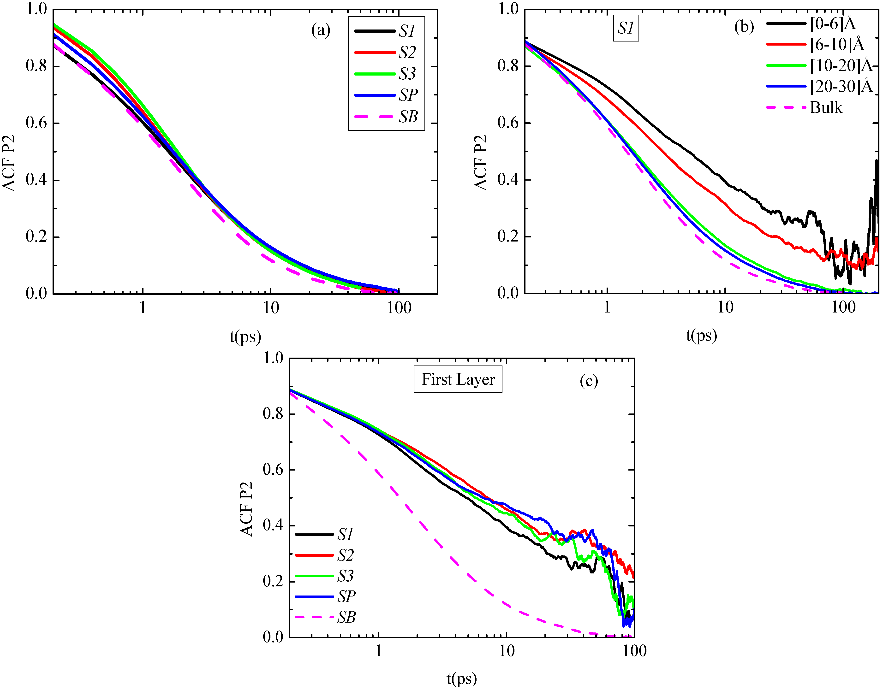
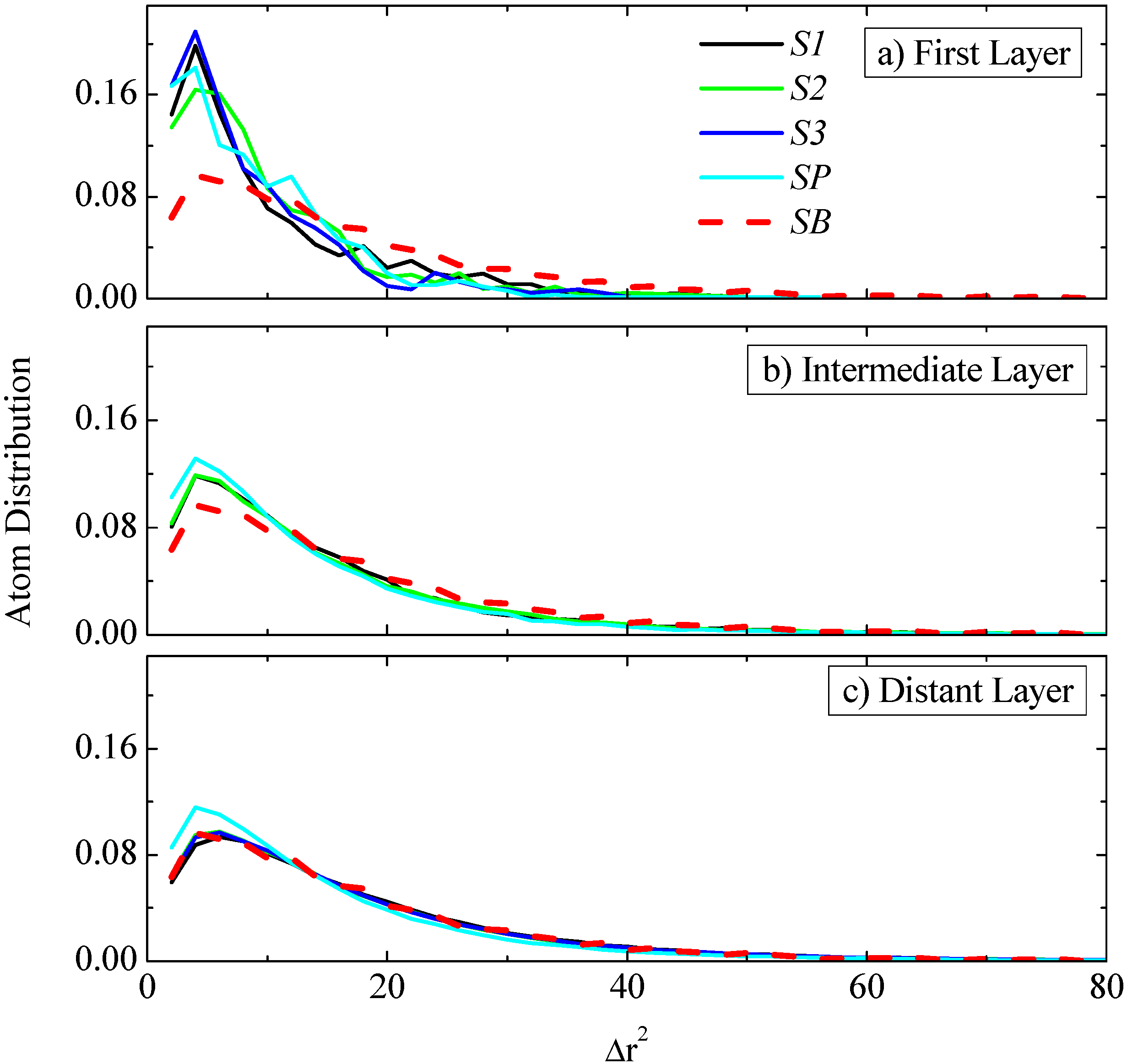
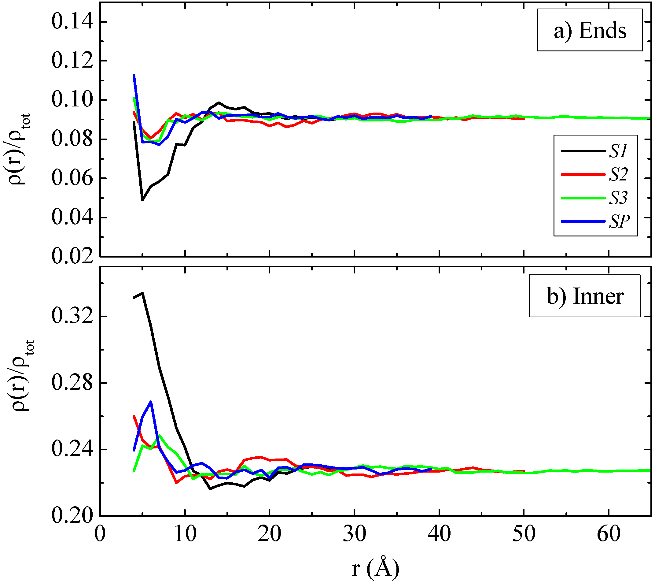
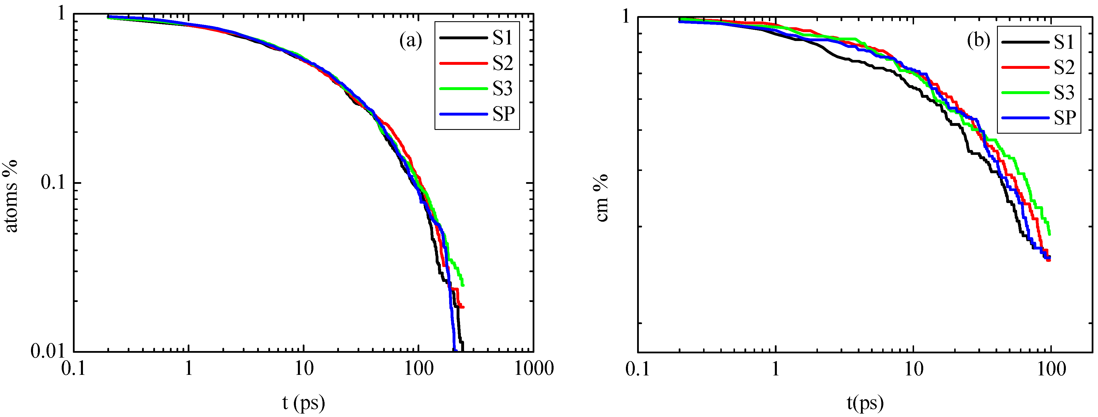
Structural and Dynamical Properties of Polyethylene/Graphene Nanocomposites through Molecular Dynamics Simulations
Abstract
Share and Cite
Rissanou, A.N.; Power, A.J.; Harmandaris, V. Structural and Dynamical Properties of Polyethylene/Graphene Nanocomposites through Molecular Dynamics Simulations. Polymers 2015, 7, 390-417. https://doi.org/10.3390/polym7030390
Rissanou AN, Power AJ, Harmandaris V. Structural and Dynamical Properties of Polyethylene/Graphene Nanocomposites through Molecular Dynamics Simulations. Polymers. 2015; 7(3):390-417. https://doi.org/10.3390/polym7030390
Chicago/Turabian StyleRissanou, Anastassia N., Albert John Power, and Vagelis Harmandaris. 2015. "Structural and Dynamical Properties of Polyethylene/Graphene Nanocomposites through Molecular Dynamics Simulations" Polymers 7, no. 3: 390-417. https://doi.org/10.3390/polym7030390
APA StyleRissanou, A. N., Power, A. J., & Harmandaris, V. (2015). Structural and Dynamical Properties of Polyethylene/Graphene Nanocomposites through Molecular Dynamics Simulations. Polymers, 7(3), 390-417. https://doi.org/10.3390/polym7030390

