Concordant Patterns of Population Genetic Structure in Food-Deceptive Dactylorhiza Orchids
Abstract
1. Introduction
2. Materials and Methods
2.1. Study Sites
2.2. AFLP Analysis
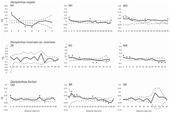
3. Results
4. Discussion
5. Conclusions
Author Contributions
Funding
Institutional Review Board Statement
Informed Consent Statement
Data Availability Statement
Acknowledgments
Conflicts of Interest
References
- Hamrick, J.L.; Godt, M.J.W. Effects of life history traits on genetic diversity in plant species. Philos. Trans. Biol. Sci. 1996, 51, 1291–1298. [Google Scholar]
- Hamrick, J.L.; Linhart, V.B.; Mitfon, J. Relationships between life history characteristics and electrophoretically detectable genetic variation in plants. Annu. Rev. Ecol. Evol. Syst. 1979, 10, 173–200. [Google Scholar] [CrossRef]
- Loveless, M.D.; Hamrick, J.L. Ecological determinants of genetic structure in plant populations. Annu. Rev. Ecol. Syst. 1984, 15, 65–95. [Google Scholar] [CrossRef]
- Nybom, H.; Bartish, I.V. Effects of life history traits and sampling strategies on genetic diversity estimates obtained with RAPD markers in plants. Perspect. Plant Ecol. Evol. Syst. 2000, 3, 93–114. [Google Scholar] [CrossRef]
- Petit, R.J.; Duminil, J.; Fineschi, S.; Hampe, A.; Savini, D.; Vendramin, G.G. Comparative Organization of chloroplast; mitochondrial and nuclear diversity in plant populations. Mol. Ecol. 2005, 14, 689–701. [Google Scholar] [CrossRef]
- Vekemans, X.; Hardy, O.J. New insights from fine-scale spatial genetic structure analyses in plant populations. Mol. Ecol. 2004, 13, 921–935. [Google Scholar] [CrossRef]
- Volis, S.; Zaretsky, M.; Shulgina, I. Fine-scale spatial genetic structure in a predominantly selfing plant, role of seed and pollen dispersal. Heredity 2010, 105, 384–393. [Google Scholar] [CrossRef]
- Binks, R.M.; Millar, M.A.; Byrne, M. Not All Rare Species Are the Same: Contrasting Patterns of Genetic Diversity and Population Structure in Two Narrow-Range Endemic Sedges. Biol. J. Linn. Soc. 2015, 114, 873–886. [Google Scholar] [CrossRef]
- Mosca, E.; Di Pierro, E.A.; Budde, K.B.; Neale, D.B.; Gonzalez-Martınez, S.C. Environmental effects on fine-scale spatial genetic structure in four Alpine keystone forest tree species. Mol. Ecol. 2018, 27, 647–658. [Google Scholar] [CrossRef]
- Wahlund, S. Zusammensetzung von Population und Korrelationserscheinung vom Standpunkt der Vererbungslehre aus betrachtet. Hereditas 1928, 11, 65–106. [Google Scholar] [CrossRef]
- Duminil, J.; Hardy, O.J.; Petit, R.J. Plant traits correlated with generation time directly affect inbreeding depression and mating system and indirectly genetic structure. BMC Evol. Biol. 2009, 9, 177. [Google Scholar] [CrossRef] [PubMed]
- Tremblay, R.L.; Ackerman, J.D.; Zimmerman, J.K.; Calvo, R.N. Variation in sexual reproduction in orchids and its evolutionary consequences, a spasmodic journey to diversification. Biol. J. Linn. Soc. 2005, 84, 1–54. [Google Scholar] [CrossRef]
- Cozzolino, S.; Schiestl, F.P.; Muller, A.; De Castro, O.; Nardella, A.M.; Widmer, A. Evidence for pollinator sharing in Mediterranean nectar-mimic orchids, absence of premating barriers? Proc. R. Soc. B Biol. Sci. 2005, 272, 1271–1278. [Google Scholar] [CrossRef]
- Neiland, M.R.M.; Wilcock, C.C. Fruit set; nectar reward; and rarity in the Orchidaceae. Am. J. Bot. 1998, 85, 1657–1671. [Google Scholar] [CrossRef]
- Jersáková, J.; Johnson, S.D.; Kindlmann, P. Mechanisms and evolution of deceptive pollination in orchids. Biol. Rev. 2006, 81, 219–235. [Google Scholar] [CrossRef]
- Juillet, N.; Dunand-Martin, S.; Gigord, L.D.B. Evidence for Inbreeding Depression in the Food-Deceptive Colour-Dimorphic Orchid Dactylorhiza sambucina (L.) Soò. Plant Biol. 2006, 9, 147–151. [Google Scholar] [CrossRef]
- Kropf, M.; Renner, S.S. Pollinator-mediated selfing in two deceptive orchids and a review of pollinium tracking studies addressing geitonogamy. Oecologia 2008, 155, 497–508. [Google Scholar] [CrossRef]
- Jacquemyn, H.; Brys, R. Lack of strong selection pressures maintains wide variation in floral traits in a food-deceptive orchid. Ann. Bot. 2020, 126, 445–453. [Google Scholar] [CrossRef]
- Machon, N.; Bardin, P.; Mazer, S.J.; Moret, J.; Godelle, B.; Austerlitz, F. Relationship between genetic structure and seed and pollen dispersal in the endangered orchid Spiranthes spiralis. New Phytol. 2003, 157, 677–687. [Google Scholar] [CrossRef]
- Jersáková, J.; Malinová, T. Spatial aspects of seed dispersal and seedling recruitment in orchids. New Phytol. 2007, 176, 237–241. [Google Scholar] [CrossRef]
- Brzosko, E.; Ostrowiecka, B.; Kotowicz, J.; Bolesta, M.; Gromotowicz, A.; Gromotowicz, M.; Orzechowska, A. Seed dispersal in six species of terrestrial orchids in Biebrza National Park. Acta Soc. Bot. Pol. 2017, 86, 3557. [Google Scholar] [CrossRef]
- Chung, M.Y.; Nason, J.D.; Chung, M.G. Spatial genetic structure in populations of the terrestrial orchid Cephalanthera longibracteata (Orchidaceae). Am. J. Bot. 2004, 91, 52–57. [Google Scholar] [CrossRef] [PubMed]
- Chung, M.Y.; Nason, J.D.; Chung, M.G. Spatial genetic structure in populations of the terrestrial orchid Orchis cyclochila (Orchidaceae). Plant Syst. Evol. 2005, 254, 209–219. [Google Scholar] [CrossRef]
- Trapnell, D.W.; Hamrick, J.L. Mating patterns and geneflow in the Neotropical epiphytic orchid; Laelia rubescens. Mol. Ecol. 2005, 14, 75–84. [Google Scholar] [CrossRef]
- Trapnell, D.W.; Hamrick, J.L.; Nason, J.D. Three-dimensional fine-scale genetic structure of the Neotropicalepiphytic orchid; Laelia rubescens. Mol. Ecol. 2004, 13, 1111–1118. [Google Scholar] [CrossRef]
- Peakall, R.; Beattie, A.J. Ecological and genetic consequences of pollination by sexual deception in the orchid Calladenia tentaculata. Evol. 1996, 50, 2207–2220. [Google Scholar] [CrossRef]
- Jacquemyn, H.; Brys, R.; Vandepitte, K.; Honnay, O.; Roldán-Ruiz, I. Fine-scale genetic structure of life history stages in the food-deceptive orchid Orchis purpurea. Mol. Ecol. 2006, 15, 2801–2808. [Google Scholar] [CrossRef]
- Jacquemyn, H.; Wiegand, T.; Vandepitte, K.; Brys, R.; Roldán-Ruiz, I.; Honnay, O. Multigenerational analysis of spatial structure in the terrestrial; food deceptive orchid Orchis mascula. J. Ecol. 2009, 97, 206–216. [Google Scholar] [CrossRef]
- Helsen, K.; Meekers, T.; Vranckx, G.; Roldán-Ruiz, I.; Vandepitte, K.; Honnay, O. A direct assessment of realized seed and pollen flow within and between two isolated populations of the food-deceptive orchid Orchis mascula. Plant Biol. 2016, 18, 139–146. [Google Scholar] [CrossRef]
- Chung, M.Y.; Nason, J.D.; Chung, M.G. Significant fine-demographic and scale genetic structure in expanding and senescing populations of the terrestrial orchid Cymbidium goeringii (Orchidaceae). Am. J. Bot. 2011, 98, 2027–2039. [Google Scholar] [CrossRef]
- Sletvold, N.; Grindeland, J.M.; Zu, P.; Ågren, J. Fine-scale genetic structure in the orchid Gymnadenia conopsea is not associated with local density of flowering plants. Am. J. Bot. 2024, 111, e16273. [Google Scholar] [CrossRef]
- Pandey, M.; Sharma, J. Efficiency of Microsatellite Isolation from Orchids via Next Generation Sequencing. Open J. Genet. 2012, 2, 167–172. [Google Scholar] [CrossRef]
- Chung, M.Y.; Chung, M.G. Extremely low levels of genetic diversity in the terrestrial orchid Epipactis thunbergii (Orchidaceae) in South Korea, implications for conservation. Bot. J. Linn. Soc. 2007, 155, 161–169. [Google Scholar] [CrossRef][Green Version]
- Diez, J.M. Hierarchical patterns of symbiotic orchid germination linked to adult proximity and environmental gradients. J. Ecol. 2007, 95, 159–170. [Google Scholar] [CrossRef]
- Jacquemyn, H.; Wiegand, T.; Vandepitte, K.; Brys, R.; Roldán-Ruiz, I.; Honnay, O. Spatial variation in below-ground seed germination and divergent mycorrhizal associations correlate with spatial segregation of three co-occurring orchid species. J. Ecol. 2012, 100, 1328–1337. [Google Scholar] [CrossRef]
- Claessens, J.; Kleynen, J. The Flower of the European Orchid, Form and Function; Jean Claessens & Jacques Kleynen: Voerendaal, The Netherlands, 2011. [Google Scholar]
- Mattila, E.; Kuitunen, T.M. Nutrient versus pollination limitation in Platanthera bifolia and Dactylorhiza incarnata (Orchidaceae). Oikos 2000, 89, 360–366. [Google Scholar] [CrossRef]
- Sletvold, N.; Grindeland, J.M.; Ågren, J. Pollinator-mediated selection on floral display; spur length and flowering phenology in the deceptive orchid Dactylorhiza lapponica. New Phytol. 2010, 188, 385–392. [Google Scholar] [CrossRef]
- Trunschke, J.; Sletvold, N.; Ågren, J. Interaction intensity and pollinator-mediated selection. New Phytol. 2017, 214, 1381–1389. [Google Scholar] [CrossRef]
- Ostrowiecka, B.; Tałałaj, I.; Brzosko, E.; Jermakowicz, E.; Mirski, P.; Kostro-Ambroziak, A.; Mielczarek, Ł.; Lasoń, A.; Kupryjanowicz, J.; Kotowicz, J.; et al. Pollinators and visitors of the generalized food-deceptive orchid Dactylorhiza majalis in North-Eastern Poland. Biologia 2019, 74, 1247–1257. [Google Scholar] [CrossRef]
- Wróblewska, A.; Szczepaniak, L.; Bajguz, A.; Jędrzejczyk, I.; Tałałaj, I.; Ostrowiecka, B.; Brzosko, E.; Jermakowicz, E.; Mirski, P. Deceptive strategy in Dactylorhiza orchids, multidirectional evolution of floral chemistry. Ann. Bot. 2019, 123, 1005–1016. [Google Scholar] [CrossRef]
- Wróblewska, A.; Ostrowiecka, B.; Brzosko, E.; Jermakowicz, E.; Tałałaj, I.; Mirski, P. The patterns of inbreeding depression in food-deceptive Dactylorhiza orchids. Front. Plant Sci. 2024, 15, 1244393. [Google Scholar] [CrossRef] [PubMed]
- Wróblewska, A.; Ostrowiecka, B.; Kotowicz, J.; Jermakowicz, E.; Tałałaj, I.; Szefer, P. What are the drivers of female success in food-deceptive orchids? Ecol. Evol. 2024, 14, e11233. [Google Scholar] [CrossRef]
- Hedrén, M.; Nordström, S. Polymorphic populations of Dactylorhiza incarnata s.l. (Orchidaceae) on the Baltic island of Gotland, Morphology; habitat preference and genetic differentiation. Ann. Bot. 2009, 104, 527–542. [Google Scholar] [CrossRef]
- Vallius, E.; Salonen, V.; Kul, T. Factors of divergence in co-occurring varieties of Dactylorhiza incarnata (Orchidaceae). Plant Syst. Evol. 2004, 248, 177–189. [Google Scholar] [CrossRef]
- Kindlmann, P.; Jersáková, J. Effect of floral display on reproductive success in terrestrial orchids. Folia Geobot. 2006, 41, 47–60. [Google Scholar] [CrossRef]
- Tałałaj, I.; Kotowicz, J.; Brzosko, E.; Ostrowiecka, B.; Aleksandrowicz, O.; Wróblewska, A. Spontaneous caudicle reconfiguration in Dactylorhiza fuchsii, A new self-pollination mechanism for Orchideae. Plant Syst. Evol. 2019, 305, 269–280. [Google Scholar] [CrossRef]
- Siudek, K. The role of pollinarium reconfiguration as the mechanism of selfing in Dactylorhiza majalis and Dactylorhiza incarnata. Ph.D. Thesis, University of Bialystok, Faculty of Biology, Białystok, Poland, 2020; p. 68. [Google Scholar]
- Naczk, A.M.; Chybicki, I.J.; Ziętara, M.S. Genetic diversity of Dactylorhiza incarnata (Orchidaceae) in northern Poland. Acta Soc. Bot. Pol. 2016, 85, 1–14. [Google Scholar] [CrossRef]
- Vos, P.; Hogers, R.; Bleeker, M.; Reijans, M.; van de Lee, T.; Hornes, M.; Frijters, A.; Pot, J.; Peleman, J.; Kuiper, M.; et al. AFLP, A New Technique for DNA Fingerprinting. Nucleic Acids Res. 1995, 23, 4407–4414. [Google Scholar] [CrossRef]
- Zhivotovsky, L.A. Estimating population structure in diploids with multilocus dominant DNA markers. Mol. Ecol. 1999, 8, 907–913. [Google Scholar] [CrossRef]
- Vekemans, X.; Beauwens, T.; Lemaire, M.; Roldan-Ruiz, I. Data from amplified fragment length polymorphism (AFLP) markers show indication of size homoplasy and of a relationship between degree of homoplasy and fragment size. Mol. Ecol. 2002, 11, 139–151. [Google Scholar] [CrossRef]
- Excoffier, L.; Laval, G.; Schneider, S. ARLEQUIN (version 3.0), an integrated software package for population genetics data analysis. Evol. Bioinform. Online 2005, 1, 47–50. [Google Scholar]
- Hardy, O.J. Estimation of pairwise relatedness between individuals and characterization of isolation-by-distance processes using dominant genetic markers. Mol. Ecol. 2003, 12, 1577–1588. [Google Scholar] [CrossRef] [PubMed]
- Manly, B. Randomization. Bootstrap and Monte Carlo Methods in Biology, 3rd ed.; Chapman and Hall/CRC: London, UK, 2007. [Google Scholar]
- Chybicki, I.J.; Oleksa, A.; Burczyk, J. Increased inbreeding and strong kinship structure in Taxus baccata estimated from both AFLP and SSR data. Heredity 2011, 107, 589–600. [Google Scholar] [CrossRef] [PubMed]
- Baskin, C.C.; Baskin, J.M. Inbreeding depression and the cost of inbreeding on seed germination. Seed Sci. Res. 2015, 25, 355–385. [Google Scholar] [CrossRef]
- Hedrén, M.; Nordström, S. High levels of genetic diversity in marginal populations of the marsh orchid Dactylorhiza majalis subsp. majalis. Nord. J. Bot. 2018, 36, e01747. [Google Scholar] [CrossRef]
- Filippov, E.G.; Andronova, E.V.; Kazlova, V.M. Genetic structure of the populations of Dactylorhiza ochroleuca and D. incarnata (Orchidaceae) in the area of their joint growth in Russia and Belarus. Russ. J. Genet. 2017, 53, 661–671. [Google Scholar] [CrossRef]
- Balao, F.; Tannhäuser, M.; Lorenzo, M.T.; Hedrén, M.; Paun, O. Genetic differentiation and admixture between sibling allopolyploids in the Dactylorhiza majalis complex. Heredity 2016, 116, 351–361. [Google Scholar] [CrossRef]
- Naczk, A.M.; Ziętara, M.S. Genetic diversity in Dactylorhiza majalis subsp. majalis populations (Orchidaceae) of northern Poland. Nord. J. Bot. 2019, 37, e01989. [Google Scholar] [CrossRef]
- Geremew, A.; Stiers, I.; Sierens, T.; Kefalew, A.; Triest, L. Clonal growth strategy; diversity and structure, A spatiotemporal response to sedimentation in tropical Cyperus papirus swamps. PLoS ONE 2018, 13, e0190810. [Google Scholar] [CrossRef]
- Niiniaho, J. The Role of Geitonogamy in the Reproduction Success of a Nectarless Dactylorhiza maculata (Orchidaceae). Master’s Thesis, University of Jyväskylä, Jyväskylä, Finland, 2011. [Google Scholar]
- Eckert, C.G. Contributions of autogamy and geitonogamy to self-fertilization in a mass-flowering; clonal plant. Ecology 2000, 81, 532–542. [Google Scholar] [CrossRef]
- Hayashi, T.; Ayre, B.M.; Bohman, B.; Brown, G.R.; Reiter, N.; Phillips, R.D. Pollination by multiple species of nectar foraging Hymenoptera in Prasophyllum innubum; a critically endangered orchid of the Australian Alps. Aust. J. Bot. 2024, 72, BT23110. [Google Scholar] [CrossRef]
- Wróblewska, A.; Ostrowiecka, B.; Tałałaj, I.; Jermakowicz, E.; Brzosko, E.; Mirski, P. (University of Bialystok, Faculty of Biology, Białystok, Poland). Emasculation of Dacylorhiza Flowers, Hand-Pollination Treatment. Unpublished work, 2024.
- Husband, B.C.; Schemske, D.W. Evolution of the magnitude and timing of inbreeding depression in plants. Evolution 1996, 50, 54–70. [Google Scholar] [CrossRef] [PubMed]
- Johnston, M.; Schoen, D. Correlated evolution of self fertilization and inbreeding depression, An experimental study of nine populations of Amsinckia (Boraginaceae). Evolution 1996, 50, 1478–1491. [Google Scholar] [CrossRef]
- Angeloni, F.; Ouborg, N.J.; Leimu, R. Meta-analysis on the association of population size and life history with inbreeding depression in plants. Biol. Conserv. 2011, 144, 35–43. [Google Scholar] [CrossRef]
- Keller, L.F.; Waller, D.M. Inbreeding effects in wild populations. Trends Ecol. Evol. 2002, 17, 230–241. [Google Scholar] [CrossRef]


| Taxa | Population | GPS | N | PL% | H | FIS (CI) | Fij(1) | b1 | Sp |
|---|---|---|---|---|---|---|---|---|---|
| DM | KA | 52°53′00″ N 23°40′29″ E | 49 | 62.2 | 0.205 | 0.293 (0.000–1.000) | 0.095 * | −0.051 * | 0.056 |
| SKI | 52°49′50″ N 23°43′10″ E | 59 | 59.6 | 0.205 | 0.312 (0.000–1.000) | 0.038 * | −0.009 * | 0.001 | |
| SKII | 52°49′50″ N 23°43′10″ E | 54 | 40.4 | 0.140 | 0.192 (0.000–1.000) | 0.071 * | −0.021 * | 0.022 | |
| DI | ZB | 53°29′02″ N 22°59′28″ E | 48 | 58.6 | 0.217 | 0.179 (0.101–0.284) | 0.008 | −0.002 | 0.0002 |
| RO | 53°54′39″ N 22°56′32″ E | 48 | 58.6 | 0.197 | 0.071 (0.022–0.149) | 0.224 * | −0.055 * | 0.063 | |
| MR | 53°47′25″ N 22°57′22″ E | 33 | 58.1 | 0.206 | 0.098 (0.032–0.218) | 0.092 * | −0.037 * | 0.041 | |
| DF | CM | 52°41′03″ N 23°39′07″ E | 58 | 68.4 | 0.234 | 0.113 (0.034–0.244) | 0.078 * | −0.021 * | 0.019 |
| BR | 52°50′59″ N 23°53′40″ E | 57 | 63.9 | 0.211 | 0.134 (0.068–0.226) | 0.084 * | −0.026 * | 0.028 | |
| GR | 53°60′68″ E 22°84′68″ N | 49 | 56.7 | 0.197 | 0.079 (0.024–0.169) | −0.008 | 0.002 | −0.0002 |
Disclaimer/Publisher’s Note: The statements, opinions and data contained in all publications are solely those of the individual author(s) and contributor(s) and not of MDPI and/or the editor(s). MDPI and/or the editor(s) disclaim responsibility for any injury to people or property resulting from any ideas, methods, instructions or products referred to in the content. |
© 2025 by the authors. Licensee MDPI, Basel, Switzerland. This article is an open access article distributed under the terms and conditions of the Creative Commons Attribution (CC BY) license (https://creativecommons.org/licenses/by/4.0/).
Share and Cite
Wróblewska, A.; Ostrowiecka, B.; Jermakowicz, E.; Tałałaj, I. Concordant Patterns of Population Genetic Structure in Food-Deceptive Dactylorhiza Orchids. Genes 2025, 16, 67. https://doi.org/10.3390/genes16010067
Wróblewska A, Ostrowiecka B, Jermakowicz E, Tałałaj I. Concordant Patterns of Population Genetic Structure in Food-Deceptive Dactylorhiza Orchids. Genes. 2025; 16(1):67. https://doi.org/10.3390/genes16010067
Chicago/Turabian StyleWróblewska, Ada, Beata Ostrowiecka, Edyta Jermakowicz, and Izabela Tałałaj. 2025. "Concordant Patterns of Population Genetic Structure in Food-Deceptive Dactylorhiza Orchids" Genes 16, no. 1: 67. https://doi.org/10.3390/genes16010067
APA StyleWróblewska, A., Ostrowiecka, B., Jermakowicz, E., & Tałałaj, I. (2025). Concordant Patterns of Population Genetic Structure in Food-Deceptive Dactylorhiza Orchids. Genes, 16(1), 67. https://doi.org/10.3390/genes16010067

