A Comprehensive Evaluation of Generalizability of Deep Learning-Based Hi-C Resolution Improvement Methods
Abstract
:1. Introduction
- The existing deep learning-based methods struggle to generalize to sparse, experimentally generated Hi-C inputs. These methods show a reduction of up to 57% in performance when upscaling a Hi-C contact map with of the reads (compared to the high-resolution Hi-C contact map) in comparison to upscaling a Hi-C contact map with of the reads.
- Our results show that retraining existing deep learning-based models with experimentally generated Hi-C datasets improves performance by 31% on experimentally generated Hi-C contact maps.
- We further find that deep learning-based methods still struggle to recover biologically meaningful features in the upscaled Hi-C contact maps, even when retrained, particularly on chromatin loop and DNA hairpin recovery tasks.
2. Hi-Cy: A Comprehensive Evaluation Framework
2.1. Hi-C Pre-Processing
2.2. Deep Learning-Based Hi-C Upscaling Models
2.3. Evaluation Metrics
2.4. Downstream Analyses for Biological Validation
2.4.1. Quality of Chromatin Reconstruction from Upscaled Hi-C Maps
2.4.2. Quality of Recovered Chromatin Loops, TADs, and DNA Hairpins from the Upscaled Hi-C Maps
3. Results
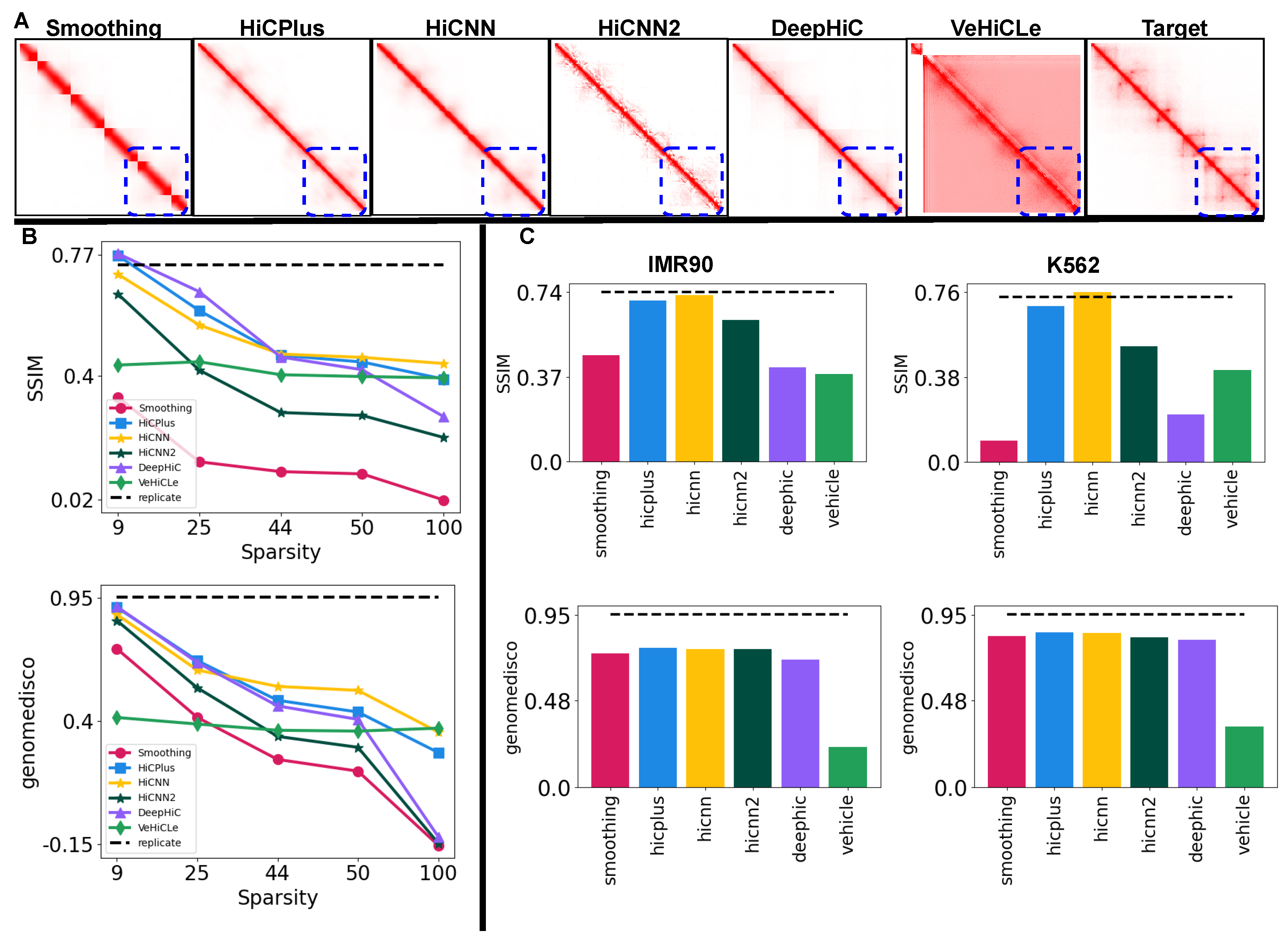
3.1. Hi-Cy Framework Reproduces Similar Performance of Deep Learning-Based Models on Downsampled Datasets
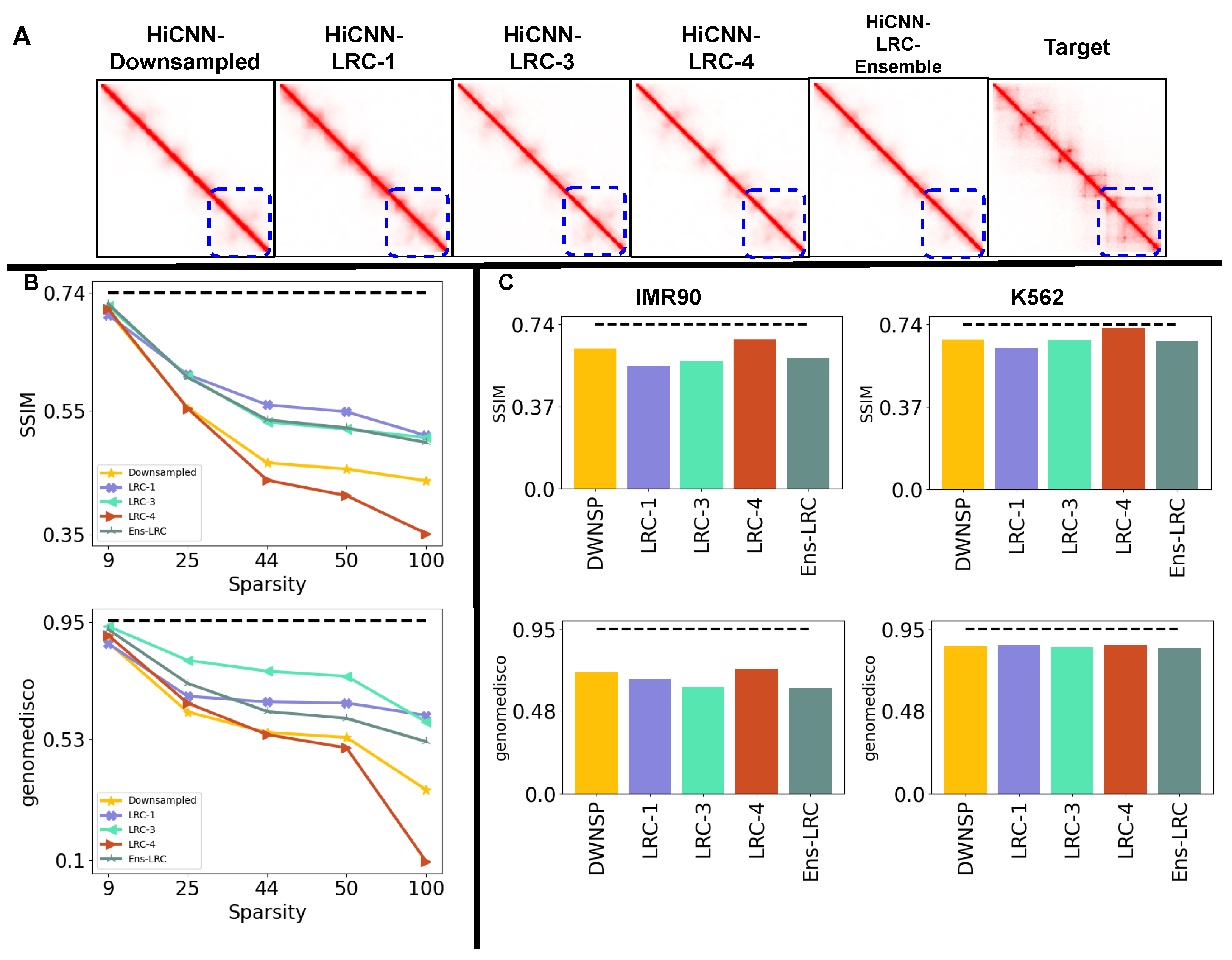
3.2. Testing Generalization of Deep Learning-Based Models on Experimentally Generated Hi-C Datasets
3.3. A Significant Distributional Shift between Downsampled Datasets and Experimentally Generated LRC Datasets Hurts the Generalizability of Deep Learning Models
3.4. Retraining Deep Learning Models with Experimentally Generated Datasets Improves Performance
3.5. Downstream Analysis to Quantify the Utility of Upsampled Hi-C Contact Maps
3.5.1. Retrained Deep Learning Models Generate Highly Accurate 3D Structure of Chromatin
3.5.2. Deep Learning Models Have Similar Performance for Recovering Biological Features
4. Conclusions
Supplementary Materials
Author Contributions
Funding
Institutional Review Board Statement
Informed Consent Statement
Data Availability Statement
Acknowledgments
Conflicts of Interest
References
- Lieberman-Aiden, E.; van Berkum, N.L.; Williams, L.; Imakaev, M.; Ragoczy, T.; Telling, A.; Amit, I.; Lajoie, B.R.; Sabo, P.J.; Dorschner, M.O.; et al. Comprehensive Mapping of Long-Range Interactions Reveals Folding Principles of the Human Genome. Science 2009, 326, 289–293. [Google Scholar] [CrossRef] [PubMed]
- Dixon, J.R.; Selvaraj, S.; Yue, F.; Kim, A.; Li, Y.; Shen, Y.; Hu, M.; Liu, J.S.; Ren, B. Topological domains in mammalian genomes identified by analysis of chromatin interactions. Nature 2012, 485, 376–380. [Google Scholar] [CrossRef] [PubMed]
- Rao, S.S.P.; Huntley, M.H.; Durand, N.C.; Stamenova, E.K.; Bochkov, I.D.; Robinson, J.T.; Sanborn, A.; Machol, I.; Omer, A.D.; Lander, E.S.; et al. A 3D Map of the Human Genome at Kilobase Resolution Reveals Principles of Chromatin Looping. Cell 2014, 159, 1665–1680. [Google Scholar] [CrossRef] [PubMed]
- Pugacheva, E.M.; Kubo, N.; Loukinov, D.; Tajmul, M.; Kang, S.; Kovalchuk, A.L.; Strunnikov, A.V.; Zentner, G.E.; Ren, B.; Lobanenkov, V.V. CTCF mediates chromatin looping via N-terminal domain-dependent cohesin retention. Proc. Natl. Acad. Sci. USA 2020, 117, 2020–2031. [Google Scholar] [CrossRef] [PubMed]
- Jin, F.; Li, Y.; Dixon, J.R.; Selvaraj, S.; Ye, Z.; Lee, A.Y.; Yen, C.-A.; Schmitt, A.D.; Espinoza, C.A.; Ren, B.; et al. A high-resolution map of the three-dimensional chromatin interactome in human cells. Nature 2013, 503, 290–294. [Google Scholar] [CrossRef]
- Zhang, Y.; An, L.; Xu, J.; Zhang, B.; Zheng, W.J.; Hu, M.; Tang, J.; Yue, F. Enhancing Hi-C data resolution with deep convolutional neural network HiCPlus. Nat. Commun. 2018, 9, 750. [Google Scholar] [CrossRef]
- Nagano, T.; Lubling, Y.; Stevens, T.J.; Schoenfelder, S.; Yaffe, E.; Dean, W.; Laue, E.D.; Tanay, A.; Fraser, P. Single-Cell hi-C reveals cell-to-cell variability in chromosome structure. Nature 2013, 502, 59–64. [Google Scholar] [CrossRef]
- Liu, T.; Wang, Z. HiCNN: A very deep convolutional neural network to better enhance the resolution of Hi-C data. Bioinformatics 2019, 35, 4222–4228. [Google Scholar] [CrossRef]
- Liu, T.; Wang, Z. HiCNN2: Enhancing the Resolution of Hi-C Data Using an Ensemble of Convolutional Neural Networks. Genes 2019, 10, 862. [Google Scholar] [CrossRef]
- Hong, H.; Jiang, S.; Li, H.; Du, G.; Sun, Y.; Tao, H.; Quan, C.; Zhao, C.; Li, R.; Li, W.; et al. DeepHiC: A generative adversarial network for enhancing HiC data resolution. PLoS Comput. Biol. 2020, 16, e1007287. [Google Scholar] [CrossRef]
- Liu, Q.; Lv, H.; Jiang, R. hicGAN infers super resolution Hi-C data with generative adversarial networks. Bioinformatics 2019, 35, i99–i107. [Google Scholar] [CrossRef]
- Cook, K.B.; Hristov, B.H.; Le Roch, K.G.; Vert, J.P.; Noble, W.S. Measuring significant changes in chromatin conformation with accost. Nucleic Acids Res. 2020, 48, 2303–2311. [Google Scholar] [CrossRef]
- Highsmith, M.; Cheng, J. VeHiCle: A variationally encoded HiC loss enhancement algorithm for improving and generating hi-C data. Sci. Rep. 2021, 11, 8880. [Google Scholar] [CrossRef]
- Yardımcı, G.G.; Ozadam, H.; Sauria, M.E.; Ursu, O.; Yan, K.-K.; Yang, T.; Chakraborty, A.; Kaul, A.; Lajoie, B.R.; Song, F.; et al. Measuring the reproducibility and quality of hi-C data. Genome Biol. 2019, 20, 57. [Google Scholar] [CrossRef]
- Toneyan, S.; Tang, Z.; Koo, P.K. Evaluating deep learning for predicting epigenomic profiles. Nat. Mach. Intell. 2022, 4, 1088–1100. [Google Scholar] [CrossRef]
- Huang, K.; Fu, T.; Glass, L.M.; Zitnik, M.; Xiao, C.; Sun, J. DeepPurpose: A Deep Learning Library for drug–target interaction prediction. Bioinformatics 2020, 36, 5545–5547. [Google Scholar] [CrossRef]
- Forcato, M.; Nicoletti, C.; Pal, K.; Livi, C.M.; Ferrari, F.; Bicciato, S. Comparison of computational methods for hi-C data analysis. Nat. Methods 2017, 14, 679–685. [Google Scholar] [CrossRef]
- He, K.; Zhang, X.; Ren, S.; Sun, J. Deep Residual Learning for Image Recognition. arXiv 2015, arXiv:1512.03385. [Google Scholar]
- Goodfellow, I.J.; Pouget-Abadie, J.; Mirza, M.; Xu, B.; Warde-Farley, D.; Ozair, S.; Courville, A.; Bengio, Y. Generative Adversarial Networks. arXiv 2014, arXiv:1406.2661. [Google Scholar] [CrossRef]
- Ursu, O.; Boley, N.; Taranova, M.; Wang, Y.X.; Yardimci, G.G.; Stafford Noble, W.; Kundaje, A. GenomeDISCO: A concordance score for chromosome conformation capture experiments using random walks on contact map graphs. Bioinformatics 2018, 34, 2701–2707. [Google Scholar] [CrossRef]
- Oluwadare, O.; Zhang, Y.; Cheng, J. A maximum likelihood algorithm for reconstructing 3D structures of human chromosomes from chromosomal contact data. BMC Genom. 2018, 19, 161. [Google Scholar] [CrossRef]
- Kadauke, S.; Blobel, G.A. Chromatin loops in gene regulation. Biochim. Biophys. Acta (BBA)-Gene Regul. Mech. 2009, 1789, 17–25. [Google Scholar] [CrossRef]
- Matthey-Doret, C.; Baudry, L.; Breuer, A.; Montagne, R.; Guiglielmoni, N.; Scolari, V.; Jean, E.; Campeas, A.; Chanut, P.H.; Oriol, E.; et al. Computer vision for pattern detection in chromosome contact maps. Nat. Commun. 2020, 11, 5795. [Google Scholar] [CrossRef]
- Bikard, D.; Celine, L.; Baharoglu, Z.; Mazel, D. Folded DNA in action: Hairpin Formation and biological functions in prokaryotes. Microbiol. Mol. Biol. Rev. 2010, 74, 570–588. [Google Scholar] [CrossRef]
- Thanh-Tung, H.; Tran, T.; Venkatesh, S. Improving generalization and stability of generative adversarial networks. arXiv 2019, arXiv:1902.03984. [Google Scholar]
- Li, K.; Malik, J. On the implicit assumptions of Gans. arXiv 2018, arXiv:1811.12402. [Google Scholar]
- Bau, D.; Zhu, J.-Y.; Wulff, J.; Peebles, W.; Strobelt, H.; Zhou, B.; Torralba, A. Seeing what a gan cannot generate. arXiv 2019, arXiv:1910.11626. [Google Scholar]
- Zhang, Z.; Li, M.; Yu, J. On the convergence and mode collapse of gan. In Proceedings of the SIGGRAPH Asia 2018 Technical Briefs, Tokyo, Japan, 4–7 December 2018. [Google Scholar] [CrossRef]
- Koh, P.W.; Sagawa, S.; Marklund, H.; Xie, S.M.; Zhang, M.; Balsubramani, A.; Hu, W.; Yasunaga, M.; Phillips, R.L.; Gao, I.; et al. WILDS: A Benchmark of in-the-Wild Distribution Shifts. arXiv 2021, arXiv:2012.07421. [Google Scholar]
Dataset | Absolute Read Counts | Sparsity | Source |
---|---|---|---|
GM12878-HRC-1 | 1,844,107,778 | 1 | GEO (GSE63525) |
GM12878-HRC-replicate | 1,564,534,654 | 1 | GEO (GSE63525) |
GM12878-LRC-1 | 42,453,795 | 1/44 | ENCODE (ENCSR382RFU) |
GM12878-LRC-2 | 37,079,587 | 1/50 | ENCODE (ENCSR382RFU) |
GM12878-LRC-3 | 70,138,184 | 1/25 | ENCODE (ENCSR968KAY) |
GM12878-LRC-4 | 202,380,884 | 1/9 | GEO (GSM1551575) |
GM12878-LRC-5 | 18,696,952 | 1/100 | GEO (GSM1551582) |
IMR90-HRC-1 | 735,043,093 | 1 | GEO (GSE63525) |
IMR90-LRC-1 | 75,193,876 | 1/10 | GEO (GSM1551606) |
K562-HRC-1 | 641,402,880 | 1 | GEO (GSE63525) |
K562-LRC-1 | 44,882,605 | 1/14 | GEO (GSM1551622) |
Disclaimer/Publisher’s Note: The statements, opinions and data contained in all publications are solely those of the individual author(s) and contributor(s) and not of MDPI and/or the editor(s). MDPI and/or the editor(s) disclaim responsibility for any injury to people or property resulting from any ideas, methods, instructions or products referred to in the content. |
© 2023 by the authors. Licensee MDPI, Basel, Switzerland. This article is an open access article distributed under the terms and conditions of the Creative Commons Attribution (CC BY) license (https://creativecommons.org/licenses/by/4.0/).
Share and Cite
Murtaza, G.; Jain, A.; Hughes, M.; Wagner, J.; Singh, R. A Comprehensive Evaluation of Generalizability of Deep Learning-Based Hi-C Resolution Improvement Methods. Genes 2024, 15, 54. https://doi.org/10.3390/genes15010054
Murtaza G, Jain A, Hughes M, Wagner J, Singh R. A Comprehensive Evaluation of Generalizability of Deep Learning-Based Hi-C Resolution Improvement Methods. Genes. 2024; 15(1):54. https://doi.org/10.3390/genes15010054
Chicago/Turabian StyleMurtaza, Ghulam, Atishay Jain, Madeline Hughes, Justin Wagner, and Ritambhara Singh. 2024. "A Comprehensive Evaluation of Generalizability of Deep Learning-Based Hi-C Resolution Improvement Methods" Genes 15, no. 1: 54. https://doi.org/10.3390/genes15010054
APA StyleMurtaza, G., Jain, A., Hughes, M., Wagner, J., & Singh, R. (2024). A Comprehensive Evaluation of Generalizability of Deep Learning-Based Hi-C Resolution Improvement Methods. Genes, 15(1), 54. https://doi.org/10.3390/genes15010054