Genome-Wide Association Study and Pathway Analysis for Heterophil/Lymphocyte (H/L) Ratio in Chicken
Abstract
1. Introduction
2. Materials and Methods
2.1. Ethics Statement
2.2. Phenotypes and Breeding Value Estimation
2.3. Genotyping and Quality Control
2.4. Single SNP-Based Association Analysis
2.5. Pathway Analysis
2.6. Proportion of Phenotypic Variance Explained (PVE) by SNPs
3. Results
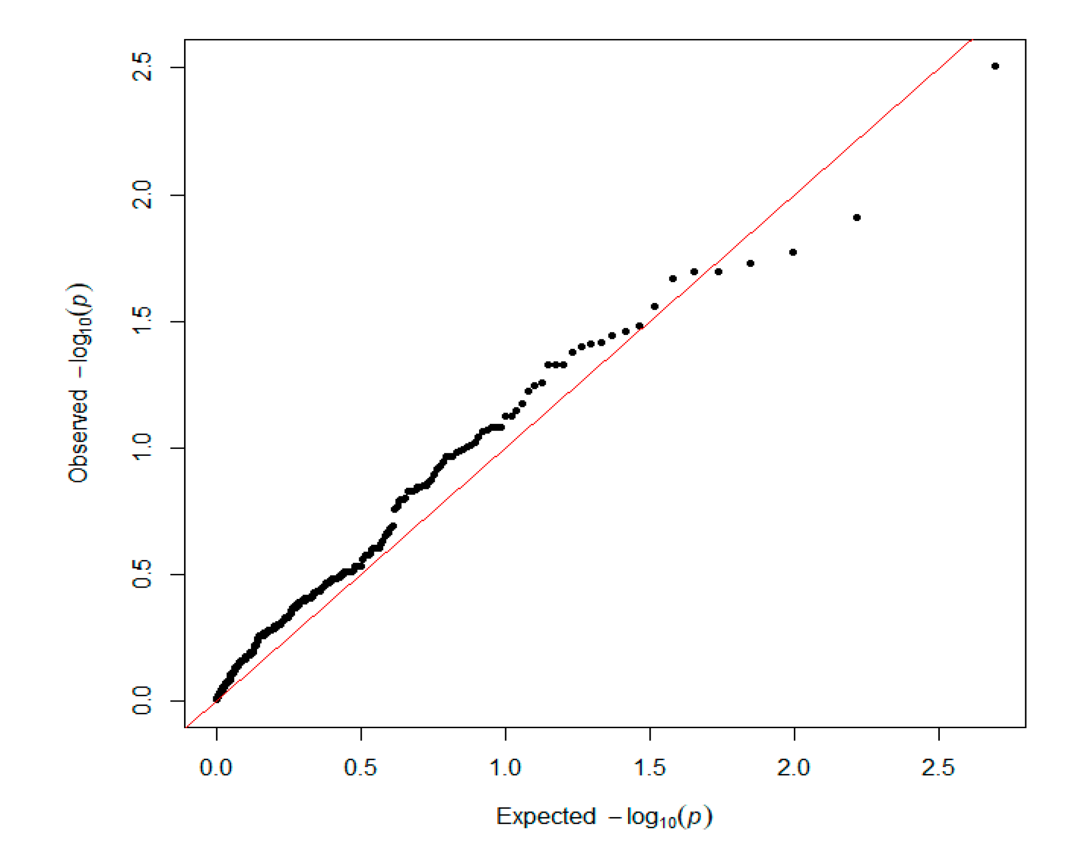
3.1. Single SNP-Based Association Study
3.2. Pathway Analysis
3.3. Estimation of Phenotypic Variance Explained by SNPs from Various Datasets
4. Discussion
4.1. Key Genes Associated with the H/L
4.2. Signaling Pathways Associated with the H/L
4.3. Contribution of SNPs to the Variation in H/L
5. Conclusions
Supplementary Materials
Author Contributions
Funding
Acknowledgments
Conflicts of Interest
References
- Cheng, H.H.; Kaiser, P.; Lamont, S.J. Integrated genomic approaches to enhance genetic resistance in chickens. Annu. Rev. Anim. Biosci. 2013, 1, 239–260. [Google Scholar] [CrossRef]
- Redmond, S.B.; Chuammitri, P.; Andreasen, C.B.; Palić, D.; Lamont, S.J. Genetic control of chicken heterophil function in advanced intercross lines: Associations with novel and with known Salmonella resistance loci and a likely mechanism for cell death in extracellular trap production. Immunogenetics 2011, 63, 449–458. [Google Scholar] [CrossRef] [PubMed]
- Minias, P. Evolution of heterophil/lymphocyte ratios in response to ecological and life-history traits: A comparative analysis across the avian tree of life. J. Anim. Ecol. 2019, 88, 554–565. [Google Scholar] [CrossRef] [PubMed]
- Al-Murrani, W.K.; Kassab, A.; Al-Sam, H.Z.; Al-Athari, A.M.K. Heterophil/lymphocyte ratio as a selection criterion for heat resistance in domestic fowls. Br. Poult. Sci. 1997, 38, 159–163. [Google Scholar] [CrossRef] [PubMed]
- McFarlane, J.M.; Curtis, S.E. Multiple concurrent stressors in chicks.3. Effects on plasma corticosterone and the Heterophil: Lymphocyte ratio. Poult. Sci. 1989, 68, 522–527. [Google Scholar] [CrossRef] [PubMed]
- Gross, W.B. Factors affecting chicken thrombocyte morphology and the relationship with heterophil: Lymphocyte ratios. Br. Poult. Sci. 1989, 30, 919–925. [Google Scholar] [CrossRef] [PubMed]
- Masello, J.F.; Choconi, R.G.; Helmer, M.; Kremberg, T.; Lubjuhn, T.; Quillfeldt, P. Do leucocytes reflect condition in nestling burrowing parrots Cyanoliseus patagonus in the wild? Comp. Biochem. Physiol. Part A Mol. Integr. Physiol. 2009, 152, 176–181. [Google Scholar] [CrossRef] [PubMed]
- Lentfer, T.L. H/L ratio as a measurement of stress in laying hens—Methodology and reliability. Br. Poult. Sci. 2015, 56, 157–163. [Google Scholar] [CrossRef]
- Al-Murrani, W.; Al-Rawi, I.; Raof, N. Genetic resistance to Salmonella typhimurium in two lines of chickens selected as resistant and sensitive on the basis of heterophil/lymphocyte ratio. Br. Poult. Sci. 2002, 43, 501–507. [Google Scholar] [CrossRef] [PubMed]
- Zhou, Z. An intercross population study reveals genes associated with body size and plumage color in ducks. Nat. Commun. 2018, 9, 2648. [Google Scholar] [CrossRef]
- Liu, J.; Liang, A.; Campanile, G.; Plastow, G.; Zhang, C.; Wang, Z.; Salzano, A.; Gasparrini, B.; Cassandro, M.; Yang, L. Genome-wide association studies to identify quantitative trait loci affecting milk production traits in water buffalo. J. Dairy Sci. 2018, 101, 433–444. [Google Scholar] [CrossRef] [PubMed]
- Eusebi, P.G.; González-Prendes, R.; Quintanilla, R.; Tibau, J.; Cardoso, T.F.; Clop, A.; Amills, M. A genome-wide association analysis for carcass traits in a commercial Duroc pig population. Anim. Genet. 2017, 48, 466–469. [Google Scholar] [CrossRef] [PubMed]
- Azmal, S.A.; Bhuiyan, A.A.; Omar, A.I.; Ma, S.; Sun, C.; Han, Z.; Zhang, M.; Zhao, S.H.; Li, S. Novel polymorphisms in RAPGEF6 gene associated with egg-laying rate in Chinese Jing Hong chicken using genome-wide SNP scan. Genes 2019, 10, 384. [Google Scholar] [CrossRef] [PubMed]
- Walsh, N.; Zhang, H.; Hyland, P.L.; Yang, Q.; Mocci, E.; Zhang, M.; Childs, E.J.; Collins, I.; Wang, Z.A.; Arslan, A.; et al. Agnostic pathway/gene set analysis of genome-wide association data identifies associations for pancreatic cancer. J. Natl. Cancer Inst. 2018, 111, 557–567. [Google Scholar] [CrossRef] [PubMed]
- White, M.J.; Yaspan, B.L.; Veatch, O.J.; Goddard, P.; Risse-Adams, O.S.; Contreras, M.G. Strategies for pathway analysis using GWAS and WGS data. Curr. Protoc. Hum. Genet. 2018, 100, e79. [Google Scholar] [CrossRef] [PubMed]
- Kwak, I.Y.; Pan, W. Gene- and pathway-based association tests for multiple traits with GWAS summary statistics. Bioinformatics 2016, 33, 64–71. [Google Scholar] [CrossRef]
- Ostrom, Q.T.; Coleman, W.; Huang, W.; Rubin, J.B.; Lathia, J.D.; Berens, M.E.; Speyer, G.; Liao, P.; Wrensch, M.; Eckel-Passow, J.E.; et al. Sex-specific gene and pathway modeling of inherited glioma risk. Neuro Oncol. 2018, 21, 71–82. [Google Scholar] [CrossRef]
- Zhu, B.; Li, Q.; Liu, R.; Zheng, M.; Wen, J.; Zhao, G. Genome-wide association study of H/L traits in chicken. Animal 2019, 9, 260. [Google Scholar] [CrossRef]
- Henderson, C.R. Best linear unbiased estimation and prediction under a selection model. Biometrics 1975, 31, 423–447. [Google Scholar] [CrossRef]
- Burgueño, J. User’s Guide for Spatial Analysis of Field Variety Trials Using ASREML; CIMMYT: Mexico City, Mexico, 2000. [Google Scholar]
- Liu, R.; Xing, S.; Wang, J.; Zheng, M.; Cui, H.; Crooijmans, R.P.M.A.; Li, Q.; Zhao, G.; Wen, J. A new chicken 55K SNP genotyping array. BMC Genom. 2019, 20, 410. [Google Scholar] [CrossRef]
- Purcell, S.M.; Neale, B.; Todd-Brown, K.; Thomas, L.; Ferreira, M.A.; Bender, D.; Maller, J.; Sklar, P.; De Bakker, P.I.W.; Daly, M.J.; et al. PLINK: A tool set for whole-genome association and population-based linkage analyses. Am. J. Hum. Genet. 2007, 81, 559–575. [Google Scholar] [CrossRef] [PubMed]
- Lipka, A.E.; Tian, F.; Wang, Q.; Peiffer, J.; Li, M.; Bradbury, P.J.; Gore, M.A.; Buckler, E.S.; Zhang, Z. GAPIT: Genome association and prediction integrated tool. Bioinformatics 2012, 28, 2397–2399. [Google Scholar] [CrossRef] [PubMed]
- Johnson, R.C.; Nelson, G.W.; Troyer, J.L.; Lautenberger, J.A.; Kessing, B.D.; Winkler, C.A.; O’Brien, S.J. Accounting for multiple comparisons in a genome-wide association study (GWAS). BMC Genom. 2010, 11, 1–6. [Google Scholar] [CrossRef] [PubMed]
- Bai, H.; Sun, Y.; Liu, N.; Xue, F.; Li, Y.; Xu, S.; Ye, J.; Zhang, L.; Chen, Y.; Chen, J. Single SNP- and pathway-based genome-wide association studies for beak deformity in chickens using high-density 600K SNP arrays. BMC Genom. 2018, 19, 501. [Google Scholar] [CrossRef]
- Turner, S.D. qqman: An R package for visualizing GWAS results using Q-Q and manhattan plots. J. Open Source Softw. 2018, 3. [Google Scholar] [CrossRef]
- Ogata, H.; Goto, S.; Sato, K.; Fujibuchi, W.; Bono, H.; Kanehisa, M. KEGG: Kyoto encyclopedia of genes and genomes. Nucleic Acids Res. 1999, 27, 29–34. [Google Scholar] [CrossRef]
- VanRaden, P. Efficient methods to compute genomic predictions. J. Dairy Sci. 2008, 91, 4414–4423. [Google Scholar] [CrossRef]
- Peerschke, E.I.; Joe, O.M.; Zhou, S.Z.; Bini, A.; Gotlieb, A.; Colman, R.W.; Ghebrehiwet, B. Expression of gC1q-R/p33 and its major ligands in human atherosclerotic lesions. Mol. Immunol. 2004, 41, 759–766. [Google Scholar] [CrossRef]
- Li, K.; Gao, B.; Li, J.; Chen, H.; Li, Y.; Wei, Y.; Gong, D.; Gao, J.; Zhang, J.; Tan, W.; et al. ZNF32 protects against oxidative stress-induced apoptosis by modulating C1QBP transcription. Oncotarget 2015, 6, 38107–38126. [Google Scholar] [CrossRef]
- Ghebrehiwet, B.; Jesty, J.; Xu, S.; Vinayagasundaram, R.; Ji, Y.; Valentino, A.; Hosszu, K.K.; Mathew, S.; Joseph, K.; Kaplan, A.P.; et al. Structure—Function studies using deletion mutants identify domains of gC1qR/p33 as potential therapeutic targets for vascular permeability and inflammation. Front. Immunol. 2011, 2, 2. [Google Scholar] [CrossRef]
- Khan, M.M.; Bradford, H.N.; Isordia-Salas, I.; Liu, Y.; Wu, Y.; Espinola, R.G.; Ghebrehiwet, B.; Colman, R.W. High-molecular-weight kininogen fragments stimulate the secretion of cytokines and chemokines through uPAR, Mac-1, and gC1qR in monocytes. Arter. Thromb. Vasc. Biol. 2006, 26, 2260–2266. [Google Scholar] [CrossRef] [PubMed]
- Shen, Y.; Naujokas, M.; Park, M.; Ireton, K. InlB-dependent internalization of listeria is mediated by the met receptor tyrosine kinase. Cell 2000, 103, 501–510. [Google Scholar] [CrossRef]
- Bierne, H.; Gouin, E.; Roux, P.; Caroni, P.; Yin, H.L.; Cossart, P. A role for cofilin and LIM kinase in Listeria-induced phagocytosis. J. Cell Biol. 2001, 155, 101–112. [Google Scholar] [CrossRef] [PubMed]
- Wang, Y.; Su, J.; Yuan, B.; Fu, D.; Niu, Y.; Yue, D. The role of C1QBP in CSF-1-dependent PKCζ activation and macrophage migration. Exp. Cell Res. 2018, 362, 11–16. [Google Scholar] [CrossRef]
- Berton, G.; Mócsai, A.; Lowell, C.A. Src and Syk kinases: Key regulators of phagocytic cell activation. Trends Immunol. 2005, 26, 208–214. [Google Scholar] [CrossRef]
- Kuo, M.M.; Kim, D.H.; Jandu, S.S.; Bergman, Y.; Tan, S.; Wang, H.; Pandey, D.R.; Abraham, T.P.; Shoukas, A.A.; Berkowitz, D.E.; et al. MPST but not CSE is the primary regulator of hydrogen sulfide production and function in the coronary artery. Am. J. Physiol. Circ. Physiol. 2015, 310, H71–H79. [Google Scholar] [CrossRef]
- Baskin, S.I.; Wing, D.A.; Kirby, S.D. Cyanide Conversion to Thiocyanate by 3-Mercaptopyruvate Sulfurtransferase (MPST). In Proceedings of the Annual Meeting of the Federation of American Societies for Experimental Biology, Washington, DC, USA, 26 February 1990. [Google Scholar]
- Zhang, G.Y. Hydrogen sulfide alleviates lipopolysaccharide-induced diaphragm dysfunction in rats by reducing apoptosis and inflammation through ROS/MAPK and TLR4/NF-κB signaling pathways. Oxid. Med. Cell. Longev. 2018, 2018, 9647809. [Google Scholar] [CrossRef]
- Perry, M.; Tildy, B.E.; Papi, A.; Casolari, P.; Caramori, G.; Rempel, K.L.; Halayko, A.; Adcock, I.M.; Chung, K.F. The anti-proliferative and anti-inflammatory response of COPD airway smooth muscle cells to hydrogen sulfide. Respir. Res. 2018, 19, 85. [Google Scholar] [CrossRef]
- Wang, S.S.; Chen, Y.H.; Chen, N.; Wang, L.J.; Chen, D.X.; Weng, H.L.; Dooley, S.; Ding, H. Hydrogen sulfide promotes autophagy of hepatocellular carcinoma cells through the PI3K/Akt/mTOR signaling pathway. Cell Death Dis. 2017, 8, e2688. [Google Scholar] [CrossRef]
- Yang, J.; Benyamin, B.; McEvoy, B.P.; Gordon, S.; Henders, A.K.; Nyholt, D.R.; Madden, P.A.; Heath, A.C.; Martin, N.G.; Montgomery, G.W.; et al. Common SNPs explain a large proportion of the heritability for human height. Nat. Genet. 2010, 42, 565–569. [Google Scholar] [CrossRef]






| Traits | SNP | CHR | POS | p-Value | Nearest Gene |
|---|---|---|---|---|---|
| H/L ebv | AX_172586886 | 1 | 189449719 | 4.23 × 10−6 | ENSGALG00000041225 (U52kb) |
| H/L ebv | AX_76986680 | 7 | 15894092 | 2.20 × 10−5 | HNRNPA3 (within) |
| H/L ebv | AX_172565168 | 7 | 12098710 | 2.53 × 10−5 | PLEKHM3 (within) |
| H/L ebv | AX_75926692 | 19 | 3405344 | 3.18 × 10−5 | C1QBP (within) |
| H/L ebv | AX_75383308 | 1 | 189419246 | 4.83 × 10−5 | ENSGALG00000041225 (U21kb) |
| H/L ebv | AX_172582339 | 13 | 5407991 | 5.28 × 10−5 | TENM2 (D102Kb) |
| H/L ebv | AX_75383086 | 1 | 189344794 | 8.56 × 10−5 | ENSGALG00000041225 (within) |
| H/L ebv | AX_76984294 | 7 | 14956470 | 9.37 × 10−5 | ZNF385B (U24Kb) |
© 2020 by the authors. Licensee MDPI, Basel, Switzerland. This article is an open access article distributed under the terms and conditions of the Creative Commons Attribution (CC BY) license (http://creativecommons.org/licenses/by/4.0/).
Share and Cite
Wang, J.; Zhu, B.; Wen, J.; Li, Q.; Zhao, G. Genome-Wide Association Study and Pathway Analysis for Heterophil/Lymphocyte (H/L) Ratio in Chicken. Genes 2020, 11, 1005. https://doi.org/10.3390/genes11091005
Wang J, Zhu B, Wen J, Li Q, Zhao G. Genome-Wide Association Study and Pathway Analysis for Heterophil/Lymphocyte (H/L) Ratio in Chicken. Genes. 2020; 11(9):1005. https://doi.org/10.3390/genes11091005
Chicago/Turabian StyleWang, Jie, Bo Zhu, Jie Wen, Qinghe Li, and Guiping Zhao. 2020. "Genome-Wide Association Study and Pathway Analysis for Heterophil/Lymphocyte (H/L) Ratio in Chicken" Genes 11, no. 9: 1005. https://doi.org/10.3390/genes11091005
APA StyleWang, J., Zhu, B., Wen, J., Li, Q., & Zhao, G. (2020). Genome-Wide Association Study and Pathway Analysis for Heterophil/Lymphocyte (H/L) Ratio in Chicken. Genes, 11(9), 1005. https://doi.org/10.3390/genes11091005
