OSmfs: An Online Interactive Tool to Evaluate Prognostic Markers for Myxofibrosarcoma
Abstract
1. Introduction
2. Materials and Methods
2.1. Data Collection
2.2. Design of OSmfs
2.3. Venny Analysis
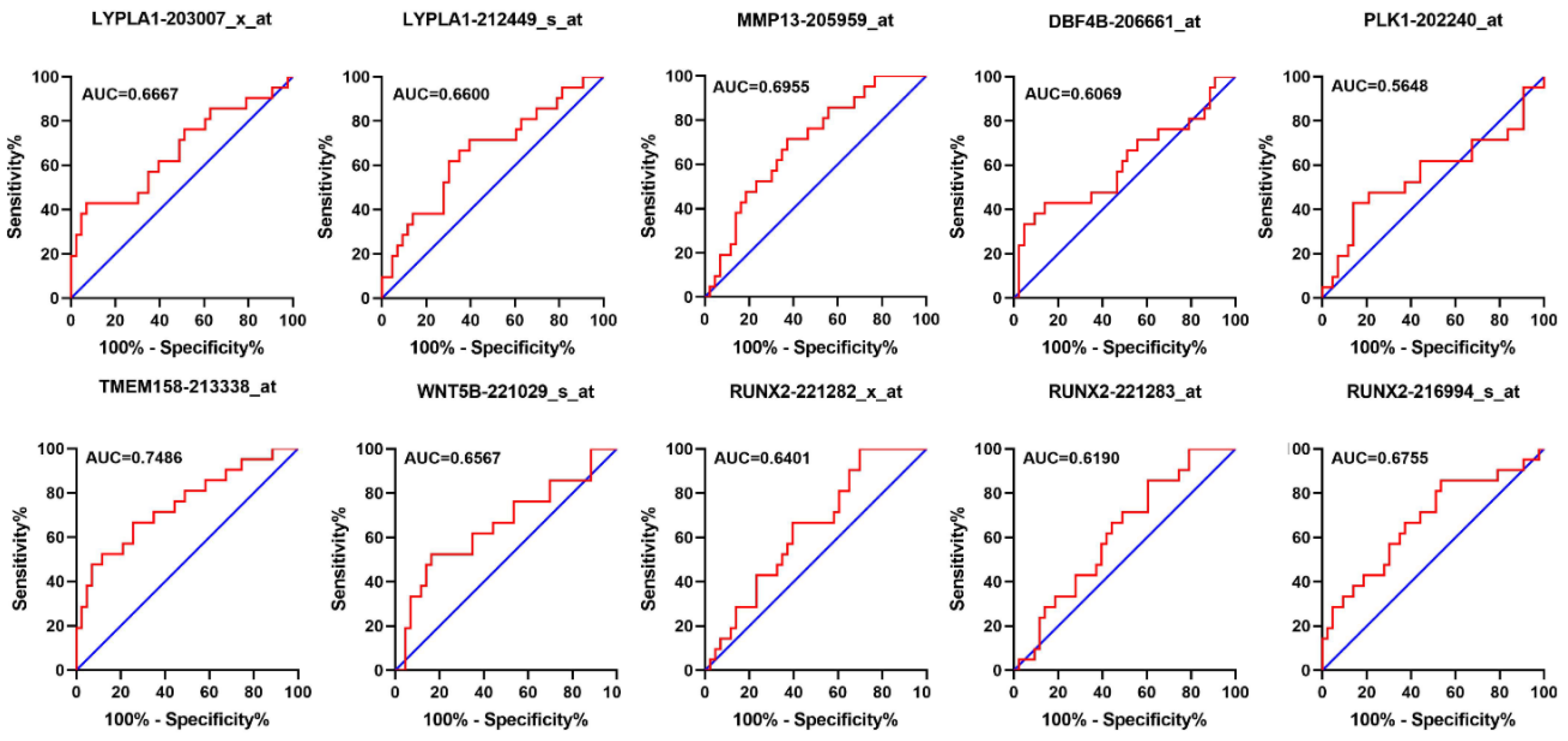
2.4. Receiver Operating Characteristic (ROC) Analysis
3. Results
3.1. Application of OSmfs
3.2. Validation of Prior MFS Biomarkers in OSmfs
3.3. Identification of Potentially Novel Prognostic Biomarkers in MFS
4. Discussion
5. Conclusions
Author Contributions
Funding
Conflicts of Interest
References
- Roland, C.; Wang, W.; Lazar, A.; Torres, K. Myxofibrosarcoma. Surg. Oncol. Clin. N. Am. 2016, 25, 775–788. [Google Scholar] [CrossRef]
- Jo, V.; Fletcher, C. WHO classification of soft tissue tumours: An update based on the 2013 (4th) edition. Pathology 2014, 46, 95–104. [Google Scholar] [CrossRef]
- Haglund, K.; Raut, C.; Nascimento, A.; Wang, Q.; George, S.; Baldini, E. Recurrence Patterns and Survival for Patients With Intermediate- and High-Grade Myxofibrosarcoma. Int. J. Radiat. Oncol. Boil. Phys. 2012, 82, 361–367. [Google Scholar] [CrossRef]
- Sanfilippo, R.; Miceli, R.; Grosso, F.; Fiore, M.; Puma, E.; Pennacchioli, E.; Barisella, M.; Sangalli, C.; Mariani, L.; Casali, P.; et al. Myxofibrosarcoma: Prognostic Factors and Survival in a Series of Patients Treated at a Single Institution. Ann. Surg. Oncol. 2010, 18, 720–725. [Google Scholar] [CrossRef]
- Ogura, K.; Hosoda, F.; Arai, Y.; Nakamura, H.; Hama, N.; Totoki, Y.; Yoshida, A.; Nagai, M.; Kato, M.; Arakawa, E.; et al. Integrated genetic and epigenetic analysis of myxofibrosarcoma. Nat. Commun. 2018, 9, 2765. [Google Scholar] [CrossRef]
- Emori, M.; Tsukahara, T.; Murata, K.; Sugita, S.; Sonoda, T.; Kaya, M.; Soma, T.; Sasaki, M.; Nagoya, S.; Hasegawa, T.; et al. Prognostic impact of CD109 expression in myxofibrosarcoma. J. Surg. Oncol. 2015, 111, 975–979. [Google Scholar]
- Barretina, T.; Taylor, B.; Banerji, S.; Ramos, A.; Lagos-Quintana, M.; DeCarolis, P.; Shah, K.; Socci, N.; Weir, B.; Ho, A.; et al. Subtype-specific genomic alterations define new targets for soft-tissue sarcoma therapy. Nat. Genet. 2010, 42, 715–721. [Google Scholar] [CrossRef]
- Li, C.; Fang, F.; Lan, J.; Wang, J.; Kung, H.; Chen, L.; Chen, T.; Li, S.; Wang, Y.; Tai, H.; et al. AMACR Amplification in Myxofibrosarcomas: A Mechanism of Overexpression That Promotes Cell Proliferation with Therapeutic Relevance. Clin. Cancer Res. 2014, 20, 6141–6152. [Google Scholar] [CrossRef]
- Huang, H.; Kang, H.; Li, C.; Eng, H.; Chou, S.; Lin, C.; Hsiung, C. Skp2 overexpression is highly representative of intrinsic biological aggressiveness and independently associated with poor prognosis in primary localized myxofibrosarcomas. Clin. Cancer Res. 2006, 12, 487–498. [Google Scholar] [CrossRef][Green Version]
- Scoccianti, G.; Ranucci, V.; Frenos, F.; Greto, D.; Beltrami, G.; Capanna, R.; Franchi, A. Soft tissue myxofibrosarcoma: A clinico-pathological analysis of a series of 75 patients with emphasis on the epithelioid variant. J. Surg. Oncol. 2016, 114, 50–55. [Google Scholar] [CrossRef]
- Xie, L.; Guo, J.; Sun, X.; Xie, T.; Zhang, L.; Yan, Z.; Amin, H.; Guo, X. High KRT8 Expression Independently Predicts Poor Prognosis for Lung Adenocarcinoma Patients. Genes 2019, 10, 36. [Google Scholar] [CrossRef]
- Anaya, J. OncoLnc: Linking TCGA survival data to mRNAs, miRNAs, and lncRNAs. PeerJ Comput. Sci. 2016, 2, e67. [Google Scholar] [CrossRef]
- Chandrashekar, D.; Bashel, B.; Balasubramanya, S.; Creighton, C.; Ponce-Rodriguez, I.; Chakravarthi, B.; Varambally, S. UALCAN: A Portal for Facilitating Tumor Subgroup Gene Expression and Survival Analyses. Neoplasia 2017, 19, 649–658. [Google Scholar] [CrossRef]
- Menyhárt, O.; Nagy, Á. Determining consistent prognostic biomarkers of overall survival and vascular invasion in hepatocellular carcinoma. R. Soc. Open Sci. 2018, 5, 181006. [Google Scholar] [CrossRef]
- Wang, Q.; Xie, L.; Dang, Y.; Sun, X.; Xie, T.; Guo, J.; Han, Y.; Yan, Z.; Zhu, W.; Wang, Y.; et al. OSlms: A Web Server to Evaluate the Prognostic Value of Genes in Leiomyosarcoma. Front. Oncol. 2019, 9, 190. [Google Scholar] [CrossRef]
- Zhang, G.; Dong, H.; Yang, M.; Xie, L.; Yuan, Q.; Zhu, W.; Dang, Y.; Sun, X.; Wang, Y.; Guo, X. OSblca: A Web Server for Investigating Prognostic Biomarkers of Bladder Cancer Patients. Front. Oncol. 2019, 9, 466. [Google Scholar]
- Tom, L.; Gaëlle, P.; Marine, R.; Céline, B.; Pauline, L.; Valérie, D.; Carlo, L.; Agnès, N.; Philippe, T.; Dominique, V.; et al. RNA sequencing validation of the Complexity INdex in SARComas prognostic signature. Eur. J. Cancer 2016, 57, 104–111. [Google Scholar]
- Okada, T.; Lee, A.; Qin, L.; Agaram, N.; Mimae, T.; Shen, Y.; O’Connor, R.; López-Lago, M.; Craig, A.; Miller, M.; et al. Integrin-α10 Dependency Identifies RAC and RICTOR as Therapeutic Targets in High-Grade Myxofibrosarcoma. Cancer Discov. 2016, 6, 1148–1165. [Google Scholar] [CrossRef]
- Tsai, J.; Li, C.; Kao, Y.; Wang, J.; Fang, F.; Wang, Y.; Wu, W.; Wu, L.; Hsing, C.; Li, S.; et al. Recurrent Amplification at 7q21.2 Targets CDK6 Gene in Primary Myxofibrosarcomas and Identifies CDK6 Overexpression as an Independent Adverse Prognosticator. Ann. Surg. Oncol. 2012, 19, 2716–2725. [Google Scholar] [CrossRef]
- Heitzer, E.; Sunitsch, S.; Gilg, M.; Lohberger, B.; Rinner, B.; Kashofer, K.; Stündl, N.; Ulz, P.; Szkandera, J.; Leithner, A.; et al. Expanded molecular profiling of myxofibrosarcoma reveals potentially actionable targets. Mod. Pathol. 2017, 30, 1698–1709. [Google Scholar] [CrossRef]
- Lee, J.; Li, C.; Fang, F.; Wang, J.; Jeng, Y.; Yu, S.; Lin, Y.; Wu, J.; Tsai, J.; Li, S.; et al. prognostic implication of MET overexpression in myxofibrosarcomas: An integrative array comparative genomic hybridization, real-time quantitative PCR, immunoblotting, and immunohistochemical analysis. Mod. Pathol. 2010, 23, 1379–1392. [Google Scholar] [PubMed]
- Huang, H.; Li, C.; Fang, F.; Tsai, J.; Li, S.; Lee, Y.; Wei, H. Prognostic Implication of Ezrin Overexpression in Myxofibrosarcomas. Ann. Surg. Oncol. 2010, 17, 3212–3219. [Google Scholar] [CrossRef] [PubMed]
- Willems, S.; Mohseny, A.; Balog, C.; Sewrajsing, R.; Bruijn, I.; Knijnenburg, J.; Cleton-Jansen, A.; Sciot, R.; Fletcher, C.; Deelder, A.; et al. Cellular/intramuscular myxoma and grade I myxofibrosarcoma are characterized by distinct genetic alterations and specific composition of their extracellular matrix. J. Cell. Mol. Med. 2009, 13, 1291–1301. [Google Scholar] [CrossRef]
- Sato, O.; Wada, T.; Kawai, A.; Yamaguchi, U.; Makimoto, A.; Kokai, Y.; Yamashita, T.; Chuman, H.; Beppu, Y.; Tani, Y.; et al. Expression of epidermal growth factor receptor, ERBB2 andKIT in adult soft tissue sarcomas. Cancer 2005, 103, 1881–1890. [Google Scholar]
- Huang, H.; Wu, W.; Wang, Y.; Wang, J.; Fang, F.; Tsai, J.; Li, S.; Hung, H.; Yu, S.; Lan, J.; et al. ASS1 as a Novel Tumor Suppressor Gene in Myxofibrosarcomas: Aberrant Loss via Epigenetic DNA Methylation Confers Aggressive Phenotypes, Negative Prognostic Impact, and Therapeutic Relevance. Clin. Cancer Res. 2013, 19, 2861–2872. [Google Scholar] [CrossRef]
- Mohammed, A.; Zhang, C.; Zhang, S.; Shen, Q.; Li, J.; Tang, Z.; Liu, H. Inhibition of cell proliferation and migration in non-small cell lung cancer cells through the suppression of LYPLA1. Oncol. Rep. 2019, 41, 973–980. [Google Scholar] [CrossRef]
- Chen, L.; Luo, C.; Shen, L.; Liu, Y.; Wang, Q.; Zhang, C.; Guo, R.; Zhang, Y.; Xie, Z.; Wei, N.; et al. SRSF1 Prevents DNA Damage and Promotes Tumorigenesis through Regulation of DBF4B Pre-mRNA Splicing. Cell Rep. 2017, 21, 3406–3413. [Google Scholar]
- Pittayapruek, P.; Meephansan, J.; Prapapan, O.; Komine, M.; Ohtsuki, M. Role of Matrix Metalloproteinases in Photoaging and Photocarcinogenesis. Int. J. Mol. Sci. 2016, 17, 868. [Google Scholar] [CrossRef]
- Ren, J.; Liu, J.; Sui, X. Correlation of COX-2 and MMP-13 expressions with gastric cancer and their effects on prognosis. J. BUON Off. J. Balk. Union Oncol. 2018, 23, 665–671. [Google Scholar]
- Huang, M.; Chang, H.; Chung, F.; Yang, M.; Yang, Y.; Wang, J.; Lin, S. MMP13 is a potential prognostic marker for colorectal cancer. Oncol. Rep. 2010, 24, 1241–1247. [Google Scholar]
- Vincent-Chong, V.; Salahshourifar, I.; Karen-Ng, L.; Siow, M.; Kallarakkal, T.; Ramanathan, A. Overexpression of MMP13 is associated with clinical outcomes and poor prognosis in oral squamous cell carcinoma. Sci. World J. 2014, 2014, 897523. [Google Scholar] [CrossRef] [PubMed]
- Liu, Z.; Sun, Q.; Wang, X. PLK1, A Potential Target for Cancer Therapy. Transl. Oncol. 2017, 10, 22–32. [Google Scholar] [CrossRef] [PubMed]
- Fu, Y.; Yao, N.; Ding, D.; Zhang, X.; Liu, H.; Ma, L.; Shi, W.; Zhu, C.; Tang, L. TMEM158 promotes pancreatic cancer aggressiveness by activation of TGFβ1 and PI3K/AKT signaling pathway. J. Cell Physiol. 2020, 235, 2761–2775. [Google Scholar] [CrossRef] [PubMed]
- Dong, J.; Ying, L.; Shi, K. Expression of the Wnt ligands gene family and its relationship to prognosis in hepatocellular carcinoma. Cancer Cell Int. 2019, 19, 34. [Google Scholar] [CrossRef]
- Ferrari, N.; McDonald, L.; Morris, J.S.; Cameron, E.R.; Blyth, K. RUNX2 in mammary gland development and breast cancer. J. Cell Physiol. 2013, 228, 1137–1142. [Google Scholar] [CrossRef]
- Li, X.; Lu, J.; Tan, C.; Wang, Q.; Feng, Y. RUNX2 promotes breast cancer bone metastasis by increasing integrin α5-mediated colonization. Cancer Lett. 2016, 380, 78–86. [Google Scholar] [CrossRef]
- Obuchowski, N.A.; Bullen, J.A. Receiver operating characteristic (ROC) curves: Review of methods with applications in diagnostic medicine. Phys. Med. Biol. 2018, 63, 07tr01. [Google Scholar]
- Zhe, H.; Jane, C.; Dawn, T. What is an ROC curve? Emerg. Med. J. 2017, 34, 357–359. [Google Scholar]
- Combescure, C.; Thomas, V.P.; Damien, C.W.; Jean-Pierre, D.; Yohann, F. Prognostic ROC curves: A method for representing the overall discriminative capacity of binary markers with right-censored time-to-event endpoints. Epidemiology 2014, 25, 103–109. [Google Scholar] [CrossRef]
- Siegel, R.L.; Miller, K.D.; Jemal, A. Cancer statistics. CA A Cancer J. Clin. 2019, 69, 7–34. [Google Scholar] [CrossRef]






| Dataset | Platform | Clinical Outcomes | No. of Samples | Death Event | Data Sources | Gender (M/F) | Age (Median ± SD) | Metastasis | Tumor Depth (Deep/Superficial) |
|---|---|---|---|---|---|---|---|---|---|
| TCGA | RNAseq | OS, DFI, PFI, DSS, PFS | 25 | 7 | TCGA | 11/14 | 60.0 ± 14.78 | NA | 21/4 |
| GSE71118 | GPL570-55999 | MFS | 39 | 10 | GEO | NA | NA | 10 | NA |
| GSE72545 | GPL96-57554 | OS | 64 | 21 | GEO | 23/41 | 63.5 ± 16.67 | NA | 52/12 |
| Literature Results | Validation Results | ||||||||||
|---|---|---|---|---|---|---|---|---|---|---|---|
| Genes | Sample (n) | Detection Level | Clinical Outcomes | Valida-Tion | References | Issuing Time | Clinical Outcomes | HR(95%CI) | p Value | Probe ID | Datasets |
| ITGA10 | 64 | RNA | DSS | Yes | 18 | 2016 | OS | 6.66 (2.76–16.08) | <0.0001 a | 206766_at | GSE72545 |
| CD109 | 37 | Protein | OS | Yes | 6 | 2015 | OS | 5.03 (1.11–22.92) | 0.0366 a | TCGA | |
| PFS | 4.26 (1.40–12.96) | 0.0105 c | TCGA | ||||||||
| CDK6 | 77 | Protein | MFS, DSS | Yes | 19 | 2012 | MFS | 4.14 (1.19–14.44) 5.04 (1.41–17.98) | 0.0258 b 0.0127 b | 224847_at 221198_at | GSE71118 |
| CDKN2A | 116 | mRNA protein | OS | Yes | 20 | 2017 | OS | 2.86 (1.20–6.83) | 0.0177 a | 211156_at | GSE72545 |
| MFS | 3.52 (1.01–12.29) 3.52 (1.01–12.29) | 0.0483 b 0.0483 b | 207039_at 209644_x_at | GSE71118 | |||||||
| MET | 86 | Protein | MFS, OS | Yes | 21 | 2010 | OS | 5.45 (2.29–12.98) 4.12 (1.73–9.77) 3.36 (1.42–7.95) 5.07 (2.10–12.21) | 0.0001 a 0.0013 a 0.0057 a 0.0003 a | 203510_at 213816_s_at 211599_x_at 213807_x_at | GSE72545 |
| CCND1 | 116 | mRNA | OS | Yes | 20 | 2017 | OS | 4.00 (1.68–9.54) 4.59 (1.93–10.90) | 0.0018 a 0.0006 a | 208712_at 208711_s_at | GSE72545 |
| EZR | 78 | Protein | MFS, DSS | Yes | 22 | 2010 | OS | 10.29 (1.22–86.65) | 0.032 a | TCGA | |
| AMACR | 105 | Protein | DSS, MFS | Yes | 8 | 2014 | MFS | 1.45 (0.37–5.60) | 0.5935 | Average | GSE71118 |
| OS | 0.54 (0.21–1.43) | 0.2186 d | Combined | ||||||||
| SKP2 | 82 | mRNA | MFS, DSS, OS | Yes | 9 | 2006 | MFS | 2.65 (0.74–9.46) | 0.1328 | Average | GSE71118 |
| OS | 1.53 (0.71–3.32) | 0.2797 d | Combined | ||||||||
| KRAS | 35 | mRNA protein | OS | Yes | 23 | 2009 | OS | 0.54 (0.40–2.21) | 0.8897 d | Combined | |
| EGFR | 47 | Protein | OS | Yes | 24 | 2004 | OS | 1.72 (0.79–3.72) | 0.1704 d | Combined | |
| ASS1 | 90 | Protein mRNA | DSS, MFS | Yes | 25 | 2013 | OS | 1.50 (0.69–3.25) | 0.3086 d | Combined | |
| Genes | Data Source | Outcome | p Value | HR (95%CI) | Cut-Off |
|---|---|---|---|---|---|
| LYPLA1 | TCGA | OS | 0.0223 | 5.83 (1.29–26.43) | Upper 25% |
| GSE71118 | MFS | 0.0108 | 5.17 (1.46–18.30) | Upper 25% | |
| GSE72545 | OS | 0.0067 | 3.34 (1.40–7.97) | Upper 25% | |
| DBF4B | TCGA | OS | 0.0099 | 7.42 (1.62–34.00) | Upper 25% |
| GSE71118 | MFS | 0.0111 | 5.18 (1.46–18.47) | Upper 25% | |
| GSE72545 | OS | 0.0438 | 2.44 (1.03–5.79) | Upper 25% | |
| MMP13 | TCGA | OS | 0.0264 | 5.62 (1.22–25.84) | Upper 25% |
| GSE71118 | MFS | 0.0003 | 13.13 (3.31–52.13) | Upper 25% | |
| GSE72545 | OS | 0.0216 | 2.76 (1.16–6.55) | Upper 25% | |
| PLK1 | TCGA | OS | 0.0088 | 19.61 (2.12–181.55) | Upper 25% |
| GSE71118 | MFS | 0.0368 | 3.77 (1.08–13.14) | Upper 25% | |
| GSE72545 | OS | 0.0296 | 2.62 (1.10–6.25) | Upper 25% | |
| TMEM158 | TCGA | OS | 0.0143 | 18.57 (1.79–192.47) | Upper 25% |
| GSE71118 | MFS | 0.0293 | 4.03 (1.15–14.12) | Upper 25% | |
| GSE72545 | OS | <0.0001 | 5.98 (2.50–14.30) | Upper 25% | |
| WNT5B | TCGA | OS | 0.0099 | 7.42 (1.62–34.00) | Upper 25% |
| GSE71118 | MFS | 0.012 | 5.02 (1.43–17.68) | Upper 25% | |
| GSE72545 | OS | 0.0002 | 5.14 (2.16–12.24) | Upper 25% | |
| RUNX2 | TCGA | OS | 0.024201 | 8.17 (1.32–50.71) | Upper 25% |
| GSE71118 | MFS | 0.006546 | 5.92 (1.64–21.36) | Upper 25% | |
| GSE72545 | OS | 0.015861 | 2.92 (1.22–6.97) | Upper 25% |
Publisher’s Note: MDPI stays neutral with regard to jurisdictional claims in published maps and institutional affiliations. |
© 2020 by the authors. Licensee MDPI, Basel, Switzerland. This article is an open access article distributed under the terms and conditions of the Creative Commons Attribution (CC BY) license (http://creativecommons.org/licenses/by/4.0/).
Share and Cite
Li, H.; Xie, L.; Wang, Q.; Dang, Y.; Sun, X.; Zhang, L.; Han, Y.; Yan, Z.; Dong, H.; Zheng, H.; et al. OSmfs: An Online Interactive Tool to Evaluate Prognostic Markers for Myxofibrosarcoma. Genes 2020, 11, 1523. https://doi.org/10.3390/genes11121523
Li H, Xie L, Wang Q, Dang Y, Sun X, Zhang L, Han Y, Yan Z, Dong H, Zheng H, et al. OSmfs: An Online Interactive Tool to Evaluate Prognostic Markers for Myxofibrosarcoma. Genes. 2020; 11(12):1523. https://doi.org/10.3390/genes11121523
Chicago/Turabian StyleLi, Huimin, Longxiang Xie, Qiang Wang, Yifang Dang, Xiaoxiao Sun, Lu Zhang, Yali Han, Zhongyi Yan, Huan Dong, Hong Zheng, and et al. 2020. "OSmfs: An Online Interactive Tool to Evaluate Prognostic Markers for Myxofibrosarcoma" Genes 11, no. 12: 1523. https://doi.org/10.3390/genes11121523
APA StyleLi, H., Xie, L., Wang, Q., Dang, Y., Sun, X., Zhang, L., Han, Y., Yan, Z., Dong, H., Zheng, H., Li, Y., Zhu, W., & Guo, X. (2020). OSmfs: An Online Interactive Tool to Evaluate Prognostic Markers for Myxofibrosarcoma. Genes, 11(12), 1523. https://doi.org/10.3390/genes11121523

