“Silicon-On-Insulator”-Based Nanosensor for the Revelation of MicroRNA Markers of Autism
Abstract
:1. Introduction
2. Materials and Methods
2.1. Chemicals
2.2. Oligonucleotides
2.3. SOI-NS Fabrication
2.4. Sensitization of the Sensor Chip Surface
2.5. Electrical Biosensor Measurements
2.6. Preparation of Test Solutions Containing Known Concentrations of Model Target oDNAs
2.7. Plasma Samples
3. Results
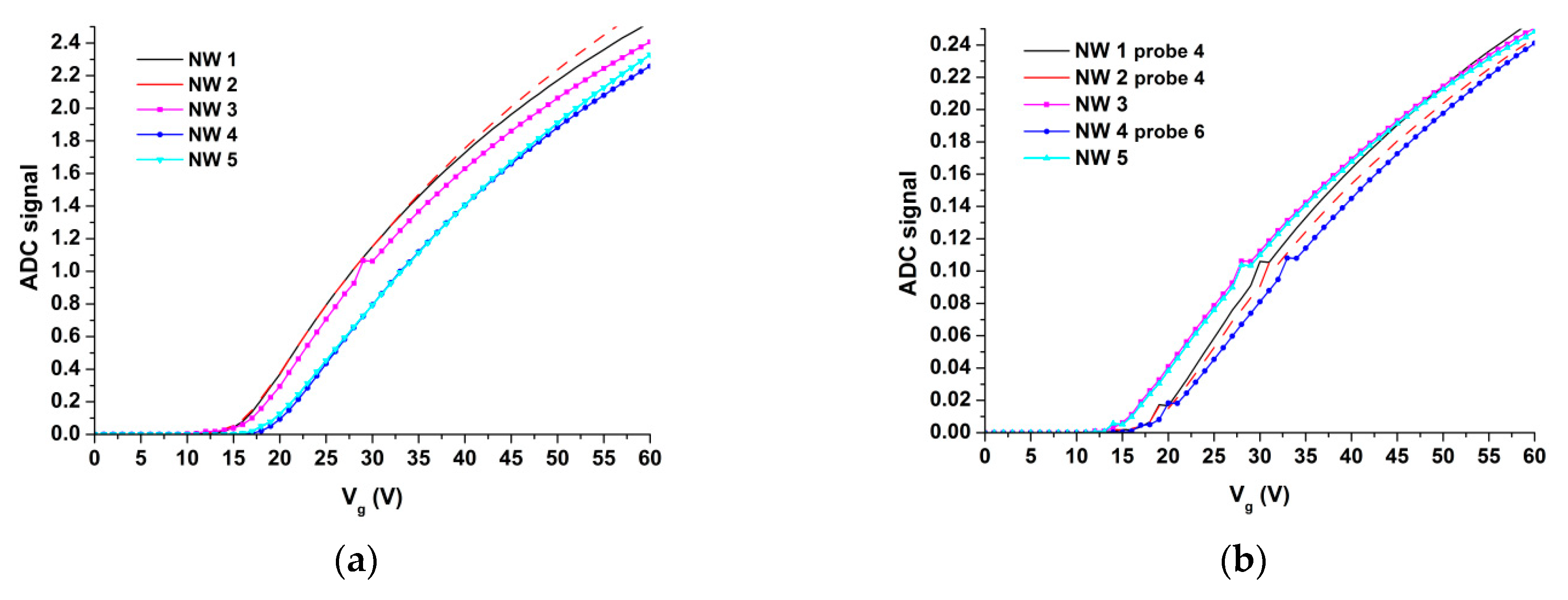
3.1. Detection of Model Target oDNAs in Purified Solutions
3.2. Biospecific Detection of miRNAs Isolated from Blood Plasma
4. Discussion
5. Conclusions
Author Contributions
Funding
Institutional Review Board Statement
Informed Consent Statement
Data Availability Statement
Acknowledgments
Conflicts of Interest
References
- American Psychiatric Association. Diagnostic and Statistical Manual of Mental Disorders [DSM-5]; American Psychiatric Publishing: Washington, DC, USA, 2013. [Google Scholar]
- World Health Organization. Autism Spectrum Disorders. Available online: https://www.who.int/news-room/fact-sheets/detail/autism-spectrum-disorders (accessed on 27 December 2021).
- Centers for Disease Control and Prevention. Autism Spectrum Disorder (ASD). Available online: https://www.cdc.gov/ncbddd/autism/index.html (accessed on 27 December 2021).
- Elsabbagh, M.; Divan, G.; Koh, Y.-J.; Kim, Y.S.; Kauchali, S.; Marcín, C.; Montiel-Nava, C.; Patel, V.; Paula, C.S.; Wang, C.; et al. Global Prevalence of Autism and Other Pervasive Developmental Disorders: Global Epidemiology of Autism. Autism Res. 2012, 5, 160–179. [Google Scholar] [CrossRef] [Green Version]
- Baio, J.; Wiggins, L.; Christensen, D.L.; Maenner, M.J.; Daniels, J.; Warren, Z.; Kurzius-Spencer, M.; Zahorodny, W.; Rosenberg, C.R.; White, T.; et al. Prevalence of Autism Spectrum Disorder among Children Aged 8 Years—Autism and Developmental Disabilities Monitoring Network, 11 Sites, United States, 2014. MMWR Surveill. Summ. 2018, 67, 1–23. [Google Scholar] [CrossRef] [PubMed]
- Zwaigenbaum, L.; Penner, M. Autism Spectrum Disorder: Advances in Diagnosis and Evaluation. BMJ 2018, 361, k1674. [Google Scholar] [CrossRef] [PubMed]
- Meek, S.E.; Lemery-Chalfant, K.; Jahromi, L.B.; Valiente, C. A Review of Gene-Environment Correlations and Their Implications for Autism: A Conceptual Model. Psychol. Rev. 2013, 120, 497–521. [Google Scholar] [CrossRef]
- Miyake, K.; Hirasawa, T.; Koide, T.; Kubota, T. Epigenetics in Autism and Other Neurodevelopmental Diseases. Adv. Exp. Med. Biol. 2012, 724, 91–98. [Google Scholar] [CrossRef]
- Salic, K.; De Windt, L.J. MicroRNAs as Biomarkers for Myocardial Infarction. Curr. Atheroscler. Rep. 2012, 14, 193–200. [Google Scholar] [CrossRef] [PubMed] [Green Version]
- Møller, H.G.; Rasmussen, A.P.; Andersen, H.H.; Johnsen, K.B.; Henriksen, M.; Duroux, M. A Systematic Review of MicroRNA in Glioblastoma Multiforme: Micro-Modulators in the Mesenchymal Mode of Migration and Invasion. Mol. Neurobiol. 2013, 47, 131–144. [Google Scholar] [CrossRef] [Green Version]
- Mohyeldin, A.; Chiocca, E.A. Gene and Viral Therapy for Glioblastoma: A Review of Clinical Trials and Future Directions. Cancer J. 2012, 18, 82–88. [Google Scholar] [CrossRef] [PubMed]
- Shimomura, A.; Shiino, S.; Kawauchi, J.; Takizawa, S.; Sakamoto, H.; Matsuzaki, J.; Ono, M.; Takeshita, F.; Niida, S.; Shimizu, C.; et al. Novel Combination of Serum MicroRNA for Detecting Breast Cancer in the Early Stage. Cancer Sci. 2016, 107, 326–334. [Google Scholar] [CrossRef] [PubMed]
- Tonacci, A.; Bagnato, G.; Pandolfo, G.; Billeci, L.; Sansone, F.; Conte, R.; Gangemi, S. MicroRNA Cross-Involvement in Autism Spectrum Disorders and Atopic Dermatitis: A Literature Review. J. Clin. Med. 2019, 8, 88. [Google Scholar] [CrossRef] [PubMed] [Green Version]
- Linsenbardt, S.T.; Thomas, T.R.; Madsen, R.W. Effect of Breathing Techniques on Blood Pressure Response to Resistance Exercise. Br. J. Sports Med. 1992, 26, 97–100. [Google Scholar] [CrossRef] [Green Version]
- Ristori, M.V.; Mortera, S.L.; Marzano, V.; Guerrera, S.; Vernocchi, P.; Ianiro, G.; Gardini, S.; Torre, G.; Valeri, G.; Vicari, S.; et al. Proteomics and Metabolomics Approaches towards a Functional Insight onto AUTISM Spectrum Disorders: Phenotype Stratification and Biomarker Discovery. Int. J. Mol. Sci. 2020, 21, 6274. [Google Scholar] [CrossRef] [PubMed]
- Abraham, J.R.; Szoko, N.; Barnard, J.; Rubin, R.A.; Schlatzer, D.; Lundberg, K.; Li, X.; Natowicz, M.R. Proteomic Investigations of Autism Brain Identify Known and Novel Pathogenetic Processes. Sci. Rep. 2019, 9, 13118. [Google Scholar] [CrossRef] [Green Version]
- Kaysheva, A.L.; Kopylov, A.T.; Yurov, I.Y.; Vorsanova, S.G.; Yurov, Y.; Galiullin, R.; Anashkina, A.; Archakov, A.; Ivanov, Y. Proteomic Analysis of Blood Serum Protein Profiles in Children with Autism. Vopr. Prakt. Pediatr 2016, 11, 12–17. [Google Scholar] [CrossRef]
- Kaysheva, A.L.; Pleshakova, T.O.; Kopylov, A.T.; Shumov, I.D.; Iourov, I.Y.; Vorsanova, S.G.; Yurov, Y.B.; Ziborov, V.S.; Archakov, A.I.; Ivanov, Y.D. Combination of Atomic Force Microscopy and Mass Spectrometry for the Detection of Target Protein in the Serum Samples of Children with Autism Spectrum Disorders. IOP Conf. Ser. Mater. Sci. Eng. 2017, 256, 012015. [Google Scholar] [CrossRef] [Green Version]
- Kaysheva, A.L.; Stepanov, A.A.; Kopylov, A.T.; Butkova, T.V.; Pleshakova, T.; Ryabtsev, V.V.; Iourov, I.Y.; Vorsanova, S.G.; Ivanov, Y.D. Pilot Data of Serum Proteins from Children with Autism Spectrum Disorders. Data Brief 2019, 27, 104558. [Google Scholar] [CrossRef]
- Archakov, A.I.; Ivanov, Y.D.; Lisitsa, A.V.; Zgoda, V.G. AFM Fishing Nanotechnology Is the Way to Reverse the Avogadro Number in Proteomics. Proteomics 2007, 7, 4–9. [Google Scholar] [CrossRef] [PubMed]
- Lisitsa, A.V.; Ponomarenko, E.A.; Lokhov, P.G.; Archakov, A.I. Postgenomic Medicine: Alternative to Biomarkers. Ann. RAMS 2016, 71, 255–260. [Google Scholar] [CrossRef] [PubMed]
- Rissin, D.M.; Kan, C.W.; Campbell, T.G.; Howes, S.C.; Fournier, D.R.; Song, L.; Piech, T.; Patel, P.P.; Chang, L.; Rivnak, A.J.; et al. Single-Molecule Enzyme-Linked Immunosorbent Assay Detects Serum Proteins at Subfemtomolar Concentrations. Nat. Biotechnol. 2010, 28, 595–599. [Google Scholar] [CrossRef] [Green Version]
- Elfström, N.; Juhasz, R.; Sychugov, I.; Engfeldt, T.; Karlström, A.E.; Linnros, J. Surface charge sensitivity of silicon nanowires: Size dependence. Nano Lett. 2007, 7, 2608–2612. [Google Scholar] [CrossRef] [PubMed] [Green Version]
- Patolsky, F.; Zheng, G.; Hayden, O.; Lakadamyali, M.; Zhuang, X.; Lieber, C.M. Electrical Detection of Single Viruses. Proc. Natl. Acad. Sci. USA 2004, 101, 14017–14022. [Google Scholar] [CrossRef] [PubMed] [Green Version]
- Zheng, G.; Patolsky, F.; Cui, Y.; Wang, W.U.; Lieber, C.M. Multiplexed Electrical Detection of Cancer Markers with Nanowire Sensor Arrays. Nat. Biotechnol. 2005, 23, 1294–1301. [Google Scholar] [CrossRef] [PubMed]
- Hahm, J.; Lieber, C.M. Direct Ultrasensitive Electrical Detection of DNA and DNA Sequence Variations Using Nanowire Nanosensors. Nano Lett. 2004, 4, 51–54. [Google Scholar] [CrossRef]
- Tian, R.; Regonda, S.; Gao, J.; Liu, Y.; Hu, W. Ultrasensitive Protein Detection Using Lithographically Defined Si Multi-Nanowire Field Effect Transistors. Lab Chip 2011, 11, 1952. [Google Scholar] [CrossRef] [PubMed]
- Wu, X.; Li, W.; Zheng, Y. Recent Progress on Relevant MicroRNAs in Autism Spectrum Disorders. Int. J. Mol. Sci. 2020, 21, 5904. [Google Scholar] [CrossRef]
- Popov, V.P.; Antonova, A.I.; Frantsuzov, A.A.; Safronov, L.N.; Feofanov, G.N.; Naumova, O.V.; Kilanov, D.V. Properties of Silicon-on-Insulator Structures and Devices. Semiconductors 2001, 35, 1030–1037. [Google Scholar] [CrossRef]
- Naumova, O.V.; Fomin, B.I.; Nasimov, D.A.; Dudchenko, N.V.; Devyatova, S.F.; Zhanaev, E.D.; Popov, V.P.; Latyshev, A.V.; Aseev, A.L.; Ivanov, Y.D.; et al. SOI Nanowires as Sensors for Charge Detection. Semicond. Sci. Technol. 2010, 25, 055004. [Google Scholar] [CrossRef]
- Lee, M.-H.; Lee, D.-H.; Jung, S.-W.; Lee, K.-N.; Park, Y.S.; Seong, W.-K. Measurements of Serum C-Reactive Protein Levels in Patients with Gastric Cancer and Quantification Using Silicon Nanowire Arrays. Nanomed. Nanotechnol. Biol. Med. 2010, 6, 78–83. [Google Scholar] [CrossRef] [PubMed]
- Yamada, K.; Yoshii, S.; Kumagai, S.; Fujiwara, I.; Nishio, K.; Okuda, M.; Matsukawa, N.; Yamashita, I. High-Density and Highly Surface Selective Adsorption of Protein–Nanoparticle Complexes by Controlling Electrostatic Interaction. Jpn. J. Appl. Phys. 2006, 45, 4259. [Google Scholar] [CrossRef]
- Malsagova, K.A.; Popov, V.P.; Kupriyanov, I.N.; Pleshakova, T.O.; Galiullin, R.A.; Kozlov, A.F.; Shumov, I.D.; Larionov, D.I.; Tikhonenko, F.V.; Kapustina, S.I.; et al. Raman Spectroscopy-Based Quality Control of “Silicon-On-Insulator” Nanowire Chips for the Detection of Brain Cancer-Associated MicroRNA in Plasma. Sensors 2021, 21, 1333. [Google Scholar] [CrossRef]
- Malsagova, K.A.; Pleshakova, T.O.; Kozlov, A.F.; Galiullin, R.A.; Popov, V.P.; Tikhonenko, F.V.; Glukhov, A.V.; Ziborov, V.S.; Shumov, I.D.; Petrov, O.F.; et al. Detection of Influenza Virus Using a SOI-Nanoribbon Chip, Based on an N-Type Field-Effect Transistor. Biosensors 2021, 11, 119. [Google Scholar] [CrossRef]
- Ivanov, Y.D.; Malsagova, K.A.; Pleshakova, T.O.; Galiullin, R.A.; Kozlov, A.F.; Shumov, I.D.; Popov, V.P.; Kapustina, S.I.; Ivanova, I.A.; Isaeva, A.I.; et al. Aptamer-Sensitized Nanoribbon Biosensor for Ovarian Cancer Marker Detection in Plasma. Chemosensors 2021, 9, 222. [Google Scholar] [CrossRef]
- Ivanov, Y.; Pleshakova, T.; Malsagova, K.; Kurbatov, L.; Popov, V.; Glukhov, A.; Smirnov, A.; Enikeev, D.; Potoldykova, N.; Alekseev, B.; et al. Detection of Marker MiRNAs, Associated with Prostate Cancer, in Plasma Using SOI-NW Biosensor in Direct and Inversion Modes. Sensors 2019, 19, 5248. [Google Scholar] [CrossRef] [PubMed] [Green Version]
- Malsagova, K.A.; Pleshakova, T.O.; Galiullin, R.A.; Shumov, I.D.; Kozlov, A.F.; Romanova, T.S.; Popov, V.P.; Glukhov, A.V.; Konev, V.A.; Archakov, A.I.; et al. Nanowire Aptamer-Sensitized Biosensor Chips with Gas Plasma-Treated Surface for the Detection of Hepatitis C Virus Core Antigen. Coatings 2020, 10, 753. [Google Scholar] [CrossRef]
- ExtractRNA. A Reagent for the Isolation of Total RNA from Biological Samples. Catalog Number BC032. Instructions for Use. Available online: https://evrogen.ru/kit-user-manuals/extractRNA.pdf (accessed on 27 December 2021).
- Stern, E.; Wagner, R.; Sigworth, F.J.; Breaker, R.; Fahmy, T.M.; Reed, M.A. Importance of the Debye Screening Length on Nanowire Field Effect Transistor Sensors. Nano Lett. 2007, 7, 3405–3409. [Google Scholar] [CrossRef] [PubMed] [Green Version]
- Purwidyantri, A.; Domingues, T.; Borme, J.; Guerreiro, J.R.; Ipatov, A.; Abreu, C.M.; Martins, M.; Alpuim, P.; Prado, M. Influence of the Electrolyte Salt Concentration on DNA Detection with Graphene Transistors. Biosensors 2021, 11, 24. [Google Scholar] [CrossRef] [PubMed]
- Wu, C.-C.; Manga, Y.B.; Yang, M.-H.; Chien, Z.-S.; Lee, K.-S. Label-Free Detection of BRAFV599E Gene Mutation Using Side-Gated Nanowire Field Effect Transistors. J. Electrochem. Soc. 2018, 165, B576–B581. [Google Scholar] [CrossRef]
- Hull, L.; Petrides, K.V.; Allison, C.; Smith, P.; Baron-Cohen, S.; Lai, M.-C.; Mandy, W. “Putting on My Best Normal”: Social Camouflaging in Adults with Autism Spectrum Conditions. J. Autism Dev. Disord. 2017, 47, 2519–2534. [Google Scholar] [CrossRef]









| No. Probe | Sequence oDNA Probes |
|---|---|
| probe#1 | (NH2)-T10CTACCTGCACTGTAAGCACTTTT |
| probe#2 | (NH2)-T10ATCTGCACTGTCAGCACTTTA |
| probe#4 | (NH2)-T10AGAGAAGACAACACG GACAACCT |
| probe#6 | (NH2)-T10TGTAAACCATGATGTGCTGCTA |
| oDNA | Model Target oDNA Sequence | Target miRNA Sequence [Ref.] |
|---|---|---|
| *CS#1 | AAAAGTGCTTACAGTGCAGGTAG | miR-106a-5p [13,28] |
| CS#2 | TAAAGTGCTGACAGTGCAGAT | miR-106b-5p [13,28] |
| CS#4 | AGGTTGTCCGTGTTGTCTTCTCT | miR-494-5p [13,28] |
| CS#6 | TAGCAGCACATCATGGTTTACA | miR-15b-5p [13,28] |
| Sample No. | Age | Sex | Diagnosis |
|---|---|---|---|
| #1 | 49 | female | healthy individual |
| #2 | 9 | male | ASD |
| #3 | 20 | male | ASD |
| #7 | 7 | male | ASD |
| #4 | 33 | female | healthy individual |
| #8 | 5 | male | healthy individual |
| #11 | 6 | male | ASD |
Publisher’s Note: MDPI stays neutral with regard to jurisdictional claims in published maps and institutional affiliations. |
© 2022 by the authors. Licensee MDPI, Basel, Switzerland. This article is an open access article distributed under the terms and conditions of the Creative Commons Attribution (CC BY) license (https://creativecommons.org/licenses/by/4.0/).
Share and Cite
Ivanov, Y.D.; Malsagova, K.A.; Goldaeva, K.V.; Pleshakova, T.O.; Shumov, I.D.; Galiullin, R.A.; Kapustina, S.I.; Iourov, I.Y.; Vorsanova, S.G.; Ryabtsev, S.V.; et al. “Silicon-On-Insulator”-Based Nanosensor for the Revelation of MicroRNA Markers of Autism. Genes 2022, 13, 199. https://doi.org/10.3390/genes13020199
Ivanov YD, Malsagova KA, Goldaeva KV, Pleshakova TO, Shumov ID, Galiullin RA, Kapustina SI, Iourov IY, Vorsanova SG, Ryabtsev SV, et al. “Silicon-On-Insulator”-Based Nanosensor for the Revelation of MicroRNA Markers of Autism. Genes. 2022; 13(2):199. https://doi.org/10.3390/genes13020199
Chicago/Turabian StyleIvanov, Yuri D., Kristina A. Malsagova, Kristina V. Goldaeva, Tatyana O. Pleshakova, Ivan D. Shumov, Rafael A. Galiullin, Svetlana I. Kapustina, Ivan Y. Iourov, Svetlana G. Vorsanova, Stepan V. Ryabtsev, and et al. 2022. "“Silicon-On-Insulator”-Based Nanosensor for the Revelation of MicroRNA Markers of Autism" Genes 13, no. 2: 199. https://doi.org/10.3390/genes13020199
APA StyleIvanov, Y. D., Malsagova, K. A., Goldaeva, K. V., Pleshakova, T. O., Shumov, I. D., Galiullin, R. A., Kapustina, S. I., Iourov, I. Y., Vorsanova, S. G., Ryabtsev, S. V., Popov, V. P., & Archakov, A. I. (2022). “Silicon-On-Insulator”-Based Nanosensor for the Revelation of MicroRNA Markers of Autism. Genes, 13(2), 199. https://doi.org/10.3390/genes13020199

