Expression of PnSS Promotes Squalene and Oleanolic Acid (OA) Accumulation in Aralia elata via Methyl Jasmonate (MeJA) Induction
Abstract
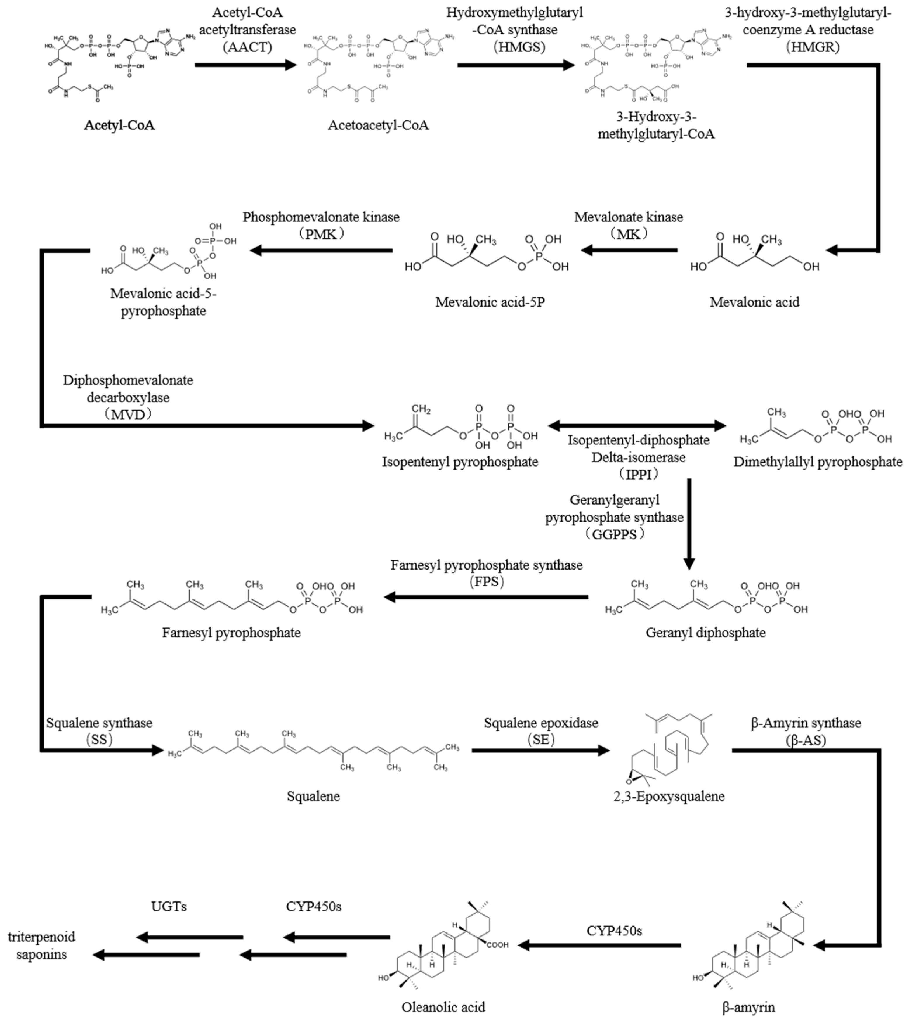
1. Introduction
2. Materials and Methods
2.1. Isolation of PnSS Gene and Construction of Plant Expression Vectors
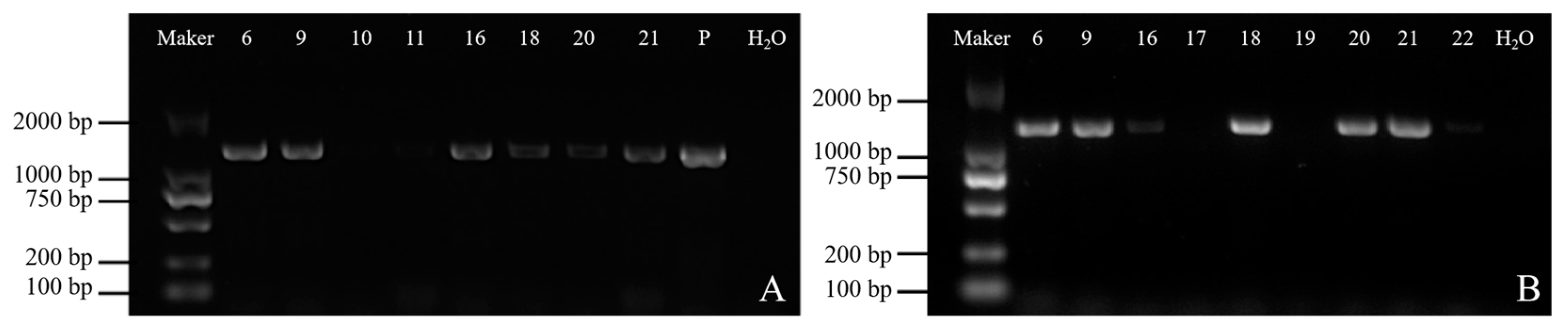
2.2. Genetic Transformation and PCR Detection
2.2.1. Transformation of PnSS Gene
2.2.2. PCR Detection
2.3. Expression of Key Enzymes
2.3.1. Total RNA Extraction and cDNA Reverse-Transcript Synthesis
2.3.2. Gene Expression Analysis by Quantitative Real Time PCR (qRT-PCR)
2.4. Measurement of Squalene and OA
2.5. MeJA Treatment
2.6. Statistical Analysis
3. Results
3.1. Vector Construction and Transformation of PnSS Gene into A. elata
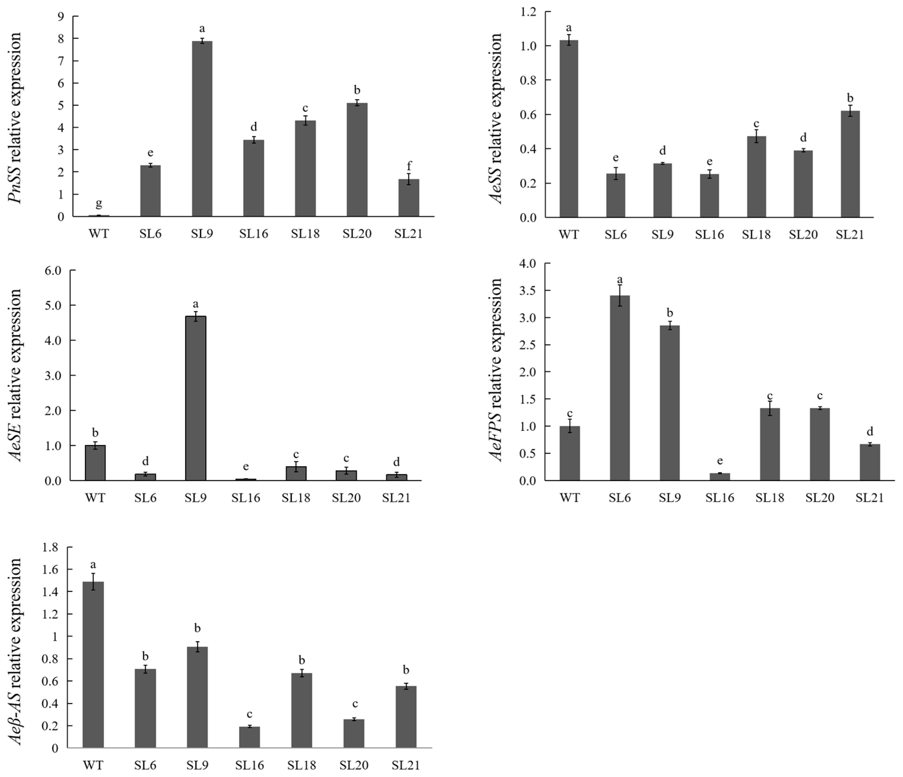
3.2. Key Enzyme Gene Expression Analysis
3.3. Measurement of the Squalene and OA Contents
3.4. MeJA Treatment
3.4.1. Analysis of Key Enzyme Gene Expression Analysis under MeJA Treatment
3.4.2. Measurement of the Squalene and OA Contents under MeJA Treatment
4. Discussion
5. Conclusions
Supplementary Materials
Author Contributions
Funding
Institutional Review Board Statement
Informed Consent Statement
Data Availability Statement
Conflicts of Interest
References
- Shikov, A.N.; Pozharitskaya, O.N.; Makarov, V.G. Aralia elata var. mandshurica (Rupr. & Maxim.) J.Wen: An overview of pharmacological studies. Phytomedicine 2016, 23, 1409–1421. [Google Scholar] [PubMed]
- Lu, J.; Li, J.; Wang, S.; Yao, L.; Liang, W.; Wang, J.; Gao, W. Advances in ginsenoside biosynthesis and metabolic regulation. Biotechnol. Appl. Biochem. 2018, 65, 514–522. [Google Scholar] [CrossRef] [PubMed]
- Song, S.J.; Nakamura, N.; Ma, C.M.; Hattori, M.; Xu, S.X. Four New Saponins from the Root Bark of Aralia elata. Chem. Pharm. Bull. 2000, 48, 838–842. [Google Scholar] [CrossRef] [PubMed]
- Xia, W.; Zhou, X.; Ma, J.; Li, T.; Fu, X. A Review of a medicinal and edible plant: Aralia elata (Miq.) Seem. Mini Rev. Med. Chem. 2021, 21, 2567–2583. [Google Scholar] [CrossRef] [PubMed]
- Liao, P.; Hemmerlin, A.; Bach, T.J.; Chye, M. The potential of the mevalonate pathway for enhanced isoprenoid production. Biotechnol. Adv. 2016, 34, 697–713. [Google Scholar] [CrossRef] [PubMed]
- Liu, W.; Guo, W.; Chen, S.; Xu, H.; Zhao, Y.; Chen, S.; You, X. A High-Quality Reference Genome Sequence and Genetic Transformation System of Aralia elata. Front. Plant Sci. 2022, 13, 822942. [Google Scholar] [CrossRef] [PubMed]
- Wang, Y.; Zhang, H.; Ri, H.C.; An, Z.; Wang, X.; Zhou, J.N.; Zheng, D.; Wu, H.; Wang, P.; Yang, J.; et al. Deletion and tandem duplications of biosynthetic genes drive the diversity of triterpenoids in Aralia elata. Nat. Commun. 2022, 13, 2224. [Google Scholar] [CrossRef]
- Seo, J.W.; Jeong, J.H.; Shin, C.G.; Lo, S.C.; Han, S.S.; Yu, K.W.; Harada, E.; Han, J.Y.; Choi, Y.E. Overexpression of squalene synthase in Eleutherococcus senticosus increases phytosterol and triterpene accumulation. Phytochemistry 2005, 66, 869–877. [Google Scholar] [CrossRef]
- Sun, H.P.; Zhong, X.H.; Qiao, F. Cloning and expression analysis of squalene synthase gene in Hedera helix. Chin. Tradit. Herb. Drugs 2018, 49, 2127–2132. [Google Scholar]
- Gao, J.-X.; Chen, Y.-G.; Li, D.-S.; Lin, L.; Li, S.-H. Cloning and Functional Characterization of a Squalene Synthase from Paris polyphylla var. yunnanensis. Chem. Biodivers. 2021, 18, e2100342. [Google Scholar] [CrossRef]
- Bin, Z.; Yan, L.; Mengmeng, C.; Juntao, F.; Zhiqing, M.; Xing, Z.; Chuanshu, Z. Cloning, Expression Analysis and Functional Characterization of Squalene Synthase (SQS) from Tripterygium wilfordii. Molecules 2018, 23, 269. [Google Scholar]
- Kim, Y.S.; Cho, J.H.; Park, S.; Han, J.Y.; Back, K.; Choi, Y.E. Gene regulation patterns in triterpene biosynthetic pathway driven by overexpression of squalene synthase and methyl jasmonate elicitation in Bupleurum falcatum. Planta 2011, 233, 343–355. [Google Scholar] [CrossRef] [PubMed]
- Kang, J.; Zhang, Q.; Jiang, X.; Zhang, T.; Long, R.; Yang, Q.; Wang, Z. Molecular Cloning and Functional Identification of a Squalene Synthase Encoding Gene from Alfalfa (Medicago sativa L.). Int. J. Mol. Sci. 2019, 20, 4499. [Google Scholar] [CrossRef]
- Han, J.Y.; In, J.G.; Kwon, Y.S.; Choi, Y.E. Regulation of ginsenoside and phytosterol biosynthesis by RNA interferences of squalene epoxidase gene in Panax ginseng. Phytochemistry 2010, 71, 36–46. [Google Scholar] [CrossRef]
- Niu, Y.; Luo, H.; Sun, C.; Yang, T.J.; Dong, L.; Huang, L.; Chen, S. Expression profiling of the triterpene saponin biosynthesis genes FPS, SS, SE, and DS in the medicinal plant Panax notoginseng. Gene 2014, 533, 295–303. [Google Scholar] [CrossRef]
- Liang, X.H.; Zheng, C.X.; Zhang, F.X.; Li, P. Extraction and HPLC analysis of squalene in Glycyrrhiza uralensis Fisch. Lishizhen Med. Mater. Med. Res. 2010, 32, 123–126. [Google Scholar]
- Sui, Y.; Liu, J.X.; Zhao, Y.; Guo, W.H.; Dai, J.L.; You, X.L. A suspension culture of the hormone autotrophic cell line of Aralia elata (Miq.) Seem. for production of oleanolic acid and flavonoids. Ind. Crops Prod. 2022, 176, 114368. [Google Scholar] [CrossRef]
- Kowalczyk, T.; Sitarek, P.; Merecz-Sadowska, A.; Szyposzyńska, M.; Spławska, A.; Gorniak, L.; Bijak, M.; Śliwiński, T. Methyl Jasmonate Effect on Betulinic Acid Content and Biological Properties of Extract from Senna obtusifolia Transgenic Hairy Roots. Molecules 2021, 26, 6208. [Google Scholar] [CrossRef]
- Szkopińska, A.; Świeżewska, E.; Karst, F. The Regulation of Activity of Main Mevalonic Acid Pathway Enzymes: Farnesyl Diphosphate Synthase, 3-Hydroxy-3-methylglutaryl-CoA Reductase, and Squalene Synthase in Yeast Saccharomyces cerevisiae. Biochem. Biophys. Res. Commun. 2000, 267, 473–477. [Google Scholar] [CrossRef]
- Kim, O.T.; Kim, S.H.; Ohyama, K.; Muranaka, T.; Choi, Y.E.; Lee, H.Y.; Kim, M.Y.; Hwang, B. Upregulation of phytosterol and triterpene biosynthesis in Centella asiatica hairy roots overexpressed ginseng farnesyl diphosphate synthase. Plant Cell Rep. 2010, 29, 403–411. [Google Scholar] [CrossRef]
- Jung, S.; Kim, Y.; Jin, M.; Jetter, R.; Kim, O. Fusion of Ginseng Farnesyl Diphosphate Synthase and Centella asciatica Squalene Synthase Involved in Triterpenoid Biosynthesis. Curr. Sci. 2017, 113, 785–790. [Google Scholar] [CrossRef]
- Du, M.M.; Zhu, Z.T.; Zhang, G.G.; Zhao, Y.Q.; Gao, B.; Tao, X.Y.; Liu, M.; Ren, Y.H.; Wang, F.Q.; Wei, D.Z. Engineering Saccharomyces cerevisiae for Hyperproduction of β-Amyrin by Mitigating the Inhibition Effect of Squalene on β-Amyrin Synthase. J. Agric. Food Chem. 2022, 70, 229–237. [Google Scholar] [CrossRef] [PubMed]
- Lee, M.-H.; Jeong, J.-H.; Seo, J.-W.; Shin, C.-G.; Kim, Y.-S.; In, J.-G.; Yang, D.-C.; Yi, J.-S.; Choi, Y.-E. Enhanced Triterpene and Phytosterol Biosynthesis in Panax ginseng Overexpressing Squalene Synthase Gene. Plant Cell Physiol. 2004, 45, 976–984. [Google Scholar] [CrossRef] [PubMed]
- Li, Y.; Zhao, J.; Chen, H.; Mao, Y.; Yang, Y.; Feng, L.; Mo, C.; Huang, L.; Hou, D.; Yu, M. Transcriptome Level Reveals the Triterpenoid Saponin Biosynthesis Pathway of Bupleurum falcatum L. Genes 2022, 13, 2237. [Google Scholar] [CrossRef]
- Unland, K.; Pütter, K.M.; Vorwerk, K.; van Deenen, N.; Twyman, R.M.; Prüfer, D.; Schulze Gronover, C. Functional characterization of squalene synthase and squalene epoxidase in Taraxacum koksaghyz. Plant Direct 2018, 2, e00063. [Google Scholar] [CrossRef]
- Pattanaik, B.; Englund, E.; Nolte, N.; Lindberg, P. Introduction of a green algal squalene synthase enhances squalene accumulation in a strain of Synechocystis sp. PCC 6803. Metab. Eng. Commun. 2020, 10, e00125. [Google Scholar] [CrossRef]
- Kajikawa, M.; Kinohira, S.; Ando, A.; Shimoyama, M.; Kato, M.; Fukuzawa, H. Accumulation of squalene in a microalga Chlamydomonas reinhardtii by genetic modification of squalene synthase and squalene epoxidase genes. PLoS ONE 2015, 10, e0120446. [Google Scholar] [CrossRef]
- Ho, T.T.; Murthy, H.N.; Park, S.Y. Methyl Jasmonate Induced Oxidative Stress and Accumulation of Secondary Metabolites in Plant Cell and Organ Cultures. Int. J. Mol. Sci. 2020, 21, 716. [Google Scholar] [CrossRef]
- Zhang, L.; Yang, B.; Lu, B.; Kai, G.; Wang, Z.; Xia, Y.; Ding, R.; Zhang, H.; Sun, X.; Chen, W.; et al. Tropane alkaloids production in transgenic Hyoscyamus niger hairy root cultures over-expressing putrescine N-methyltransferase is methyl jasmonate-dependent. Planta 2007, 225, 887–896. [Google Scholar] [CrossRef]
- Cheng, A.X.; Xiang, C.Y.; Li, J.X.; Yang, C.Q.; Hu, W.L.; Wang, L.J.; Lou, Y.G.; Chen, X.Y. The rice (E)-β-caryophyllene synthase (OsTPS3) accounts for the major inducible volatile sesquiterpenes. Phytochemistry 2007, 68, 1632–1641. [Google Scholar] [CrossRef]









| Primer Names | Primer Sequences (5′→3′) |
|---|---|
| PnSS-F | ATCTCTAGAGAGATGGGAAGTTTGGGGGCAATT |
| PnSS-R | ATCGAGCTCTCACTGTTTTTTCGGTAGTAGG |
| Gene Names | Primer Sequences (5′→3′) |
|---|---|
| GAPDH (JQ183068.1) | GGGAAAGTGCTACCTGCATTA |
| CCACAAAGTCAGTGGAGACTAC | |
| AeFPS (HM219226.1) | CCAGAGGTGATTGGGAAGATTG |
| TGCTCTCATACTCGGCAAATAC | |
| AeSS (GU354313.1) | GTGGAGACAGTGGGTGATTATG |
| ACATGCGTGACTTTGGTATCT | |
| AeSE (GU354314.1) | CCGGGATCTTCTTAGACCTTTAC |
| TCCTCCGAGGCTCAGATAAT | |
| Aeβ-AS (HM219225) | CTTCCTATGCACCCAGCTAAA |
| CCCAGAGCAGGTCTTGTATTT | |
| PnSS (DQ186630.1) | CCGGACGATTTCTATCCGTTAT |
| CAGTGTCAAGTGCTCGAAGA |
Disclaimer/Publisher’s Note: The statements, opinions and data contained in all publications are solely those of the individual author(s) and contributor(s) and not of MDPI and/or the editor(s). MDPI and/or the editor(s) disclaim responsibility for any injury to people or property resulting from any ideas, methods, instructions or products referred to in the content. |
© 2023 by the authors. Licensee MDPI, Basel, Switzerland. This article is an open access article distributed under the terms and conditions of the Creative Commons Attribution (CC BY) license (https://creativecommons.org/licenses/by/4.0/).
Share and Cite
Xu, H.; Dai, W.; Xia, M.; Guo, W.; Zhao, Y.; Zhang, S.; Gao, W.; You, X. Expression of PnSS Promotes Squalene and Oleanolic Acid (OA) Accumulation in Aralia elata via Methyl Jasmonate (MeJA) Induction. Genes 2023, 14, 1132. https://doi.org/10.3390/genes14061132
Xu H, Dai W, Xia M, Guo W, Zhao Y, Zhang S, Gao W, You X. Expression of PnSS Promotes Squalene and Oleanolic Acid (OA) Accumulation in Aralia elata via Methyl Jasmonate (MeJA) Induction. Genes. 2023; 14(6):1132. https://doi.org/10.3390/genes14061132
Chicago/Turabian StyleXu, Honghao, Wenxue Dai, Meiling Xia, Wenhua Guo, Yue Zhao, Shunjie Zhang, Wa Gao, and Xiangling You. 2023. "Expression of PnSS Promotes Squalene and Oleanolic Acid (OA) Accumulation in Aralia elata via Methyl Jasmonate (MeJA) Induction" Genes 14, no. 6: 1132. https://doi.org/10.3390/genes14061132
APA StyleXu, H., Dai, W., Xia, M., Guo, W., Zhao, Y., Zhang, S., Gao, W., & You, X. (2023). Expression of PnSS Promotes Squalene and Oleanolic Acid (OA) Accumulation in Aralia elata via Methyl Jasmonate (MeJA) Induction. Genes, 14(6), 1132. https://doi.org/10.3390/genes14061132

