Rapid Detection of Epinephelus Species Substitution in the Greek Market Using High-Resolution Melting Analysis
Abstract
1. Introduction
2. Materials and Methods
2.1. Sample Collection and Morphological Identification
2.2. DNA Extraction, PCR, and Sequencing
2.3. Sanger Sequencing and In Silico Analysis
2.4. HRM Analysis
3. Results
3.1. Species Identification by Morphological Characteristics
3.2. Sequencing-Based Identification—COI Barcoding
3.3. Sequencing of mtDNA Candidate Regions for the Detection of SNPs
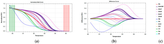
3.4. HRM Analysis of Mitochondrial Gene Regions for the Identification of E. aeneus and E. marginatus Species
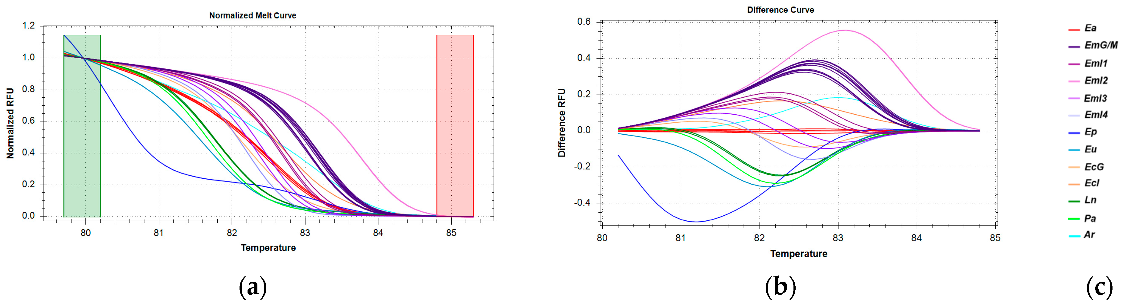
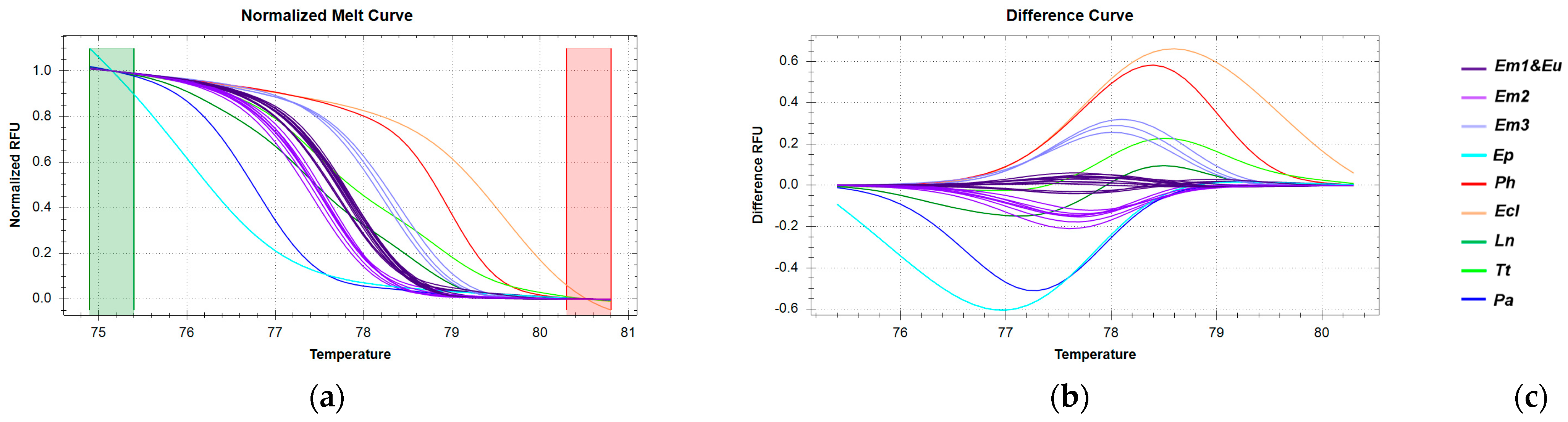
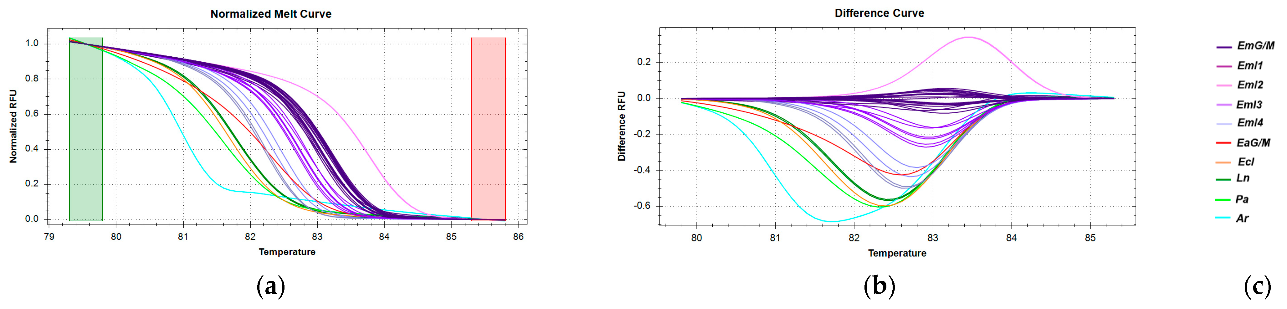
3.4.1. HRM Analysis for the Detection of E. aeneus Species
3.4.2. HRM Analysis for the Detection of E. marginatus Species
4. Discussion
5. Conclusions
Supplementary Materials
Author Contributions
Funding
Institutional Review Board Statement
Informed Consent Statement
Data Availability Statement
Acknowledgments
Conflicts of Interest
References
- Heemstra, P.C.; Randall, J.E. FAO Species Catalogue Vol. 16. Groupers of the world (Family Serranidae, Subfamily Epi- nephelinae). An annotated and illustrated catalogue of the grouper, rockcod, hind, coral, grouper, and lyretail species known to date. Fao Fish. Synop. 1993, 16, 382. [Google Scholar]
- Froese, R.; Pauly, D. (Eds.) . FishBase; World Wide Web Electronic Publication: Cambridge, MA, USA, 2023; Available online: http://fishbase.org (accessed on 3 December 2024).
- Pollard, D.A.; Francour, P.; Fennessy, S. Epinephelus aeneus. The IUCN Red List of Threatened Species. 2018; E.T132722A100459597. Available online: https://www.iucnredlist.org/species/132722/100459597 (accessed on 3 December 2024). [CrossRef]
- Hassin, S.; De Monbrison, D.; Hanin, Y.; Elizur, A.; Zohar, Y.; Popper, D.M. Domestication of the white grouper, Epinephelus aeneus 1. Growth and reproduction. Aquaculture 1997, 156, 305–316. [Google Scholar] [CrossRef]
- Pollard, D.A.; Afonso, P.; Bertoncini, A.A.; Fennessy, S.; Francour, P.; Barreiros, J. Epinephelus marginatus. The IUCN Red List of Threatened Species. 2018; E.T7859A100467602. Available online: https://www.iucnredlist.org/species/7859/100467602 (accessed on 3 December 2024). [CrossRef]
- Cornish, A.; Harmelin-Vivien, M. Epinephelus marginatus (Mediterranean Assessment). The IUCN Red List of Threatened Species 2011: E.T7859A12856576. Available online: https://www.iucnredlist.org/species/7859/12856576 (accessed on 4 December 2024).
- EUMOFA EU Consumer Habits Regarding Fishery and Aquaculture Products—Annex 1 Mapping and Analysis of Existing Studies on Consumer Habits. Eur. Mark. Obs. Fish. Aquac. Prod. 2017, 46. Available online: https://data.europa.eu/doi/10.2771/179643 (accessed on 30 November 2024).
- European Commission Council Regulation (EC). No 1379/2013 of the European Parliament and of the Council of 11 December 2013 on the common organisation of the markets in fishery and aquaculture products, amending Council Regulations (EC) No 1184/2006 and (EC) No 1224/2009 and repealing Council Regulation (EC) No 104/2000. Off. J. Eur. Union 2013, L354, 1–21. [Google Scholar]
- Verrez-Bagnis, V.; Sotelo, C.G.; Mendes, R.; Silva, H.; Kappel, K.; Schröder, U. Methods for seafood authenticity testing in Europe. In Bioactive Molecules in Food; Mérillon, J.M., Ramawat, K., Eds.; Springer: Berlin/Heidelberg, Germany, 2019; pp. 2063–2117. ISBN 9783319780306. [Google Scholar] [CrossRef]
- Rasmussen, R.S.; Morrissey, M.T. Application of DNA-Based methods to identify fish and seafood substitution on the commercial market. Compr. Rev. Food Sci. Food Saf. 2009, 8, 118–154. [Google Scholar] [CrossRef]
- Asensio, L.; González, I.; García, T.; Martín, R. Determination of food authenticity by Enzyme-Linked Immunosorbent Assay (ELISA). Food Control 2008, 19, 1–8. [Google Scholar] [CrossRef]
- Almeida, L.L.; Hostim-Silva, M.; Condini, M.V.; Freitas, M.O.; Bueno, L.S.; Bentes, B.; Pereira, L.d.J.G.; Farro, A.P.C. Mislabeling, Illegal Capture, and Commercialization of Atlantic goliath grouper (Epinephelus itajara) on the Brazilian coast using DNA Barcoding. Neotrop. Ichthyol. 2024, 22. [Google Scholar] [CrossRef]
- Horreo, J.L.; Fitze, P.S.; Jiménez-Valverde, A.; Noriega, J.A.; Pelaez, M.L. Amplification of 16S rDNA reveals important fish mislabeling in Madrid restaurants. Food Control 2019, 96, 146–150. [Google Scholar] [CrossRef]
- Wang, D.; Hsieh, Y.H.P. The Use of Imported Pangasius Fish in Local Restaurants. Food Control 2016, 65, 136–142. [Google Scholar] [CrossRef]
- Cermakova, E.; Lencova, S.; Mukherjee, S.; Horka, P.; Vobruba, S.; Demnerova, K.; Zdenkova, K. identification of fish species and targeted genetic modifications based on DNA analysis: State of the Art. Foods 2023, 12, 228. [Google Scholar] [CrossRef] [PubMed]
- Calosso, M.C.; Claydon, J.A.B.; Mariani, S.; Cawthorn, D.M. Global footprint of mislabelled seafood on a small island nation. Biol. Conserv. 2020, 245, 108557. [Google Scholar] [CrossRef]
- Vindigni, G.; Pulvirenti, A.; Alaimo, S.; Monaco, C.; Spina, D.; Peri, I. Bioinformatics approach to mitigate mislabeling in EU seafood market and protect consumer health. Int. J. Environ. Res. Public Health 2021, 18, 7497. [Google Scholar] [CrossRef]
- Schoelinck, C.; Hinsinger, D.D.; Dettaï, A.; Cruaud, C.; Justine, J.L. A phylogenetic re-analysis of groupers with applications for Ciguatera Fish Poisoning. PLoS ONE 2014, 9, e0098198. [Google Scholar] [CrossRef] [PubMed]
- Kusche, H.; Hanel, R. Consumers of mislabeled tropical fish exhibit increased risks of ciguatera intoxication: A report on substitution patterns in fish imported at Frankfurt airport, Germany. Food Control 2021, 121, 107647. [Google Scholar] [CrossRef]
- Ulrich, R.M.; John, D.E.; Barton, G.W.; Hendrick, G.S.; Fries, D.P.; Paul, J.H. A handheld sensor assay for the identification of grouper as a safeguard against seafood mislabeling fraud. Food Control 2015, 53, 81–90. [Google Scholar] [CrossRef]
- Anjali, K.M.; Mandal, A.; Gunalan, B.; Ruban, L.; Anandajothi, E.; Thineshsanthar, D.; Manojkumar, T.G.; Kandan, S. Identification of six grouper species under the genus Epinephelus (Bloch, 1793) from Indian waters using PCR-RFLP of cytochrome c oxidase I (COI) gene fragment. Food Control 2019, 101, 39–44. [Google Scholar] [CrossRef]
- Cocolin, L.; D’Agaro, E.; Manzano, M.; Lanari, D.; Comi, G. Rapid PCR-RFLP method for the identification of marine fish fillets (seabass, seabream, umbrine, and dentex). J. Food Sci. 2000, 65, 1315–1317. [Google Scholar] [CrossRef]
- Pappalardo, A.M.; Giuga, M.; Raffa, A.; Nania, M.; Rossitto, L.; Calogero, G.S.; Ferrito, V. COIBar-RFLP molecular strategy discriminates species and unveils commercial frauds in fishery products. Foods 2022, 11, 1569. [Google Scholar] [CrossRef] [PubMed]
- Chatzoglou, E.; Tsaousi, N.; Apostolidis, A.P.; Exadactylos, A.; Sandaltzopoulos, R.; Giantsis, I.A.; Gkafas, G.A.; Malandrakis, E.E.; Sarantopoulou, J.; Tokamani, M.; et al. High-Resolution Melting (HRM) Analysis for rapid molecular identification of sparidae species in the greek fish market. Genes 2023, 14, 1255. [Google Scholar] [CrossRef] [PubMed]
- Giantsis, I.A.; Tokamani, M.; Triantaphyllidis, G.; Tzatzani, S.; Chatzinikolaou, E.; Toros, A.; Bouchorikou, A.; Chatzoglou, E.; Miliou, H.; Sarantopoulou, J.; et al. Development of multiplex PCR and Melt-Curve Analysis for the molecular identification of four species of the Mullidae family, Available in the Market. Genes 2023, 14, 960. [Google Scholar] [CrossRef] [PubMed]
- Tomás, C.; Ferreira, I.M.P.L.V.O.; Faria, M.A. Codfish authentication by a fast short amplicon High Resolution Melting Analysis (SA-HRMA) method. Food Control 2017, 71, 255–263. [Google Scholar] [CrossRef]
- Fitzcharles, E.M. Rapid discrimination between four antarctic fish species, Genus Macrourus, Using HRM Analysis. Fish. Res. 2012, 127–128, 166–170. [Google Scholar] [CrossRef]
- Buddhachat, K.; Attakitbancha, C.; Ritbamrung, O.; Chanthap, K.; Suwannapoom, C.; Nganvongpanit, K. Using Mini-Barcodes Coupled with High Resolution Melting (Minibar-HRM) method for species discrimination across Pangasianodon gigas, Pangasianodon hypophthalmus and Pangasius larnaudii. Aquaculture 2021, 530, 735773. [Google Scholar] [CrossRef]
- Druml, B.; Cichna-Markl, M. High resolution melting (HRM) analysis of DNA—Its role and potential in food analysis. Food Chem. 2014, 158, 245–254. [Google Scholar] [CrossRef] [PubMed]
- Wittwer, C.T. High-resolution DNA melting analysis: Advancements and limitations. Hum. Mutat. 2009, 30, 857–859. [Google Scholar] [CrossRef]
- FAO Major Fishing Areas. Available online: https://fish-commercial-names.ec.europa.eu/fish-names/fishing-areas_en (accessed on 28 November 2024).
- Bariche, M. Field Identification Guide to the Living Marine Resources of the Eastern and Southern Mediterranean. FAO Species Identification Guide for Fishery Purposes. 2012. Available online: http://www.fao.org/3/i1276b/i1276b00.htm (accessed on 30 November 2024).
- Biomatters. Geneious Prime 2022.1 User Manual. Data Base 2013, 3304, 1–148.
- Lee, S.; Lee, D.S.; Yoo, J.S.; Song, H.Y. Characterization of the complete mitochondrial genome of the white grouper Epinephelus aeneus (Perciformes, Serranidae) and a comparative analysis with other Serranidae species. Mitochondrial DNA B Resour. 2020, 5, 2226–2227. [Google Scholar] [CrossRef]
- Handy, S.M.; Deeds, J.R.; Ivanova, N.V.; Hebert, P.D.N.; Hanner, R.H.; Ormos, A.; Weigt, L.A.; Moore, M.M.; Yancy, H.F. A single-laboratory validated method for the generation of DNA barcodes for the identification of fish for regulatory compliance. J. AOAC Int. 2011, 94, 201–211. [Google Scholar] [CrossRef]
- Inoue, J.G.; Miya, M.; Tsukamoto, K.; Nishida, M. A Mitogenomic perspective on the basal Teleostean phylogeny: Resolving higher-level relationships with longer DNA sequences. Mol. Phylogenet. Evol. 2001, 20, 275–285. [Google Scholar] [CrossRef] [PubMed]
- Santa Brígida, E.L.; Cunha, D.B.; Rego, P.S.; Sampaio, I.; Schneider, H.; Vallinoto, M. Population analysis of Scomberomorus cavalla (Cuvier, 1829) (Perciformes, Scombridae) from the Northern and Northeastern coast of Brazil. Braz. J. Biol. 2007, 67 (Suppl. S4), 919–924. [Google Scholar] [CrossRef]
- McGinnis, S.; Madden, T.L. BLAST: At the Core of a powerful and diverse set of sequence analysis tools. Nucleic Acids Res. 2004, 32, 20–25. [Google Scholar] [CrossRef]
- Benson, D.A.; Cavanaugh, M.; Clark, K.; Karsch-Mizrachi, I.; Lipman, D.J.; Ostell, J.; Sayers, E.W. GenBank. Nucleic Acids Res. 2013, 41, 36–42. [Google Scholar] [CrossRef] [PubMed]
- Ratnasingham, S.; Hebert, P.D.N. BOLD: The Barcode of Life Data System (www.barcodinglife.org). Mol. Ecol. Notes 2007, 7, 355–364. Available online: https://v4.boldsystems.org (accessed on 27 November 2024). [CrossRef] [PubMed]
- Sievers, F.; Wilm, A.; Dineen, D.; Gibson, T.J.; Karplus, K.; Li, W.; Lopez, R.; McWilliam, H.; Remmert, M.; Söding, J.; et al. Fast, scalable generation of high-quality protein multiple sequence alignments using Clustal Omega. Mol. Syst. Biol. 2011, 7, 539. [Google Scholar] [CrossRef] [PubMed]
- Madeira, F.; Madhusoodanan, N.; Lee, J.; Eusebi, A.; Niewielska, A.; Tivey, A.R.N.; Lopez, R.; Butcher, S. The EMBL-EBI Job Dispatcher Sequence Analysis Tools Framework in 2024. Nucleic Acids Res 2024, 52, W521–W525. Available online: https://www.ebi.ac.uk/jdispatcher/msa/clustalo (accessed on 30 November 2024). [CrossRef] [PubMed]
- Teletchea, F. Molecular identification methods of fish species: Reassessment and possible applications. Rev Fish Biol 2009, 19, 265–293. [Google Scholar] [CrossRef]
- Rasmussen Hellberg, R.S.; Morrissey, M.T. Advances in DNA-Based Techniques for the Detection of Seafood Species Substitution on the Commercial Market. J. Lab. Autom. 2011, 16, 308–321. [Google Scholar] [CrossRef] [PubMed]
- Bartlett, S.E.; Davidson, W.S. FINS (forensically informative nucleotide sequencing): A procedure for identifying the animal origin of biological specimens. BioTechniques 1992, 12, 408–411. [Google Scholar] [PubMed]
- KAPA HRM FAST qPCR Kit. Technical Data Sheet; KAPA BIOSYSTEMS: Cape Town, South Africa, 2017; pp. 1–4. Available online: https://www.sigmaaldrich.com/deepweb/assets/sigmaaldrich/product/documents/870/873/hrmfastkb.pdf (accessed on 4 April 2024).
- Bio-Rad Laboratories, Inc. Precision Melt Analysis TM Software Instruction Manual; Bio-Rad Laboratories, Inc.: Hercules, CA, USA, 2019. [Google Scholar]
- Fischer, W.; Schneider, M.; Bauchot, M.L. Guide Fao d’Identification des Espèces Pour les Besoins de la Pêche Méditerranée et Mer Noire—Zone de Pêche 37; FAO Fisheries Department: Rome, Italy, 2024; p. 2. [Google Scholar]
- Bañón, R.; de Carlos, A.; Alonso-Fernández, A.; Ramos, F.; Baldó, F. Apparently contradictory routes in the expansion of two fish species in the Eastern Atlantic. J. Fish Biol. 2020, 96, 1051–1054. [Google Scholar] [CrossRef] [PubMed]
- Keskin, E.; Atar, H.H. DNA Barcoding commercially important fish species of Turkey. Mol. Ecol. Resour. 2013, 13, 788–797. [Google Scholar] [CrossRef] [PubMed]
- Chaabane, A.; Neifar, L.; Gey, D.; Justine, J.L. Species of Pseudorhabdosynochus (Monogenea, Diplectanidae) from Groupers (Mycteroperca spp., Epinephelidae) in the Mediterranean and Eastern Atlantic Ocean, with special reference to the “beverleyburtonae group” and description of two new species. PLoS ONE 2016, 11, e0159886. [Google Scholar] [CrossRef]
- Steinke, D.; Connell, A.D.; Hebert, P.D.N. Linking Adults and Immatures of South African Marine Fishes. Genome 2016, 59, 959–967. [Google Scholar] [CrossRef]
- Alvarenga, M.; D’Elia, A.K.P.; Rocha, G.; Arantes, C.A.; Henning, F.; de Vasconcelos, A.T.R.; Solé-Cava, A.M. Mitochondrial Genome Structure and Composition in 70 Fishes: A Key Resource for Fisheries Management in the South Atlantic. BMC Genom. 2024, 25, 215. [Google Scholar] [CrossRef] [PubMed]
- Minoudi, S.; Karaiskou, N.; Avgeris, M.; Gkagkavouzis, K.; Tarantili, P.; Triantafyllidou, D.; Palilis, L.; Avramopoulou, V.; Tsikliras, A.; Barmperis, K.; et al. Seafood Mislabeling in Greek Market Using DNA Barcoding. Food Control 2020, 113, 107213. [Google Scholar] [CrossRef]
- Friedheim, S. Comparison of Species Identification Methods: DNA Barcoding versus Morphological Taxonomy. DNA Horiz. 2016, 1, 74–86. Available online: http://hdl.handle.net/10125/76618 (accessed on 1 November 2024).
- Di Pinto, A.; Marchetti, P.; Mottola, A.; Bozzo, G.; Bonerba, E.; Ceci, E.; Bottaro, M.; Tantillo, G. species identification in fish fillet products using DNA Barcoding. Fish Res. 2015, 170, 9–13. [Google Scholar] [CrossRef]
- Mottola, A.; Marchetti, P.; Bottaro, M.; Pinto, A. DNA Barcoding for species identification in prepared fishery products. Albanian J. Agric. Sci. 2014, 13, 447–453. [Google Scholar]
- Saccone, C.; De Giorgi, C.; Gissi, C.; Pesole, G.; Reyes, A. Evolutionary Genomics in Metazoa: The Mitochondrial DNA as a Model System. Gene 1999, 238, 195–209. [Google Scholar] [CrossRef]
- Teletchea, F.; Maudet, C.; Hänni, C. Food and Forensic Molecular Identification: Update and Challenges. Trends Biotechnol. 2005, 23, 359–366. [Google Scholar] [CrossRef]
- Słomka, M.; Sobalska-Kwapis, M.; Wachulec, M.; Bartosz, G.; Strapagiel, D. High Resolution Melting (HRM) for high-throughput genotyping—Limitations and caveats in practical case studies. Int. J. Mol. Sci. 2017, 18, 2316. [Google Scholar] [CrossRef] [PubMed]
- Er, T.K.; Chang, J.G. High-Resolution Melting: Applications in genetic disorders. Clin. Chim. Acta 2012, 414, 197–201. [Google Scholar] [CrossRef]
- Asensio, L.; González, I.; Rojas, M.; García, T.; Martín, R. PCR-Based methodology for the authentication of Grouper (Epinephelus marginatus) in commercial fish fillets. Food Control 2009, 20, 618–622. [Google Scholar] [CrossRef]
- Asensio, L.; González, I.; Pavón, M.A.; García, T.; Martín, R. An Indirect ELISA and a PCR technique for the detection of Grouper (Epinephelus marginatus) mislabeling. Food Addit. Contam. Part A Chem. Anal. Control. Expo. Risk Assess. 2008, 25, 677–683. [Google Scholar] [CrossRef] [PubMed]
- Trotta, M.; Schönhuth, S.; Pepe, T.; Cortesi, M.L.; Puyet, A.; Bautista, J.M. Multiplex PCR method for use in real-time PCR for identification of fish fillets from grouper (Epinephelus and Mycteroperca Species) and common substitute species. J. Agric. Food Chem. 2005, 53, 2039–2045. [Google Scholar] [CrossRef]
- Cutarelli, A.; Amoroso, M.G.; De Roma, A.; Girardi, S.; Galiero, G.; Guarino, A.; Corrado, F. Italian market fish species identification and commercial frauds revealing by DNA sequencing. Food Control 2014, 37, 46–50. [Google Scholar] [CrossRef]
- Fernandes, T.J.R.; Costa, J.; Oliveira, M.B.P.P.; Mafra, I. DNA Barcoding coupled to HRM analysis as a new and simple tool for the authentication of Gadidae fish species. Food Chem. 2017, 230, 49–57. [Google Scholar] [CrossRef] [PubMed]
- Shi, R.; Xiong, X.; Huang, M.; Xu, W.; Li, Y.; Cao, M.; Xiong, X. High Resolution Melting (HRM) analysis of a 12s rRNA mini barcode as a novel approach for Codfish species authentication in processed fish products. Eur. Food Res. Technol. 2020, 246, 891–899. [Google Scholar] [CrossRef]
- Fernandes, T.J.R.; Costa, J.; Oliveira, M.B.P.P.; Mafra, I. COI Barcode-HRM as a novel approach for the discrimination of hake species. Fish Res. 2018, 197, 50–59. [Google Scholar] [CrossRef]
- Chen, C.; Ding, Y.; Wang, Y.; Jiang, Q.; Wang, F.; Lu, C.; Zhang, L.; Zhu, C. High-Resolution Melting Analysis of COI Sequences distinguishes pufferfish species (Takifugu spp.) in China. J. Agric. Food Chem. 2021, 69, 794–804. [Google Scholar] [CrossRef] [PubMed]
- Morgan, J.A.T.; Welch, D.J.; Harry, A.V.; Street, R.; Broderick, D.; Ovenden, J.R. A mitochondrial species identification assay for Australian blacktip sharks (Carcharhinus tilstoni, C. limbatus and C. amblyrhynchoides) Using Real-Time PCR and High-Resolution Melt Analysis. Mol. Ecol. Resour. 2011, 11, 813–819. [Google Scholar] [CrossRef] [PubMed]
- Seetapan, K.; Panprommin, N.; Wangkahart, E.; Ruenkoed, S.; Panprommin, D. COI-High Resolution Melting Analysis for discrimination of four fish species in the family Notopteridae in Thailand. Zool. Anz. 2024, 309, 90–97. [Google Scholar] [CrossRef]
- Monteiro, C.S.; Deconinck, D.; Eljasik, P.; Sobczak, M.; Derycke, S.; Panicz, R.; Kane, N.; Mazloomrezaei, M.; Devlin, R.H.; Faria, M.A. A Fast HRMA tool to authenticate eight salmonid species in commercial food products. Food Chem. Toxicol. 2021, 156. [Google Scholar] [CrossRef]
- D’Amico, P.; Armani, A.; Gianfaldoni, D.; Guidi, A. New provisions for the labelling of fishery and aquaculture products: Difficulties in the implementation of Regulation (EU) n. 1379/2013. Mar. Policy 2016, 71, 147–156. [Google Scholar] [CrossRef]









| Species | Sample Id | Site of Collection | FAO Region | Fresh Whole Fish | Frozen | Filleted | Cooked |
|---|---|---|---|---|---|---|---|
| E. aeneus (Ea) | EaG | CY | 37.3.1 | 10 | 1 * | 3 * | |
| EaG | SP | 37.3.1 | 11 | 1 * | 3 * | ||
| EaG | SG | 37.3.1 | 6 | 2 * | 2 * | ||
| EaG | DO | 37.3.1 | 5 | 2 * | 2 * | ||
| EaG | CR | 37.3.1 | 3 | 1 * | 1 * | ||
| EaG | TG | 37.3.1 | 1 | 1 * | |||
| EaG | CM | 37.3.1 | 1 | 1 * | |||
| EaG | IO | 37.2.2 | 5 | 2 * | 3 * | ||
| EaM | ME | 37.1.1 | 1 | ||||
| EaGM | FM/SM | 37.1.1 | 1 | 1 | |||
| EaI | IMP: FM/SM | 37.1.3, 34.3.1, 34.3.2, 51, 57 | 3 | 3 | 4 * | ||
| EaR | RE | 1 | 6 | ||||
| E. marginatus (Em) | EmG | CY | 37.3.1 | 5 | 2 * | ||
| EmG | SP | 37.3.1 | 2 | 2 * | |||
| EmG | SG | 37.3.1 | 17 | 5 * | |||
| EmG | DO | 37.3.1 | 2 | 1 * | |||
| EmG | CR | 37.3.1 | 8 | 3 * | |||
| EmG | NA | 37.3.1 | 1 | 1 * | |||
| EmG | CM | 37.3.1 | 1 | ||||
| EmG | IO | 37.2.2 | 2 | ||||
| EmGM | FM/SM | 37.1.1 | 2 | ||||
| EmM | ME | 37.1.1 | 3 | 1 | |||
| EmI | IMP: FM/SM | 37.1.3, 34.3.1, 34.3.2 | 8 | 4 * | |||
| EmR | RE | 2 | 2 | ||||
| Epinephelus costae (Ec) | EmG | SP | 37.3.1 | 3 | |||
| EmG | SG | 37.3.1 | 4 | ||||
| EmG | CR | 37.3.1 | 3 | ||||
| EmI | IMP: FM/SM | IMP: 37.1.3, 34.3.1, 34.3.2 | 6 | 3 * | |||
| EmGM | FM/SM | 37.1.1 | 1 | ||||
| EmR | RE | 1 | 1 | ||||
| L. niloticus (Ln) | Ln | IMP: FM/SM | 3 | 1 | 2 * | ||
| P. americanus (Pa) | Pa | IMP: FM/SM | 1 | 1 | 1 * | ||
| P. hypophthalmus (Ph) | Ph | IMP: FM/SM | 2 | 1 * | |||
| T. thynnus | Tt | IMP: FM/SM | 1 |
| mtDNA Region | Primer Name | Primer Sequence | Annealing T | Fragment Length (bp) |
|---|---|---|---|---|
| COI barcode | mCOIFu 1 | TCAACYAATCAYAAAGATATYGGCAC | 55 °C | 706 |
| mCOIRu 1 | AGACTTCTGGGTGNCCAAARAATCA | |||
| 16S rRNA | 16sF2 2 | AGTATGRGCGACAGAAAAGGA | 53 °C | 1389 |
| 16sR1_L 3 | TGCACCATTRGGATGTCCTGATCCAACATC | |||
| cytb | GluF 3 | AACCACCGTTGTTACTCAAC | 53 °C | 1141 |
| cytbUR 3 | GCAAATAGGAARTATCAYTCRGG | |||
| 12S rRNA | 12sF2 4 | AGCTAGACTTACACATGCAAGT | 53 °C | 668 |
| 12sRe 4 | CCATACGCTACACCTCGACC | |||
| ND2 | ND2Fe 4 | CACTGACTACTTGCCTGAATAGG | 56 °C | 746 |
| ND2Re 4 | GTCTTGTTTTGTTAGTTCTTGGAG | |||
| ND5 | ND5F 4 | ACACCGGTCTCTGCCCTACT | 52 °C | 487 |
| ND5R 4 | AGGGCTCAGGCGTTTAGGT | |||
| CR | CRFea 4 | CCCCTCAAGTACTCAAAGAG | 52 °C | 1103 * |
| Perc12s1R 5 | GCGGATACTCGCATGTGTAA | |||
| CR | CRFea 4 | CCCCTCAAGTACTCAAAGAG | 52 °C | 1103–1493 ** |
| CRR3e 4 | GGATTGTTAAAGACTTCAAGGG |
| GENE | Name | Primer | Annealing T/°C | Fragment Length (bp) |
|---|---|---|---|---|
| 16S rRNA | q16sFe | AAGACGAGAAGACCCTATGGAG | 56 | 114 bp |
| q16sRe | TCGCCCCAACCAAAGACATTAG | |||
| cytb | HcytEaF | TATCTGTATCTACGCCCACA | 52 | 129 bp |
| HcytEaR | GGAAGAACATATCCCACGAA | |||
| ND2 | HND2EmF | CTATTCTTGCCCTCTCCCTA | 54 | 127 bp |
| HND2EmR | GCGAAGGGTGCTAATTTTTG | |||
| CR | qCRFe | ATGCACAGTAAGAACCTACCAA | 54 | 124 bp |
| qCRR2e | CTGAAATAGGAACCAGATGCCA |
| mtDNA Region | Species | Accession Number | Percent Identity |
|---|---|---|---|
| COI barcode | E. aeneus | OR056374 | 100% |
| COI barcode | E. aeneus | OR056375 | 100% |
| COI barcode | E. aeneus | OR056376 | 99.85% |
| COI barcode | E. aeneus | OR056377 | 99.85% |
| COI barcode | E. aeneus | OR056378 | 100% |
| COI barcode | E. aeneus | OR056379 | 100% |
| COI barcode | E. aeneus | OR056380 | 100% |
| COI barcode | E. aeneus | OR056381 | 99.85% |
| COI barcode | E. aeneus | OR056382 | 100% |
| COI barcode | E. aeneus | OR056383 | 99.85% |
| COI barcode | E. marginatus | OR056425 | 99.85% |
| COI barcode | E. marginatus | OR056426 | 99.85% |
| COI barcode | E. marginatus | OR056427 | 99.85% |
| COI barcode | E. marginatus | OR056428 | 99.85% |
| COI barcode | E. marginatus | OR056429 | 99.70% |
| COI barcode | E. marginatus | OR056430 | 99.85% |
| COI barcode | E. marginatus | OR056431 | 99.70% |
| COI barcode | E. marginatus | OR056432 | 99.85% |
| COI barcode | E. marginatus | OR056433 | 99.70% |
| COI barcode | E. marginatus | OR056434 | 99.70% |
| 16S rRNA | E. aeneus | OR091278 | 100% |
| 16S rRNA | E. marginatus | OR091274 | 100% |
| 16S rRNA | E. marginatus | OR091275 | 99.69% |
| cytb | E. aeneus | OR100408 | 99.73–100% |
| cytb | E. aeneus | OR100409 | 99.60–99.87% |
| cytb | E. aeneus | OR100410 | 99.60–99.87% |
| cytb | E. aeneus | OR100411 | 99.56–100% |
| cytb | E. marginatus | OR100404 | 99.42–100% |
| cytb | E. marginatus | OR100405 | 99.42–100% |
| cytb | E. marginatus | OR100406 | 99.26–99.85% |
| cytb | E. marginatus | OR100407 | 99.38–100% |
| ND2 | E. aeneus | PQ824233 | 99.85% |
| ND2 | E. aeneus | PQ824234 | 100% |
| ND2 | E. aeneus | PQ824235 | 99.85% |
| ND2 | E. aeneus | PQ824236 | 99.70–99.85% |
| ND2 | E. aeneus | PQ824237 | 99.85–100% |
| ND2 | E. aeneus | PQ824238 | 99.85–100% |
| ND2 | E. aeneus | PQ824239 | 99.70–99.85% |
| ND2 | E. marginatus | PQ824240 | 99.85% |
| ND2 | E. marginatus | PQ824241 | 99.85% |
| ND2 | E. marginatus | PQ824242 | 99.85% |
| ND2 | E. marginatus | PQ824243 | 99.85% |
| ND2 | E. marginatus | PQ824244 | 99.71% |
| ND2 | E. marginatus | PQ824245 | 99.71% |
| ND2 | E. marginatus | PQ824246 | 99.71% |
| ND2 | E. marginatus | PQ824247 | 99.85% |
| ND2 | E. marginatus | PQ824248 | 99.85% |
| ND2 | E. marginatus | PQ824249 | 99.85% |
| CR | E. aeneus | PQ852100 | 99.84% |
| CR | E. aeneus | PQ852101 | 99.53% |
| CR | E. aeneus | PQ852102 | 99.69% |
| CR | E. aeneus | PQ852103 | 99.53% |
| CR | E. aeneus | PQ852104 | 99.84% |
| CR | E. aeneus | PQ852105 | 99.52% |
| CR | E. aeneus | PQ852106 | 99.53% |
| CR | E. aeneus | PQ852107 | 98.91% |
| CR | E. aeneus | PQ852108 | 99.15% |
| CR | E. aeneus | PQ852109 | 99.53% |
| CR | E. marginatus | PQ852110 | 98.18% |
| PQ852111 | 98.18% |
| Gene | Species | Temperature Shift (°C) | Melt Curve Shape Sensitivity (%) | Tm Difference Threshold (°C) |
|---|---|---|---|---|
| 16S rRNA * | Ea | 0.30 * | 30 * | 0.50 |
| 16S rRNA * | Em | 0.30 * | 50 | 0.20 * |
| cytb | Ea | 0.20 | 50 | 0.20 * |
| CR | Ea | 0.20 | 50 | 0.30 * |
| CR | Em | 0.20 | 50 | 0.30 * |
| ND2 | Ea | 0.20 | 50 | 0.15 |
| ND2 | Em | 0.20 | 50 | 0.20 * |
Disclaimer/Publisher’s Note: The statements, opinions and data contained in all publications are solely those of the individual author(s) and contributor(s) and not of MDPI and/or the editor(s). MDPI and/or the editor(s) disclaim responsibility for any injury to people or property resulting from any ideas, methods, instructions or products referred to in the content. |
© 2025 by the authors. Licensee MDPI, Basel, Switzerland. This article is an open access article distributed under the terms and conditions of the Creative Commons Attribution (CC BY) license (https://creativecommons.org/licenses/by/4.0/).
Share and Cite
Chatzoglou, E.; Tsaousi, N.; Spetsieri, A.; Malandrakis, E.E.; Miliou, H. Rapid Detection of Epinephelus Species Substitution in the Greek Market Using High-Resolution Melting Analysis. Genes 2025, 16, 255. https://doi.org/10.3390/genes16030255
Chatzoglou E, Tsaousi N, Spetsieri A, Malandrakis EE, Miliou H. Rapid Detection of Epinephelus Species Substitution in the Greek Market Using High-Resolution Melting Analysis. Genes. 2025; 16(3):255. https://doi.org/10.3390/genes16030255
Chicago/Turabian StyleChatzoglou, Evanthia, Nefeli Tsaousi, Ariadni Spetsieri, Emmanouil E. Malandrakis, and Helen Miliou. 2025. "Rapid Detection of Epinephelus Species Substitution in the Greek Market Using High-Resolution Melting Analysis" Genes 16, no. 3: 255. https://doi.org/10.3390/genes16030255
APA StyleChatzoglou, E., Tsaousi, N., Spetsieri, A., Malandrakis, E. E., & Miliou, H. (2025). Rapid Detection of Epinephelus Species Substitution in the Greek Market Using High-Resolution Melting Analysis. Genes, 16(3), 255. https://doi.org/10.3390/genes16030255

