filtration provided by the PICP and Filterra® significantly removed TSS (Table 12). Despite a large variation in influent sediment concentration (TSS: 4.8–600 mg/L), 87% of PICP effluent TSS concentrations were below the 25 mg/L target established by Barrett et al. [39] (Figure 5). The median PICP concentration (8.4 mg/L) was comparable to or less than effluent concentrations from other permeable pavement studies (6.5–9.2 mg/L [16]; 6 mg/L [22]; 8.3 mg/L [59]; 39 mg/L [61]). Secondary treatment by the Filterra® provided a supplementary TSS EMC reduction of 47% and increased the proportion of effluent concentrations below 25 mg/L to 100%. By filtering particles through its engineered media, the function of the Filterra® for sediment removal is similar to bioretention. The median effluent concentration from the Filterra® (3.6 mg/L) was lower than values reported in bioretention literature (13–20 mg/L [62]), but was similar to a standalone Filterra® monitored at the same parking lot (median: 4 mg/L [28]). This suggests that, regardless of pre-treatment or influent concentrations, effluent TSS concentrations from a Filterra® system will likely be similar and very low.
Figure 5. Event mean concentration exceedance probabilities (left) and cumulative load (right) for total suspended solids at each sampling location.
The overall PICP-FIL EMC removal efficiency of TSS was 96%, exceeding both the 85% pollutant removal credit awarded to permeable pavement and bioretention in North Carolina [34,63] and the 64% EMC reduction reported in a similar permeable pavement—bioretention treatment train study in NC [9]. Primary treatment by the PICP provided a majority of this EMC reduction (91%); supplemental treatment by the Filterra® (while significant) provided another 5% increase in overall reduction. This has been observed in other studies of SCMs installed in series, where little appreciable benefit is noted for secondary or tertiary treatment [11,12].
Despite (1) properly scheduled maintenance of the PICP and (2) intensive restorative measures (which included vacuuming and pressure washing), the effective filtration of particles caused progressive clogging of the PICP surface, which led to (previously discussed) substantial surface runoff. Because of this, the cumulative load reduction from eight storm events was approximately 20–40% lower than reductions as measured by median EMC removal efficiencies (Table 13). The PICP provided a majority of load reduction (Figure 5, Table 13). Secondary treatment by the Filterra® did not substantially reduce loads because (1) exfiltration losses removed a majority of the load during primary treatment; (2) the Filterra® does not have significant mechanisms for volume reduction; and (3) 99% of the load at the PICP sampling location was attributed to untreated surface runoff and therefore was unable to enter the Filterra®. Load reduction from the PICP-FIL system was comparable to, but slightly less than, the 76% reported from the standalone Filterra® monitored on the same lot [28].

3.2.2. Phosphorus

Influent TP concentrations were generally less than those reported from North Carolina asphalt parking lots (mean TP concentration: 0.19 mg/L [64]). As a result, effluent TP concentrations from both the PICP and Filterra® never exceeded the “good” water quality concentration threshold (0.11 mg/L) for the piedmont region of North Carolina as described in McNett et al. [41] (Figure 6). A majority of the phosphorus was sediment-bound and thus easily filtered by the PICP and Filterra® (Table 11 and Table 12). The Filterra® media is marketed as phosphorus adsorbent; while definitive comparisons could not be made due to low concentrations, it is possible the media facilitated additional TDP removal. Secondary treatment by the Filterra® significantly (and substantially) lowered TP concentrations, improving the median removal efficiency from 41% (PICP treatment only, x ˜ P I C P = 0.039 mg/L) to 75% (overall PICP-FIL treatment, x ˜ F I L = 0.029 mg/L). While TP concentrations entering the Filterra® were already low, additional filtering and sorption by the engineered media further reduced concentrations below those reported in bioretention literature (0.058–0.56 mg/L [62]). Effluent concentrations from the PICP-FIL system were also lower than those measured from the standalone Filterra® on the same site ( x ˜ o u t l e t = 0.038 mg/L [28]); adding the Filterra® downstream of the PICP clearly improved TP concentration reduction.
Figure 6. Event mean concentration exceedance probabilities (left) and cumulative load (right) for total phosphorus at each sampling location.
TP load reduction was comparable to that of bioretention studies conducted in North Carolina [65,66]. However, for the same reasons cited in the sediment discussion, secondary treatment provided little appreciable load reduction (Figure 6, Table 13). Cumulative TP load reduction (66%) exceeded the load reduction of 54% reported from the standalone Filterra® monitored at the same site [28], although the treated watershed was 20% smaller than that of the standalone unit. Even though “polishing” of the effluent by the Filterra® reduced concentrations substantially, this benefit was negligible from a load-reduction perspective.

3.2.3. Nitrogen

Primary treatment by the PICP reduced TN to a target concentration (0.99 mg/L [41]) 70% of the time (Figure 7). Secondary treatment by the Filterra® increased the probability of meeting this target to more than 85%. The median RE for the PICP and PICP-FIL system was 27% and 42%, respectively; secondary treatment by the Filterra® was not significant for TN or any nitrogen species (Table 12). The median concentration of the PICP effluent (0.68 mg/L) was comparable to effluent concentrations from other permeable pavement studies (e.g., 0.80–1.1 mg/L [16]; 0.83–1.28 mg/L [18]; 0.58–1.06 mg/L [67]; 0.58 mg/L [68]). TN reduction through the PICP was primarily due to filtration and sedimentation of particulate-bound organic nitrogen (ON) (ON = TKN − TAN), which accounted for 70% of the composition of nitrogen measured from the asphalt parking lot (Figure 8). Median concentrations of NO2,3–N increased during “treatment” by the PICP due to the introduction of NO3 via the nitrification of NH4+ (Table 11, Figure 8), which has been well-documented in other permeable pavement field studies [14,15,16,67]. Denitrifying NO3 to N2 gas requires anaerobic conditions (typically created through a saturated zone) and the presence of organic carbon. Since the PICP neither had a mechanism to create anaerobic conditions nor an identifiable carbon source, concentrations of NO3 tended to increase in the PICP runoff and in some individual storm events, contributed to an overall increase in total nitrogen.
Figure 7. Event mean concentrations exceedance probabilities (left) and cumulative load (right) for total nitrogen at each sampling location.
Figure 8. Composition of nitrogen forms at each sampling location.
Secondary treatment by the Filterra® contributed to further reductions in the median EMCs of TN, NO2,3–N, and TAN, but these reductions were not significant at the α = 0.05-level (p-values were 0.1309, 0.5420, and not calculable (due to more than 80% of data points reported below the detection limit) for TN, NO2,3–N, and TAN, respectively). This is due in part to relatively low influent concentrations. In a media-based vegetated filter, the primary pollutant removal mechanisms of nitrogen include filtration of particulate-N, immobilization, and denitrification [69]. Since the majority of particulate-N in the runoff was filtered by the PICP, additional reduction of TKN was improbable via secondary treatment. The planted tree in the Filterra® possibly facilitated TAN reduction through immobilization (the process when ammonium is assimilated into the biomass of microbes and plants), but TAN concentrations from the PICP were already low and frequently undetectable, accounting for less than 10% of the overall nitrogen composition. The Filterra® also lacked the saturated conditions required to facilitate denitrification, meaning that NO2,3–N treatment was inconsistent and variable. It is notable, though, that treatment by the Filterra® mitigated NO2,3–N export from the PICP such that comparisons of the entire PICP-FIL system showed no change in concentrations. Like for TAN, this was probably a factor of plant uptake, which has been shown to be a secondary, but viable, removal process for NO2,3–N [30,60,61,62,63,64,65,66,67,68,69,70,71]. Lastly, contact time with microbes is essential for denitrification to occur (e.g., [72]); Filterra® provides very little. For these reasons, supplemental nitrogen treatment from the Filterra® was modest.
After treatment by the PICP-FIL system, concentrations of each nitrogen species and load reductions for TN were comparable to those measured from the standalone Filterra® at the same parking lot [28]. Compared to the other pollutants, supplemental treatment from the Filterra® provided the greatest load reduction for TN, but this was still relatively marginal (an additional 2% (surface runoff included)).

4. Summary and Conclusions

The hydrologic and water quality treatment provided by a permeable pavement and biofiltration device installed in series was evaluated for 22 consecutive months. From this work, the following conclusions are drawn:
(1)
A high ratio of impervious drainage area to permeable pavement area (2.6:1) coupled with an old, deteriorating asphalt surface course caused extensive clogging of the PICP surface. The authors suggest future practices employ lower run-on ratios or avoid retrofit applications with a dilapidated drainage area. While volume reduction (VR: 57%) and peak flow reduction (QR: 51%) was still appreciable, the large volume of surface runoff (SR: 38%) substantially impaired overall hydrologic performance and pollutant load reduction.
(2)
The PICP significantly reduced sediment and particulate-bound pollutant concentrations (TSS, TP, TKN). NO2,3–N export occurred, a result typical of systems lacking saturated conditions. After treatment by the PICP, the EMCs of discharged runoff generally met concentration benchmarks [40,41].
(3)
Additional water quality improvement provided by the Filterra® was marginal and usually insignificant for most pollutants. Other studies of SCMs in series demonstrate similar results. Two reasons for this are influent (to the downstream SCM) irreducible concentrations and similar removal mechanisms employed by the two SCMs. The greatest benefit observed was for TP, a pollutant targeted by the Filterra® media. The Filterra® reduced TP concentrations by a median 29% and improved the median RE from 41% after treatment by the PICP to 75% overall. Secondary treatment by the Filterra® also significantly reduced TSS concentrations but only contributed an additional 5% improvement; TSS concentrations were already very low leaving the PICP. After treatment by the PICP-FIL system, concentrations were generally the same or lower than a standalone Filterra® monitored at the same parking lot [28]. If a second SCM is to be employed downstream of PICP, perhaps it should employ different pollutant removal mechanisms. In short, the one new pollutant removal mechanism that Filterra® introduced, sorption of phosphorus, was effective.
(4)
Performance of the PICP-FIL system was greatly influenced by the highly-permeable underlying soil. Load reduction was primarily provided by the PICP via exfiltration and to a lesser extent, sediment capture on the PICP surface, with the Filterra® providing less than 2% of additional load reduction for each pollutant. Secondary treatment did not substantially reduce loads because (1) exfiltration losses through the PICP and capture of sediment on the PICP surface removed most of the pollutant load; (2) the Filterra® does not incorporate a mechanism for significant volume reduction; and (3) load export was primarily due to untreated surface runoff that bypassed the Filterra®. Nearly all hydrologic mitigation (volume and flow) occurred during primary treatment by the PICP. Were a PICP-FIL system sited over less-infiltrative soils (and thus more outflow discharged to the Filterra®), it is probable that secondary treatment (at least for TSS and TP load) would have been more substantial.
(5)
Given that effluent concentrations and load reductions from the PICP-FIL system were comparable to the standalone Filterra® monitored at the same site, the combination of these two devices in series was probably not cost-effective—for this location. Similar water quality benefits could have been achieved by installing PICP or Filterra® as single SCMs, but the hydrologic benefit was greater for the PICP. Coupling these results with evidence from past studies [11,12], placing SCMs in series that employ similar pollutant removal mechanisms (and do not provide additional volume reduction) should probably be avoided.

Acknowledgments

This research was financially supported by Contech Engineered Solutions, LLC. (previously Americast/Filterra Biorention Systems) and the City of Fayetteville. North Carolina State University’s Shawn Kennedy (Department of Biological and Agricultural Engineering) was integral to project success.

Author Contributions

A. Braswell, A. Anderson, and W. Hunt conceived and designed the study; A. Braswell and A. Anderson implemented the monitoring and data collection for the study; A. Braswell and A. Anderson analyzed the data; W. Hunt reviewed data analysis and conclusions drawn ; A. Braswell wrote the paper with contribution and review from A. Anderson and W. Hunt.

Conflicts of Interest

The authors declare no conflict of interest.

References

  1. United States Environmental Protection Agency (USEPA). National Water Quality Inventory: Report to Congress; EPA 841-R-08-001; United States Environmental Protection Agency, Office of Water: Washington, DC, USA, 2004.
  2. Lee, J.; Bang, K. Characterization of urban stormwater runoff. Water Res. 2000, 34, 1773–1780. [Google Scholar] [CrossRef]
  3. Booth, D.; Hartley, D.; Jackson, R. Forest cover, impervious surface area, and the mitigation of storm-water impacts. J. Am. Water Resour. Assoc. 2002, 38, 835–845. [Google Scholar] [CrossRef]
  4. Line, D.E.; White, N.M.; Osmond, D.L.; Jennings, G.D.; Mojonnier, C.B. Pollutant export from various land uses in the upper neuse river basin. Water Environ. Res. 2002, 74, 100–108. [Google Scholar] [CrossRef] [PubMed]
  5. Line, D.; White, N. Effects of development on runoff and pollutant export. Water Environ. Res. 2007, 79, 185–190. [Google Scholar] [CrossRef] [PubMed]
  6. United States Environmental Protection Agency (USEPA). Technical Guidance on Implementing the Stormwater Runoff Requirements for Federal Projects under Section 438 of the Energy Independence and Security Act; No. EPA 841-B-09-001; United States Environmental Protection Agency, Office of Water: Washington, DC, USA, 2009.
  7. Fletcher, T.; Shuster, W.; Hunt, W.; Ashley, R.; Butler, D.; Arthur, S.; Trowsdale, S.; Barraud, S.; Semandeni-Davies, A.; Bertrand-Krajewski, J.; et al. SUDS, LID, BMPs, WSUD and more—The evolution and application of terminology surrounding urban drainage. Urban Water J. 2015, 12, 525–542. [Google Scholar] [CrossRef]
  8. Rushton, B.T. Low-impact parking lot design reduces runoff and pollutant loads. J. Water Ressour. Plan. Manag. 2001, 127, 172–179. [Google Scholar] [CrossRef]
  9. Brown, R.; Line, D.; Hunt, W. LID treatment train: Pervious concrete with subsurface storage in series with bioretention and care with seasonal high water tables. J. Environ. Eng. 2011, 138, 689–697. [Google Scholar] [CrossRef]
  10. Doan, L.; Davis, A. Bioretention-cistern-irrigation treatment train to minimize stormwater runoff. J. Sustain. Water Built Environ. 2017, 3, 04017003. [Google Scholar] [CrossRef]
  11. Hathaway, J.; Hunt, W. Evaluation of storm-water wetlands in series in piedmont North Carolina. J. Environ. Eng. 2010, 140–146. [Google Scholar] [CrossRef]
  12. Winston, R.; Hunt, W.; Kennedy, S.; Wright, J.; Lauffer, M. Field evaluation of storm-water control measures for highway runoff treatment. J. Environ. Eng. 2012, 101–111. [Google Scholar] [CrossRef]
  13. Strecker, E.W.; Quigley, M.M.; Urbonas, B.R.; Jones, J.E.; Clary, J.K. Determining urban storm water BMP effectiveness. J. Water Resour. Plan. Manag. 2001, 127, 144–149. [Google Scholar] [CrossRef]
  14. Bean, E.; Hunt, W.; Bidelspach, A. Evaluation of four permeable pavement sites in eastern North Carolina for runoff reduction and water quality impacts. J. Irrig. Drain. Eng. 2007, 133, 583–592. [Google Scholar] [CrossRef]
  15. Collins, K.; Hunt, W.; Hathaway, J. Hydrologic comparison of four types of permeable pavement and standard asphalt in Eastern North Carolina. J. Hydrol. Eng. 2008, 13, 1146–1157. [Google Scholar] [CrossRef]
  16. Drake, J.; Bradford, A.; Van Seters, T. Stormwater quality of spring-summer-fall effluent from three partial-infiltration permeable pavement systems and conventional asphalt pavement. J. Environ. Manag. 2014, 139, 69–79. [Google Scholar] [CrossRef] [PubMed]
  17. Dreelin, E.; Fowler, L.; Carroll, C. A test of porous pavement effectiveness on clay soils during natural storm events. Water Res. 2006, 40, 799–805. [Google Scholar] [CrossRef] [PubMed]
  18. Collins, K.; Hunt, W.; Hathaway, J. Side-by-side comparison of nitrogen species removal for four types of permeable pavement and standard asphalt in eastern North Carolina. J. Hydrol. Eng. 2010, 15, 512–521. [Google Scholar] [CrossRef]
  19. Fassman, E.; Blackbourn, S. Urban runoff mitigation by a permeable pavement system over impermeable soils. J. Hydrol. Eng. 2010, 15, 475–485. [Google Scholar] [CrossRef]
  20. Wardynski, B.; Winston, R.; Hunt, W. Internal water storage enhances exfiltration and thermal load reduction from permeable pavement in the North Carolina mountains. J. Environ. Eng. 2012, 139, 18–195. [Google Scholar] [CrossRef]
  21. Drake, J.; Bradford, A.; Van Seters, T. Hydrologic performance of three partial-infiltration permeable pavements in a cold climate over low permeability soil. J. Hydrol. Eng. 2014, 19, 04014016. [Google Scholar] [CrossRef]
  22. Roseen, R.; Ballestero, T.; Houle, J.; Avelleneda, P.; Wildey, R.; Briggs, J. Storm water low-impact development, conventional structural, and manufactured treatment strategies for parking lot runoff: Performance evaluations under varied mass loading conditions. Transp. Res. Rec. J. Transp. Res. Board 2006, 1984, 135–147. [Google Scholar] [CrossRef]
  23. Lenth, J.; Dugopolski, R.; Quigley, M.; Poresky, A.; Leisenring, M. Filterra Bioretention Systems: Technical Basis for High Flow Rate Treatment and Evaluation of Stormwater Quality Performance; Herrera Environmental Consultants: Seattle, WA, USA; Geosyntec Consultants: Brookline, MA, USA, 2010. [Google Scholar]
  24. Al-Hamdan, A.; Nnadi, F.; Romah, M. Performance reconnaissance of stormwater proprietary best management practices. J. Environ. Sci. Health Part A 2007, 42, 427–437. [Google Scholar] [CrossRef] [PubMed]
  25. Kostarelos, K.; Khan, E.; Callipo, N.; Velasquez, J.; Graves, D. Field study of catch basin inserts for the removal of pollutants from urban runoff. Water Resour. Manag. 2011, 25, 1205–1217. [Google Scholar] [CrossRef]
  26. Yu, S.L.; Stanford, R.L. Field evaluation of a stormwater bioretention filtration system. J. Environ. Eng. Manag. 2007, 17, 63–70. [Google Scholar]
  27. Contech Engineered Solutions. Filterra® Bioretention System Solutions Guide. Filterra Brochure 5M 2/15. Available online: http://www.conteches.com/DesktopModules/Bring2mind/DMX/Download.aspx?Command=Core_Download&EntryId=2739&language=en-US&PortalId=0&TabId=144 (accessed on 29 November 2015).
  28. Smolek, A.P.; Anderson, A.R.; Hunt, W.F. Hydrologic and water quality evaluation of a rapid-flow biofiltration device. J. Environ. Eng. 2018, 144, 05017010. [Google Scholar] [CrossRef]
  29. Withers and Ravenel. Engineering Analysis for Filterra; Proprietary BMP Report; Withers and Ravenel: Raleigh, NC, USA, 2008. [Google Scholar]
  30. Hunt, W.; Davis, A.; Traver, R. Meeting hydrologic and water quality goals through targeted bioretention design. J. Environ. Eng. 2012, 138, 698–707. [Google Scholar] [CrossRef]
  31. National Oceanic and Atmospheric Administration (NOAA). Annual Climatological Summary, Fayetteville, NC COOP: 313017. Available online: http://www.ncdc.noaa.gov/cdo-web/datasets (accessed on 24 April 2015).
  32. National Oceanic and Atmospheric Administration (NOAA). National Weather Service, JetStream—Online School for Weather. Available online: http://www.srh.noaa.gov/jetstream/global/climate_max.htm (accessed on 23 February 2016).
  33. Soil Survey. Web Soil Survey. Natural Resources Conservation Service, United States Department of Agriculture. Available online: http://websoilsurvey.nrcs.usda.gov/ (accessed on 24 April 2015).
  34. North Carolina Department of Environmental Quality (NCDEQ). Permeable Pavement. In Stormwater Best Management Practices Manual; North Carolina Department of Environment and Natural Resources, Division of Water Quality: Raleigh, NC, USA, 2012. [Google Scholar]
  35. American Society for Testing and Materials (ASTM). Classification for Sizes of Aggregate for Road and Bridge Construction; ASTM standard D448; ASTM: West Conshohocken, PA, USA, 2012. [Google Scholar]
  36. Eisenberg, B.E.; Lindow, K.C.; Smith, D.R. Permeable Pavements, 1st ed.; American Society of Civil Engineers: Reston, VA, USA, 2015. [Google Scholar]
  37. Clark, S.E.; Siu, C.Y.; Pitt, R.; Roenning, C.D.; Treese, D.P. Peristaltic Pump Autosamplers for Solids Measurement in Stormwater Runoff. Water Environ. Res. 2009, 81, 192–200. [Google Scholar] [CrossRef] [PubMed]
  38. Eaton, A.D.; Clesceri, L.S.; Greenberg, A.R. Standard Methods for the Examination of Water and Wastewater; American Public Health Association, American Water Works Association, and Water Environment Federation: Washington, DC, USA, 1995. [Google Scholar]
  39. United States Environmental Protection Agency (USEPA). Methods for Determination of Inorganic Substances in Environmental Samples; Report EPA 600-R-93-100; Office of Research and Development, USEPA: Washington, DC, USA, 1993.
  40. Barrett, M.; Lantin, A.; Austrheim-Smith, S. Stormwater pollutant removal in roadside vegetated buffer strips. Transp. Res. Rec. 2004, 1890, 129–140. [Google Scholar] [CrossRef]
  41. McNett, J.K.; Hunt, W.F.; Osborne, J.A. Establishing storm-water BMP evaluation metrics based upon ambient water quality associated with benthic macroinvertebrate populations. J. Environ. Eng. 2010, 136, 535–541. [Google Scholar] [CrossRef]
  42. American Society for Testing and Materials (ASTM). Standard Test Method for Surface Infiltration Rate of Permeable Unit Pavement Systems; ASTM standard C1781; ASTM: West Conshohocken, PA, USA, 2013. [Google Scholar]
  43. Winston, R.; Al-Rubaei, A.; Blecken, G.; Hunt, W. A simple infiltration test for determination of permeable pavement maintenance needs. J. Environ. Eng. 2016. [Google Scholar] [CrossRef]
  44. Driscoll, E. Analysis of Storm Event Characteristics for Selected Rainfall Gages Throughout the United States: Draft; United States Environmental Protection Agency: Washington, DC, USA, 1989.
  45. Davis, A.P. Field performance of bioretention: Hydrology impacts. J. Hydrol. Eng. 2008, 13, 90–95. [Google Scholar] [CrossRef]
  46. Natural Resources Conservation Service (NRCS). Urban Hydrology for Small Watersheds, 2nd ed.; Technical Release 55 (TR-55); United States Department of Agriculture (USDA), Natural Resources Conservation Service, Conservation Engineering Division: Washington, DC, USA, 1986.
  47. Natural Resources Conservation Service (NRCS). Estimation of direct runoff from storm rainfall. In Hydrology: National Engineering Handbook; Chapter 10, Part 360; United States Department of Agriculture (USDA), Natural Resources Conservation Service, Conservation Engineering Division: Washington, DC, USA, 2004. [Google Scholar]
  48. Kuichling, E. The relation between rainfall and the discharge in sewers in populous districts. Trans. Am. Soc. Civ. Eng. 1889, 20, 1–56. [Google Scholar]
  49. Chin, D.A. Water Resources Engineering, 2nd ed.; Pearson Prentice Hall: Upper Saddle River, NJ, USA, 2006. [Google Scholar]
  50. Teledyne ISCO, Inc. Flowlink Version 5.10.206 (Software); Teledyne ISCO, Inc.: Lincoln, NE, USA, 2005. [Google Scholar]
  51. Clausen, J.; Spooner, J. Paired Watershed Study Design; United States Environmental Protection Agency, 841-F-93-009, Office of Water: Washington, DC, USA, 1993.
  52. Bolks, A.; DeWire, A.; Harcum, J. Baseline Assessment of Left-Censored Environmental Data Using R; Tetra Tech Inc.: Fairfax, VA, USA, 2014. [Google Scholar]
  53. Lee, L. NADA: Nondetects and Data Analysis for Environment Data, R Package Version 1.5-6. Available online: http://CRAN.R-project.org/package=NADA (accessed on 2 September 2015).
  54. Helsel, D. Nondectects and Data Analysis: Statistics for Censored Environmental Data, 2nd ed.; John Wiley and Sons: Hoboken, NJ, USA, 2012. [Google Scholar]
  55. Skoulikidis, N.; Gritzalis, K.C.; Kouvarda, T.; Buffagni, A. The development of an ecological quality assessment and classification system for Greek running waters based on benthic macroinvertebrates. Hydrobiologia 2004, 516, 149–160. [Google Scholar] [CrossRef]
  56. Gresens, S.E.; Belt, K.T.; Tang, J.A.; Gwinn, D.C.; Banks, P.A. Temporal and spatial responses of chironomidae (diptera) and other benthic invertebrates to urban stormwater runoff. Hydrobiologia 2007, 575, 173–190. [Google Scholar] [CrossRef]
  57. Gray, N.F.; Delaney, E. Comparison of benthic macroinvertebrate indices for the assessment of the impact of acid mine drainage on an Irish river below an abandoned Cu–S mine. Environ. Pollut. 2008, 155, 31–40. [Google Scholar] [CrossRef] [PubMed]
  58. R Core Team (2015). R: A Language and Environment for Statistical Computing. R Foundation for Statistical Computing, Vienna, Austria. Available online: http://www.R-project.org/ (accessed on 20 January 2015).
  59. Legret, M.; Colandini, V. Effects of a porous pavement with reservoir structure on runoff water: Water quality and fate of heavy metals. Water Sci. Technol. 1999, 39, 111–117. [Google Scholar]
  60. Brattebo, B.; Booth, D. Long-term stormwater quantity and quality performance of permeable pavement systems. Water Res. 2003, 37, 4369–4376. [Google Scholar] [CrossRef]
  61. Fassman, E.; Blackbourn, S. Road runoff water-quality mitigation by permeable modular concrete pavers. J. Irrig. Drain. Eng. 2011, 137, 720–729. [Google Scholar] [CrossRef]
  62. Davis, A.; Hunt, W.F.; Traver, R.G.; Clar, M. Bioretention technology: Overview of current practice and future needs. J. Environ. Eng. 2009, 135, 109–117. [Google Scholar] [CrossRef]
  63. North Carolina Department of Environmental Quality (NCDEQ). Bioretention. In NCDEQ Stormwater BMP Manual; NCDEQ, Division of Energy, Mineral and Land Resources: Raleigh, NC, USA, 2009. [Google Scholar]
  64. Passeport, E.; Hunt, W. Asphalt parking lot runoff nutrient characterization for eight sites in North Carolina, USA. J. Hydrol. Eng. 2009, 14, 352–361. [Google Scholar] [CrossRef]
  65. Passeport, E.; Hunt, W.; Line, D.; Smith, R.; Brown, R. Field study of the ability of two grassed bioretention basins to reduce storm-water runoff pollution. J. Irrig. Drain. Eng. 2009, 135, 505–510. [Google Scholar] [CrossRef]
  66. Hunt, W.; Smith, J.; Jadlocki, S.; Hathaway, J.; Eubanks, P. Pollutant removal and peak flow mitigation by a bioretention cell in urban charlotte, N.C. J. Environ. Eng. 2008, 135, 403–408. [Google Scholar] [CrossRef]
  67. Brown, R.; Borst, M. Nutrient infiltrate concentrations from three permeable pavement types. J. Environ. Manag. 2015, 164, 74–85. [Google Scholar] [CrossRef] [PubMed]
  68. Roseen, R.; Ballestero, T.; Houle, J.; Briggs, J.; Houle, K. Water quality and hydrologic performance of a porous asphalt pavement as a storm-water treatment strategy in a cold climate. J. Environ. Eng. 2012, 138, 81–89. [Google Scholar] [CrossRef]
  69. Furhmann, J.J. Transformation of nitrogen. In Principles and Applications of Soil Microbiology; Prentice Hall: Upper Saddle River, NJ, USA, 2005. [Google Scholar]
  70. Bratieres, K.; Fletcher, T.; Deletic, A.; Zinger, Y. Nutrient and sediment removal by stormwater biofilters: A large-scale design optimisation study. Water Res. 2008, 42, 3930–3940. [Google Scholar] [CrossRef] [PubMed]
  71. Lucas, W.; Greenway, M. Nutrient retention in vegetated and nonvegetated bioretention mesocosms. J. Irrig. Drain. Eng. 2008, 137, 144–153. [Google Scholar] [CrossRef]
  72. Brown, R.A.; Hunt, W.F. Underdrain configuration to enhance bioretention infiltration and pollutant load reduction. J. Environ. Eng. 2011, 137, 1082–1091. [Google Scholar] [CrossRef]

Article Metrics

Citations

Article Access Statistics

Multiple requests from the same IP address are counted as one view.