Influence of Polymer Relaxation Time on the Electrospinning Process: Numerical Investigation
Abstract
:1. Introduction
2. Model Formulation
2.1. Governing Equations
| Dimensionless Number | Expression |
| Froude number, | |
| Reynolds number, | |
| Weber number, | |
| Electric Peclet number, | |
| Deborah number, | |
| Electrostatic force parameter, | |
| Viscosity ratio, B | |
| Dielectric constant ratio, | |
| Electric field strength, |
2.2. Boundary Conditions
- First Boundary Condition:At the nozzle entrance, that is, at , the jet radius is equal to the radius of the capillary , which has also been used as scaling for R. Thus
- Second Boundary Condition:Asymptotic analysis suggests that, at , the acceleration of the jet is mainly governed by the tangential traction of the electric field:which leads to the following scaling for the radius, , near the collector plate. This scaling is used to obtain the boundary condition for R at asHowever, the asymptotic balance assumed is only feasible for Newtonian solutions. For polymeric solutions, the asymptotic balance at may differ as the polymer stresses may be very high compared to the inertial and electric stresses.One possibility to solve this issue is to define a condition for at . In this case, solving the ODEs is an initial-value problem, and the solution evolves to the value at on its own. However, there is not enough insight currently to define an additional initial condition at , and hence an initial value solver cannot be used. However, given the fact that the stresses only need to be calculated at the end of the steady jet region, which appears much before , it is assumed that the properties at (end of steady jet region) are not significantly affected by the boundary condition in Equation (19) at .
- Third Boundary Condition:Assuming that the charge takes some time to migrate to the surface of the jet, it has been argued that the surface charge density at the origin of the jet is negligible or zero. Thus
- Fourth Boundary Condition:By the time the jet reaches the collector plate, the electric field variations in the electric field due to surface charge density become negligible, and the electric field becomes equal to the applied electric field . Thus
- Fifth and Sixth Boundary Conditions:It is assumed that there has been no significant stretching of the polymer molecules before they leave the jet. Thus the polymer coils are in equilibrium at the origin of the jet, and therefore the normal polymer conformation terms are equal to their equilibrium value of . Thusand
2.3. Numerical Method
2.4. Typical Values of Dimensionless Numbers and
2.5. Individual Stress Contributions
3. Results and Discussion
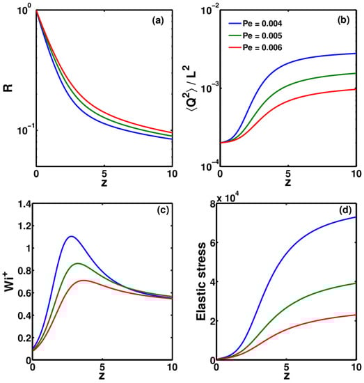
3.1. Effect of Relaxation Time
3.2. Effect of Conformation-Dependent Drag and Self-Concentration
4. Conclusions
Supplementary Materials
Acknowledgments
Conflicts of Interest
Nomenclature
| Parameter | Description | Unit |
| R | Radius of the jet | m |
| Applied flow rate | m/s | |
| I | Total current | A |
| Radius of the capillary or the needle tip | m | |
| v | Fluid velocity parallel to axis of jet | m/s |
| g | Acceleration due to gravity | m/s |
| E | Electric field | V/m |
| Applied electric field | V/m | |
| K | Solution conductivity | S/m |
| z | Vertical distance along the jet | m |
| L | Total contour length of the polymer molecule | m |
| n | Number of polymer molecules per unit volume | 1 |
| Boltzmann’s constant | m kg s K | |
| Z | Solvent quality parameter | 1 |
| T | Absolute temperature | K |
| Fluid dielectric constant | 1 | |
| Air dielectric constant | 1 | |
| Solution density | kg/m | |
| Swelling ratio | 1 | |
| Initial concentration of polymer solution | 1 | |
| Surface tension | N/m | |
| Surface charge density | c/m | |
| Zero shear-rate viscosity | N s/m | |
| Solvent viscosity | N s/m | |
| Polymer contribution to zero shear-rate viscosity | N s/m | |
| Mean drag coefficient of polymer molecule | 1 | |
| Equilibrium drag coefficient of polymer molecule | 1 | |
| Relaxation time of the polymer solution | s | |
| Aspect ratio | 1 | |
| Conformation tensor | 1 | |
| End-to-end vector between the two beads | 1 | |
| Polymer stress | N/m | |
| Number of Kuhn steps | 1 | |
| Angular brackets denote average values | − | |
| Mean squared end-to-end distance at equilibrium | m | |
| Measure of change in conformation | 1 | |
| B | Viscosity ratio | 1 |
| Deborah number | 1 | |
| Reynolds number | 1 | |
| Froude number | 1 | |
| Weber number | 1 | |
| Electric Peclet number | 1 | |
| Electrostatic force parameter | 1 | |
| Dielectric constant ratio | 1 | |
| Electric field strength | 1 | |
| Weissenberg number | 1 |
References
- Ramakrishna, S.; Fujihara, K.; Teo, W.; Lim, T.; Ma, Z. An Introduction to Electrospinning and Nanofibres; World Scientific Publishing Co.: Singapore, 2005. [Google Scholar]
- Reneker, D.; Yarin, A.; Fong, H.; Koombhongse, S. Bending instability of electrically charged liquid jets of polymer solutions in electrospinning. J. Appl. Phys. 2000, 87, 4531–4547. [Google Scholar] [CrossRef]
- Hohman, M.; Shin, M.; Rutledge, G.; Brenner, M. Electrospinning and electrically forced jets. I. Stability theory. Phys. Fluids 2001, 13, 2201–2220. [Google Scholar] [CrossRef]
- Gupta, P.; Elkins, C.; Long, T.; Wilkes, G. Electrospinning of linear homopolymers of poly(methyl methacrylate): Exploring relationships between fiber formation, viscosity, molecular weight and concentration in a good solvent. Polymer 2005, 46, 4799–4810. [Google Scholar]
- Yu, J.; Fridrikh, S.; Rutledge, G. The role of elasticity in the formation of electrospun fibers. Polymer 2006, 47, 4789–4797. [Google Scholar] [CrossRef]
- McKee, M.G.; Wilkes, G.L.; Colby, R.H.; Long, T.E. Correlations of Solution Rheology with Electrospun Fiber Formation of Linear and Branched Polyesters. Macromolecules 2004, 37, 1760–1767. [Google Scholar] [CrossRef]
- Shenoy, S.; Bates, W.; Frisch, H.; Wnek, G. Role of chain entanglements on fiber formation during electrospinning of polymer solutions: Good solvent, non-specific polymer-polymer interaction limit. Polymer 2005, 46, 3372–3384. [Google Scholar]
- Talwar, S.; Hinestroza, J.; Pourdeyhimi, B.; Khan, S. Associative polymer facilitated electrospinning of nanofibers. Macromolecules 2008, 41, 4275–4283. [Google Scholar] [CrossRef]
- Wang, M.; Yu, J.; Hsieh, A.; Rutledge, G. Effect of tethering chemistry of cationic surfactants on clay exfoliation, electrospinning and diameter of PMMA/clay nanocomposite fibers. Polymer 2010, 51, 6295–6302. [Google Scholar] [CrossRef]
- Hunley, M.; Harber, A.; Orlicki, J.; Rawlett, A.; Long, T. Effect of hyperbranched surface-migrating additives on the electrospinning behavior of poly(methyl methacrylate). Langmuir 2008, 24, 654–657. [Google Scholar] [CrossRef] [PubMed]
- Regev, O.; Vandebril, S.; Zussman, E.; Clasen, C. The role of interfacial viscoelasticity in the stabilization of an electrospun jet. Polymer 2010, 51, 2611–2620. [Google Scholar]
- Prabhakar, R. Predicting capillary thinning of dilute polymer solution filaments with an improved variable-friction model for polymeric stresses. In Proceedings of the CHEMECA 2011: Engineering a Better World, Sydney, Australia, 18–21 September 2011; pp. 2543–2552. [Google Scholar]
- Prabhakar, R. Enhancement of coil-stretch hysteresis by self-concentration in polymer solutions. arXiv, 2012; arXiv:1209.0163. [Google Scholar]
- Feng, J. The stretching of an electrified non-Newtonian jet: A model for electrospinning. Phys. Fluids 2002, 14, 3912–3926. [Google Scholar]
- Feng, J. Stretching of a straight electrically charged viscoelastic jet. J. Non-Newtonian Fluid Mech. 2003, 116, 55–70. [Google Scholar]
- Carroll, C.; Joo, Y. Electrospinning of viscoelastic Boger fluids: Modeling and experiments. Phys. Fluids 2006, 18. [Google Scholar] [CrossRef]
- Spivak, A.; Dzenis, Y.; Reneker, D. Model of steady state jet in the electrospinning process. Mech. Res. Commun. 2000, 27, 37–42. [Google Scholar]
- Yarin, A.; Koombhongse, S.; Reneker, D. Bending instability in electrospinning of nanofibers. J. Appl. Phys. 2001, 89, 3018–3026. [Google Scholar]
- Lauricella, M.; Pontrelli, G.; Coluzza, I.; Pisignano, D.; Succi, S. JETSPIN: A specific-purpose open-source software for simulations of nanofiber electrospinning. Comput. Phys. Commun. 2015, 197, 227–238. [Google Scholar]
- Lauricella, M.; Pisignano, D.; Succi, S. Three-dimensional model for electrospinning processes in controlled gas counterflow. J. Phys. Chem. A 2016, 120, 4884–4892. [Google Scholar]
- Pontrelli, G.; Gentili, D.; Coluzza, I.; Pisignano, D.; Succi, S. Effects of non-linear rheology on electrospinning process: A model study. Mech. Res. Commun. 2014, 61, 41–46. [Google Scholar]
- Carroll, C.; Joo, Y. Discretized modeling of electrically driven viscoelastic jets in the initial stage of electrospinning. J. Appl. Phys. 2011, 109, 094315. [Google Scholar]
- Stepanyan, R.; Subbotin, A.; Cuperus, L.; Boonen, P.; Dorschu, M.; Oosterlinck, F.; Bulters, M. Fiber diameter control in electrospinning. Appl. Phys. Lett. 2014, 105, 173105. [Google Scholar] [CrossRef]
- Stephens, J.; Frisk, S.; Megelski, S.; Rabolt, J.; Chase, D. “Real time” raman studies of electrospun fibers. Appl. Spectrosc. 2001, 55, 1287–1290. [Google Scholar]
- Shampine, L.; Ketzscher, R.; Reichelt, M. Solving Boundary Value Problems for Ordinary Differential Equations in MATLAB with bvp4c. 2000. Available online: ftp://ftp.mathworks.com/pub/doc/papers/bvp/ (accessed on 1 June 2017).
- Helgeson, M.; Grammatikos, K.; Deitzel, J.; Wagner, N. Theory and kinematic measurements of the mechanics of stable electrospun polymer jets. Polymer 2008, 49, 2924–2936. [Google Scholar]
- Clasen, C.; Plog, J.; Kulicke, W.-M.; Owens, M.; MacOsko, C.; Scriven, L.; Verani, M.; McKinley, G. How dilute are dilute solutions in extensional flows? J. Rheol. 2006, 50, 849–881. [Google Scholar]
- Terentjev, E.M.; Weitz, D.A. The Oxford Handbook of Soft Condensed Matter; Oxford University Press: New York, NY, USA, 2015. [Google Scholar]
- Gadkari, S. Viscous jets and Filaments In Electric Fields: Stability Analysis and Role of Viscoelasticity. Ph.D. Thesis, IITB-Monash Research Academy, Powai, Mumbai, 2013. [Google Scholar]









© 2017 by the author. Licensee MDPI, Basel, Switzerland. This article is an open access article distributed under the terms and conditions of the Creative Commons Attribution (CC BY) license (http://creativecommons.org/licenses/by/4.0/).
Share and Cite
Gadkari, S. Influence of Polymer Relaxation Time on the Electrospinning Process: Numerical Investigation. Polymers 2017, 9, 501. https://doi.org/10.3390/polym9100501
Gadkari S. Influence of Polymer Relaxation Time on the Electrospinning Process: Numerical Investigation. Polymers. 2017; 9(10):501. https://doi.org/10.3390/polym9100501
Chicago/Turabian StyleGadkari, Siddharth. 2017. "Influence of Polymer Relaxation Time on the Electrospinning Process: Numerical Investigation" Polymers 9, no. 10: 501. https://doi.org/10.3390/polym9100501
APA StyleGadkari, S. (2017). Influence of Polymer Relaxation Time on the Electrospinning Process: Numerical Investigation. Polymers, 9(10), 501. https://doi.org/10.3390/polym9100501
